Next Article in Journal
Meltwater Contribution and Mass Balance of the Juncal Norte Glacier During an Extreme Drought Year in the Dry Andes of Central Chile
Previous Article in Journal
Organic Grafting of Clay Minerals with Organo-Alkoxides, Silanes and Amines: Structure–Performance Relationships and Implications for Water Treatment
 
 
Font Type:
Arial Georgia Verdana
Font Size:
Aa Aa Aa
Line Spacing:
Column Width:
Background:
Article

Assessment of Compound Hydrological–Thermal Extremes over Indian River Systems

by
Jaya Bharat Reddy Buchupalle
1,
Satish Kumar Mummidivarapu
1,
Shaik Rehana
1,*,
Shahid Latif
2 and
Taha B. M. J. Ouarda
2
1
Hydroclimatic Research Group, Lab for Spatial Informatics, International Institute of Information Technology-Hyderabad, Gachibowli, Hyderabad 500032, Telangana, India
2
Institut National de la Recherche Scientifique, Centre Eau Terre Environnement, INRS-ETE, 490 De la Couronne, Québec City, QC G1K 9A9, Canada
*
Author to whom correspondence should be addressed.
Water 2026, 18(8), 896; https://doi.org/10.3390/w18080896
Submission received: 27 February 2026 / Revised: 2 April 2026 / Accepted: 3 April 2026 / Published: 9 April 2026

Abstract

River water quality assessment has traditionally been conducted using univariate or threshold-based approaches; however, the exploration of extremes assessment under bivariate water quality variables has been limited by many studies. Understanding the compound extremes of low river discharge (Q) and elevated river water temperatures (RWTs) resulting from climatic variability is essential for effective water quality management and protection of the river. This study investigates the joint behaviour of RWTs and Q in six Indian rivers: Kaveri, Mahi, Sabarmati, Vardha, Bhadra, and Yamuna. The Weibull-3P and Generalised Extreme Value (GEV-3P) distributions best fit for Q and RWTs, respectively. The adequacy of eighteen different parametric copula classes was evaluated. The Gaussian copula provided the best fit for the Vardha River, the Frank copula for Bhadra, and the BB8 copula for the Yamuna River. The evaluation of joint return periods (RPs) and conditional distributions has identified notable spatial variability in compound hydrological and thermal extreme hazards. The semi-arid Vardha River showed the shortest RPs for simultaneous low Q and high RWTs, indicating a greater likelihood of combined extremes. Conversely, the monsoon-fed Bhadra River displayed moderate hazard levels, while the Himalayan-fed Yamuna River had the longest joint RPs and the lowest conditional probabilities. This suggests that simultaneous extreme drought and heat events are less likely in the Yamuna basin, although significant risks remain for less severe thresholds.

1. Introduction

Rivers are vital socio-ecological systems that sustain human livelihoods, biodiversity, and energy security while serving as critical regulators of regional hydroclimatic balances. However, in recent decades, globally river systems have been increasingly exposed to severe stressors driven by anthropogenic pressures and climate variability [1]. Among these, the concurrence of hydrological (low river discharge (Q)) and thermal (elevated river water temperatures (RWTs)) extremes results in critical hazards, threatening aquatic ecosystem health, altering species distribution, and worsening water quality deterioration [2]. The occurrence of such compound hydrological and thermal extremes has intensified under the combined influence of climatic variability and catchment modifications, particularly in water-scarce and climatically vulnerable regions [3]. Quantifying the statistical interdependence of hydrological and thermal extremes, and their resulting compound hazard, is critical for protecting riverine resilience and ensuring sustainable water allocation under escalating climatic variability [4].
The risk assessment associated with extremes in river systems has been studied using fuzzy-based, empirical, statistical, and probabilistic approaches. Fuzzy-based methods utilise ambiguous and independent data to provide a feasible framework [5]. For instance, Rehana and Mujumdar [6] assessed the risk associated with the univariate water quality variable using fuzzy memberships of low water quality, while Li et al. [7] evaluated the risk of sudden pollution events in the Yangtze River using a fuzzy-stochastic method. Regarding probabilistic techniques, many studies in the literature have focused on assessing extremes of thermal (very high RWT) and hydrological (low Q) conditions separately in a univariate mode [8,9,10]. While univariate statistical models are commonly used due to their simplicity and low data requirements, they fail to capture the complex interactions and dependencies between variables that often govern river system behaviour [11,12]. Many studies have found that univariate frequency analysis cannot provide a clear evaluation of extreme events [13,14,15,16]. In real-world river systems, extreme conditions and associated risks frequently arise from the co-occurrence of multiple stressors, whose combined effects are often more detrimental than those of individual stressors. Moreover, evaluating the probabilistic characteristics of these occurrences and their combined distribution can greatly enhance understanding of the riverine behaviour under critical conditions [4].
The multivariate joint analysis has been widely used for modelling various hydrometeorological extremes [11]. Many studies have utilised this multivariate framework for various modelling purposes, such as flood extremes [14,15,17,18], and it has also been extended to non-flood hydro-climatological hazards through the joint modelling of extreme wind gusts and summer elevated maximum temperatures, drought characteristics [17,19], and rainfall characteristics [20,21]. However, few studies have utilised a multivariate framework for estimating extremes in the thermal region of rivers. For instance, Seo et al. [22] analysed the effect of drought on RWT from a probabilistic perspective, and Latif et al. [23] proposed a bivariate joint modelling framework for risk assessment of aquatic life in river systems. However, these studies are not focused on tropical and subtropical river basins, where hydroclimatic regimes, monsoon dependence, and anthropogenic interventions create distinct dynamics.
Furthermore, Indian research studies have focused on multivariate analysis for modelling of flood risk [18], drought characteristics [24,25,26], temperature extremes [27], risk of low water quality of the river [28], and precipitation extremes [29,30]. These studies have limitations in addressing the joint behaviour of two or more extremes, such as hydrological and thermal extremes, particularly in evaluating their combined probabilistic distribution characteristics and the occurrence of compound extremes. Recently, Kumar et al. [31] analysed the compound characteristics of flood-drought using a joint probability approach over India, where thermal extreme evaluation was not considered. Furthermore, there has been a lack of research on the joint and conditional probability relationship between hydrological and thermal extremes in Indian rivers, particularly in tropical and subtropical river basins.
Beyond Indian river case studies, compound hydrological–thermal extremes have been investigated in several temperate and alpine river systems. For instance, Latif et al. [4] applied parametric copulas to the joint distribution of maximum RWT and low Q in Swiss river basins and demonstrated that neglecting dependence leads to systematic bias in risk estimates for cold-water species. Recently, Hani et al. [32] applied nonstationary copula frameworks for six unregulated Atlantic salmon rivers in Canada to quantify compound hydrological–thermal extremes under changing climate conditions. At the same time, copula-based multivariate analyses have been widely adopted for compound floods [33], multitype droughts [34], and agrometeorological risks [35] in Europe and Asia, highlighting the broad applicability of copula models for compound hazard assessment across diverse hydroclimatic conditions. However, these studies focused on temperate or alpine rivers; this study aims to develop a copula-based framework specifically tailored to tropical and subtropical, monsoon-dominated river systems and to quantify compound low-flow and high-temperature extremes using joint, union, and conditional probabilities and their associated return periods.
The specific objectives of the study are: (i) to conduct dependence testing between discharge and temperatures, (ii) to select the best copula model based on statistical performance criteria, (iii) to quantify the hazard based on the joint, union, and conditional probability, and (iv) to estimate the primary RPs for AND and OR-joint case along with “conditional” joint distribution. Unlike other studies conducted over temperate or alpine rivers, the novelty of the current study lies in (i) systematically screening tropical and subtropical river systems to identify where statistically significant dependence between RWT and Q exists, (ii) fitting river-specific marginal distributions and copulas to capture asymmetric and non-linear dependence structures, and (iii) quantifying the compound hydrological–thermal extremes across semi-arid, monsoon-fed, and Himalayan-fed rivers. Together, these contributions provide a first comparative assessment of copula-based compound extremes for tropical and subtropical river systems.

2. Materials and Methods

2.1. Study Area and Datasets Used

The study was conducted on six tropical and subtropical major river systems in India: the Yamuna, Bhadra, Kaveri, Mahi, Sabarmati, and Vardha. The gauging stations considered for these rivers are Pratappur (25°22′ N, 81°40′ E), Bhadravathi (13°83′ N, 75°71′ E), Kodumudi (11°04′ N, 77°53′ E), Paderdibadi (23°45′ N, 74°08′ E), Sabarmati (22°65′ N, 72°53′ E), and Marol (14°56′ N, 75°37′ E), respectively. Each river represents diverse climatic, geographic, and hydrological settings across India, ranging from the Himalayan-fed Yamuna to the monsoon-driven rivers of peninsular India. For each river, relevant gauging stations were selected based on data availability, catchment significance, and long-term monitoring records. The details of the (study area) river gauge station locations are shown in Figure 1. The datasets span the period from 2000 to 2017. Table 1 provides a statistical summary of the central tendency and dispersion characteristics of discharge (Q) and river water temperature (RWT) across the six Indian river basins. These metrics collectively describe the typical Q and RWT patterns observed in each river and the variability around those patterns. Table 2 provides a statistical analysis of the percentile-based and shape descriptors of Monthly Q and RWT. The geographical characteristics, gauging station details, and data sources for all six river systems are summarised in Table 3.
The percentile-based and shape descriptors of the monthly Q and RWT distributions were analysed for all rivers considered (Table 2). Specifically, these include P 25 ,   P 50 ,   P 95 , and IQR, which collectively describe the spread and skewness of the datasets. Additionally, the analysis reports skewness, which quantifies asymmetry in the data distribution, and kurtosis, which indicates the presence of heavy tails or extreme events. The Mann–Kendall test results at the 5% significance level show significant decreasing trends in Q for Sabarmati and Bhadra, and in RWT for Kaveri and Sabarmati (|z| > 1.96). Other rivers did not exhibit statistically significant monotonic trends. The Mann–Kendall test statistics for Q and RWT for all rivers are provided in Table 4.
The hydrological and thermal regimes of the selected rivers vary significantly, as shown in the descriptive statistics (see Table 1 and Table 2). The river systems display a wide range of flow characteristics driven by their climatic zones. The Sabarmati, Mahi, and Bhadra rivers exhibit highly volatile flow regimes. The Sabarmati displays the most extreme behaviour with a CV of 1.95, high skewness (5.63), and extreme kurtosis (41.62), indicating a regime dominated by frequent low flows interrupted by episodic high-flow events. Similarly, the Bhadra (CV = 2.19) and Mahi (CV = 2.34) show pronounced fluctuations and heavy-tailed distributions. The Yamuna, despite being Himalayan-fed with a high mean discharge (~780 m3/s), also exhibits significant variability (CV = 1.93) and positive skewness (3.40), reflecting the distinct seasonality of glacial melt and monsoon inputs. In contrast, the Kaveri and Vardha rivers show more stable flow patterns. The Kaveri (CV = 0.98) and Vardha (CV = 0.93) exhibit lower kurtosis and skewness compared to the other basins, suggesting a moderately fluctuating flow regime with fewer extreme outliers.
Compared to discharge, RWT is relatively more stable across all basins. The average RWT across the stations generally ranges between 25 °C and 28 °C. The Vardha River displays the most stable thermal profile (CV = 0.03) with a nearly symmetric distribution. Conversely, the Bhadra River shows slightly higher variability in the upper tails (kurtosis = 6.27) and a wider range (22 °C to 36 °C), while the Mahi and Sabarmati reflect notable seasonal thermal fluctuations consistent with their semi-arid and tropical locations.

2.2. Methodology

The methodology adopted in this study is outlined in Figure 2, which presents a step-by-step framework for the copula-based hazard assessment. The process begins with data preprocessing, in which the Q and RWT datasets are prepared for analysis. The next critical step involves testing the dependence structure between Q and RWT using Kendall’s Tau and Spearman’s Rho to verify whether a statistically significant association exists between the variables. To evaluate the influence of the seasonal cycle on the dependence structure, deseasonalisation of the datasets was performed. The estimation of Kendall’s Tau and Spearman’s Rho was conducted on raw monthly datasets and deseasonalised datasets. Only when a significant dependence structure is confirmed, then the process advances to the selection of univariate candidate distributions for both Q and RWT, guided by Q–Q plots and descriptive statistics such as skewness and kurtosis. Following this, parameter estimation is performed for each candidate distribution using Maximum Likelihood Estimation (MLE) [36]. The best-fitting distributions for the marginals are selected based on model selection criteria, including the Akaike information criterion (AIC), Bayesian information criterion (BIC), and log-likelihood (LL). These selected marginals are then coupled through copula fitting, where several copula classes are evaluated to best describe the dependence structure. The copula with the lowest AIC and BIC values is chosen as the best-fit model. Once the joint distribution is constructed, the framework proceeds to hazard quantification, in which joint probabilities (AND-joint event), union probabilities (OR-joint event), and conditional probabilities are computed. Finally, return-period (RP) calculations are conducted to quantify the frequency of these compound events. This structured process, as illustrated in Figure 2, integrates both univariate and bivariate statistical analyses to develop a comprehensive, copula-based hazard assessment model for river water quality.
Any copula-based joint model must demonstrate statistically significant dependence between Q and RWT. Copulas are, therefore, specifically designed to describe dependence structures between random variables independent of their marginal behaviour and are thus useful only when some association is present (linear or non-linear). This study tests for that association using nonparametric rank correlation measures, such as Kendall’s ( τ ) and Spearman’s ( ρ ) , which capture monotonic relationships without assuming normality [37,38]. Once statistically significant dependence is confirmed, a copula-based framework is used to model the joint distribution of Q and RWT.

2.3. Selection and Fitting of Univariate Distributions

Selecting an appropriate univariate marginal probability distribution for the variables RWT and Q is a crucial prerequisite for modelling bivariate joint dependence. Candidate marginal distributions for each variable are identified, and the best-fitted functions are selected according to empirical characteristics (skewness and kurtosis) and Q–Q plots.
The marginal distribution parameter is estimated using MLE, which identifies the parameter values that maximise the likelihood of the observed data. This method is recommended for hydrological frequency analysis because it is statistically efficient and robust in estimating parameters [39].
The best-fitting marginal distribution is selected based on model selection criteria that weigh goodness-of-fit against model complexity. This study uses the AIC [40], BIC [41], and LL as the main metrics for evaluating distribution performance. The AIC is calculated as given in Equation (1). The AIC penalises models with more parameters (through the 2 k term) to reduce overfitting [40].
A I C = 2 k 2 ln L m a x
where L m a x is the maximum likelihood value of the distribution, and k is the number of estimated parameters. The AIC penalises models with more parameters to avoid overfitting. The BIC imposes a stronger penalty for model complexity and is calculated using Equation (2).
B I C = 2 ln L m a x + k ln n
where n is the number of observations, and a smaller BIC value implies a much better trade-off between goodness-of-fit and complexity, especially favouring simpler models when the sample size is large. BIC imposes a stronger penalty for model complexity (through the k   l n ( n ) term), and can be motivated as a large-sample approximation to Bayesian model comparison [41].
In addition, the LL values are directly considered, where higher values indicate a better overall fit to the observed data. LL, AIC, and BIC offer an in-depth understanding of the suitability of each distribution. All candidate distributions are ranked based on these three criteria (AIC, BIC, and LL). The distribution with the lowest AIC and BIC values, combined with the highest LL, is selected as it offers a great balance between model complexity and goodness-of-fit. These tests, combined with diagnostic plots (Q–Q plots), help to identify areas of poor fit (especially in the tails), thus complementing the systematic comparison of AIC, BIC, and LL. This process provides selected marginal CDFs: F Q q for discharge as well as F R W T w for water temperature, each one with estimated parameters ready to be used in the joint analysis.

2.4. Bivariate Copula Modelling

After specifying suitable marginal distributions for Q and RWT, a copula is used to model their dependence while keeping the marginals separate. By Sklar’s theorem, the joint CDF of Q , R W T can be written as shown in Equation (3).
H q , r w t = C F Q Q , F R W T R W T = P Q Q , R W T R W T
where F Q and F R W T are the marginal CDFs of Q and R W T , respectively, and C , is a bivariate copula capturing their dependence.
For each candidate copula class, the dependence parameters were estimated by maximum likelihood using pseudo-observations obtained by transforming the fitted marginals to the unit interval [0, 1]. Fitted copulas are compared using AIC and BIC, and the model with the smallest criterion value is selected [40,41]. This approach avoids restrictive multivariate distributional assumptions and accommodates skewed, non-linear dependencies [42].

2.5. Joint Probability (AND-Joint Event)

Using the marginal distributions together with the copula allows the quantification of joint probabilities of compound events and the derivation of associated RPs. Compound events are defined by the simultaneous occurrence of events conditioned on discharge Q and water temperature R W T . For instance, the river water quality hazard associated with the compound event considered in this study is: Q Q (discharge below a critical threshold) and R W T > R W T (temperature above a critical threshold). These events are denoted as: A = { Q Q } , B = { R W T > R W T } .
The joint probability of both conditions occurring simultaneously is presented in Equation (4). This represents the likelihood of experiencing a low-discharge event concurrently with a high-water-temperature event.
P A B = P Q Q , R W T > R W T
The total probability P Q Q can also be partitioned into two mutually exclusive events as shown in Equation (5). Rearranging the terms in Equation (5), we arrive at the joint probability, i.e., P Q Q , R W T > R W T as shown in Equation (6).
P Q Q = P Q Q , R W T R W T + P Q Q , R W T > R W T
P Q Q , R W T > R W T = P Q Q P Q Q , R W T R W T = P A B
Since F Q Q is P Q Q and substituting C F Q Q , F R W T R W T from Equation (3), we get the joint AND probability in terms of the marginal CDF and joint CDF as shown in Equation (7).
P A B = P Q Q , R W T > R W T = F Q Q C F Q Q , F R W T R W T

2.6. Joint Probability (OR-Joint Event)

Now, the focus is on determining whether at least one of the two conditions occurs, specifically when discharge falls below a threshold or water temperature exceeds a critical level. This combined probability is calculated using the union of the two events as described in Equation (8):
P A B = P Q Q R W T > R W T
The union probability is derived using the inclusion-exclusion principle, which accounts for the probabilities of each individual event while avoiding double-counting the overlap between them. This formulation is presented in Equation (9):
P A B = P A + P B P A B
The individual probabilities for discharge (event A) and water temperature (event B) can be written as shown in Equation (10):
P Q Q = F Q Q , P R W T > R W T = 1 P R W T R W T = 1 F R W T R W T
Substituting the individual probabilities into the union formula (Equation (9)) yields the expanded expression for union probability. After simplifying by cancelling common terms, we arrive at the final compact form of the union probability as shown in Equation (11):
P Q , Q R W T > R W T = F Q Q + 1 F R W T R W T [ F Q Q C ( F Q Q , F R W T R W T ) ]
P A B = P Q Q R W T > R W T = 1 F R W T R W T + C F Q Q , F R W T R W T

2.7. Conditional Probability

Following De Michele et al. [19], we adopt conditional probability to quantify compound extremes, the likelihood of one hydrologic/thermal event occurring given that another has already occurred. In this study, we evaluate the probability of low-flow conditions (Event A) given high water-temperature conditions (Event B). Mathematically, the conditional probability of Event A occurring given that Event B has occurred is expressed as shown in Equation (12).
P A B = P A B P B
Equation (12) states that the conditional probability is the ratio of the joint probability of both events (low discharge and high water temperature occurring together) to the probability of the conditioning event (the occurrence of high water temperature). By substituting the derived expressions for the joint probability from Equation (7) and the individual probability from Equation (10) into the conditional probability formula, we obtain Equation (13):
P Q Q R W T > R W T = F Q Q C F Q Q , F R W T R W T 1 F R W T R W T

2.8. Return Period Calculation

In hydrology, the RP (or recurrence interval) expresses the frequency of an event in time. It is the inverse of the probability of occurrence. The joint RP under the AND-joint event refers to both low discharge and high water temperature occurring simultaneously. The joint RP for the AND-joint event is derived directly from the joint probability expression provided in Equation (7), which uses the copula-based joint probability model. The RP T A N D is the inverse of this joint probability. The factor of 12 is included to convert monthly probabilities into annual RPs because the analysis uses monthly aggregated data. Therefore, the RP for the AND-joint event is expressed as shown in Equation (14).
T AND ,   years = 1 12 × P Q Q , R W T > R W T = 1 12 × F Q Q C F Q Q , F R W T R W T
The joint RP under the OR-joint event refers to the occurrence of at least one of the two events (either low discharge or high water temperature). The RP for the OR-joint event is derived from the union probability formula presented in Equation (11). The RP T O R represents the frequency at which either low discharge or high water temperature occurs, as shown in Equation (15).
T OR ,   years = 1 12 × P Q Q R W T > R W T = 1 12 × 1 F R W T R W T + C F Q Q , F R W T R W T
Based on the fundamental principle of probability, the probability of either one or both events occurring (OR-joint event) is always greater than or equal to the probability of both events occurring simultaneously (AND-joint event). Mathematically, this relationship is expressed as shown in Equation (16).
P A B   P A B
Since the RP is the inverse of probability, a higher probability (as in the OR-condition) results in a shorter RP, while a lower probability (as in the AND-joint event) corresponds to a longer RP. This leads to the RP inequality as shown in Equation (17).
T OR T AND
To quantify uncertainty in the return-period estimates, a block bootstrap approach was utilised. Consecutive one-year blocks of the monthly series were resampled with replacement to generate bootstrap samples of the same length, thereby preserving the temporal and seasonal structure of the data. For each bootstrap sample, the marginal model was refitted, and the return-period thresholds were recalculated. The 95% confidence intervals were calculated from the 2.5th and 97.5th percentiles of the bootstrap estimates.

3. Results and Discussion

The dependence of Q on RWT is first considered to justify the use of copula-based joint modelling. Nonparametric rank correlation metrics are employed to assess monotonic associations: Kendall’s Tau and Spearman’s Rho, as outlined in Section 2. In addition, the dependence structure between Q and RWT is examined visually using bivariate scatter plots and chi-plots (Figure 3 and Figure 4). The scatter plots summarise the overall pattern and dispersion of Q–RWT pairs, while the chi-plots diagnose departures from independence and highlight the strength and direction of dependence [43].
The nonparametric rank correlation analysis shows that three rivers, Kaveri, Mahi, and Sabarmati, exhibit weak or statistically insignificant dependence between Q and RWT with the raw monthly data. Additionally, the deseasonalised data for these rivers does not create strong or consistent dependence. Specifically, their correlation coefficients are close to zero, and p-values exceed standard significance thresholds (0.05), indicating a lack of meaningful association. The lack of significant dependency for these rivers may be due to the limited availability of data points at these stations, and these rivers are significantly influenced by regulation and various abstractions. Thus, the copula-based joint distribution modelling was not workable for Kaveri, Mahi, and Sabarmati, so these are omitted for further analysis. In contrast, the rivers Vardha, Bhadra, and Yamuna show more substantial and statistically significant negative or positive correlations with the raw monthly data. The dependence also becomes slightly stronger, with similar statistical significance, after deseasonalisation for the Vardha and Bhadra rivers. Thus, the further analysis was conducted using the raw monthly data for the Vardha, Bhadra, and Yamuna rivers. The numerical details of the correlation analysis between RWT and Q are presented in Table 5.
Using these results, copula-based joint distribution modelling for Vardha, Bhadra, and Yamuna is applied. This aligns with recent copula analyses, indicating that joint modelling is justified only for basins and variable pairs with clear dependence. For example, Latif et al. [4] found strong negative correlations between low flow and maximum river temperatures in Swiss rivers, indicating that overlooking this dependence underestimates joint exceedance risk for cold-water habitats. Similarly, multivariate drought studies have applied copulas only to variable combinations (e.g., drought duration–severity, meteorological–hydrological indices) with significant dependence, while discarding weakly associated variables from bivariate analysis [34,44]. Thus, the exclusion of Kaveri, Mahi, and Sabarmati from copula-based joint modelling follows best practice and highlights that not all tropical or monsoon-fed rivers exhibit the same level of hydrological–thermal coupling.

3.1. Univariate Distribution Analysis

Table 6 summarises the key statistical measures of the monthly discharge and water-temperature series for the Vardha, Bhadra, and Yamuna basins. Yamuna exhibits the highest mean discharge (780.0 m3/s) among the three rivers, with a high CV of 1.93, strong positive skewness (3.40), and large kurtosis (12.29), all indicating highly variable flows with substantial extremes. Bhadra, by contrast, has the lowest mean discharge (27.3 m3/s) and the greatest variability (CV = 2.19) with very strong skewness (3.99) and extremely heavy tails (kurtosis = 22.06). Vardha lies in between, with a mean discharge of 141.3 m3/s and moderate variability (CV = 0.93), suggesting occasional higher-than-average flows but less extreme behaviour compared to the other basins. The values suggest a right-skewed distribution with occasional higher-than-average flows but with no extreme outliers.
Water-temperature statistics are far more homogeneous across basins. The mean and median temperatures of all three rivers tend to be in the range of 25–26 °C. However, the statistical characteristics indicate that Bhadra shows higher skewness (1.52) and kurtosis (6.27) compared to the other rivers, suggesting more asymmetry and heavier tails in its temperature distribution. The Yamuna River also exhibits some asymmetry and moderate kurtosis (−0.84). Vardha’s temperature distribution remains nearly symmetric with minimal kurtosis (−0.58). The coefficients of variation (CVs) are also small: 0.04 for Vardha, 0.09 for Bhadra, and 0.18 for Yamuna, suggesting that temperature varies only slightly around the mean for all rivers. These univariate moments confirm that, in contrast to water temperature, monthly discharge demonstrates a distinctly non-Gaussian behaviour, with skewness and heavy tails varying significantly across basins.
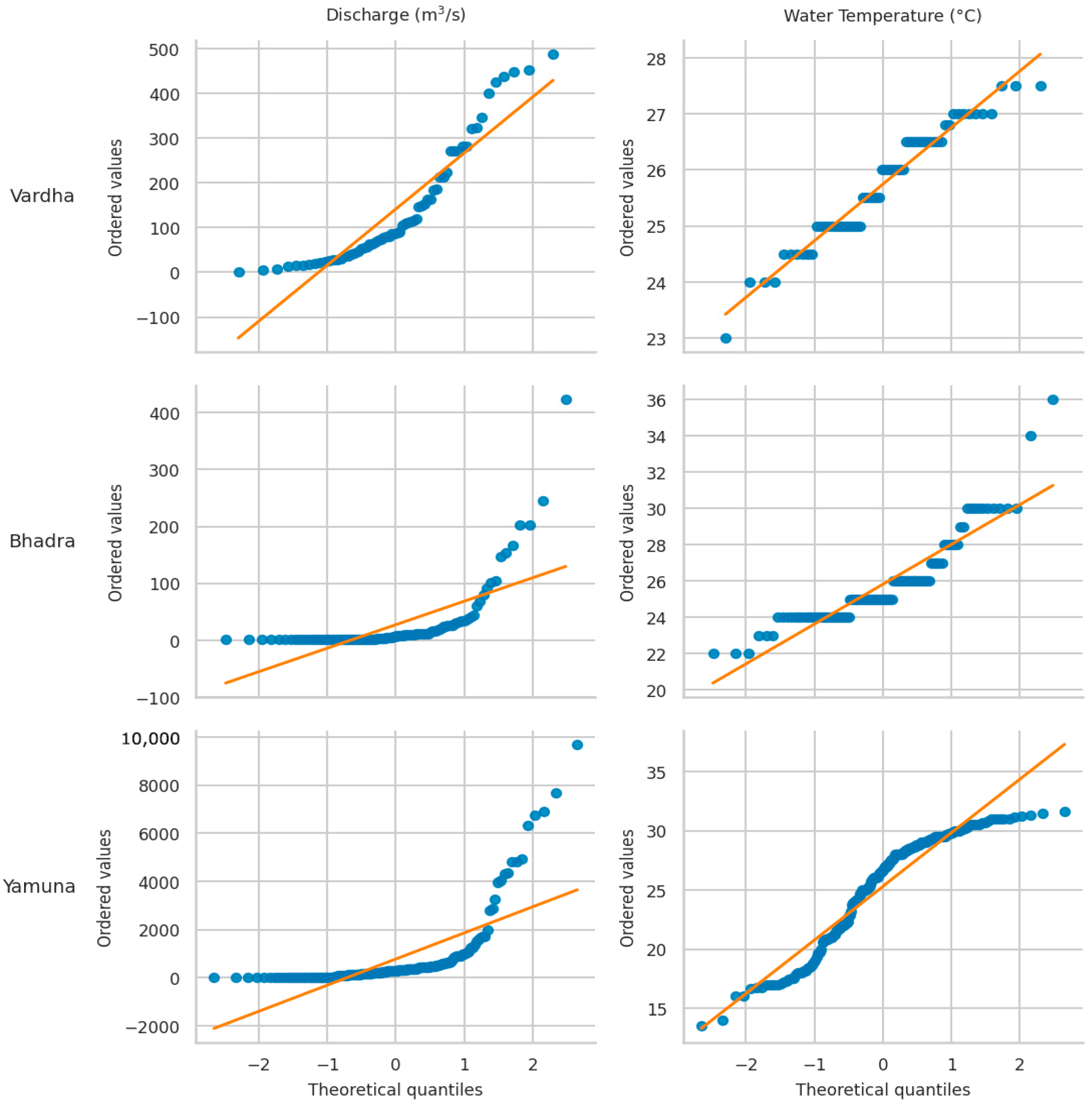
These inferences are supported by the Q–Q plots shown in Figure 5. The empirical quantiles for discharge for the three rivers differ significantly from the straight-line reference of the normal distribution, particularly in the upper tail. Yamuna and Bhadra have a strong upward curvature for high flow percentiles, in line with their large skewness as well as kurtosis, whereas Vardha exhibits moderate deviation from normality. Conversely, the water temperature Q–Q plots are closely aligned along the diagonal line for most quantiles, particularly for Vardha, indicating that a normal approximation is acceptable for thermal extremes of Indian rivers. Bhadra’s temperature distribution shows more visible deviations in the tails, consistent with its higher skewness (1.52) and kurtosis (6.27). The temperature plot of Yamuna shows slight tail deviations consistent with its slightly higher CV as well as kurtosis, though the fit is still superior to that of discharge in general.

3.2. Candidate Distributions for Discharge (Q)

Based on skewness and kurtosis, several distributions were explored for discharge modelling: Pearson Type III (P3), Generalised Extreme Value (GEV), Lognormal (LN3), Weibull (W3), and Gamma. P3 is adaptable to varying skewness levels and is particularly relevant for moderately skewed rivers such as the Vardha. GEV is ideal for capturing heavy tails and was particularly appropriate for the highly skewed and heavy-tailed distributions in Bhadra and Yamuna. LN3 was considered for its flexibility in modelling right-skewed flows, providing a reasonable fit for rivers such as the Vardha. W3 was included for its ability to model both low- and high-flow extremes, making it particularly suitable for hydrological applications. Finally, the Gamma distribution was frequently used for positively skewed hydrological data across all three rivers. These distributions were selected not only for their statistical properties but also due to their proven applicability in hydrologic modelling.

3.3. Candidate Distributions for River Water Temperature (RWT)

The river water temperature data showed slight to moderate skewness as well as moderate kurtosis across the three rivers, with skewness ranging from −0.63 to 1.52 and kurtosis ranging from −0.84 to 6.27. The distributions explored for modelling RWT include: Normal (N), Lognormal (LN2, LN3), Gamma (G), GEV, and W3. The N distribution was applied where the temperature data appeared approximately symmetric, as indicated by low skewness in Vardha; normality is often observed in environmental datasets that stabilise over time. The Lognormal (LN2, LN3) distribution was recommended for right-skewed cases such as Bhadra and Yamuna, with LN3 offering added flexibility by accounting for a location shift. The G distribution was selected due to its ability to model moderately skewed and positively bounded temperature data. GEV was used to capture tail-heavy behaviour, especially relevant for temperature extremes observed in Bhadra. Lastly, the W3 distribution served as a flexible distribution often used in climatology, particularly when dealing with bounded, slightly skewed temperature datasets. These candidates reflect both empirical behaviour and domain relevance, ensuring robust modelling of marginal distributions before proceeding to joint dependence analysis.

3.4. Univariate Analysis Summary for Discharge (Q)

Discharge data of the Vardha, Bhadra, and Yamuna rivers were modelled with six candidate probability distributions, with parameter estimation conducted via MLE. For each site, the best-fitting distribution was selected based on model selection criteria (AIC, BIC, and LL) as shown in Table 7.
Note: the bolded values indicate the best fit, corresponding to the distribution with the lowest AIC and BIC values and the highest LL value among the candidate models for each river.
For the Vardha River, the Weibull3 distribution was the most parsimonious fit with the lowest AIC (759.42) and strong LL (−376.71), capturing the moderate skewness of the data. For the Bhadra River, the Weibull3 distribution also provided the best fit, outperforming other candidates with the lowest AIC (668.51) and highest LL (−331.25), indicating its capability to handle Bhadra’s strong skewness and high variability. Meanwhile, GEV was best suited for Yamuna’s discharge and showed strength in modelling extreme events with the lowest AIC (2133.47) and highest LL (−1063.73). Diagnostic plots supporting these selections further demonstrate the visual goodness of fit in the distribution tails. The marginal CDFs of discharge FQ(q) in the upcoming copula-based joint dependence modelling will be based on these selected distributions, Weibull3 distribution for both Vardha and Bhadra, and GEV distribution for Yamuna. The monthly discharge histograms, overlaid with various density fits, for the three rivers are shown in Figure 6.

3.5. Univariate Analysis Summary for RWT

The GEV distribution provides the best fit for RWT across the Vardha, Yamuna, and Bhadra rivers in univariate distribution fitting. The low BIC and AIC values, in addition to the high LL scores across all three sites, as reported in Table 8, indicate a strong balance between goodness-of-fit and model simplicity. The findings demonstrate the versatility of GEV in capturing extreme temperature variations and its ability to model the marginal distributions of RWT, which will serve as important inputs to subsequent joint dependence modelling using copulas. The monthly river water temperature histograms, overlaid with various distribution density fits, for the three rivers are shown in Figure 7.
Note: the bolded values indicate the best fit, corresponding to the distribution with the lowest AIC and BIC values and the highest LL value among the candidate models for each river.

3.6. Bivariate Copula Modelling and Copula Model Selection

For this study, a comprehensive set of 18 copula classes was considered, including elliptical copulas (Gaussian, t-Copula), Archimedean copulas (Clayton, Gumbel, Frank, Joe), and several members of the BB (Blomqvist–Bjørnstad) family, along with their rotated variants to fit the joint distribution of both discharge and water temperatures. This diverse set allows for the capture of a wide range of dependence structures, including upper- and lower-tail dependencies and asymmetric relationships between discharge and water temperature. Table 9 shows the AIC and BIC values for 18 distinct copula classes, fitted to the bivariate data (discharge and water temperature) for each river. The best-fitting copulas were selected based on the lowest AIC values. For the Vardha River, the Gaussian copula had the lowest AIC (−1.3574) as well as BIC (0.8015), making it the most suitable model for predicting the relationship between discharge and water temperature. The Frank copula has a similar AIC value (−1.3546), indicating a slightly less parsimonious fit. The dependence structure within this river is symmetric and fairly linear, as indicated by these results.
For the Bhadra River, the Frank copula provided the best fit, with the lowest AIC (−2.6882) and BIC (−0.0247). It outperformed the Gaussian copula and other alternatives, suggesting a moderate, symmetric dependence with greater flexibility in capturing non-linear associations between discharge and water temperature. In contrast, the Yamuna River was best modelled by the BB8 copula as a result of its lower AIC (−10.8195) as well as BIC (−4.5129), indicating its ability to handle complex or asymmetric dependence structures, possibly with tail dependencies. The Gaussian, Joe, and Gumbel copulas performed very well but were less optimal. Some copula classes, such as the BB family and their rotated versions, are restricted to certain kinds of dependence (negative or positive), which is notable. BB1, BB6, BB7, and BB8, along with their 180° rotations, are only applicable to positively dependent variables, whereas 270° rotations are specifically designed for negatively dependent variables. The final joint distribution models will be constructed using these copulas, selected according to model selection criteria, allowing for accurate simulation and assessment of joint Q–RWT events.
The copula classes identified for the three rivers align with findings from recent studies on compound hazard assessments. Latif et al. [4] reported that elliptical copulas, like Gaussian, fit well for moderate and symmetric dependencies between low Q and high RWT, while Archimedean copulas, like Frank, were better for skewed dependencies. Poonia et al. [34] found that different copulas captured joint drought characteristics in various regions of the Indian subcontinent, with the Gaussian copula effective in some areas and Gumbel or Clayton types for tail-dependent behaviour in other regions. Furthermore, the use of the BB8 copula for the Himalayan-fed Yamuna indicates a complex, potentially asymmetric dependence, aligning with findings that suggest higher-order copulas are needed in shifting climate conditions [33].

3.7. Return Period Analysis

In Table 10, for each of the Bhadra, Vardha, and Yamuna basins, the univariate discharge and water-temperature thresholds corresponding to RPs T = 2, 5, 20, and 50 years are presented. The univariate return period analysis shown in Table 10 reveals that, for higher return periods, the Vardha and Bhadra rivers reach very low discharge thresholds together with relatively high RWT, whereas Yamuna still maintains comparatively higher low-flow thresholds with moderate thermal stress. This may be due to the fact that Vardha and Bhadra are semi-arid and monsoon-fed rivers, so they can experience low flow and high temperature conditions more easily, while the Himalayan-fed Yamuna receives snowmelt and baseflow that help to maintain higher flows and lower temperature increases.
For river discharge, the probability that discharge Q is less than or equal to a threshold Q T is given by its cumulative distribution function (CDF) as defined in Equation (18):
P Q Q T = F Q Q T
The thresholds provided in Table 10 with regard to Q correspond to non-exceedance probabilities (lower flow thresholds), which are suitable in this context because Event A is defined as Q   Q T . This non-exceedance probability is mathematically expressed in Equation (19):
P Q Q T = 1 / T
By solving for Q T , we obtain Equation (20):
Q T = F Q 1 1 T ,
The scatter plots for the modelled joint CDF and joint PDF of Q and RWT for the Vardha, Bhadra, and Yamuna stations are shown in Figure 8. To estimate the water temperature threshold corresponding to a given RP, the derivation is based on the fundamental principles of exceedance probability and RP relationships. The derivation begins with the non-exceedance probability, which describes the probability that the RWT is less than or equal to a specified threshold R W T T , as shown in Equation (21):
P R W T R W T T = F R W T R W T T
where F W T R W T T represents the cumulative distribution function (CDF) of the water temperature. The exceedance probability is the probability that the water temperature exceeds this threshold.
Because Event B is defined as an exceedance of the water-temperature threshold R W T T , its probability is given by the upper-tail of the marginal distribution of R W T as shown in Equation (22).
P R W T > R W T T = 1 F R W T R W T T = 1 T
a T -year return level for water temperature is the ( 1 1 / T ) -quantile of the marginal CDF, i.e., R W T T = F R W T 1 1 1 / T .
As the RP T increases, the corresponding water temperature threshold, cap T, and sub-cap T also increase, indicating that extreme temperature conditions occur less frequently. For example, in the Bhadra basin, the 2-year discharge threshold is approximately Q 2     8.9   m 3 / s ( ~ 50 % exceedance), falling sharply to Q 200     0.003   m 3 / s   ( ~ 0.5 %   exceedance ) . Meanwhile, the corresponding water temperature thresholds rise from R W T 2     25.4   ° C to R W T 200     34.9   ° C . Across the three basins, the Yamuna consistently exhibits the highest discharge thresholds for all RPs, indicating that even under low-flow conditions (e.g., low discharge percentiles), the Yamuna maintains relatively higher discharge levels compared to the other basins. This can be attributed to the larger catchment area and higher base flow characteristics of the Yamuna, which support sustained river flow even during drier periods. On the other hand, the Vardha shows the lowest discharge thresholds across all RPs, suggesting that low-flow conditions in the Vardha basin are more severe, with significantly reduced discharge rates.
The incorporation of a 50-year RP into a 17-year record of monthly data introduces a significant amount of uncertainty. To quantify uncertainty in the univariate return-period thresholds, Figure 9 represents the observed estimates, bootstrap median estimates, and 95% confidence intervals for discharge and water temperature in the Yamuna, Bhadra, and Vardha rivers.

3.8. Conditional Probability

Figure 10 illustrates the conditional probability that discharge is less than or equal to a specified threshold, given that RWT exceeds a certain percentile threshold. Each curve in the figure corresponds to a different RWT threshold, ranging from the 5th to the 95th percentile. For a selected RWT threshold (for example, the 75th percentile), the corresponding curve shows how the probability of low discharge changes across varying discharge thresholds. The conditional probability increases as the discharge threshold increases because it becomes more likely that discharge will fall below the specified threshold. This visualisation helps to understand how low-flow probabilities are influenced under progressively more severe hot-water conditions.
In each panel of Figure 10 above, we plot the conditional probability as shown in Equation (23).
P Q q R W T > r w t p = P Q q , R W T > r w t p P R W T > r w t p
where r w t p is the p th percentile of the water-temperature distribution. To construct the horizontal axis, we draw a fine grid of discharge values q i = F Q 1 u i , u i = 0.15 , , 0.85 , so that q i spans the full range of low- to high-flow conditions in each basin. The vertical axis then shows the corresponding conditional probability (in percent) that the discharge does not exceed q i given that the water temperature has already exceeded r w t p . For each discharge threshold q i , the conditional probability is calculated while systematically varying r w t p from the 5th to the 95th percentile of the water temperature distribution in increments of 5 percentile units.
q P Q q R W T   >   r w t p
Because Equation (24) is a non-decreasing function of q, every curve in Figure 10 rises monotonically from near 0 (at very small q) toward 100% (for large q). Moreover, curves corresponding to more extreme temperature thresholds (p larger) lie above those for milder thresholds, reflecting stronger low-flow probability once a more severe hot-spell condition has been met. The conditional probability curves (Figure 10) show that, when RWT is high, the chance of observing low-flow conditions increases sharply, especially in the Vardha basin. This indicates that heat stress and low flows tend to occur together in semi-arid and monsoon-fed systems.

3.9. Return Period

In the “AND-joint event” panel in Figure 11, the joint RP T A N D years, as defined earlier in Equation (14), it is plotted to show how frequently compound events occur in which river discharge is low, and river water temperature is high. This RP quantifies the frequency of joint occurrences where discharge is less than or equal to a specified threshold Q and water temperature exceeds a specified threshold R W T , that is, the probability P ( Q Q , R W T > R W T ) .
In Figure 11, the horizontal axis represents discharge thresholds ranging from the 5th to the 95th percentile. For each discharge percentile Q , the corresponding water temperature threshold R W T is chosen as the complementary percentile. For example, when the discharge threshold is set at the 5th percentile (Q’ = 5%), the corresponding water temperature threshold is at the 95th percentile (RWT’ = 95%). This complementary setup ensures that as the discharge threshold increases, the water temperature threshold simultaneously decreases, systematically covering a wide range of severity levels of the compound event. Since F Q Q increases with higher percentiles of discharge, the compound event probability, previously introduced in Equation (7), also increases. As a result, TAND decreases monotonically with increasing Q . Among the three basins, Yamuna exhibits the largest RPs at low percentiles (e.g., TAND ≈ 68 years at Q′ = 5% and RWT′ = 95%), Bhadra is intermediate (≈20 years), and Vardha the smallest (≈14 years). All three curves converge toward sub-annual values (<1 year) by Q′ ≈ 90%, reflecting the increasing frequency of milder compound events as the discharge threshold relaxes. The much shorter AND-joint return periods (Figure 11) in Vardha, followed by Bhadra, compared to Yamuna, suggest that semi-arid and monsoon-dominated rivers are more prone to frequent compound low-flow/high-temperature events than the Himalayan-fed system. This pattern of joint return periods is consistent with the findings of Latif et al. [4], where warmer lowland rivers in Switzerland experience shorter joint return periods for low-flow and extreme river temperature when compared to colder, high-altitude streams. Recent copula-based hydrological drought studies [32,44,45] in Indian and other Asian rivers similarly report that semi-arid and monsoon basins experience more frequent joint drought conditions than snow-fed basins, confirming that basin hydro-climate strongly controls the recurrence of compound extremes.
In the “OR-joint event” panel in Figure 12, the union RP T O R , y e a r s is plotted to describe the frequency at which either low discharge or high RWT events (or both) occur, as previously defined in Equation (15). This formulation is based on the union probability P Q Q     R W T > R W T introduced in Equation (11), which accounts for the probability of occurrence of at least one of the two events: low flow or high temperature. In this plot, the discharge threshold Q varies along the horizontal axis, ranging from the 5th to the 95th percentile. For each discharge threshold Q , the corresponding RWT threshold R W T is selected as the complementary percentile, meaning that when Q = 5%, the associated temperature threshold is R W T = 95%, and so on. This consistent pairing of thresholds ensures a systematic coverage of the severity spectrum, similar to the AND-joint event analysis. By hydrological principles, the union probability is always greater than or equal to the joint probability, which mathematically guarantees that T O R T A N D for any discharge percentile. This is evident in the plot where all RPs under the OR-joint event are significantly lower than those under the AND-joint event. The RPs in this plot lie uniformly within roughly one year at low discharge percentiles (Q′ = 5%) and decrease to a few months by Q′ = 95% as the events become less severe. The OR-joint return periods are generally sub-annual for most percentile combinations, meaning that at least one individual event (either low-flow or high RWT) occurs in almost every year in all three rivers.

3.10. Compound Hazard Metrics

Table 11, Table 12 and Table 13 summarise the compound hazard metrics for the Bhadra, Vardha, and Yamuna basins, respectively. Each table presents the estimated probabilities and corresponding RPs for the simultaneous occurrence of low-flow (Q ≤ x) and high river water temperature (RWT > y) events. These thresholds are defined using complementary percentiles, for example, pairing a 5th percentile of discharge with a 95th percentile of temperature, to systematically capture a wide range of compound extreme scenarios. The column P (Q ≤ x) and P (RWT > y) represent the marginal probabilities of discharge falling below, and temperature rising above, their respective thresholds. The column P (Q ≤ x and RWT > y) reflects the joint probability of both extremes occurring together (AND-joint event), as computed through copula-based dependence modelling. In contrast, P (Q ≤ x or RWT > y) indicates the union probability (OR condition), which measures the likelihood that at least one of the two extremes occurs. The AND-joint RP column expresses the expected recurrence interval of joint extremes, calculated as the inverse of the joint probability and scaled to annual units. Similarly, the OR-joint RP denotes how often either low-flow or high-temperature events (or both) are expected to occur. The conditional probability quantifies the likelihood of one variable (e.g., low discharge) given that the other (e.g., high temperature) has already occurred. Lastly, the conditional joint RP provides the expected recurrence time of the dependent event under the specified conditioning scenario.
In the Bhadra basin (Table 11), the RP associated with the joint occurrence of low discharge and high temperature (AND-joint event) starts at approximately 19 years for the most severe threshold pairing (Q′ = 5%, RWT′ = 95%) and drops sharply to under one year by Q′ = 30%, underscoring that moderate compound extremes are relatively common. The OR-joint RP remains consistently below 0.9 years across all thresholds, suggesting that either low discharge or elevated temperature is a frequently recurring event. The conditional probability of low Q given high RWT increases progressively from 0.086 to over 0.95, indicating a strong hydrological–thermal coupling as the system shifts toward more severe stress conditions. In the Vardha basin (Table 12), compound events are even more frequent, with AND-joint event RPs declining from 14.7 years (5% threshold) to below one year by Q′ = 25% and remaining under 1.5 years on average across all thresholds. The union RPs remain mostly sub-annual, and conditional probabilities exceed 0.7 for most thresholds, indicating that high-temperature events are almost invariably accompanied by diminished flow. This high level of interdependence confirms Vardha’s elevated compound hazard exposure and highlights its acute vulnerability to seasonal hydrological stress.
In contrast to the Bhadra and Vardha basins, the Yamuna basin (Table 13) exhibits a markedly different compound hazard profile, characterised by the infrequent but potentially severe co-occurrence of low discharge and high RWT extremes. Under the most severe threshold pairing (5th percentile Q and 95th percentile RWT), the joint probability of a compound event is only 0.0012, translating into a joint RP of nearly 69 years, the highest among all three basins studied. This confirms that simultaneous hydrological and thermal extremes in the Yamuna are extremely rare under extreme thresholds. However, as thresholds become more moderate (Q′ ≥ 35%), the joint probability of compound events increases substantially, from 0.0125 at the 15th percentile to 0.0870 at the 35th percentile, and the associated RPs decline steeply to sub-decadal and eventually sub-annual values. Specifically, by the 35th percentile, the RP drops to 0.96 years, indicating that moderate compound events recur annually or more frequently. This non-linear decline in RP with respect to discharge percentiles reflects an increasing probability mass concentrated in less extreme, yet still impactful, events.
Across the three basins, compound event behaviour and management priorities exhibit notable differences. Bhadra has the longest AND condition RPs, particularly at lower discharge percentiles, indicating that compound low-flow and high-temperature events are less frequent and thus pose lower immediate danger. Vardha presents the shortest RPs, reflecting a higher frequency of such compound events and, consequently, greater risk.
Yamuna lies in between, with RPs that decrease steadily but remain more moderate compared to Bhadra. The conditional probabilities also reveal distinct patterns. In Vardha, the probability of a heat extreme given a low-flow event increases rapidly, highlighting an elevated and escalating risk. In contrast, Bhadra shows a more gradual increase in conditional probability, and Yamuna consistently exhibits lower conditional probabilities, suggesting that extreme temperature events are less likely to co-occur with low discharge even at higher discharge thresholds. These patterns have direct management implications. Vardha demands rigorous and integrated flow and temperature management strategies to mitigate frequent compound events. Yamuna can afford to prioritise specific interventions for rarer, high-impact droughts and heatwaves. Bhadra, in light of its less severe compound event profile, would benefit from a balanced but less intensive management focus.
The spatial contrast in compound extremes across the three analysed rivers, with the shortest joint return periods for simultaneous low Q and high RWT in the semi-arid Vardha, intermediate values in the monsoon-fed Bhadra, and the longest return periods in the Himalayan-fed Yamuna, agrees with the broader understanding that warmer, water-scarce basins are more prone to compound hydrological–thermal stress. Latif et al. [4] reported that Swiss rivers with higher temperatures and more pronounced summer low flows exhibited substantially shorter return periods for joint high RWQ-low Q events. The study results reveal that Vardha, the semi-arid tropical basin, has the most frequent compound extremes, while Yamuna, buffered by glacial and snowmelt inputs, has the lowest joint probabilities, which is therefore consistent with this global picture and suggests that the climatic zone and hydroclimatic regime critically modulate the applicability and magnitude of the derived probability metrics.
The compound hazard metrics (joint probability, conditional probability, AND- and OR-joint return periods) provide a practical way to summarise the copula results for different percentile combinations of Q and RWT. This type of probabilistic summary is similar to that used in recent hydrological drought and multivariate hazard studies [44,46,47], where copulas are used to estimate joint and conditional risk for drought duration severity. This study extends this idea to hydrological–thermal extremes, so that water managers can easily see how often specific combinations of low-flow and high RWT are expected in each river.
From an applicability perspective, the joint, union, and conditional probability relationships and associated return periods derived in this study are most directly transferable to any rivers with similar hydroclimatic, monsoon-dominated tropical and subtropical conditions. The variations in compound hazard levels between Vardha (semi-arid), Bhadra (monsoon-fed tropical), and Yamuna (Himalayan-fed) also show that the climatic zone and hydroclimatic conditions influence the magnitude of hydrological–thermal compound hazard. Nevertheless, the underlying methodology, including screening for dependence, fitting river-specific marginal distributions and copulas, and quantifying AND/OR and conditional probabilities, is a broad approach and has been successfully applied to compound floods, multi-type droughts, and temperature-precipitation extremes in other regions.
The results for Vardha, Bhadra, and Yamuna suggest several practical strategies that make the proposed copula-based framework transferable to other river systems. First, discharge-temperature dependence should be tested using non-parametric rank correlations, and copula modelling should be restricted to basins with statistically significant dependence. Second, marginal distributions for Q and RWT can be selected from a small set of flexible candidates (Weibull/GEV for Q and GEV for RWT), using AIC/BIC and Q–Q plots to ensure good tail representation. Third, the dependence structure should be explored with a diverse copula class and the best model chosen by information criteria; in our case, Gaussian, Frank, and BB8 copulas captured the dominant patterns in Vardha, Bhadra, and Yamuna, respectively. Finally, once the joint CDF is defined, a common suite of hazard metrics, including joint probabilities, conditional probabilities, and AND/OR RPs, can be computed for user-defined thresholds to classify basins into higher-hazard (Vardha-type), moderate-hazard (Bhadra-type), and lower-frequency but high-impact (Yamuna-type) regimes.

4. Conclusions

This study provided a comprehensive assessment of the compound extremes associated with low river discharge and high water temperature for three Indian river basins: Vardha, Bhadra, and Yamuna. By employing a copula-based joint modelling approach, this research successfully captured the dependence structure between these two critical hydrological variables, moving beyond the limitations of conventional univariate analyses. The results demonstrated that compound low Q-high RWT events can exhibit substantial joint and conditional probabilities in tropical and subtropical river systems, with the semi-arid Vardha showing the shortest joint return periods and the Himalayan-fed Yamuna the longest. These patterns align with recent copula-based studies on temperate rivers, which show higher compound risk in warmer, lowland basins compared to cooler, high-altitude systems [4]. However, the study observes that not all monsoon-dominated basins show significant Q–RWT dependence, which reflects the selective applicability of copula frameworks, as seen in multivariate drought and compound flood studies [32,34,44]. This indicates that while compound hydrological–thermal extreme values vary by basin, the underlying mechanisms and methodology are relevant for river systems impacted by climate change and human activities across different climatic zones. The major research findings of the study are as follows:
  • The initial correlation analysis confirmed that the rivers Kaveri, Mahi, and Sabarmati exhibited statistically insignificant dependence for the pair RWT–Q. In contrast, the Vardha, Bhadra, and Yamuna rivers demonstrated more substantial and statistically significant dependencies, justifying the application of bivariate copula frameworks for these basins, consistent with compound-event studies that condition the application of copulas on significant dependence.
  • Univariate distribution analysis highlighted that Q exhibited strong non-Gaussian characteristics, with significant skewness, heavy tails, and high variability, particularly in the Bhadra and Yamuna rivers. Water temperature data, in contrast, were comparatively stable across the rivers, though Bhadra exhibited noticeable asymmetry and tail heaviness. The best-fit marginal distributions determined using AIC, BIC, and LL values provided reliable inputs for the subsequent bivariate copula modelling and are consistent with distribution choices reported in other hydrological and thermal-extreme applications.
  • The Gaussian copula best described the dependence structure in the Vardha basin, the Frank copula for Bhadra, and the BB8 copula for the Yamuna basin. These results reveal that each river system exhibits unique joint behaviour, with varying levels of joint hazard associated with simultaneous RWT–Q pairs.
  • Joint RP analysis highlights basin contrasts in estimated compound event frequency. Across the selected low-Q and high-RWT thresholds, Vardha shows lower joint RPs and higher conditional probabilities than Bhadra and Yamuna, indicating relatively higher estimated co-occurrence frequency. Bhadra’s joint RPs and conditional probabilities generally fall between Vardha and Yamuna, with more gradual changes across thresholds. Yamuna shows longer joint RPs and lower conditional probabilities, indicating relatively lower estimated co-occurrence frequency for the selected thresholds.
  • Overall, this study reinforces the importance of using multivariate frameworks in river water quality assessments. By accounting for the interdependence between hydrological and thermal stressors, the copula-based approach provided a more realistic and nuanced understanding of compound event risks in Indian river systems. Future work could further enhance this analysis by integrating additional stressors such as pollutant concentrations, land use impacts, and climate change projections to provide a more holistic risk assessment.
Despite these contributions, this study has a few limitations. First, the analysis is restricted to three gauging stations and to two variables (Q and RWT), so it does not cover the full spatial or process diversity of Indian rivers. Second, the marginals and copulas are assumed to be stationary and are fitted to historical data; possible changes driven by climate, land use, or regulation are not explicitly modelled. Third, the results depend on the available monitoring records; a detailed uncertainty analysis of the data and model outputs was beyond the scope of this work. Fourth, because the record contains only approximately 144–216 monthly values, it does not provide enough information to reliably capture events as rare as a 200-year RP. Estimating long-horizon RPs, therefore, requires substantial extrapolation beyond the observed range, making results highly sensitive to the assumed tail behaviour of the fitted model, where small changes in tail assumptions can lead to large differences in the 200-year estimate. Accordingly, long-horizon RPs should be interpreted as indicative rather than precise, and treated with caution, especially when compared with shorter horizons that are better supported by the available data. Future work will add explicit uncertainty bands (e.g., bootstrap or Bayesian credible intervals) to quantify tail-driven uncertainty and improve decision interpretation.
Fifth, some candidate copulas in our selection set (e.g., Gaussian/Frank copula) are tail-independent (i.e., u p p e r   t a i l   ( λ U ) = l o w e r   t a i l   ( λ L ) = 0 ), meaning they do not exhibit asymptotic upper- or lower-tail dependence. Because our focus is compound extremes, selecting a tail-independent copula can under-represent extreme co-occurrence even if it fits the bulk of the data well. This can occur because AIC/BIC are driven by penalised likelihood over the full sample, so models that describe the central dependence structure well may be preferred even when tail behaviour differs. Future work will report explicit tail-dependence diagnostics and include tail-focused sensitivity checks (e.g., high-threshold/upper-tail refits) to verify that extreme co-occurrence is adequately captured.
Overall, by combining dependence testing, marginal and copula selection, and joint, union, and conditional probability analysis, this study extends copula-based compound hazard assessment to tropical and subtropical, monsoon-dominated Indian rivers and provides a transferable framework that can be adapted to other climatic zones, provided that local hydroclimatic characteristics and trend behaviour are adequately considered.

Author Contributions

J.B.R.B.: data curation, methodology, software, validation, formal analysis, visualisation, investigation, writing—original draft preparation. S.K.M.: conceptualisation, data curation, methodology, formal analysis, visualisation, writing—original draft preparation, writing—review and editing. S.R.: conceptualisation, methodology, writing—review and editing, supervision, project administration, funding acquisition. S.L.: conceptualisation, methodology, formal analysis, writing—review. T.B.M.J.O.: conceptualisation, methodology, writing—review, supervision, project administration, funding acquisition. All authors have read and agreed to the published version of the manuscript.

Funding

The research presented in this study was partly supported by the Ministry of Science and Technology, the Department of Science and Technology (DST), Government of India, and the India–Canada Centre for Innovative Multidisciplinary Partnership to Accelerate Community Transformation (IC-IMPACTS), Canada (Grant no: DST/IC/IC-IMPACTS/2022/P-9).

Data Availability Statement

The original contributions presented in this study are included in the article. Further inquiries can be directed to the corresponding author.

Acknowledgments

The authors would like to express their gratitude tothe Science and Engineering Research Board (SERB), also under the Department of Science and Technology, Government of India, for their support through Core Research Grant Project No. CRG/2020/002028.

Conflicts of Interest

The authors declare no conflicts of interest.

Abbreviations

The following abbreviations are used in this manuscript:
ACIWRMAdvanced Centre for Integrated Water Resources Management
AICAkaike Information Criteria
BICBayesian Information Criterion
CDFCumulative Distribution Function
CVCoefficient of Variation
CWCCentral Water Commission
GEMStatGlobal Environment Monitoring System for Water
(Global Freshwater Quality Database)
GEVGeneralised Extreme Value
IQRInterquartile Range
LLLog-Likelihood
MLEMaximum Likelihood Estimation
PDFProbability Distribution Function
RPReturn Period
RWTRiver Water Temperature

References

  1. Van Vliet, M.T.H.; Franssen, W.H.P.; Yearsley, J.R.; Ludwig, F.; Haddeland, I.; Lettenmaier, D.P.; Kabat, P. Global River Discharge and Water Temperature under Climate Change. Glob. Environ. Change 2013, 23, 450–464. [Google Scholar] [CrossRef]
  2. Kaushal, S.; Likens, G.; Jaworski, N.; Pace, M.; Sides, A.; Seekell, D.; Belt, K.; Secor, D.; Wingate, R. Rising Stream and River Temperatures in the United States. Front. Ecol. Environ. 2010, 8, 461–466. [Google Scholar] [CrossRef]
  3. Rehana, S.; Rajesh, M. Assessment of Impacts of Climate Change on Indian Riverine Thermal Regimes Using Hybrid Deep Learning Methods. Water Resour. Res. 2023, 59, e2021WR031347. [Google Scholar] [CrossRef]
  4. Latif, S.; Souaissi, Z.; Ouarda, T.B.M.J.; St-Hilaire, A. Copula-Based Joint Modelling of Extreme River Temperature and Low Flow Characteristics in the Risk Assessment of Aquatic Life. Weather Clim. Extrem. 2023, 41, 100586. [Google Scholar] [CrossRef]
  5. Goel, A.; Srinivas, V.V. A Fuzzy Framework for Risk Analysis of Dam-Break Flood in Climate Change Scenarios. Int. J. Disaster Risk Reduct. 2025, 119, 105322. [Google Scholar] [CrossRef]
  6. Rehana, S.; Mujumdar, P.P. An Imprecise Fuzzy Risk Approach for Water Quality Management of a River System. J. Environ. Manag. 2009, 90, 3653–3664. [Google Scholar] [CrossRef]
  7. Li, D.; Shi, L.; Dong, Z.; Liu, J.; Xu, W. Risk Analysis of Sudden Water Pollution in a Plain River Network System Based on Fuzzy-Stochastic Methods. Stoch. Environ. Res. Risk Assess. 2019, 33, 359–374. [Google Scholar] [CrossRef]
  8. Souaissi, Z.; Ouarda, T.B.M.J.; St-Hilaire, A. River Water Temperature Quantiles as Thermal Stress Indicators: Case Study in Switzerland. Ecol. Indic. 2021, 131, 108234. [Google Scholar] [CrossRef]
  9. Eris, E.; Aksoy, H.; Onoz, B.; Cetin, M.; Yuce, M.I.; Selek, B.; Aksu, H.; Burgan, H.I.; Esit, M.; Yildirim, I.; et al. Frequency Analysis of Low Flows in Intermittent and Non-Intermittent Rivers from Hydrological Basins in Turkey. Water Supply 2018, 19, 30–39. [Google Scholar] [CrossRef]
  10. Ouellet, V.; St-Hilaire, A.; Dugdale, S.J.; Hannah, D.M.; Krause, S.; Proulx-Ouellet, S. River Temperature Research and Practice: Recent Challenges and Emerging Opportunities for Managing Thermal Habitat Conditions in Stream Ecosystems. Sci. Total Environ. 2020, 736, 139679. [Google Scholar] [CrossRef]
  11. Bevacqua, E.; Maraun, D.; Hobæk Haff, I.; Widmann, M.; Vrac, M. Multivariate Statistical Modelling of Compound Events via Pair-Copula Constructions: Analysis of Floods in Ravenna (Italy). Hydrol. Earth Syst. Sci. 2017, 21, 2701–2723. [Google Scholar] [CrossRef]
  12. Tiyasha; Tung, T.M.; Yaseen, Z.M. A Survey on River Water Quality Modelling Using Artificial Intelligence Models: 2000–2020. J. Hydrol. 2020, 585, 124670. [Google Scholar] [CrossRef]
  13. Yue, S. A Bivariate Gamma Distribution for Use in Multivariate Flood Frequency Analysis. Hydrol. Process. 2001, 15, 1033–1045. [Google Scholar] [CrossRef]
  14. Reddy, M.J.; Ganguli, P. Bivariate Flood Frequency Analysis of Upper Godavari River Flows Using Archimedean Copulas. Water Resour. Manag. 2012, 26, 3995–4018. [Google Scholar] [CrossRef]
  15. Ganguli, P.; Reddy, M.J. Probabilistic Assessment of Flood Risks Using Trivariate Copulas. Theor. Appl. Climatol. 2013, 111, 341–360. [Google Scholar] [CrossRef]
  16. Copca Maya, E.O.; Fuentes Mariles, Ó.A. Trivariate Frequency Analysis Using Copulas Emphasizing the Importance of the Duration of Hydrographs for Hydraulic Works. Hydrol. Res. 2025, 56, 672–697. [Google Scholar] [CrossRef]
  17. Chebana, F.; Ouarda, T.B.M.J. Multivariate Non-Stationary Hydrological Frequency Analysis. J. Hydrol. 2021, 593, 125907. [Google Scholar] [CrossRef]
  18. Muthuvel, D.; Mahesha, A. Copula-Based Frequency and Coincidence Risk Analysis of Floods in Tropical-Seasonal Rivers. J. Hydrol. Eng. 2021, 26, 05021007. [Google Scholar] [CrossRef]
  19. De Michele, C.; Salvadori, G.; Vezzoli, R.; Pecora, S. Multivariate Assessment of Droughts: Frequency Analysis and Dynamic Return Period. Water Resour. Res. 2013, 49, 6985–6994. [Google Scholar] [CrossRef]
  20. Abdul Rauf, U.F.; Zeephongsekul, P. Copula Based Analysis of Rainfall Severity and Duration: A Case Study. Theor. Appl. Climatol. 2014, 115, 153–166. [Google Scholar] [CrossRef]
  21. Gao, C.; Xu, Y.-P.; Zhu, Q.; Bai, Z.; Liu, L. Stochastic Generation of Daily Rainfall Events: A Single-Site Rainfall Model with Copula-Based Joint Simulation of Rainfall Characteristics and Classification and Simulation of Rainfall Patterns. J. Hydrol. 2018, 564, 41–58. [Google Scholar] [CrossRef]
  22. Seo, J.; Won, J.; Choi, J.; Lee, J.; Kim, S. A Copula Model to Identify the Risk of River Water Temperature Stress for Meteorological Drought. J. Environ. Manag. 2022, 311, 114861. [Google Scholar] [CrossRef]
  23. Latif, S.; Ouarda, T.B.M.J.; St-Hilaire, A.; Souaissi, Z.; Rehana, S. A New Nonparametric Copula Framework for the Joint Analysis of River Water Temperature and Low Flow Characteristics for Aquatic Habitat Risk Assessment. J. Hydrol. 2024, 634, 131079. [Google Scholar] [CrossRef]
  24. Ganguli, P.; Reddy, M.J. Risk Assessment of Droughts in Gujarat Using Bivariate Copulas. Water Resour. Manag. 2012, 26, 3301–3327. [Google Scholar] [CrossRef]
  25. Shaik, R.; Nannaka, V.S.V.; Satish Kumar, M. Variations of Compound Warm, Dry, Wet, and Cold Climate Extremes in India during 1951 to 2014. Sci. Total Environ. 2024, 950, 175164. [Google Scholar] [CrossRef]
  26. Sahana, V.; Mondal, A. Multivariate Return Period and Risk Analysis of Non-Stationary Extremes: Dynamic Drought Severity-Duration-Frequency in India. Stoch. Environ. Res. Risk Assess. 2025, 39, 5455–5475. [Google Scholar] [CrossRef]
  27. Goswami, U.P.; Bhargav, K.; Hazra, B.; Goyal, M.K. Spatiotemporal and Joint Probability Behavior of Temperature Extremes over the Himalayan Region under Changing Climate. Theor. Appl. Climatol. 2018, 134, 477–498. [Google Scholar] [CrossRef]
  28. Rehana, S.; Dhanya, C.T. Modeling of Extreme Risk in River Water Quality under Climate Change. J. Water Clim. Change 2018, 9, 512–524. [Google Scholar] [CrossRef]
  29. Goswami, U.P.; Hazra, B.; Goyal, M.K. Copula-Based Probabilistic Characterization of Precipitation Extremes over North Sikkim Himalaya. Atmos. Res. 2018, 212, 273–284. [Google Scholar] [CrossRef]
  30. Sun, L.; Sun, J.; Li, Y.; Suo, C.; Liu, J.; Gao, P. Development of an Ensemble Bayesian Inference-based Copula Approach for Bivariate Risk Evaluation of Extreme Precipitation under Climate Change. Int. J. Climatol. 2022, 42, 8755–8776. [Google Scholar] [CrossRef]
  31. Kumar, S.C.; Manikanta, V.; Jain, M.K.; Gupta, V. Deciphering the Intra Annual Dynamics of Evolving Compound Flood-Drought Interaction in Indian Hydrology: Insights from a Copula-Based Approach. Theor. Appl. Climatol. 2025, 156, 199. [Google Scholar] [CrossRef]
  32. Hani, I.; Ouarda, T.B.M.J.; St-Hilaire, A. Compound Hydrological and Thermal Extremes: A Nonstationary Risk Modeling Approach for Riverine Ecosystems. J. Environ. Manag. 2025, 394, 127613. [Google Scholar] [CrossRef]
  33. Song, M.; Zhang, J.; Liu, Y.; Liu, C.; Bao, Z.; Jin, J.; He, R.; Bian, G.; Wang, G. Time-Varying Copula-Based Compound Flood Risk Assessment of Extreme Rainfall and High Water Level under a Non-Stationary Environment. J. Flood Risk Manag. 2024, 17, e13032. [Google Scholar] [CrossRef]
  34. Poonia, V.; Jha, S.; Goyal, M.K. Copula Based Analysis of Meteorological, Hydrological and Agricultural Drought Characteristics across Indian River Basins. Int. J. Climatol. 2021, 41, 4637–4652. [Google Scholar] [CrossRef]
  35. Mesbahzadeh, T.; Miglietta, M.M.; Mirakbari, M.; Soleimani Sardoo, F.; Abdolhoseini, M. Joint Modeling of Precipitation and Temperature Using Copula Theory for Current and Future Prediction under Climate Change Scenarios in Arid Lands (Case Study, Kerman Province, Iran). Adv. Meteorol. 2019, 2019, 6848049. [Google Scholar] [CrossRef]
  36. Fisher, R.A. On the Mathematical Foundations of Theoretical Statistics. Philos. Trans. A Math. Phys. Eng. Sci. 1922, 222, 309–368. [Google Scholar] [CrossRef]
  37. Kendall, M.G. A new measure of rank correlation. Biometrika 1938, 30, 81–93. [Google Scholar] [CrossRef]
  38. Spearman, C. The Proof and Measurement of Association between Two Things. Am. J. Psychol. 1904, 15, 72–101. [Google Scholar] [CrossRef]
  39. Chen, X.; Shao, Q.; Xu, C.-Y.; Zhang, J.; Zhang, L.; Ye, C. Comparative Study on the Selection Criteria for Fitting Flood Frequency Distribution Models with Emphasis on Upper-Tail Behavior. Water 2017, 9, 320. [Google Scholar] [CrossRef]
  40. Akaike, H. A New Look at the Statistical Model Identification. IEEE Trans. Autom. Control 1974, 19, 716–723. [Google Scholar] [CrossRef]
  41. Schwarz, G. Estimating the Dimension of a Model. Ann. Stat. 1978, 6, 461–464. [Google Scholar] [CrossRef]
  42. Ma, J.; Cui, B.; Hao, X.; He, P.; Liu, L.; Song, Z. Analysis of Hydrologic Drought Frequency Using Multivariate Copulas in Shaying River Basin. Water 2022, 14, 1306. [Google Scholar] [CrossRef]
  43. Fisher, N.I.; Switzer, P. Graphical Assessment of Dependence: Is a Picture Worth 100 Tests? Am. Stat. 2001, 55, 233–239. [Google Scholar] [CrossRef]
  44. Chakma, B.; Jhajharia, D.; Yurembam, G.S.; Patle, G.T.; Robert, P.; Saha, S.; Sharma, A.P.M.; Singh, S.K. Copula-Based Multivariate Analysis of Hydrological Drought over Jiabharali Sub-Basin of Brahmaputra River, India. Sci. Rep. 2025, 15, 45776. [Google Scholar] [CrossRef]
  45. Hasan, I.F.; Abdullah, R.; Awchi, T.A.; Kamal, N.H.M. Bivariate Frequency Analysis of Hydrological Drought Using Copula: A Case Study of Northern Iraq. Jordan J. Civ. Eng. 2023, 17, 430. [Google Scholar] [CrossRef]
  46. Guo, L.; Chen, F.; Wang, B.; Liu, D.L.; Chen, X.; Huang, H.; Bai, H.; Liao, K.; Xia, Z.; Xiang, K.; et al. Developing a Multivariate Drought Index to Assess Drought Characteristics Based on the SWAT-Copula Method in the Poyang Lake Basin, China. Ecol. Indic. 2025, 170, 113123. [Google Scholar] [CrossRef]
  47. Ballarin, A.S.; Barros, G.L.; Cabrera, M.C.M.; Wendland, E.C. A Copula-Based Drought Assessment Framework Considering Global Simulation Models. J. Hydrol. Reg. Stud. 2021, 38, 100970. [Google Scholar] [CrossRef]
Figure 1. Study area map showing the six river gauging stations on the Indian river network and illustrating box-plots of multi-year water temperature (red) and discharge (blue) at each station.
Figure 1. Study area map showing the six river gauging stations on the Indian river network and illustrating box-plots of multi-year water temperature (red) and discharge (blue) at each station.
Water 18 00896 g001
Figure 2. Methodology flowchart used in the study for river water quality assessment.
Figure 2. Methodology flowchart used in the study for river water quality assessment.
Water 18 00896 g002
Figure 3. Scatter plot showing the relationship between river discharge and water temperature for six Indian river basins.
Figure 3. Scatter plot showing the relationship between river discharge and water temperature for six Indian river basins.
Water 18 00896 g003
Figure 4. Chi-plots illustrating the dependence structure between river discharge and water temperature across six Indian river basins.
Figure 4. Chi-plots illustrating the dependence structure between river discharge and water temperature across six Indian river basins.
Water 18 00896 g004
Figure 5. Q–Q plots of monthly discharge (left) and water temperature (right) versus the standard normal for the Vardha (top), Bhadra (middle), and Yamuna (bottom) basins.
Figure 5. Q–Q plots of monthly discharge (left) and water temperature (right) versus the standard normal for the Vardha (top), Bhadra (middle), and Yamuna (bottom) basins.
Water 18 00896 g005
Figure 6. Monthly discharge histograms overlaid with LN2, LN3, Gamma, Pearson III, GEV, and Weibull3 density fits for (a) Vardha, (b) Bhadra, and (c) Yamuna.
Figure 6. Monthly discharge histograms overlaid with LN2, LN3, Gamma, Pearson III, GEV, and Weibull3 density fits for (a) Vardha, (b) Bhadra, and (c) Yamuna.
Water 18 00896 g006
Figure 7. Monthly water-temperature histograms overlaid with Normal, LN3, Gamma, GEV, and Weibull3 density fits for (a) Vardha, (b) Bhadra, and (c) Yamuna.
Figure 7. Monthly water-temperature histograms overlaid with Normal, LN3, Gamma, GEV, and Weibull3 density fits for (a) Vardha, (b) Bhadra, and (c) Yamuna.
Water 18 00896 g007
Figure 8. Three-dimensional scatter plots of the modelled joint CDF (left) and joint PDF (right) of Q and RWT for the Vardha, Bhadra, and Yamuna stations.
Figure 8. Three-dimensional scatter plots of the modelled joint CDF (left) and joint PDF (right) of Q and RWT for the Vardha, Bhadra, and Yamuna stations.
Water 18 00896 g008
Figure 9. Bootstrap-based uncertainty in univariate discharge and water-temperature return-period thresholds for the Yamuna, Bhadra, and Vardha basins.
Figure 9. Bootstrap-based uncertainty in univariate discharge and water-temperature return-period thresholds for the Yamuna, Bhadra, and Vardha basins.
Water 18 00896 g009
Figure 10. Conditional probability P Q q R W T > r w t p versus discharge Q for the (a) Vardha, (b) Bhadra, and (c) Yamuna basins.
Figure 10. Conditional probability P Q q R W T > r w t p versus discharge Q for the (a) Vardha, (b) Bhadra, and (c) Yamuna basins.
Water 18 00896 g010
Figure 11. Return period of simultaneous low-flow and high-temperature events (AND-joint event) versus discharge percentile for the Bhadra, Vardha, and Yamuna rivers.
Figure 11. Return period of simultaneous low-flow and high-temperature events (AND-joint event) versus discharge percentile for the Bhadra, Vardha, and Yamuna rivers.
Water 18 00896 g011
Figure 12. Return period of either low-flow or high-temperature events (OR-joint event) versus discharge percentile for the Bhadra, Vardha, and Yamuna rivers.
Figure 12. Return period of either low-flow or high-temperature events (OR-joint event) versus discharge percentile for the Bhadra, Vardha, and Yamuna rivers.
Water 18 00896 g012
Table 1. Central-tendency and dispersion statistics of monthly discharge (Q) and river water temperature (RWT), including mean, median, standard deviation (Std), variance, minimum (Min), and maximum (Max) at six Indian river stations.
Table 1. Central-tendency and dispersion statistics of monthly discharge (Q) and river water temperature (RWT), including mean, median, standard deviation (Std), variance, minimum (Min), and maximum (Max) at six Indian river stations.
RiverVariableMeanMedianStdVarianceMinMax
YamunaQ779.962941512.452,287,510.350.009701.1
RWT25.3026.674.6921.9713.531.61
BhadraQ27.267.2159.983597.981.463423.30
RWT25.8225.002.355.5022.0036.00
KaveriQ207.99113.35204.0141,620.281.0241138.65
RWT28.4428.301.893.5723.534
MahiQ79.5911.35186.5134,785.5101203.87
RWT25.7925.333.8714.961434.2
SabarmatiQ85.3730.41166.8027,823.4910.491556.70
RWT27.8728.405.0925.891036.90
VardhaQ141.2987.54132.6517,595.811.34487.75
RWT25.7426.001.011.022327.50
Table 2. Percentile-based and shape descriptors of monthly Q and RWT, including 25th percentile (P25), 50th percentile (P50), 95th percentile (P95), interquartile range (IQR), skewness, kurtosis, and coefficient of variation (CV).
Table 2. Percentile-based and shape descriptors of monthly Q and RWT, including 25th percentile (P25), 50th percentile (P50), 95th percentile (P95), interquartile range (IQR), skewness, kurtosis, and coefficient of variation (CV).
RiverVariableP25P50P95IQRSkewnessKurtosisCV
YamunaQ1205594313.464393.4012.291.93
RWT21.6629.22317.56−0.63−0.840.18
BhadraQ1.617.208152.2719.093.9922.062.19
RWT24253021.526.270.09
KaveriQ56.03306.58598.17250.551.573.090.98
RWT273031.530.090.230.06
MahiQ5.3251.49364.2646.183.8916.492.34
RWT23.528.41324.91−0.370.370.15
SabarmatiQ18.3169.82341.0951.515.6341.621.95
RWT24.231.3535.887.15−0.580.450.18
VardhaQ38.98212.62435.54173.641.130.200.93
RWT2526.50271.5−0.25−0.580.03
Table 3. Geographical characteristics and data details of the selected gauging stations.
Table 3. Geographical characteristics and data details of the selected gauging stations.
RiverOrigin & GeographyGauging
Station
Data
Period
Source
YamunaOriginates from the Yamunotri Glacier (Uttarakhand), a Himalayan-fed major tributary of the Ganges.Pratappur2000–2015CWC
BhadraOriginates in Western Ghats (Karnataka); Monsoon-fed tributary of the Tungabhadra system.Bhadravati2006–2017ACIWRM
KaveriOriginates at Talakaveri (Western Ghats); East-flowing peninsular river draining into the Bay of Bengal.Kodumudi2001–2017GEMStat
MahiOriginates in the Vindhyan plateau (MP); West-flowing peninsular river crossing the Tropic of Cancer twice.Paderdibadi2005–2017GEMStat
SabarmatiOriginates in the Aravalli hills (Rajasthan), a west-flowing river passing through semi-arid plains.Sabarmati2005–2017GEMStat
VardhaOriginates in Western Ghats (Karnataka); Flows northeast across Malenadu foothills and Deccan plateau.Marol2005–2017GEMStat
Note: CWC = Central Water Commission; ACIWRM = Advanced Centre for Integrated Water Resources Management; GEMStat = Global Freshwater Quality Database.
Table 4. Mann–Kendall test statistics for discharge and river water temperature.
Table 4. Mann–Kendall test statistics for discharge and river water temperature.
RiverVariablezpTrend
MahiQ1.4219210.155049no trend
MahiRWT−1.489020.136483no trend
KaveriQ−0.382310.702233no trend
KaveriRWT−5.812356.16 × 10−9decreasing
SabarmatiQ−2.133710.032867decreasing
SabarmatiRWT−4.077334.56 × 10−5decreasing
VardhaQ−0.108230.913813no trend
VardhaRWT−0.219030.826626no trend
YamunaQ−0.881160.37823no trend
YamunaRWT−0.944020.345158no trend
BhadraQ−2.226880.025956decreasing
BhadraRWT5.2947041.19 × 10−7increasing
Table 5. Correlation coefficients between river discharge and water temperature for six rivers (Kaveri, Mahi, Sabarmati, Vardha, Bhadra, and Yamuna). The bolded values indicate statistically significant correlations ( p - v a l u e     0.05 ).
Table 5. Correlation coefficients between river discharge and water temperature for six rivers (Kaveri, Mahi, Sabarmati, Vardha, Bhadra, and Yamuna). The bolded values indicate statistically significant correlations ( p - v a l u e     0.05 ).
RiverMetricCorrelation Coefficientp-Value
KaveriKendall’s Tau−0.06250.2086
Spearman’s Rho−0.09090.2088
MahiKendall’s Tau−0.01380.8066
Spearman’s Rho−0.03640.6616
SabarmatiKendall’s Tau0.04820.3883
Spearman’s Rho0.08320.3167
VardhaKendall’s Tau−0.17680.0506
Spearman’s Rho−0.25950.0384
BhadraKendall’s Tau−0.15620.0308
Spearman’s Rho−0.21460.0272
YamunaKendall’s Tau0.17510.0008
Spearman’s Rho0.24920.0009
Table 6. Statistical summary of monthly discharge and water temperature statistics for Vardha, Bhadra, and Yamuna basins.
Table 6. Statistical summary of monthly discharge and water temperature statistics for Vardha, Bhadra, and Yamuna basins.
RiverVariableMeanMedianModeSkewKurtCV
VardhaQ (m3/s)141.2987.541.341.130.20.93
RWT (°C)25.742625−0.25−0.580.03
BhadraQ (m3/s)27.267.211.613.9922.062.19
RWT (°C)25.8225241.526.270.09
YamunaQ (m3/s)779.9629403.412.291.93
RWT (°C)25.326.6728−0.63−0.840.18
Table 7. AIC, BIC, and LL for various univariate distributions fitted to monthly discharge in the three rivers.
Table 7. AIC, BIC, and LL for various univariate distributions fitted to monthly discharge in the three rivers.
VardhaBhadraYamuna
DistributionAICBICLLAICBICLLAICBICLL
Weibull3759.42765.9−376.71668.51676.50−331.252189.222198.06−1091.61
Gamma761.37767.85−377.69688.25696.24−341.122154.82163.65−1074.4
P3764.78771.26−379.39737.35745.34−365.672160.72169.55−1077.35
LN3771.49777.97−382.75698.61706.60−346.302139.142147.98−1066.57
LN2774.98781.46−384.49816.85824.84−405.422155.162164.01−1074.58
GEV776.1782.58−385.05707.70715.69−350.852133.472142.31−1063.73
Note: the bolded values indicate the best fit, corresponding to the distribution with the lowest AIC and BIC values and the highest LL value among the candidate models for each river.
Table 8. AIC, BIC, and LL for various univariate distributions fitted to monthly water temperature in the three rivers.
Table 8. AIC, BIC, and LL for various univariate distributions fitted to monthly water temperature in the three rivers.
VardhaBhadraYamuna
DistributionAICBICLLAICBICLLAICBICLL
GEV183.89190.37−88.94453.14461.13−223.57973.37982.83−483.68
Weibull3185.98192.46−89.99463.68471.67−228.841001.381010.84−497.69
Normal187.7194.18−90.85486.53494.52−240.261030.491039.95−512.25
LN3187.73194.23−90.82454.82462.81−224.411030.561040.01−512.19
Gamma188.36194.84−91.18457.56465.55−225.781035.191044.65−514.59
Note: the bolded values indicate the best fit, corresponding to the distribution with the lowest AIC and BIC values and the highest LL value among the candidate models for each river.
Table 9. AIC and BIC values for different copulas across the three river locations.
Table 9. AIC and BIC values for different copulas across the three river locations.
VardhaBhadraYamuna
CopulaAICBICAICBICAICBIC
Gaussian−1.35740.8015−2.26490.3984−7.9895−4.8362
t-Copula1.84476.16251.20776.5346−4.79261.514
Clayton2.00454.16342.00354.6669−0.93122.2221
Gumbel2.00924.16812.01584.6792−8.5482−5.3949
Frank−1.35460.8043−2.6882−0.0247−7.4688−4.3155
Joe2.0064.16492.01254.6760−8.9721−5.8188
Rotated270_BB12.24136.55912.06317.3900NANA
Rotated270_BB62.97537.2933.47858.8054NANA
Rotated270_BB72.24436.56212.07067.3975NANA
Rotated270_BB80.77755.0952−0.79894.5279NANA
BB1NANANANA−6.5294−0.2228
BB6NANANANA−6.986−0.6794
BB7NANANANA−6.9634−0.6568
BB8NANANANA−10.8195−4.5129
Rotated180_BB1NANANANA−8.3906−2.084
Rotated180_BB6NANANANA−0.56425.7423
Rotated180_BB7NANANANA−8.3947−2.0881
Rotated180_BB8NANANANA−4.38471.9219
Note: NA indicates inapplicable models due to dependence restrictions.
Table 10. Univariate discharge and water temperature thresholds corresponding to selected return periods for three Indian river basins.
Table 10. Univariate discharge and water temperature thresholds corresponding to selected return periods for three Indian river basins.
VardhaBhadraYamuna
Return PeriodQ (m3/s)RWT (°C)Q (m3/s)RWT (°C)Q (m3/s)RWT (°C)
2100.77225.8348.89425.3841309.69926.718
533.80626.6351.36727.351292.66829.659
208.19727.2160.12030.089118.53531.029
503.3427.4280.02631.93988.27331.349
Table 11. Compound probability metrics and return periods for Q and RWT extremes in the Bhadra basin.
Table 11. Compound probability metrics and return periods for Q and RWT extremes in the Bhadra basin.
Discharge Percentile (%)Q
(m3/s)
RWT
Percentile (%)
RWT
(°C)
P (Q ≤ x)P (RWT > y)P (Q ≤ x and RWT > y)P (Q ≤ x or RWT > y)Return Period (AND)Return Period (OR)Conditional
Probability
Return
Period
(Conditional)
50.12049530.080.050.050.00430.095719.25440.8710.08660.9627
100.39569028.720.10.10.01630.18375.11070.45370.16310.5111
150.80958527.920.150.150.03470.26532.3990.31420.23160.3599
201.36698027.350.20.20.05870.34131.41880.24420.29370.2838
252.07997526.90.250.250.08760.41240.95080.20210.35060.2377
302.96697026.520.30.30.1210.4790.68890.1740.40320.2067
354.0536526.190.350.350.15830.54170.52630.15380.45240.1842
405.37136025.900.40.40.19950.60050.41770.13880.49870.1671
456.96555525.630.450.450.24430.65570.34120.12710.54280.1535
508.89425025.380.50.50.29250.70750.28490.11780.5850.1424
5511.2374525.140.550.550.34430.75570.24210.11030.62590.1331
6014.10544024.910.60.60.39950.80050.20860.10410.66580.1252
6517.66093524.690.650.650.45830.84170.18180.0990.70510.1182
7022.14783024.460.70.70.5210.8790.160.09480.74420.112
7527.95892524.230.750.750.58760.91240.14180.09130.78350.1064
8035.77882023.990.80.80.65870.94130.12650.08850.82340.1012
8546.95041523.730.850.850.73470.96530.11340.08630.86440.0964
9064.66051023.420.90.90.81630.98370.10210.08470.9070.0919
9599.8814523.010.950.950.90430.99570.09210.08370.95190.0875
Table 12. Compound probability metrics and return periods for Q and RWT extremes in the Vardha basin.
Table 12. Compound probability metrics and return periods for Q and RWT extremes in the Vardha basin.
Discharge Percentile (%)Q
(m3/s)
RWT
Percentile (%)
RWT
(°C)
P (Q ≤ x)P (RWT > y)P (Q ≤ x and RWT > y)P (Q ≤ x or RWT > y)Return
Period (AND)
Return
Period (OR)
Conditional
Probability
Return
Period
(Conditional)
58.19759527.21580.050.050.00570.094314.73180.88330.11310.7366
1016.40349026.9790.10.10.01820.18184.58250.45830.18190.4583
1524.90688526.79440.150.150.03610.26392.30610.31580.24090.3459
2033.80598026.63470.20.20.0590.3411.41360.24430.29480.2827
2543.18287526.4890.250.250.08630.41370.96550.20140.34520.2414
3053.12237026.3520.30.30.1180.4820.70620.17290.39330.2119
3563.72116526.22030.350.350.15390.54610.54150.15260.43970.1895
4075.09436026.09130.40.40.19390.60610.42990.13750.48470.1719
4587.38445525.96310.450.450.23790.66210.35030.12590.52860.1576
50100.77235025.83390.50.50.28590.71410.29150.11670.57180.1457
55115.49444525.7020.550.550.33790.76210.24660.10930.61430.1357
60131.86914025.56540.60.60.39390.80610.21160.10340.65640.1269
65150.34113525.42170.650.650.45390.84610.18360.09850.69830.1193
70171.563025.26780.70.70.5180.8820.16090.09450.740.1126
75196.52992525.09910.750.750.58630.91370.14210.09120.78170.1066
80226.92972024.90850.80.80.6590.9410.12650.08860.82370.1012
85265.89841524.6830.850.850.73610.96390.11320.08650.8660.0962
90320.46361024.3950.90.90.81820.98180.10190.08490.90910.0917
95412.9635523.96110.950.950.90570.99430.0920.08380.95330.0874
Table 13. Compound probability metrics and return periods for Q and RWT extremes in the Yamuna basin.
Table 13. Compound probability metrics and return periods for Q and RWT extremes in the Yamuna basin.
Discharge Percentile (%)Q
(m3/s)
RWT
Percentile (%)
RWT
(°C)
P (Q ≤ x)P (RWT > y)P (Q ≤ x and RWT > y)P (Q ≤ x or RWT > y)Return
Period (AND)
Return
Period (OR)
Conditional
Probability
Return
Period
(Conditional)
5118.53539531.02940.050.050.00120.098868.79850.84360.02423.4399
10168.27729030.55440.10.10.00520.194816.06270.42780.05191.6063
15224.8858530.10370.150.150.01250.28756.67530.28980.08321.0013
20292.66818029.65890.20.20.02370.37633.51680.22150.11850.7034
25375.86177529.2110.250.250.03940.46062.11260.18090.15780.5282
30479.81687028.75350.30.30.06040.53961.38080.15440.20120.4142
35611.8646528.28110.350.350.0870.6130.95780.13590.24860.3352
40782.48296027.78840.40.40.11990.68010.69490.12250.29980.278
451007.17695527.26970.450.450.15950.74050.52250.11250.35440.2351
501309.69885026.71830.50.50.2060.7940.40450.1050.4120.2023
551727.91414526.12570.550.550.25950.84050.32110.09910.47180.1766
602325.09974025.48110.60.60.31990.88010.26050.09470.53320.1563
653213.29763524.76960.650.650.3870.9130.21530.09130.59540.14
704605.96983023.96990.70.70.46040.93960.1810.08870.65760.1267
756950.80492523.04950.750.750.53940.96060.15450.08680.71930.1159
8011,319.38422021.95470.80.80.62370.97630.13360.08540.77960.1069
8520,828.82521520.58590.850.850.71250.98750.1170.08440.83820.0994
9048,002.61621018.72350.90.90.80520.99480.10350.08380.89470.0931
95192,331.1319515.68050.950.950.90120.99880.09250.08340.94860.0878
Disclaimer/Publisher’s Note: The statements, opinions and data contained in all publications are solely those of the individual author(s) and contributor(s) and not of MDPI and/or the editor(s). MDPI and/or the editor(s) disclaim responsibility for any injury to people or property resulting from any ideas, methods, instructions or products referred to in the content.

Share and Cite

MDPI and ACS Style

Buchupalle, J.B.R.; Mummidivarapu, S.K.; Rehana, S.; Latif, S.; Ouarda, T.B.M.J. Assessment of Compound Hydrological–Thermal Extremes over Indian River Systems. Water 2026, 18, 896. https://doi.org/10.3390/w18080896

AMA Style

Buchupalle JBR, Mummidivarapu SK, Rehana S, Latif S, Ouarda TBMJ. Assessment of Compound Hydrological–Thermal Extremes over Indian River Systems. Water. 2026; 18(8):896. https://doi.org/10.3390/w18080896

Chicago/Turabian Style

Buchupalle, Jaya Bharat Reddy, Satish Kumar Mummidivarapu, Shaik Rehana, Shahid Latif, and Taha B. M. J. Ouarda. 2026. "Assessment of Compound Hydrological–Thermal Extremes over Indian River Systems" Water 18, no. 8: 896. https://doi.org/10.3390/w18080896

APA Style

Buchupalle, J. B. R., Mummidivarapu, S. K., Rehana, S., Latif, S., & Ouarda, T. B. M. J. (2026). Assessment of Compound Hydrological–Thermal Extremes over Indian River Systems. Water, 18(8), 896. https://doi.org/10.3390/w18080896

Note that from the first issue of 2016, this journal uses article numbers instead of page numbers. See further details here.

Article Metrics

Back to TopTop