The Effectiveness of Silica Sand in Semi-Aerobic Stabilized Landfill Leachate Treatment
Abstract
:1. Introduction
2. Materials and Methods
2.1. Landfill Site Characteristics
2.2. Sampling
2.3. Silica Sand Properties
| Composition | Results (%) | Composition | Results (%) | |
|---|---|---|---|---|
| SiO2 | 92.214 | Fe2O3 | 0.236 | |
| Al2O3 | 5.848 | SO3 | 0.013 | |
| K2O | 1.382 | Rb2O | 0.010 | |
| MgO | 0.088 | ZrO2 | 0.007 | |
| Na2O | 0.071 | NiO | 0.004 | |
| TiO2 | 0.051 | ZnO | 0.002 | |
| CaO | 0.040 | CuO | 0.001 | |
| P2O5 | 0.032 |
| Type of test | Result |
|---|---|
| Surface area, (m2/g) | 0.33 |
| Density, (kg/m3) | 2510 |
| Void ratio, (%) | 50 |
| Particle size, (mm) | 0.60–1.18 |
2.4. Experimental Conditions
2.5. Absorption Isotherms
3. Result and Discussion
3.1. Pulau Burung Leachate Characteristics
| Parameter | Minimum | Maximum | Average | Standard Deviation | Standard Discharge Limit1 |
|---|---|---|---|---|---|
| pH | 8.20 | 8.31 | 8.26 | 0.05 | 6.0–9.0 |
| Ammoniacal nitrogen, (mg/L) | 2010 | 2090 | 2050 | 39.66 | 5.0 |
| Iron (mg/L) | 3.5 | 7.2 | 5.3 | 1.60 | 5.0 |
| Zinc (mg/L) | 2.3 | 4.6 | 3.4 | 0.95 | 2.0 |
| Copper (mg/L) | 0.40 | 0.70 | 0.55 | 0.13 | 0.2 |
| Manganese (mg/L) | 0.20 | 0.30 | 0.23 | 0.05 | 0.2 |
| Nickel (mg/L) | 0.20 | 0.40 | 0.28 | 0.09 | 0.2 |
| Lead (mg/L) | 0.20 | 0.40 | 0.32 | 0.09 | 0.1 |
| COD (mg/L) | 3027 | 3333 | 3180 | 142.93 | 400 |
| Color (Platinum unit, Pt-Co) | 2800 | 3066 | 2933 | 116.12 | 100 |
| BOD5 (mg/L) | 157 | 305 | 231 | 64.56 | 20 |
| Suspended solids (mg/L) | 70 | 190 | 130 | 50.57 | 50 |
3.2. Optimum Conditions



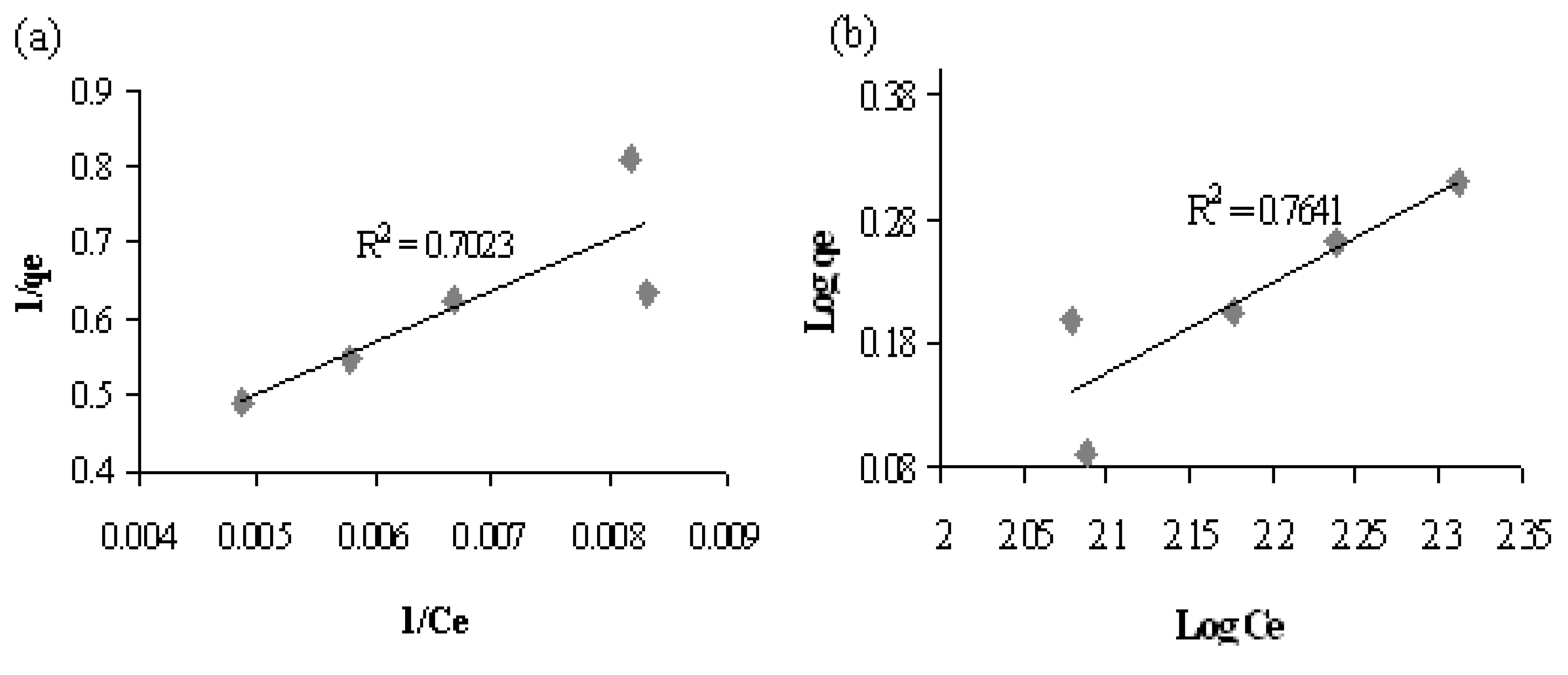
3.3. Adsorption Isotherms



| Adsorbate | Langmuir | Freundlich | |||||
|---|---|---|---|---|---|---|---|
| Q(mg/g) | b(L/mg) | R2 | *KF | 1/n | R2 | ||
| Ammoniacal-nitrogen | 6.0975 | 0.00243 | 0.702 | 0.04426 | 0.719 | 0.764 | |
| Iron | 0.0109 | 0.56574 | 0.728 | 0.0107 | 1.305 | 0.786 | |
| Zinc | 0.0046 | 0.82729 | 0.612 | 0.00752 | 1.309 | 0.636 | |
4. Conclusions
References
- Aziz, H.A.; Foul, A.A.; Isa, M.H.; Hung, Y-T. Physico-chemical treatment of anaerobic landfill leachate using activated carbon and zeolite: Batch and column studies. Int. J. Environ. Waste Manage. 2010, 5, 269–285. [Google Scholar] [CrossRef]
- Omran, A.; El-Amrouni, A.O.; Suliman, L.K.; Pakir, A.H.; Ramli, M.; Aziz, H.A. Solid waste management practices in Penang State: A review of current practices and the way forward. Environ. Eng. Manage. J. 2009, 8, 97–106. [Google Scholar]
- Bashir, M.J.K.; Aziz, H.A.; Yusoff, M.S.; Huqe, A.A.M.; Mohajeri, S. Effects of ion exchange resins in different mobile ion forms on semi-aerobic landfill leachate treatment. Water Sci. Technol. 2010, 61, 641–649. [Google Scholar] [CrossRef] [PubMed]
- Kurniawan, T.A.; Lo, W.H. Removal of refractory compounds from stabilized landfill leachate using an integrated H2O2 oxidation and granular activated carbon (GAC) adsorption treatment. Water Res. 2009, 43, 4079–4091. [Google Scholar] [CrossRef] [PubMed]
- Tchobanouglos, G.; Theisen, H.; Vigil, S.A. Integrated Solid Waste Management: Engineering Principles and Management Issues; McGraw-Hill, Inc.: New York, NY, USA, 1993. [Google Scholar]
- Christensen, T.H.; Kjeldsen, P.; Bjerg, P.L.; Jensen, D.L.; Christensen, J.B.; Baun, A.; Albrechtsen, H-J.; Heron, G. Biogeochemistry of landfill leachate plumes. Appl. Geochem. 2001, 16, 659–718. [Google Scholar] [CrossRef]
- Ghafari, S.; Aziz, H.A.; Bashir, M.J.K. The use of poly-aluminum chloride and alum for the treatment of partially stabilized leachate: Acomparative study. Desalination 2010, 257, 110–116. [Google Scholar] [CrossRef]
- Foo, K.Y.; Hameed, B.H. An overview of landfill leachate treatment via activated carbon adsorption process. J. Hazard. Mater. 2009, 171, 54–60. [Google Scholar] [CrossRef]
- Renou, S.; Givaudan, J.G.; Poulain, S.; Dirassouyan, F.; Moulin, P. Landfill leachate treatment: review and opportunity. J. Hazard. Mater. 2008, 150, 468–493. [Google Scholar] [CrossRef] [PubMed]
- Chian, E.S.K.; DeWalle, F.B. Sanitary landfill leachates and their treatment. J. Environ. Eng. Div. 1976, 45, 411–431. [Google Scholar]
- Silva, A.C.; Dezotti, M.; Sant’Anna, G.L., Jr. Treatment and detoxification of a sanitary landfill leachate. Chemosphere 2004, 55, 207–214. [Google Scholar] [CrossRef]
- Kurniawan, T.A.; Lo, W.H.; Chan, G.Y.S. Physico-chemical treatments for removal of recalcitrant contaminants from landfill leachate. J. Hazard. Mater. 2006, 129, 80–100. [Google Scholar] [CrossRef]
- Uygur, A.; Kargi, F. Biological nutrient removal frompre-treated landfill leachate in a sequencing batch reactor. J. Environ. Manage. 2004, 71, 9–14. [Google Scholar] [CrossRef] [PubMed]
- Hansen, W.M.; Christopher, M.; Verbuecheln, M. EU Waste Policy and Challenges for Regional and Local Authorities; Ecological Institute for International and European Environmental Policy: Berlin, Germany, 2002. [Google Scholar]
- Foul, A.A.; Aziz, H.A.; Isa, M.H.; Hung, Y.-T. Primary treatment of anaerobic landfill leachate using activated carbon and limestone: batch and column studies. Int. J. Environ. Waste Manage. 2009, 4, 282–298. [Google Scholar] [CrossRef]
- Cheung, K.C.; Chu, L.M.; Wong, M.H. Ammonia stripping as a pre-treatment for landfill leachate. Water Air Soil Pollut. 1997, 94, 209–221. [Google Scholar]
- Tsilogeorgisa, J.; Zouboulisa, A.; Samarasb, P.; Zamboulisa, D. Application of a membrane sequencing batch reactor for landfill leachate treatment. Desalination 2008, 221, 483–493. [Google Scholar] [CrossRef]
- Bashir, M.J.K.; Aziz, H.A.; Yusoff, M.S.; Adlan, M.N. Application of response surface methodology (RSM) for optimization of ammoniacal nitrogen removal from semi-aerobic landfill leachate using ion exchange resin. Desalination 2010, 254, 154–161. [Google Scholar] [CrossRef]
- Mohajeri, S.; Aziz, H.A.; Isa, M.H.; Bashir, M.J.K.; Mohajeri, L.; Adlan, M.N. Influence of Fenton reagent oxidation on mineralization and decolorization of municipal landfill leachate. J. Environ. Sci. Health, Part A 2010, 45, 692–698. [Google Scholar] [CrossRef]
- Bashir, M.J.K.; Isa, M.H.; Kutty, S.R.M.; Awang, Z.B.; Aziz, H.A.; Mohajeri, S.; Farooqi, I.H. Landfill leachate treatment by electrochemical oxidation. Waste Manage. 2009, 29, 2534–2541. [Google Scholar] [CrossRef]
- Kabdasli, I.; Safak, A.; Tunay, O. Bench-scale evaluation of treatment schemes incorporating struvite precipitation for young landfill leachate. Waste Manage. 2008, 28, 2386–2392. [Google Scholar] [CrossRef]
- Daifullah, A.; Girgis, B.; Gad, H. A study of the factors affecting the removal of humic acid by activated carbon prepared from biomass material. Colloid. Surface. A 2004, 235, 1–10. [Google Scholar] [CrossRef]
- Agamuthu, P. Solid Waste: Principles and Management; University of Malaya: Kuala Lumpur, Malaysia, 2001. [Google Scholar]
- APHA (American Public Health Association), AWWA (American Water Works Association) and WPCF (Water Pollution Control Federation). Standard Methods for the Examination of Water and Wastewater, 21th ed.; APHA: Washington, DC, USA, 2005. [Google Scholar]
- Benefield, L.D.; Judkins, J.F.; Weand, B.L. Process Chemistry for Water and Wastewater Treatment; Prentice Hall, Inc.: Englewood Cliffs, NJ, USA, 1982. [Google Scholar]
- Zouboulis, A.I.; Ntampou, X.; Samaras, P. Characterisation and treatment of leachates from the municipal sanitary landfill of Thessaloniki, Greece. Int. J. Environ. Waste Manage. 2009, 4, 385–398. [Google Scholar] [CrossRef]
- Environmental Quality (Control of Pollution from Solid Waste Transfer Station and Landfill) Regulations 2009; Under the Laws of Malaysia-Malaysia Environmental Quality Act 1974; Department Of Environment: Kuala Lumpur, Malaysia, 2010.
- Bezerra, M.A.; Santelli, R.E.; Oliveira, E.P.; Villar, L.S.; Escaleira, L.A. Response surface methodology (RSM) as a tool for optimization in analytical chemistry. Talanta 2008, 76, 965–977. [Google Scholar] [CrossRef] [PubMed]
- Rodriguez, J.; Castrillon, L.; Maranon, E.; Sastre, H.; Fernandez, E. Removal of non-biodegradable organic matter from landfill leachates by adsorption. Water Res. 2004, 38, 3297–3303. [Google Scholar] [CrossRef] [PubMed]
- Kadirvelu, K.; Namasivayam, C. Activated carbon from coconut coir pith as metal adsorbent: adsorption of Cd (II) from aqueous solution. Adv. Environ. Res. 2002, 7, 471–478. [Google Scholar] [CrossRef]
- Aziz, H.A.; Adlan, M.N.; Zahari, M.S.M.; Alias, S. Removal of ammoniacal–nitrogen (N–NH3) from municipal solid waste leachate by using activated carbon and lime stone. Waste Manage. Res. 2004, 22, 371–375. [Google Scholar] [CrossRef]
- Aziz, H.A.; Yusoff, M.S.; Adlan, M.N.; Adnan, N.H.; Alias, S. Physico-chemical removal of iron from semi-aerobic landfill leachate by limestone filter. Waste Manage. 2004, 24, 353–358. [Google Scholar] [CrossRef]
© 2010 by the authors; licensee MDPI, Basel, Switzerland. This article is an open access article distributed under the terms and conditions of the Creative Commons Attribution license (http://creativecommons.org/licenses/by/3.0/).
Share and Cite
Othman, E.; Yusoff, M.S.; Aziz, H.A.; Adlan, M.N.; Bashir, M.J.K.; Hung, Y.-T. The Effectiveness of Silica Sand in Semi-Aerobic Stabilized Landfill Leachate Treatment. Water 2010, 2, 904-915. https://doi.org/10.3390/w2040904
Othman E, Yusoff MS, Aziz HA, Adlan MN, Bashir MJK, Hung Y-T. The Effectiveness of Silica Sand in Semi-Aerobic Stabilized Landfill Leachate Treatment. Water. 2010; 2(4):904-915. https://doi.org/10.3390/w2040904
Chicago/Turabian StyleOthman, Ezlina, Mohd Suffian Yusoff, Hamidi Abdul Aziz, Mohd Nordin Adlan, Mohammed J. K. Bashir, and Yung-Tse Hung. 2010. "The Effectiveness of Silica Sand in Semi-Aerobic Stabilized Landfill Leachate Treatment" Water 2, no. 4: 904-915. https://doi.org/10.3390/w2040904
APA StyleOthman, E., Yusoff, M. S., Aziz, H. A., Adlan, M. N., Bashir, M. J. K., & Hung, Y.-T. (2010). The Effectiveness of Silica Sand in Semi-Aerobic Stabilized Landfill Leachate Treatment. Water, 2(4), 904-915. https://doi.org/10.3390/w2040904
