Application of a GIS Multi-Criteria Decision Analysis for the Identification of Intrinsic Suitable Sites in Costa Rica for the Application of Managed Aquifer Recharge (MAR) through Spreading Methods
Abstract
:1. Introduction
2. Materials and Methods
2.1. Geographic Information System Multi-Criteria Decision Analysis (GIS-MCDA)
2.1.1. Problem Definition
2.1.2. Screening Suitable Areas
2.1.3. Suitability Mapping
2.1.4. Sensitivity Analysis
2.2. Criteria Used in the GIS-MCDA
2.2.1. Hydrogeological Aptitude
2.2.2. Terrain Slope
2.2.3. Top Soil Texture
2.2.4. Drainage Network Density
3. Results
3.1. Screening of Suitable Areas
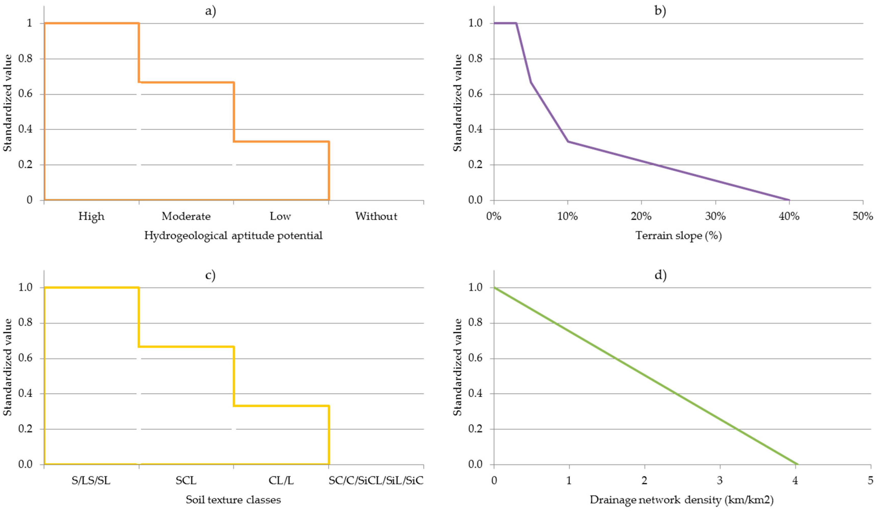
3.2. Standardization
3.3. Multi-Influencing Factor (MIF)
3.4. Suitable Areas
3.5. Sensitivity Analysis
4. Discussion
Acknowledgments
Author Contributions
Conflicts of Interest
References
- Salguero, M.E.A.; Penón, M.L.; Li, S.A. Estado del conocimiento del agua subterránea en Costa Rica. Bol. Geol. Min. 2006, 117, 63–73. [Google Scholar]
- Quintero, J.S.; Flores, R.V. Aspectos Fisiográficos aplicados a un Bosquejo de Regionalización Geográfico Climático de Costa Rica. Rev. Tóp. Meteorol. Ocean. 2001, 8, 26–32. [Google Scholar]
- UNESCO. Balance Hídrico Superficial de Costa Rica. Período 1970–2002; Documento Técnico del PHI-LAC; UNESCO Office Montevideo: Montevideo, Uruguay, 2007; p. 55, illus, maps. [Google Scholar]
- Bundschuh, J.; Alvarado, G.E. Central America, Two Volume Set: Geology, Resources and Hazards; CRC Press: Boca Raton, FL, USA, 2007. [Google Scholar]
- Muñoz, A.C. Variación estacional del viento en Costa Rica y su relación con los regímenes de lluvia. Rev. Tóp. Meteorol. Ocean. 2002, 9, 1–13. [Google Scholar]
- Weyl, R. Geology of Central America, 2nd ed.; Gebrüder Borntraeger: Stuttgart, Germany, 1980. [Google Scholar]
- Tournon, J.; Guillermo, E.; Alvarado, I. Mapa Geologico de Costa Rica: Folleto Explicativo; Editorial Tecnologica de Costa Rica: Cartago, Costa Rica, 1997. [Google Scholar]
- U.S. Geological Survey (USGS). GTOPO30: GT30W100N40 2012; USGS: Sioux Falls, SD, USA, 2012.
- Dillon, P. Future management of aquifer recharge. Hydrogeol. J. 2005, 13, 313–316. [Google Scholar] [CrossRef]
- Gale, I. (Ed.) Strategies for Managed Aquifer Recharge (MAR) in Semi-Arid Areas; UNESCO IHP: Paris, France, 2005.
- Huber, A.; Scheibler, F. Development of a Catalogue on European MAR Sites—Documentation. Report DEMEAU Project. 2013, p. 60. Available online: http://demeau-fp7.eu/D11 (accessed on 30 April 2014).
- Rahman, M.A.; Rusteberg, B.; Gogu, R.C.; Lobo Ferreira, J.P.; Sauter, M. A new spatial multi-criteria decision support tool for site selection for implementation of managed aquifer recharge. J. Environ. Manag. 2012, 99, 61–75. [Google Scholar] [CrossRef] [PubMed]
- Malczewski, J. GIS and Multicriteria Decision Analysis; John Wiley & Sons: New York, NY, USA, 1999. [Google Scholar]
- Malczewski, J.; Rinner, C. Multicriteria Decision Analysis in Geographic Information Science; Springer: New York, NY, USA, 2015. [Google Scholar]
- Hostetler, S. Water Banking; Science for Decision Makers; Australian Government, Bureau of Rural Sciences: Canberra, Australia, 2007.
- Escalante, E.F.; Gil, R.C.; San Miguel Fraile, M.Á.; Serrano, F.S. Economic Assessment of Opportunities for Managed Aquifer Recharge Techniques in Spain Using an Advanced Geographic Information System (GIS). Water 2014, 6, 2021–2040. [Google Scholar] [CrossRef]
- Krishnamurthy, J.; Kumar, N.V.; Jayaraman, V.; Manivel, M. An approach to demarcate ground water potential zones through remote sensing and a geographical information system. Int. J. Remote Sens. 1996, 17, 1867–1884. [Google Scholar] [CrossRef]
- Saraf, A.K.; Choudhury, P.R. Integrated remote sensing and GIS for groundwater exploration and identification of artificial recharge sites. Int. J. Remote Sens. 1998, 19, 1825–1841. [Google Scholar] [CrossRef]
- Shankar, M.N.R.; Mohan, G. A GIS based hydrogeomorphic approach for identification of site-specific artificial-recharge techniques in the Deccan Volcanic Province. J. Earth Syst. Sci. 2005, 114, 505–514. [Google Scholar] [CrossRef]
- Sukumar, S.; Sankar, K. Delineation of potential zones for artificial recharge using GIS in Theni district, Tamilnadu, India. Int. J. Geomat. Geosci. 2010, 1, 639. [Google Scholar]
- Chowdhury, A.; Jha, M.K.; Chowdary, V.M. Delineation of groundwater recharge zones and identification of artificial recharge sites in West Medinipur district, West Bengal, using RS, GIS and MCDM techniques. Environ. Earth Sci. 2010, 59, 1209–1222. [Google Scholar] [CrossRef]
- Singh, A.; Panda, S.N.; Kumar, K.S.; Sharma, C.S. Artificial groundwater recharge zones mapping using remote sensing and GIS: A case study in Indian Punjab. Environ. Manag. 2013, 52, 61–71. [Google Scholar] [CrossRef] [PubMed]
- Patil, S.G.; Mohite, N.M. Identification of groundwater recharge potential zones for a watershed using remote sensing and GIS. Int. J. Geomat. Geosci. 2014, 4, 485–498. [Google Scholar]
- Saravi, M.; Malekian, A.; Nouri, B. Identification of suitable sites for groundwater recharge. In Proceedings of the 2nd International Conference on Water Resources and Arid Environment, Riyadh, Saudi Arabia, 26–29 November 2006; pp. 1–5.
- Ghayoumian, J.; Mohseni Saravi, M.; Feiznia, S.; Nouri, B.; Malekian, A. Application of GIS techniques to determine areas most suitable for artificial groundwater recharge in a coastal aquifer in southern Iran. J. Asian Earth Sci. 2007, 30, 364–374. [Google Scholar] [CrossRef]
- Mehrabi, H.; Zeinivand, H.; Hadidi, M. Site Selection for Groundwater Artificial Recharge in Silakhor Rangelands Using GIS Technique. J. Rangel. Sci. 2012, 2, 687–695. [Google Scholar]
- Malekmohammadi, B.; Ramezani Mehrian, M.; Jafari, H.R. Site selection for managed aquifer recharge using fuzzy rules: Integrating geographical information system (GIS) tools and multi-criteria decision making. Hydrogeol. J. 2012, 20, 1393–1405. [Google Scholar] [CrossRef]
- Alraggad, M.; Jasem, H. Managed Aquifer Recharge (MAR) through Surface Infiltration in the Azraq Basin/Jordan. J. Water Resour. Prot. 2010, 2, 1057–1070. [Google Scholar] [CrossRef] [Green Version]
- Al-Adamat, R. The Use of GIS and Google Earth for Preliminary Site Selection of Groundwater Recharge in the Azraq Oasis Area—Jordan. J. Water Resour. Prot. 2012, 4, 395–399. [Google Scholar] [CrossRef] [Green Version]
- Pedrero, F.; Albuquerque, A.; Marecos do Monte, H.; Cavaleiro, V.; Alarcón, J.J. Application of GIS-based multi-criteria analysis for site selection of aquifer recharge with reclaimed water. Resour. Conserv. Recycl. 2011, 56, 105–116. [Google Scholar] [CrossRef]
- Chenini, I.; Ben Mammou, A. Groundwater recharge study in arid region: An approach using GIS techniques and numerical modeling. Comput. Geosci. 2010, 36, 801–817. [Google Scholar] [CrossRef]
- Kallali, H.; Anane, M.; Jellali, S.; Tarhouni, J. GIS-based multi-criteria analysis for potential wastewater aquifer recharge sites. Desalination 2007, 215, 111–119. [Google Scholar] [CrossRef]
- Russo, T.A.; Fisher, A.T.; Lockwood, B.S. Assessment of Managed Aquifer Recharge Site Suitability Using a GIS and Modeling. Groundwater 2015, 53, 389–400. [Google Scholar] [CrossRef] [PubMed]
- O’Geen, A.; Saal, M.; Dahlke, H.; Doll, D.; Elkins, R.; Fulton, A.; Fogg, G.; Harter, T.; Hopmans, J.; Ingels, C.; et al. Soil suitability index identifies potential areas for groundwater banking on agricultural lands. Calif. Agric. 2015, 69, 75–84. [Google Scholar] [CrossRef]
- Store, R.; Kangas, J. Integrating spatial multi-criteria evaluation and expert knowledge for GIS-based habitat suitability modelling. Landsc. Urban Plan. 2001, 55, 79–93. [Google Scholar] [CrossRef]
- Sugumaran, R.; Degroote, J. Spatial Decision Support Systems: Principles and Practices; CRC Press: Boca Raton, FL, USA, 2010. [Google Scholar]
- Malczewski, J. On the Use of Weighted Linear Combination Method in GIS: Common and Best Practice Approaches. Trans. GIS 2000, 4, 5–22. [Google Scholar] [CrossRef]
- Das, D. Geomorphological techniques in locating sites for artificial recharge: A Case Study from a drought-prone hard-rock terraine in eastern India. In Management of Aquifer Recharge for Sustainability, Proceedings of the 4th International Symposium on Artificial Recharge of Groundwater, ISAR-4, Adelaide, Australia, 22–26 September 2002; pp. 543–546.
- Shaban, A.; Khawlie, M.; Abdallah, C. Use of remote sensing and GIS to determine recharge potential zones: The case of Occidental Lebanon. Hydrogeol. J. 2006, 14, 433–443. [Google Scholar] [CrossRef]
- Magesh, N.S.; Chandrasekar, N.; Soundranayagam, J.P. Delineation of groundwater potential zones in Theni district, Tamil Nadu, using remote sensing, GIS and MIF techniques. Geosci. Front. 2012, 3, 189–196. [Google Scholar] [CrossRef]
- Rahman, M.A.; Rusteberg, B.; Uddin, M.S.; Lutz, A.; Saada, M.A.; Sauter, M. An integrated study of spatial multicriteria analysis and mathematical modelling for managed aquifer recharge site suitability mapping and site ranking at Northern Gaza coastal aquifer. J. Environ. Manag. 2013, 124, 25–39. [Google Scholar] [CrossRef] [PubMed]
- Astorga, A.; Arias, M. Mapa de geoaptitud hidrogeológica de Costa Rica: Implicaciones respecto a la gestión ambiental del desarrollo. Rev. Geol. Am. Cent. 2003, 29, 95–101. [Google Scholar] [CrossRef]
- Essig, E.T.; Corradini, C.; Morbidelli, R.; Govindaraju, R.S. Infiltration and deep flow over sloping surfaces: Comparison of numerical and experimental results. J. Hydrol. 2009, 374, 30–42. [Google Scholar] [CrossRef]
- Instituto Tecnológico de Costa Rica. Atlas Digital de Costa Rica; [CD-ROM]; Instituto Tecnológico de Costa Rica: Cartago, Costa Rica, 2014. [Google Scholar]
- Dunne, T.; Leopold, L.B. Water in Environmental Planning; Macmillan: San Francisco, CA, USA, 1978. [Google Scholar]
- Ley Forestal. Law N°7575; Gaceta N°72, Alcance 21; Republic of Costa Rica: San José, Costa Rica, 1996.
- Ley Orgánica del Ambiente. Law N°7554; Gaceta N°215; Republic of Costa Rica: San José, Costa Rica, 1995.












| Criterion | Score | Weight |
|---|---|---|
| Hydrogeological aptitude | 1 + 1 + 1 = 3 | 43% |
| Terrain slope | 1 + 1 = 2 | 29% |
| Soil texture | 1 + 0.5 = 1.5 | 21% |
| Drainage density | 0.5 | 7% |
| Total | 7 | 100% |
| Class (GIS-MCDA Range) | Percentage from the Total Suitable Area | Percentage from the Total Country Area |
|---|---|---|
| Very high (1.0–0.8) | 20.4% | 12.4% |
| High (0.8–0.6) | 29.4% | 18.0% |
| Moderate (0.6–0.4) | 22.2% | 13.5% |
| Low (0.4–0.2) | 16.2% | 9.9% |
| Very low (0.2–0.0) | 11.8% | 7.2% |
© 2016 by the authors; licensee MDPI, Basel, Switzerland. This article is an open access article distributed under the terms and conditions of the Creative Commons Attribution (CC-BY) license (http://creativecommons.org/licenses/by/4.0/).
Share and Cite
Bonilla Valverde, J.P.; Blank, C.; Roidt, M.; Schneider, L.; Stefan, C. Application of a GIS Multi-Criteria Decision Analysis for the Identification of Intrinsic Suitable Sites in Costa Rica for the Application of Managed Aquifer Recharge (MAR) through Spreading Methods. Water 2016, 8, 391. https://doi.org/10.3390/w8090391
Bonilla Valverde JP, Blank C, Roidt M, Schneider L, Stefan C. Application of a GIS Multi-Criteria Decision Analysis for the Identification of Intrinsic Suitable Sites in Costa Rica for the Application of Managed Aquifer Recharge (MAR) through Spreading Methods. Water. 2016; 8(9):391. https://doi.org/10.3390/w8090391
Chicago/Turabian StyleBonilla Valverde, José Pablo, Clemens Blank, Mario Roidt, Lisa Schneider, and Catalin Stefan. 2016. "Application of a GIS Multi-Criteria Decision Analysis for the Identification of Intrinsic Suitable Sites in Costa Rica for the Application of Managed Aquifer Recharge (MAR) through Spreading Methods" Water 8, no. 9: 391. https://doi.org/10.3390/w8090391
APA StyleBonilla Valverde, J. P., Blank, C., Roidt, M., Schneider, L., & Stefan, C. (2016). Application of a GIS Multi-Criteria Decision Analysis for the Identification of Intrinsic Suitable Sites in Costa Rica for the Application of Managed Aquifer Recharge (MAR) through Spreading Methods. Water, 8(9), 391. https://doi.org/10.3390/w8090391

