Phosphorus Removal from Real Wastewater Using Biochar Derived from Sewage Sludge Pretreated with Zero-Valent Iron Nanoparticles in a Fixed-Bed Column
Highlights
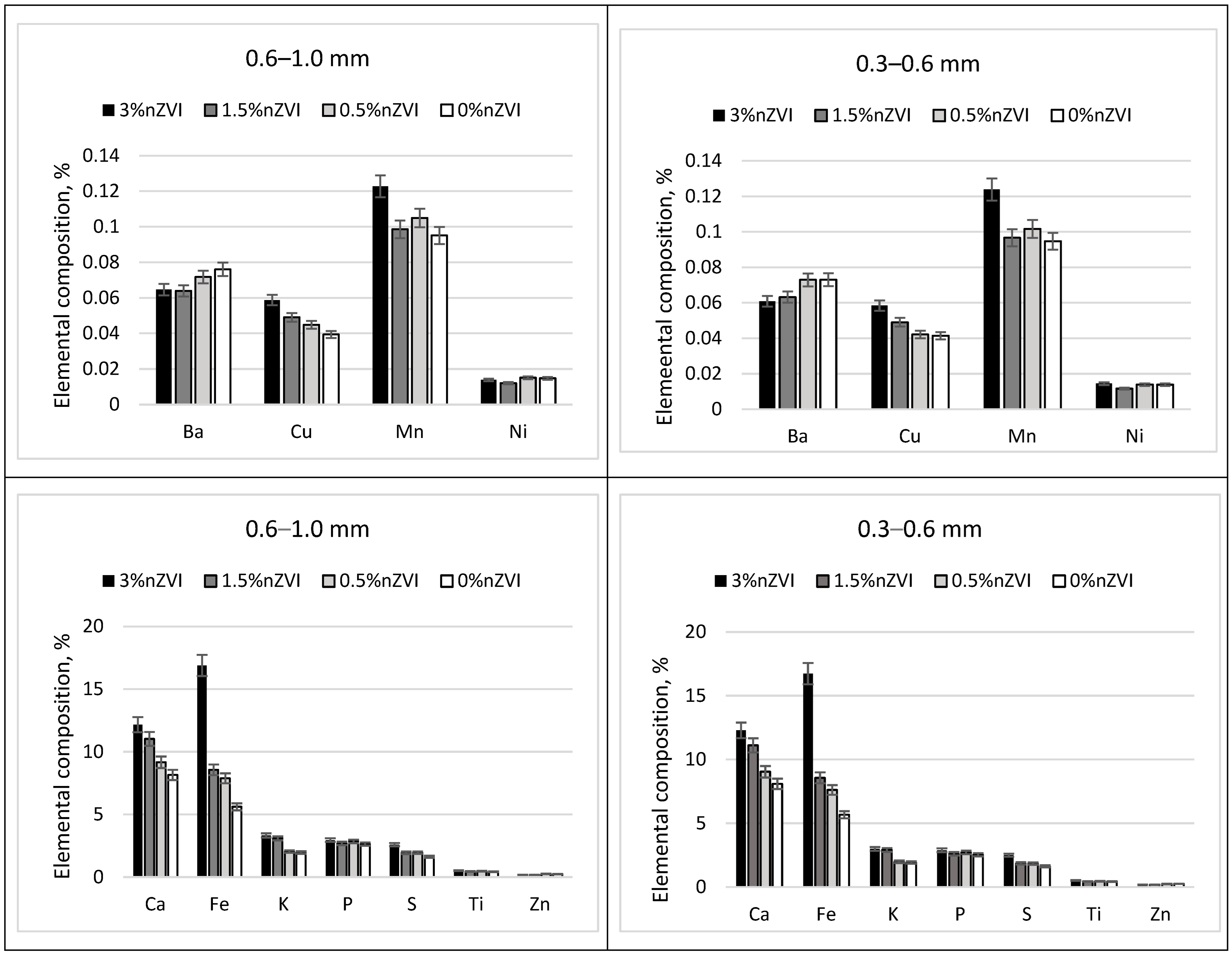
- Sewage sludge biochar (600 °C) contains high amounts of Ca (8–12%) and Fe (4–5%).
- Adding 3% (w/w TS) nZVI to sewage sludge before anaerobic digestion increased the PO4-P removal of the resulting biochar by 7%.
- The PO4-P retention capacity in the columns was three times higher than the sorption capacity observed in the batch experiment.
- The maximum achieved phosphorus retention capacity was 7.8 mg/g.
- Biochar derived from sewage sludge is suitable for the removal of PO4-P from real wastewater.
- The HLR (1 m/h) and EBCT (0.5 h) allow for a PO4-P removal efficiency 80–90%.
- In columns, PO4-P is accumulated via adsorption, bioaccumulation, and chemical precipitation.
Abstract
1. Introduction
2. Materials and Methods
2.1. Feedstock Collection and AD Process
2.2. Production and Fractionation of Sewage Sludge Biochar
2.3. Real Wastewater Collection and Characterization
2.4. Characterization Techniques for Biochars
2.5. Batch Adsorption Kinetics
2.6. Experimental Set-Up for Phosphate Removal in Fixed-Bed Columns
2.7. Microscopic Analysis
2.8. Statistical Analysis
3. Results
3.1. Elemental Composition of Sewage Sludge Biochar Samples
3.2. Results of Batch Kinetic Adsorption Study
3.3. Studies on the Reduction in Phosphate Concentration in Wastewater via Filtration
3.4. Microscopy, SEM, and EDS Results
3.5. Proposed Mechanisms of Phosphate Sorption on Optimal Biochar
4. Discussion
5. Conclusions
Supplementary Materials
Author Contributions
Funding
Data Availability Statement
Conflicts of Interest
Abbreviations
| AD | Anaerobic digestion |
| SS | Sewage sludge |
| nZVI | Nanoscale zero-valent iron |
| PO4-P | Orthophosphate–phosphorus |
| VD-XRF | Wavelength-dispersive X-ray fluorescence |
| SEM | Scanning electron microscopy |
| EDS | Energy-dispersive spectroscopy |
| BET | (Brunauer–Emmett–Teller) Theory, Surface Area Analysis |
| EBCT | Empty bed contact time |
| HLR | Hydraulic loading rate |
| FTIR | Fourier transform infrared spectroscopy |
References
- Sangamnere, R.; Misra, T.; Bherwani, H.; Kapley, A.; Kumar, R. A Critical Review of Conventional and Emerging Wastewater Treatment Technologies. Sustain. Water Resour. Manag. 2023, 9, 58. [Google Scholar] [CrossRef]
- Olejnik, D. Evaluation of the Heavy Metals Content in Sewage Sludge from Selected Rural and Urban Wastewater Treatment Plants in Poland in Terms of Its Suitability for Agricultural Use. Sustainability 2024, 16, 5198. [Google Scholar] [CrossRef]
- Ekman Burgman, L. What Sewage Sludge Is and Conflicts in Swedish Circular Economy Policymaking. Environ. Sociol. 2022, 8, 292–301. [Google Scholar] [CrossRef]
- Ferrer, I.; Passos, P.; Romero, E.; Vázquez, F.; Font, X. Optimising Sewage Sludge Anaerobic Digestion for Resource Recovery in Wastewater Treatment Plants. Renew. Energy 2024, 224, 120123. [Google Scholar] [CrossRef]
- Elsayed, A.; Kakar, F.L.; Marcus, A.; AlSayed, A.; Zagloul, M.S.; Muller, C.; Bell, K.Y.; Santoro, D.; Norton, J.; Elbeshbishy, E. Application of Additives for Anaerobic Digestion Intensification: A Comprehensive Review on Improving Biogas Production and Methane Yield. Appl. Energy 2025, 381, 125202. [Google Scholar] [CrossRef]
- Zhang, M.; Wang, Y. Impact of Biochar-Supported Nano Zero-Valent Iron Nanocomposite on the Anaerobic Digestion of Sewage Sludge: Methane Production, Performance Stability and Microbial Community Structure. Bioresour. Technol. 2021, 340, 125715. [Google Scholar] [CrossRef] [PubMed]
- Li, J.; Zhou, L.; Zhao, J.; Zhang, W.; Pan, B.; Hua, M. Enhanced methanogenesis of wastewater anaerobic digestion by nanoscale zero-valent iron: Mechanism on intracellular energy conservation and amino acid metabolism. Bioresour. Technol. 2025, 423, 132243. [Google Scholar] [CrossRef]
- Wang, S.; Yuan, R.; Liu, C.; Zhou, B. Effect of Fe2+ Adding Period on Biogas Production and Microbial Community Distribution during Dry Anaerobic Digestion. Process Saf. Environ. Prot. 2020, 136, 234–241. [Google Scholar] [CrossRef]
- Dauknys, R.; Mažeikienė, A. Process Improvement of Biogas Production from Sewage Sludge Applying Iron Oxides-Based Additives. Energies 2023, 16, 3285. [Google Scholar] [CrossRef]
- Zhang, M.; Li, J.; Wang, Y. Impact of Biochar-Supported Zerovalent Iron Nanocomposite on the Anaerobic Digestion of Sewage Sludge. Environ. Sci. Pollut. Res. 2019, 26, 10292–10305. [Google Scholar] [CrossRef]
- Wang, Z.; Hu, Y.; Wang, S.; Wu, G.; Zhan, X. A Critical Review on Dry Anaerobic Digestion of Organic Waste: Characteristics, Operational Conditions, and Improvement Strategies. Renew. Sustain. Energy Rev. 2023, 176, 113208. [Google Scholar] [CrossRef]
- Olugbenga, O.S.; Adeleye, P.G.; Oladipupo, S.B.; Adeleye, A.T.; John, K.I. Biomass-Derived Biochar in Wastewater Treatment—A Circular Economy Approach. Waste Manag. Bull. 2024, 1, 1–14. [Google Scholar] [CrossRef]
- Tadesse, A.W.; Huang, M.; Zhou, T. Biochar for Wastewater Treatment: Preparation, Modification, Characterization, and Applications. Molecules 2025, 30, 4288. [Google Scholar] [CrossRef]
- Xu, D.; Fan, X.; Chen, Q.; Qiao, S.; Zhang, J.; Yang, Y.; Wang, H.; Zhang, L.; Hou, J. Removal of Nitrogen and Phosphorus from Water by Sludge-Based Biochar Modified by Montmorillonite Coupled with Nano Zero-Valent Iron. Water Sci. Technol. 2022, 85, 2114–2128. [Google Scholar] [CrossRef]
- Hao, J.; Zhang, X.; Zong, S.; Zhuo, Y.; Zhang, Y.; Wang, S.; Deng, Y.; Zhang, X.; Li, J. Biochar as a Highly Efficient Adsorption Carrier for Sewage Sludge-Derived Nutrients and Biostimulants: Component Fixation and Mechanism. Biochar 2024, 6, 42. [Google Scholar] [CrossRef]
- Mian, M.M.; Ao, W.; Xiao, L.; Xiao, J.; Deng, S. Preparation of Low-Cost Sludge-Based Highly Porous Biochar for Efficient Removal of Refractory Pollutants from Agrochemical and Pharmaceutical Wastewater. J. Hazard. Mater. 2024, 478, 135572. [Google Scholar] [CrossRef] [PubMed]
- Mažeikienė, A.; Vaiškūnaitė, R.; Šarko, J. Sand from Groundwater Treatment Coated with Iron and Manganese Used for Phosphorus Removal from Wastewater. Sci. Total Environ. 2021, 764, 142915. [Google Scholar] [CrossRef] [PubMed]
- Li, C.; Shen, J.; Feng, J.; Chi, L.; Wang, X. Variations of Phosphorus in Sediments and Suspended Particulate Matter of a Typical Mesotrophic Plateau Lake and Their Contribution to Eutrophication. Sci. Rep. 2024, 14, 26551. [Google Scholar] [CrossRef]
- Liang, L.; Zhang, X.; Liu, Y.; Chen, J.; Wang, H.; Zhao, Y. Enhanced Adsorption of Phosphate by Rice Straw-Based Biochar Prepared via Metal Impregnation and Bio-Template Technology. Environ. Sci. Pollut. Res. 2024, 31, 39177–39193. [Google Scholar] [CrossRef]
- Mo, J.; Li, Q.; Sun, X.; Zhang, H.; Xing, M.; Dong, B.; Zhu, H. Capacity and Mechanisms of Phosphate Adsorption on Lanthanum-Modified Dewatered Sludge-Based Biochar. Water 2024, 16, 418. [Google Scholar] [CrossRef]
- Elkhlifi, Z.; Hussain Lahori, A.; Ibran Shahib, I.; Iftikhar, J.; Wang, S.; He, L.; Meili, L.; Gendy, E.A.; Sharma, P.; Chen, Z. Comparative assessment of phosphate adsorption properties and mechanisms on Mg/Al-engineered sewage sludge biochar in aqueous solution. J. Water Process Eng. 2023, 56, 104443. [Google Scholar] [CrossRef]
- Zeng, S.; Lan, X.; Liu, P.; Zhang, Z.; Cheng, X.; Xu, N.; Yin, H. Removal of Phosphate from Water by Iron/Calcium Oxide-Modified Biochar: Removal Mechanisms and Adsorption Modeling. Water 2024, 16, 3245. [Google Scholar] [CrossRef]
- Gong, W.; Qi, C.; Huang, L.; Tian, Z.; Huang, Z.; Tao, C.; Lin, H.; Guo, L.; Yu, Z. Adsorption of phosphorus in wastewater by lanthanum-modified magnetic sewage sludge biochar. Desalination Water Treat. 2024, 320, 100603. [Google Scholar] [CrossRef]
- Liu, L.; He, N.; Borham, A.; Zhang, S.; Xie, R.; Zhao, C.; Hu, J.; Wang, J. The effect of iron-modified biochar on phosphorus adsorption and the prospect of synergistic adsorption between biochar and iron-oxidizing bacteria: A review. Water 2023, 15, 3315. [Google Scholar] [CrossRef]
- Huang, R.; Lu, X.; Li, W.; Xiong, J.; Yang, J. Progress on the adsorption characteristics of nZVI and other iron-modified biochar for phosphate adsorption in water bodies. Circ. Econ. 2024, 3, 100112. [Google Scholar] [CrossRef]
- Usevičiūtė, L.; Januševičius, T.; Danila, V.; Mažeikienė, A.; Zagorskis, A.; Pranskevičius, M.; Marčiulaitienė, E. Performance and Kinetics of Anaerobic Digestion of Sewage Sludge Amended with Zero-Valent Iron Nanoparticles. Energies 2025, 18, 1425. [Google Scholar] [CrossRef]
- Januševičius, T.; Mažeikienė, A.; Danila, V.; Paliulis, D. The Characteristics of Sewage Sludge Pellet Biochar Prepared Using Two Different Pyrolysis Methods. Biomass Convers. Biorefinery 2024, 14, 891–900. [Google Scholar] [CrossRef]
- ISO 10523:2008; Water Quality—Determination of pH. International Organization for Standardization: Geneva, Switzerland, 2008. Available online: https://www.iso.org/standard/51994.html (accessed on 12 March 2026).
- Ministry of Environment of the Republic of Lithuania. Lithuanian Wastewater Management Regulation (Order No. D1-236, 17 May 2006; as Amended by Order No. D1-515, 8 October 2007). 2006. Available online: https://www.e-tar.lt/portal/it/legalAct/966b8a60c25d11ec8d9390588bf2de65?csrt=847483903043320180 (accessed on 12 March 2026).
- ISO 5667-13:2011; Water Quality—Sampling—Part 13: Guidance on Sampling of Sludges. International Organization for Standardization: Geneva, Switzerland, 2011.
- ISO 11464:2006; Soil Quality—Pretreatment of Samples for Physico-Chemical Analysis. International Organization for Standardization: Geneva, Switzerland, 2006.
- EN 15309:2007; Characterization of Waste and Soil—Determination of Elemental Composition by X-Ray Fluorescence. European Committee for Standardization: Brussels, Belgium, 2007.
- ISO 11466:1995; Soil Quality—Extraction of Trace Elements Soluble in Aqua Regia. International Organization for Standardization: Geneva, Switzerland, 1995.
- Chandi, K.; Udomkun, P.; Boonupara, T.; Kaewlom, P. Enhancing soil health, microbial count, and hydrophilic methomyl and hydrophobic lambda-cyhalothrin remediation with biochar and nano-biochar. Sci. Rep. 2024, 14, 19551. [Google Scholar] [CrossRef] [PubMed]
- Biswas, B.; Adhikari, S.; Jahromi, H.; Ammar, M.; Baltrusaitis, J.; Torbert, A.; Linhoss, J.; Lamba, J. Magnesium Doped Biochar for Simultaneous Adsorption of Phosphate and Nitrogen Ions from Aqueous Solution. Chemosphere 2024, 358, 142130. [Google Scholar] [CrossRef]
- Xu, G.; Zhang, Z.; Deng, L. Adsorption Behaviors and Removal Efficiencies of Inorganic, Polymeric and Organic Phosphates from Aqueous Solution on Biochar Derived from Sewage Sludge of Chemically Enhanced Primary Treatment Process. Water 2018, 10, 869. [Google Scholar] [CrossRef]
- Yin, Q.; Wang, R.; Zhao, Z. Application of Mg–Al-modified biochar for simultaneous removal of ammonium, nitrate, and phosphate from eutrophic water. J. Clean. Prod. 2018, 176, 230–240. [Google Scholar] [CrossRef]
- Gao, W.; Li, Z.; Yin, S.; Zhang, M.; Liu, X.; Liu, Y. Phosphate removal from aqueous solutions with a zirconium-loaded magnetic biochar composite: Performance, recyclability, and mechanism. Environ. Sci. Pollut. Res. 2023, 30, 1938–1948. [Google Scholar] [CrossRef]
- Kaykhaii, S.; Herrmann, I.; Gelfgren, M.; Hedström, A.; Heidfors, I.; Viklander, M. Mass flow distribution of stormwater pollutants in ultrafiltration treatment system and permeate reuse. Desalination Water Treat. 2025, 322, 101101. [Google Scholar] [CrossRef]
- Wang, Q.; Zhuo, G.; Xue, D.; Zhu, G.; Wang, C.-Y. Sustainable phosphate recovery using novel Ca–Mg bimetallic modified biogas residue-based biochar. Sustainability 2025, 17, 5049. [Google Scholar] [CrossRef]
- Nan, H.; Yang, F.; Li, D.; Cao, X.; Xu, X.; Qiu, H.; Zhao, L. Calcium enhances phosphorus reclamation during biochar formation: Mechanisms and potential application as a phosphorus fertilizer in a paddy soil. Waste Manag. 2025, 162, 83–91. [Google Scholar] [CrossRef] [PubMed]
- Hu, A.; Jiang, Y.; An, J.; Huang, X.; Elgarhy, A.H.; Cao, H.; Liu, G. Novel Fe/Ca oxide co-embedded coconut shell biochar for phosphorus recovery from agricultural return flows. RSC Adv. 2024, 14, 27204–27214. [Google Scholar] [CrossRef] [PubMed]
- Ansari, S.; Bello-Mendoza, R.; O’Sullivan, A. Iron-modified barley straw biochar for nitrate and phosphate removal from water. Environ. Sci. Pollut. Res. Int. 2026, 33, 2319–2333. [Google Scholar] [CrossRef] [PubMed]
- Yang, X.; Tian, X.; Xue, Y.; Wang, C. Application of iron-modified biochar in the fields of adsorption and degradation of antibiotics. J. Environ. Manag. 2025, 380, 124875. [Google Scholar] [CrossRef]
- Ramimoghadam, D.; Gray, E.M.A.; Webb, C.J. Review of polymers of intrinsic microporosity for hydrogen storage applications. Int. J. Hydrogen Energy 2016, 41, 16944–16965. [Google Scholar] [CrossRef]
- Scherdel, C.; Reichenauer, G.; Wiener, M. Relationship between pore volumes and surface areas derived from the evaluation of N2-sorption data by DR-, BET- and t-plot. Microporous Mesoporous Mater. 2010, 132, 572–575. [Google Scholar] [CrossRef]
- Khedr, H.A.; Ebraheem, M.O.; Zayed, A.M. Comprehensive Insights into Phosphorus Solubility and Organic Matter’s Impact on Black Phosphate Leaching. Sci. Rep. 2024, 14, 19159. [Google Scholar] [CrossRef]
- Han, L.; Wang, X.; Li, B.; Shen, G.; Tao, S.; Fu, B.; Han, Y.; Li, W.; Long, S.; Peng, S.; et al. Enhanced Fe-Bound Phosphate Availability by the Combined Use of Mg-Modified Biochar and Phosphate-Solubilizing Bacteria. J. Environ. Chem. Eng. 2022, 10, 107232. [Google Scholar] [CrossRef]
- Peng, Z.; Wang, J.; Niu, N.; Liu, A.; Niu, Y.; Qin, J.; Liu, M.; Li, Y. The effect of PO43−-P concentration on sludge settleability and nutrients removal performance. Water Sci. Technol. 2022, 86, 1108–1121. [Google Scholar] [CrossRef] [PubMed]
- Shahraki, Z.M.; Mao, X. Biochar application in biofiltration systems to remove nutrients, pathogens, and pharmaceutical and personal care products from wastewater. J. Environ. Qual. 2022, 51, 129–151. [Google Scholar] [CrossRef]
- Wu, H.; Huo, Y.; Qi, F.; Zhang, Y.; Li, R.; Qiao, M. Biochar-Supported Microbial Systems: A Strategy for Remediation of Persistent Organic Pollutants. Biochar 2025, 7, 113. [Google Scholar] [CrossRef]
- Lai, W.; Wu, Y.; Zhang, C.; Dilinuer, Y.; Pasang, L.; Lu, Y.; Wang, Y.; Chen, H.; Li, Z. Combination of biochar and phosphorus solubilizing bacteria to improve the stable form of toxic metal minerals and microbial abundance in lead/cadmium-contaminated soil. Agronomy 2022, 12, 1003. [Google Scholar] [CrossRef]
- Lanet, P.; Deluchat, V.; Seiberras, E.; Paing, J.; Baudu, M. Phosphorus removal with zero-valent iron: Fixed-bed experiments with long-term monitoring and solid analysis. J. Water Process Eng. 2023, 55, 104239. [Google Scholar] [CrossRef]
- Anastasiou, M.; Sakkas, V.; Sleiman, M. Activated Biochar from Sewage Sludge: A Sustainable Solution for Effective Removal of Emerging Water Contaminants. Molecules 2025, 30, 3514. [Google Scholar] [CrossRef]
- Khan, S.; Irshad, S.; Mehmood, K.; Hasnain, Z.; Nawaz, M.; Rais, A.; Gul, S.; Wahid, M.A.; Hashem, A.; Abd_Allah, E.F.; et al. Biochar production and characteristics, its impacts on soil health, crop production, and yield enhancement: A review. Plants 2024, 13, 166. [Google Scholar] [CrossRef]
- Zhao, L.; Sun, Z.-F.; Pan, X.-W.; Tan, J.-Y.; Yang, S.-S.; Wu, J.-T.; Chen, C.; Yuan, Y.; Ren, N.-Q. Sewage sludge derived biochar for environmental improvement: Advances, challenges, and solutions. Water Res. X 2023, 18, 100167. [Google Scholar] [CrossRef]
- Qiu, B.; Shao, Q.; Shi, J.; Yang, C.; Chu, H. Application of biochar for the adsorption of organic pollutants from wastewater: Modification strategies, mechanisms and challenges. Sep. Purif. Technol. 2022, 300, 121925. [Google Scholar] [CrossRef]
- Takaya, C.A.; Fletcher, L.A.; Singh, S.; Anyikude, K.U.; Ross, A.B. Phosphate and ammonium sorption capacity of biochar and hydrochar from different wastes. Chemosphere 2016, 145, 518–527. [Google Scholar] [CrossRef]
- Nakić, D.; Licht, K.; Posavčić, H.; Halkijević, I. Biochar from experimental sewage sludge gasification as an adsorbent for phosphate removal. Results Eng. 2025, 27, 106077. [Google Scholar] [CrossRef]
- Wystalska, K.; Grosser, A. Sewage sludge-derived biochar and its potential for removal of ammonium nitrogen and phosphorus from filtrate generated during dewatering of digested sludge. Energies 2024, 17, 1310. [Google Scholar] [CrossRef]
- Qin, Y.; Wu, X.; Huang, Q.; Beiyuan, J.; Wang, J.; Liu, J.; Yuan, W.; Nie, C.; Wang, H. Phosphate removal mechanisms in aqueous solutions by three different Fe-modified biochars. Int. J. Environ. Res. Public Health 2022, 20, 326. [Google Scholar] [CrossRef] [PubMed]
- Meng, X.; Shen, Y.; Wang, L.; Song, Y.; Yuan, C. Efficient phosphate adsorption by ball-milled Fe3O4–modified biochar derived from agricultural waste. ACS Omega 2026, 11, 11094–11103. [Google Scholar] [CrossRef] [PubMed]
- Yang, Q.; Wang, X.; Luo, W.; Sun, J.; Xu, Q.; Chen, F.; Zhao, J.; Wang, S.; Yao, F.; Wang, D.; et al. Effectiveness and mechanisms of phosphate adsorption on iron-modified biochars derived from waste activated sludge. Bioresour. Technol. 2018, 247, 537–544. [Google Scholar] [CrossRef] [PubMed]
- Liu, Z.; Liu, H.; Zhang, Y.; Lichtfouse, E. Efficient phosphate recycling by adsorption on alkaline sludge biochar. Environ. Chem. Lett. 2023, 21, 21–30. [Google Scholar] [CrossRef]
- Xu, J.; Fu, M.; Ma, Q.; Zhang, X.; You, C.; Shi, Z.; Lin, Q.; Wang, X.; Feng, W. Modification of biochar by phosphoric acid via wet pyrolysis and using it for adsorption of methylene blue. RSC Adv. 2023, 13, 15327–15333. [Google Scholar] [CrossRef]
- Ma, F.; Zhao, B.; Diao, J.; Jiang, Y.; Zhang, J. Mechanism of phosphate removal from aqueous solutions by biochar supported nanoscale zero-valent iron. RSC Adv. 2020, 10, 39217–39225. [Google Scholar] [CrossRef] [PubMed]
- Wang, H.; Xiao, K.; Yang, J.; Yu, Z.; Yu, W.; Xu, Q.; Wu, Q.; Liang, S.; Hu, J.; Hou, H.; et al. Phosphorus recovery from the liquid phase of anaerobic digestate using biochar derived from iron-rich sludge: A potential phosphorus fertilizer. Water Res. 2020, 174, 115629. [Google Scholar] [CrossRef]
- Lan, G.; Yan, X.; Deng, P.; Li, T.; Xia, Y.; Zhu, Z.; Wu, Y.; Fu, C. Preparation of iron salt-modified sludge biochar and its uptake behavior for phosphate. Processes 2022, 10, 2122. [Google Scholar] [CrossRef]
- Kasi, G.; Stalin, N.; Rachtanapun, P.; Jantanasakulwong, K.; Halder, J.N.; Phongthai, S.; Worajittiphon, P.; Seo, J.; Thanakkasaranee, S. Effect of calcination temperatures on crystallite size, particle size, and antimicrobial activity of synthesized MgO and its cytotoxicity. Int. J. Mol. Sci. 2025, 26, 4868. [Google Scholar] [CrossRef] [PubMed]
- Yu, J.; Li, X.; Wu, M.; Lin, K.; Xu, L.; Zeng, T.; Shi, H.; Zhang, M. Synergistic role of inherent calcium and iron minerals in paper mill sludge biochar for phosphate adsorption. Sci. Total Environ. 2022, 834, 155193. [Google Scholar] [CrossRef] [PubMed]


















| Wastewater Sample | Indicator | pH | T, °C | NO3–N, mg/L | NH4–N, mg/L | PO4-P, mg/L | SS, mg/L |
|---|---|---|---|---|---|---|---|
| I | Avg. ± SD | 7.53 ± 0.07 | 18.3 ± 0.5 | 1.8 ± 0.5 | 16.2 ± 1.5 | 9.57 ± 1.7 | 6.7 ± 3.0 |
| II | Avg. ± SD | 7.35 ± 0.06 | 18.5 ± 0.5 | 12.4 ± 1.5 | 3.04 ± 1.0 | 7.87 ± 1.5 | 9.8 ± 3.5 |
| III | Avg. ± SD | 7.56 ± 0.07 | 18.6 ± 0.5 | 19.85 ± 1.5 | 1.7 ± 0.5 | 8.3 ± 1.5 | 16.2 ± 3.5 |
| IV | Avg. ± SD | 7.62 ± 0.06 | 18.8 ± 0.8 | 14.52 ± 1.5 | 3.8 ± 1.0 | 7.76 ± 1.8 | 8.8 ± 3.0 |
| V | Avg. ± SD | 7.58 ± 0.07 | 19.0 ± 0.6 | 12.74 ± 1.5 | 0.53 ± 0.5 | 9.0 ± 1.75 | 7.6 ± 3.0 |
| VI | Avg. ± SD | 7.44 ± 0.05 | 19.0 ± 0.6 | 10.52 ± 2.5 | 2.55 ± 0.6 | 6.75 ± 1.2 | 6.5 ± 2.0 |
| VII | Avg. ± SD | 7.63 ± 0.07 | 18.8 ± 0.5 | 12.6 ± 1.8 | 3.45 ± 0.8 | 5.27 ± 1.5 | 5.7 ± 3.0 |
| Experiment No. | Fraction Size, mm | Bed Depth, m | Packing Mass, g | EBCT, h | HLR, m/h | Average PO4-P Conc., mg/L | |
|---|---|---|---|---|---|---|---|
| Real in Wastewater | Increased by Adding K2HPO4 | ||||||
| 1. | 0.3–0.6 | 0.11 | 30 ± 1 | 0.1 ± 0.05 | 1.0 ± 0.1 | 6.5 | 27.0 |
| 2. | 0.6–1.6 | 0.51 | 160 ± 1 | 0.5 ± 0.05 | 1.0 ± 0.1 | 8.0–9.6 | 23.0–46.8 |
| 3. | 0.6–1.6 | 0.51 | 160 ± 1 | 0.25 ± 0.05 | 2.0 ± 0.1 | 8.7 | - |
| 4. | 0.3–0.6 | 0.51 | 160 ± 1 | 0.5 ± 0.05 | 1.0 ± 0.1 | 5.3 | 23.3–28.0 |
| Sample | BET Surface Area, m2/g | Langmuir Surface Area, m2/g | Total Pore Volume at p/p0 = 0.99000, cm3/g | DR Micropore Volume, cm3/g | Average Pore Diameter, nm |
|---|---|---|---|---|---|
| 3% nZVI | 68.9 | 72.1 | 0.027 | 0.038 | 1.52 |
| 1.5% nZVI | 44.7 | 46.6 | 0.018 | 0.026 | 1.49 |
| 0.5% nZVI | 49.6 | 51.7 | 0.020 | 0.024 | 1.51 |
| 0% nZVI | 42.8 | 44.9 | 0.017 | 0.029 | 1.50 |
| Sample No. | pH | ||||
|---|---|---|---|---|---|
| Primary | In Filtrates | ||||
| 1 | 2 | 3 | 4 | ||
| 1. | 7.7 | 8.34 | 8.43 | 8.5 | 8.27 |
| 2. | 7.63 | 8.32 | 8.3 | 8.28 | 8.27 |
| 3. | 7.53 | 8.23 | 8.25 | 8.23 | 8.33 |
| 4. | 7.68 | 8.14 | 8.31 | 8.4 | 8.26 |
| Sample No. | pH | ||||
|---|---|---|---|---|---|
| Primary | In Filtrates | ||||
| 1 | 2 | 3 | 4 | ||
| 1. | 7.47 | 7.95 | 7.97 | 7.81 | 7.87 |
| 2. | 7.53 | 7.86 | 7.84 | 7.86 | 7.85 |
| 3. | 7.57 | 7.77 | 7.82 | 7.88 | 7.80 |
| 4. | 7.55 | 7.81 | 7.84 | 7.90 | 7.82 |
| Map Sum Spectrum | Weight, % | |||
|---|---|---|---|---|
| Element | Precipitates from Column 1 (3% nZVI) | Precipitates from Column 2 (1.5% nZVI) | Precipitates from Column 3 (0.5% nZVI) | Precipitates from Column 4 (0% nZVI) |
| C | 13.33 | 22.53 | 19.84 | 21.16 |
| O | 39.78 | 44.37 | 42.05 | 37.56 |
| Na | 0.93 | 0.46 | 1.84 | 0.01 |
| Mg | 1.83 | 1.86 | 1.61 | 1.29 |
| Si | - | 0.47 | 7.00 | - |
| P | 17.11 | 12.93 | 9.85 | 13.9 |
| S | 0.78 | 0.28 | 1.03 | 0.71 |
| Cl | 2.19 | 0.72 | 2.05 | 1.66 |
| K | 1.18 | 0.76 | 1.98 | 1.09 |
| Ca | 19.89 | 15.61 | 12.4 | 19.72 |
| Zn | 3.00 | - | - | 2.91 |
| Fe | - | - | 0.35 | - |
| Total | 100.00 | 100.00 | 100.00 | 100.00 |
| Map Sum Spectrum | Weight, % | |||
|---|---|---|---|---|
| Element | 1 (3% nZVI) | 2 (1.5% nZVI) | 3 (0.5% nZVI) | 4 (0% nZVI) |
| C | 44.76 | 48.29 | 45.03 | 40.1 |
| O | 25.1 | 25.74 | 25.57 | 33.53 |
| Na | - | 0.32 | 1.65 | 2.51 |
| Mg | 0.92 | 1.04 | 0.9 | 0.6 |
| Al | 1.23 | 1.39 | 1.54 | 1.28 |
| Si | 3.86 | 4.1 | 5.5 | 10.89 |
| P | 3.00 | 3.04 | 3.02 | 2.37 |
| S | 1.02 | 0.78 | 0.84 | 0.46 |
| Cl | - | 0.33 | 0.52 | 0.21 |
| K | 0.81 | 1.59 | 1.32 | 1.11 |
| Ca | 5.1 | 5.54 | 5.53 | 3.18 |
| Ti | - | - | 0.41 | 0.35 |
| Fe | 14.19 | 7.82 | 8.18 | 3.4 |
| Total | 100.00 | 100.00 | 100.00 | 100.00 |
Disclaimer/Publisher’s Note: The statements, opinions and data contained in all publications are solely those of the individual author(s) and contributor(s) and not of MDPI and/or the editor(s). MDPI and/or the editor(s) disclaim responsibility for any injury to people or property resulting from any ideas, methods, instructions or products referred to in the content. |
© 2026 by the authors. Licensee MDPI, Basel, Switzerland. This article is an open access article distributed under the terms and conditions of the Creative Commons Attribution (CC BY) license.
Share and Cite
Mažeikienė, A.; Januševičius, T.; Usevičiūtė, L.; Danila, V.; Pranskevičius, M.; Marčiulaitienė, E. Phosphorus Removal from Real Wastewater Using Biochar Derived from Sewage Sludge Pretreated with Zero-Valent Iron Nanoparticles in a Fixed-Bed Column. Water 2026, 18, 930. https://doi.org/10.3390/w18080930
Mažeikienė A, Januševičius T, Usevičiūtė L, Danila V, Pranskevičius M, Marčiulaitienė E. Phosphorus Removal from Real Wastewater Using Biochar Derived from Sewage Sludge Pretreated with Zero-Valent Iron Nanoparticles in a Fixed-Bed Column. Water. 2026; 18(8):930. https://doi.org/10.3390/w18080930
Chicago/Turabian StyleMažeikienė, Aušra, Tomas Januševičius, Luiza Usevičiūtė, Vaidotas Danila, Mantas Pranskevičius, and Eglė Marčiulaitienė. 2026. "Phosphorus Removal from Real Wastewater Using Biochar Derived from Sewage Sludge Pretreated with Zero-Valent Iron Nanoparticles in a Fixed-Bed Column" Water 18, no. 8: 930. https://doi.org/10.3390/w18080930
APA StyleMažeikienė, A., Januševičius, T., Usevičiūtė, L., Danila, V., Pranskevičius, M., & Marčiulaitienė, E. (2026). Phosphorus Removal from Real Wastewater Using Biochar Derived from Sewage Sludge Pretreated with Zero-Valent Iron Nanoparticles in a Fixed-Bed Column. Water, 18(8), 930. https://doi.org/10.3390/w18080930

