Next Article in Journal
Design and Analysis of an ISSA-Optimized Hybrid H2/H Robust Controller for Enhanced Stability in a Pumped Storage Unit Regulation System
Previous Article in Journal
Modeling and Optimization for Reverse Osmosis Water Treatment Using Artificial Neural Network and Genetic Algorithm Approach: Economic and Operational Perspectives
 
 
Font Type:
Arial Georgia Verdana
Font Size:
Aa Aa Aa
Line Spacing:
Column Width:
Background:
Article

Research on the Dynamic Evolution of Expert Trust Relationship in Flood Disaster Decision-Making Based on Preference Distance

School of Economics and Management, Jiangsu University of Science and Technology, Zhenjiang 212100, China
*
Author to whom correspondence should be addressed.
Water 2026, 18(7), 811; https://doi.org/10.3390/w18070811
Submission received: 15 February 2026 / Revised: 22 March 2026 / Accepted: 27 March 2026 / Published: 28 March 2026
(This article belongs to the Topic Disaster Risk Management and Resilience)

Abstract

In flood disaster emergency decision-making, the dynamic changes in expert trust relationships directly affects the efficiency of reaching a decision consensus. This paper constructs a dynamic evolution model of expert trust relationships in flood disaster emergency decision-making from the perspective of preference distance: the initial trust matrix and weights of experts based on four dimensions including cooperation intensity, social relations, background similarity, and subjective initial trust; the cognitive trust is quantified by using the intuitionistic fuzzy Hamming distance, and the trust relationship is dynamically update through the exponential fusion method; the Louvain community discovery algorithm is introduce to achieve dynamic clustering of experts and weight updates of experts in combination with the dynamic changes in trust relationships; and a consensus feedback adjustment mechanism is designed to optimize the preferences of experts with lower consensus. At the same time, the dynamic trust model is verified by combining a flood disaster case. Case validation shows that the model completes consensus iteration in just four rounds, with the maximum increase in cognitive trust due to opinion convergence reaching 0.18 during the evolution process. The model effectively captures changes in trust among experts during decision-making, improving consensus convergence speed while ensuring that the final solution aligns with the comprehensive considerations required in emergency scenarios. This study provides a quantitative tool for large-group decision-making in flood emergencies under high-pressure, information-poor environments; one that balances dynamic trust evolution with efficient consensus building.

1. Introduction

Flood disasters not only seriously threaten the lives and property safety of the people, but also pose a severe challenge to social stability and national security [1]. During the emergency response to flood disasters, it is necessary to respond promptly to the disaster situation and formulate emergency decision-making plans to minimize losses [2,3]. Currently, the flood disaster decision-making in China generally adopts a large-group decision-making model, where experts from different fields are gathered to jointly carry out emergency decision-making work. Based on previous experience, multiple alternative plans are formulated and the optimal plan is selected for implementation. Different from the traditional small-group decision-making, large-group decision-making has the following characteristics [4,5]: (1) The group size is relatively large, with usually no fewer than 20 decision-making members; (2) the attributes of the decision-making problem are multi-dimensional, and the knowledge of the decision-making members is extensive; (3) the information in the decision-making process requires sufficient communication and interaction. Large-group decision-making effectively solves the complex problems that traditional decision-making cannot handle, further improving the efficiency of emergency decision-making, and providing a better path for the selection of alternative flood disaster plans.
During the emergency decision-making process for sudden flood disasters, there are generally existing social network relationships among decision experts from different fields. The existence of these relationships will have certain impacts on the efficiency of information transmission, the process of opinion integration, and the final decision quality in the decision-making process. Huo et al. measured the credibility and authority of experts based on social network relationships, similarity of opinions, and background information, thereby analyzing the expert network relationships [6]; Sun et al. presented a social network model considering risk preferences based on the relationships and viewpoints of decision-makers [7]; Sun et al. constructed a decision-maker network based on cooperative relationships through social network analysis to identify and classify the groups [8]; while Wen et al. analyzed how individuals form, exchange, and update beliefs, ultimately forming the opinion dynamics and group decision-making behavior in the social network [9]. The fundamental purpose of multi-dimensional and multi-path social network relationship research is to simplify the complex relationships among entities. The trust relationship in social network is the core bond, not only serving as the basis for confirming the importance of decision members, but also being the key driving force for the group to reach consensus, directly affecting the weight and acceptance degree of expert opinions. In the decision-making process of large groups, the trust relationship of experts is often given the degree of belief based on the objectivity of information such as social background, behavior, and background of others. When there is insufficient cognition, choices are often made based on others’ evaluations [10]. Zhou et al. incorporated the trust relationship into the particle swarm optimization algorithm as the basis for improving the update of particle (expert) positions, thereby driving the attainment of group consensus [11]; Zhong et al. transformed trust relationships into compromise information and integrated it into each stage of the decision-making process in the same form as assessment information to improve decision utility [12]; Towhidi et al. integrated the trust measurement method based on graph theory and proposed a trust decision-making conceptual model that integrates network structure and psychological and behavioral factors [13]; Li et al. introduced risk analysis and achieved a dynamic trust management process from static trust based on reputation to risk perception through dynamic assessment and management of trust risks [14].
The research on static trust relationships has overlooked the influence of other factors on them in terms of time and space. The research on dynamic trust relationships has significantly enhanced the plasticity of trust relationships in measuring social network relationships, making the consideration of the relationship between subjects more in line with real-world situations. An et al. constructed a trust propagation model by combining node credibility and path attenuation mechanism [15]; Zhang et al. integrated the reward and punishment mechanism based on opinion similarity in social network group decision-making to achieve the dynamic evolution of trust relationships [16]; Jinghua and Haiying combined the degree centrality and K-hop centrality of the fusion nodes, and dynamically updated the expert weights by integrating the trust propagation operator and the evaluation similarity [17]; Zhou et al. constructed a consensus model framework for group decision-making applicable to incomplete trust networks by designing a controllable intensity trust propagation operator and integrating ordinal consensus measures with position weights [18]. Most of the existing research on dynamic trust relationships either achieve trust propagation through static completion or adjust the propagation process through parameters, lacking continuity in the time dimension; meanwhile, most of the existing models are designed based on general decision scenarios and have not been optimized for the high-pressure and incomplete information characteristics of emergency decision-making such as flood disasters.
Therefore, this paper is aimed at the emergency scenario of flood disasters, and intends to construct a dynamic trust evolution model driven by expert preferences. Firstly, considering the ambiguity of expert evaluation opinions, the intuitive fuzzy set is used to quantitatively express the expert preferences, and an initial trust matrix is constructed based on multiple dimensions such as cooperation intensity and social relationships to confirm the expert weights; Secondly, in the dynamic trust evolution part, the intuitive fuzzy Hamming distance is introduced as the core driving force to directly capture the cognitive changes generated by the cognitive interaction and other processes of experts, and the historical trust and cognitive changes are fused through the exponential fusion method to achieve the gradual update of trust. On this basis, the Louvain community discovery algorithm is introduced to conduct cluster analysis on the trust network to identify the expert groups with internal trust, and simultaneously update the expert weights. Finally, a closed-loop consensus reaching process including formula levels and feedback regulation mechanisms is designed to personalize adjust the preferences of experts with low consensus degrees until the preset consensus threshold is met. Through the above process, the “trust evolution-clustering-weight-consensus” integrated dynamic regulation is achieved, providing methodological support for high-pressure and information-incomplete flood emergency decision-making.

2. Preliminaries and Methodological Basis

2.1. Intuitionistic Fuzzy Set

The “intuitionistic fuzzy set” was proposed by Atanassov in 1986 and is the most influential supplement and development of Zadeh’s fuzzy set theory [19]. In the actual evaluation process, experts often use language terms such as “very good” and “average” instead of precise numbers. By using the intuitionistic fuzzy term set, the experts’ ambiguous expressions can be quantified, thereby better expressing the uncertainty of the expert evaluation information.
Definition 1
([20]). Let X be a non-empty set. An intuitionistic fuzzy set on X can be represented as
A = { x , μ A ( x ) , ν A ( x ) x X }
In the formula:  μ A ( x ) [ 0 , 1 ] and  ν A ( x ) [ 0 , 1 ] represent the degree of membership and non-membership of element x belonging to set A respectively, and they satisfy 0 μ A ( x ) + ν A ( x ) 1 , and π A ( x ) = 1 μ A ( x ) ν A ( x ) represents hesitation degree and satisfies π A ( x ) [ 0 , 1 ] .
Definition 2
([21]). Suppose there are two intuitionistic fuzzy sets A = { x , μ A x , ν A x } and  B = { x , μ B x , ν B x } . Then the intuitionistic fuzzy Hamming distance between the fuzzy sets A and B is
d ( A , B ) = 1 2 n i = 1 n ( μ A ( x i ) μ B ( x i ) + ν A ( x i ) ν B ( x i ) + π A ( x i ) π B ( x i ) )
In the formula:  μ A x i  and  ν A ( x i )   respectively represent the membership degree and non-membership degree of element  x i  in the fuzzy set A, and  π A x i  represents the hesitation degree of element  x i  in A;  μ B x i   and  ν B x i   respectively represent the membership degree and non-membership degree of element  x i   in the fuzzy set B, and  π B x i  represents the hesitation degree of element  x i   in B.
Definition 3
([22]). Suppose there is a set of intuitionistic fuzzy numbers α i = μ i , ν i , where i = 1 , 2 , , n . Each α i has a corresponding weight  ω i indicating its importance. The weight vector ω = ω 1 ,   ω 2 , , ω n T satisfies ω i 0 , 1 and i = 1 n ω i = 1 . The intuitionistic fuzzy weighted average (IFWA) operator, as a mapping, aggregates n intuitionistic fuzzy numbers and their weights into a new intuitionistic fuzzy number. Its calculation formula is
I F W A ω ( α 1 , α 2 , α 3 ) = [ 1 i = 1 n ( 1 μ α i ) ω i , i = 1 n ν α i ω i ]
Specifically, when the weight vector satisfies the condition, the IFWA reduces to the intuitionistic fuzzy average (IFA) operator.
Definition 4
([23]). Let there be a set of intuitionistic fuzzy numbers α i = μ i , ν i . Then the scoring function of α can be expressed as
S ( α ) = μ α ν α

2.2. Social Network Relationships

Social network relationships refer to the network structure formed by various interactions and connections among people, covering aspects such as information dissemination, relationship establishment, and social behavior. A social network is composed of nodes and edges, where each node represents an entity and the edge indicates the relationship between nodes, such as friendship, work relationship, trust relationship, etc. Social network analysis (SNA) is a method for studying interpersonal relationships and communication, and is widely applied in fields such as politics, economy, society, and healthcare.
There are three common forms of typical social network relationships [24,25], as shown in Table 1. The directed edge from node 1 to node 3 represents the trust relationship of expert e 1 towards expert e 3 . The element t i j in the trust relationship matrix T = t i j represents the trust value of expert e i towards expert e j . For example, the trust value of expert 1 towards expert 3 is 0.2, as shown in Table 1.
Definition 5
([26]). Let C i n and C o u t represent the standardized in-degree and standardized out-degree of node in the social network, respectively. Then,
C i n = N i n i L
C o u t = N o u t i L
In the formula:  N i n i represents the number of connections pointing to node  e i ;  N o u t i  represents the number of connections starting from node  e i ; L represents the total number of connections of the nodes; the higher the degree centrality of a node, the more nodes it is connected to, and the greater its influence.

2.3. Community Detection Algorithm of Louvain

Definition 6
([27]). The Louvain community discovery algorithm is an efficient community discovery algorithm based on modularity optimization. It was proposed by Blondel et al. in 2008. This algorithm can quickly identify community structures from large-scale networks. Modularity is an indicator for measuring the quality of network community division, defined as
Q = 1 2 n i j [ A i j k i i n k j o u t 2 n ] δ ( c i , c j )
In the formula: n represents the sum of the weights of all edges in the network;  A i j   represents the weight of the edge between nodes i and j;  k i   and  k j   represent the degrees of nodes i and j respectively; represents the sum of the weights of all edges pointing to node i; represents the sum of the weights of all edges originating from node j;  c i   represents the cluster to which node i belongs. If nodes i and j belong to the same community,  δ ( c i , c j ) = 1 ; otherwise, it is 0.
The Louvain algorithm consists of two main stages. The first stage is for local optimization, where each node is assigned to an independent community. For each node i, all its neighboring nodes are considered, and the modularity gain Q when moving node i to the neighboring community is calculated. If the maximum Q is positive, node i is moved to the community that maximizes the modularity Q , until no further movement can increase the modularity.
Definition 7
([27]). For the change in modularity Q , it is defined as follows:
Q = i n + k i , i n 2 n ( t o t + k i i n 2 n ) 2
In the formula,  i n   represents the sum of the weights of all edges in community c,  t o t   represents the sum of the weights of the edges connected to the points in c,  k i   represents the sum of the weights of the edges connected to point i, and  k i , i n   represents the sum of the weights of the edges connected from point i to the points in c.
The second stage is to take the communities discovered in the first stage as the nodes of the new network, and the edge weights of the new nodes are the sum of the weights of all original edges, achieving the community aggregation process.

3. Problem Description and Method Principles

3.1. Problem Description

To cope with sudden flood disasters, M emergency decision-making members participate in the decision-making process, denoted as E = { e 1 , e 2 , , e m } ( m 20 ) . The weights of the decision-making members are denoted as ω = { ω 1 , ω 2 , , ω m } and satisfy i = 1 m ω i = 1 ; at the same time, experts propose P alternative solutions for the decision-making problem, denoted as X = { X 1 , X 2 , , X n } ; V = v i k n × m represents the decision-making preference matrix of experts, where element v i k represents the preference value of expert i for alternative solution X k ; then Z = z i j m × m represents the cognitive trust matrix of experts, where z i j represents the new cognitive trust generated by the change in preference of expert i towards expert j during the decision-making process, satisfying 0 z i j 1 , and z i i = 0 ; T = [ t i j ] m × m represents the trust matrix of experts during the decision-making process, where element t i j represents the trust value of expert t i j towards expert e j in the decision-making process, satisfying 0 t i j 1 , and t i i = 0 .
Flood disasters exhibit diverse development trends over time, which can cause changes in the preferences and cognition of decision-making members during the decision-making process, leading to convergence and divergence of decision opinions. Therefore, considering the variability of the trust relationship between decision-making members over time during the decision-making process, a dynamic trust evolution model based on the change in experts’ preferences is constructed. During the consensus reaching process, the trust relationship, expert weights, and expert aggregation among experts are dynamically updated to better improve the decision-making level and ultimately select the optimal solution.

3.2. Method Framework

The overall framework diagram of this study is shown in Figure 1, which consists of the following core components: expression and integration of information; construction of social network relationships and calculation of initial weights; measurement of dynamic trust relationships; clustering of experts and update of weights; consensus reaching process. Decision members provide alternative solutions and evaluation information for emergency incidents; based on the multi-dimensional relationships such as the social background of decision members, an initial trust matrix is constructed and the initial weights of decision members are calculated; in the comprehensive decision-making process, the differences are calculated to determine the preference distance of decision members, and the trust matrix and expert weights of decision members are dynamically updated; the Louvain community detection algorithm is executed on the dynamic trust matrix to achieve re-clustering of experts, and at the same time, based on the experts with a high trust degree and satisfactory consensus level in the clustering, the feedback mechanism for low consensus level experts is regulated to adjust the preferences of experts until a group consensus is reached and the optimal decision solution is determined.

3.3. Expert Clustering and Weight Update Based on Dynamic Trust

In the traditional large-scale emergency decision-making process, the trust relationships among decision members are usually maintained in a static manner based on social networks, ignoring the fact that the trust relationships between experts may strengthen or weaken as the decision-making process changes, and new trust connections may also be formed during the decision-making process. This paper constructs a trust relationship network driven by preference distance, enabling the dynamic calculation of trust relationships during the group interaction process. It uses social network relationships to study the dynamic changes in trust relationships and realizes the temporal clustering of experts and the update of expert weights.

3.3.1. Establish the Initial Social Network Relationships and Determine the Initial Weights of Experts

The experts in flood disaster emergency decision-making come from various fields and possess different research backgrounds, social experiences, etc. Their social relationships with each other also vary to some extent. Determining the initial relationships and initial weight relationships among the decision-making members is the starting point of large-scale group decision-making in a social network environment. Quantifying the complex social relationships among experts provides a good basis for studying the dynamic evolution process of trust relationships.
(1) Acquisition of the initial trust matrix. The initial trust matrix T 0 = [ t i j 0 ] m × m serves as the basis for subsequent calculation of the weights of experts. Its elements t i j 0 represent the initial trust level of expert e i towards expert e j , satisfying 0 t i j 0 1 , and t i i 0 = 0 . This section obtains the initial trust matrix by deriving from the data of historical relationships among experts. In the social network relationship of experts, objective factors such as cooperation intensity, social relationship, and background similarity all have an impact on the trust relationship between experts. At the same time, the subjective trust evaluation score between experts is introduced. Based on these factors, the trust relationship between experts is measured, and the trust value between experts is obtained through a linear weighting model:
t i j 0 = η 1 · coj i j + η 2 rel i j + η 3 sim i j + η 4 tru ij
Among them, c o j i j represents the intensity of cooperation among experts, the degree of collaboration reflects the frequency of past scientific research collaboration among experts. It maps the number of paper collaborations p i j and project collaborations q i j of experts within five years to the interval [0, 1] through range normalization:
coj i j = p i j min ( p ) max ( p ) min ( p ) q i j min ( q ) max ( q ) min ( q )
Here, “⊕” represents taking the maximum value, which is used to highlight the strongest cooperative relationship. If there is not any cooperative record among the experts, then c o j i j = 0 ;
r e l i j represents the social relationship among experts, social relationship profiling experts to measure the strength of their personal bonds. Starting from the general social situation, the relationships are classified into three levels and assigned values: “Teacher–student relationship = 1”, this relationship often involves long-term guidance and frequent interaction, with a solid foundation of trust; “Colleague relationship = 0.8” This relationship involves stable work collaboration but lacks deep personal connection; “No connection = 0”, for experts with no intersection, the initial trust is 0. For experts with multiple relationships, the maximum value is taken as r e l i j to reflect the dominant role of the strongest relationship; s i m i j represents the similarity index of experts’ backgrounds, The similarity measurement of background measures the degree of alignment of experts in a specific research field. By obtaining the keywords of the experts’ backgrounds and calculating the cosine similarity between experts e i and e j based on the keyword vectors, corresponding data is obtained;
s i m i j = k i k j k i k j
t r u i j represents the initial subjective trust value among experts, which reflects the experts’ subjective assessment of each other’s capabilities and reliability. Each expert is assigned a trust value of 5 points, and this value is directly assigned and distributed to all other experts (with some or no distribution possible). Parameters η1, η2, η3, η4 are assigned corresponding weights by experts and a = 1 4 η a = 1 , finally the value of t 0 i j is normalized to the interval [0, 1].
(2) Calculate the initial weights of experts. The initial weights of experts are determined by their relative influence in the social network relationship. Given the directionality of the trust relationship, the degree of influence is measured by in-degree centrality. The calculation of this indicator is through the cumulative sum of the trust values of all other experts towards this expert, which is
C i n ( e i ) = j = 1 , i j m t i j 0
By calculating this indicator, the total amount of trust that the expert e j has gained within the group can be effectively obtained as the initial reputation, and the initial weight of the expert can be obtained through normalization processing.
ω 0 ( e i ) = C i n ( e i ) j = 1 m C i n ( e j )   and   satisfy   i = 1 m ω 0 ( e i ) = 1

3.3.2. Dynamic Trust Relationship Measurement

The characteristics of floods, such as diversity and suddenness, make it necessary for emergency decision-makers to make judgments under conditions of high risk, incomplete information, and tight time constraints [28]. The previous experience and knowledge capabilities of experts are insufficient to fully address the problems arising during the decision-making process. In existing studies, only the static trust based on social networks and social relationships of experts in the emergency decision-making process is considered. This paper, on the basis of comprehensively considering the emotional trust brought by experts’ historical experience and social relationships, fully takes into account the changes in trust caused by experts’ cognition during the decision-making process. Through the changes in cognitive trust, the dynamic update of the trust relationship between experts is achieved.
(1) Collection of preference information and supplementation of incomplete information. To facilitate experts to express their judgments quickly and intuitively under high-pressure situations, and considering the fuzziness of experts when expressing evaluation information, this paper adopts the “direct numerical scaling method” based on the intuitive fuzzy term set. Experts directly provide numerical values of membership degree μ i k and non-membership degree ν i k within the interval [0, 1], and satisfy 0 μ i k + ν i k   1 , ultimately forming the intuitive fuzzy decision matrix V = [ v i k ] n × m of all experts. Through the direct replication method, it avoids the additional language conversion process, and can more accurately capture the subtle attitude differences in experts towards the schemes. However, considering that there are situations where experts partially express their preferences during the expression process, this paper adopts the weighted average method based on the trust network for supplementation:
v ¯ i p k = j C i , C L j k 1 δ t i j k 1 v j p k 1 j C i , C L j k 1 δ t i j k 1
Among them, C i represents the set of neighboring experts who have a trust connection with expert e i ; C L j k 1 δ represents the experts who reached the threshold of individual consensus in the previous round as references, thereby ensuring the reliability of the reference opinions; t i j k 1 is the trust value of expert e i towards expert e j in the previous round; v j p k 1 is the preference value of expert e j for scheme x p in the previous round.
By using the historical preferences of the expert group that expert e i trusts the most and whose opinions are the most reliable to reasonably estimate the missing values, the transmission effect of the trust network is achieved, while avoiding the interference of experts with low consensus. For evaluations that have not submitted any schemes, it is considered that their current preferences are completely missing. At this time, this expert does not directly participate in the expression of current preferences, but remains as a node in the trust network, and the preference information expression of this round is temporarily replaced by their previous valid preference.
(2) Calculate cognitive trust. Changes in experts’ preferences can lead to differences or convergence in opinions regarding the same solution, and thus also result in changes in the distance between experts’ social networks. This paper uses the intuitive fuzzy Hamming distance to calculate the preference differences between experts e i and e j between two rounds, and calculates the distances between the k-1 round and the kth round in the decision-making process:
The   ( k - 1 ) th   round : d i j k 1 = d ( V k 1 ( e i ) , V k 1 ( e j ) )
The   kth   round : d i j k = d ( V k ( e i ) , V k ( e j ) )
By calculating the distances of two rounds, the changes in trust due to cognition and behavior were fully captured, and the amount of trust change was calculated based on the distance of the two rounds of preferences:
Δ t i j k   = d i j k   d i j k 1  
The changes Δ t i j k therein fully reflect the shifts in the preferences of the experts between the two rounds. If Δ t i j k < 0 , it indicates that the opinions of the experts e i and the experts e j are more aligned in this round, and the cognitive trust has increased; if Δ t i j k = 0 , it indicates that the opinions of the experts e i and the experts e j are in disagreement in this round, and the cognitive trust has decreased; if Δ t i j k = 0 , it indicates that the relative positions of the experts e i and the experts e j remain unchanged in this round, and the cognitive trust does not change at all.
(3) Update dynamic trust values. After comprehensively considering the dynamic changes in the trust relationships among experts, it is also necessary to incorporate historical trust into the process of trust change. Cognitive trust should be regarded as an element that regulates the initial emotional trust. Using the exponential smoothing method, the changes in historical trust and current cognitive trust are integrated to form a dynamic trust matrix T k = [ t i j k ] m × m :
t i j k = ρ . t i j k + 1 ρ . Δ t i j k
Among them, ρ ( 0 ρ 1 ) is the forgetting factor. When ρ approaches 1, this model is more dependent on historical trust; when ρ approaches 0, the model is more dependent on recent cognitive trust. In the exponential smoothing model, the stable range of the smoothing parameter is [0, 2] [29]. Therefore, the value of ρ within the interval [0, 1] is theoretically feasible. Considering the emergency decision-making scenario for flood disasters, the expert trust relationship needs to maintain a certain continuity while moderately responding to changes in preferences. At the same time, the symmetry of the previous trust relationship and the dominant role of the initial trust relationship should be taken into account. Thus, the determination of ρ is often made by experts, and it is adjusted within the range of 0.6–0.8. And at the beginning of trust, a lower value can be taken, and based on the first fusion, τ = 1, which is the dynamic fusion of the initial matrix and the first preference adjustment. Finally, boundary processing is carried out for t i j k to ensure that its range is between 0 and 1:
t i j k = m a x ( 0 , m i n ( 1 , t i j k ) )

3.3.3. Expert Clustering and Weight Update Under Dynamic Trust

(1) Expert clustering. The Louvain community discovery algorithm is an efficient community discovery algorithm that automatically identifies the community structure in a trust network based on the principle of modularity optimization [30]. It has the characteristics of fast execution speed, obvious clustering effect, and high accuracy. The Louvain community discovery algorithm is used to achieve dynamic clustering of experts. It includes two stages of iterations: the first stage, the local optimization stage, traverses all expert nodes in the community and calculates the modularity gain when moving to the neighboring community, and performs the movement to maximize the modularity; the second stage, the network aggregation stage, treats each community as a super node, reconstructs the network and repeats the optimization process. The algorithm finally outputs a hierarchical community division where experts in the same community have a high degree of mutual trust.
During the process of realizing the dynamic changes in expert trust relationships, after each round of k-trust matrix Tk is calculated, it needs to be traversed by the algorithm. Based on modularity optimization, experts are divided into several communities C k = { C k 1 , C k 2 , } where the experts within each community have closely connected internal connections and sparse external connections.
(2) Update of individual expert weights. The update of expert weights is also a core part of the dynamic trust-driven model, aiming to incorporate the behavioral performance of experts during the decision-making process into the trust adjustment process. For the expert trust value t i j k calculated in the current period, based on the average trust value T D k ( e i ) obtained by the current expert i, it is normalized to obtain the current expert’s weight, and the current expert weight T D ¯ k ( e i ) is fused with the previous round’s weight to obtain the comprehensive weight in the current state:
T D k ( e i ) = 1 m 1 j = 1 , j i m t k j i
( T D ¯ ) k ( e i ) = ( T D k ( e i ) ) j 1 m T D k ( e j )
ω i k = λ ω i k 1 + ( 1 λ ) T D ¯ k ( e i )
Among them, the parameter λ 0 , 1 . When λ approaches 1, it indicates that the model is relatively conservative and the weight changes slowly. When λ approaches 0, it indicates that the model is sensitive and the weight changes drastically. Taking into account Gardner’s description of the exponential smoothing model, namely that the stable range of the smoothing parameter is [0, 2] [29], and considering the flood emergency decision-making scenario, while also avoiding the lag in weight updates caused by excessive conservatism; therefore, the current performance of experts is given priority over their qualifications. Therefore, the selection of parameter λ can be between 0.2 and 0.4.
(3) Calculation of the weights of the expert group. The aggregation of experts is carried out to simplify the diverse opinions existing in the decision-making process. Therefore, based on the similarity of preferences shown by experts for the decision-making plan, experts with similar preferences are grouped together, and the opinions are integrated. At the same time, a corresponding weight is assigned to each group generated, and the weights of each group tribe are obtained to better express the expert opinions.
ω ( C p k ) = e i C p k ω i k

3.4. Consensus Reaching Process Based on Dynamic Trust

Taking into account the strengthening, weakening and dynamic changes in the trust relationships among experts in the decision-making process, a consensus reaching model is designed. Through multiple rounds of interaction, it guides the expert group to converge from scattered opinions to a highly consistent state, achieving the measurement of the consensus level of experts. At the same time, for those experts who have not reached the consensus level, adjustments are made to ensure the attainment of a high-level decision outcome.

3.4.1. Consensus Level Measurement

The measurement of the level of majority consensus is an important part of the process of achieving consensus. By obtaining the level of consensus, it is possible to effectively judge the level of consensus of the group and the individual consensus level, quantify the individual preferences of experts, that is, the degree of consistency of opinions at the group level, and provide an effective basis for consensus judgment.
For the integrated expert individual preferences, they are transformed into the collective will of the group. However, due to the different influences of experts, the group preferences are calculated using the intuitive fuzzy weighted average operator based on the expert weights:
V g k = i = 1 m ω i k V k ( e i )
Among them, V g k represents the fuzzy preference matrix of the group in the kth round, ω i k indicates the weight of the expert in the kth round, and V k ( e i ) represents their current preference matrix. This aggregation process fully considers the preferences of experts given different levels of influence.
By calculating the group preferences, the process of quantifying the difference between individual preferences and group preferences is achieved, which is the acquisition of the individual consensus level. It measures the consistency between a single expert and the group opinion, using the intuitionistic fuzzy Hamming distance and converting it into similarity to calculate the distance between the expert preferences and the group preferences:
C L i k = 1 1 n p = 1 n d ( v i p k , V g k ( x p ) )
Among them, d ( v i p k , V g k ( x p ) ) is an intuitive fuzzy Hamming distance function used to measure the distance between the preference of individual experts for the scheme xp and the group preference. And the larger the value of C L i k [ 0 , 1 ] is, the closer the opinions of the experts and the group are.
The calculation of the group consensus level can be evaluated at a macro level to assess the consistency status of the entire expert group. It can be obtained through the weighted average of the individual consensus levels:
G C L k = i = 1 m ω i k C L i k
At the same time, a consensus threshold δ is set. If G C L k δ , it is considered that the group has reached a satisfactory soft consensus, and the iteration stops. Based on the selected consensus level, the optimal solution is obtained. Otherwise, the feedback regulation mechanism needs to be activated. The setting of the consensus threshold is a crucial parameter in the process of reaching consensus. If the threshold is too high, it will lead to an increase in the number of iteration rounds, making it difficult to meet the timeliness requirements of emergency decision-making; if the threshold is too low, there will be significant differences in group opinions, affecting the quality of decision-making. Therefore, the setting of the threshold needs to strike a balance between consensus quality and decision efficiency. Xu et al. further pointed out that in emergency decision-making scenarios, a multi-threshold mechanism should be adopted, taking into account the consensus level, hesitation level, and time-related iteration rounds, in order to achieve a balance between decision effectiveness and efficiency [31]. Therefore, during the decision-making process, experts often provide consensus thresholds based on the actual situation, which are in line with reality and meet factors such as efficiency.

3.4.2. Consensus Feedback Regulation Mechanism

The objective of emergency decision-making in large groups is to achieve a high level of consensus and obtain the optimal solution. When the consensus level of the group does not meet the threshold requirements, feedback adjustments to the consensus are needed to enhance the group’s consensus level [32]. Adjusting the preferences of experts is also an important means to promote consensus. This paper adjusts the preferences of experts with lower consensus levels and designs a feedback mechanism for consensus achievement based on the dynamic changes in the trust levels of experts during the decision-making process. The feedback regulation process for consensus achievement mainly goes through the following steps:
Step 1: Identify the regulatory object.
Due to the failure to meet the threshold condition as agreed upon by the group, it is necessary to further improve the group consensus. Experts who have a significant impact on the group consensus should be selected for adjustment. In this paper, the difference between individual consensus and group consensus is considered as the selection criterion, and a recognition coefficient ψ is set to adjust the experts who do not meet the conditions, and a set of adjustment objects E a d j u s t = e i | C L i k < ψ is constructed.
Step 2: Determine the reference opinions.
For experts whose conditions are not met, adjustments need to be made and corresponding personalized reference opinions should be provided. The selection of this process depends on the establishment of the trust matrix among experts in the dynamic trust network. Firstly, from the trust network of this expert e i , the most trusted and consensus-level-compliant expert should be sought and their opinions referred to; if the highly trusted expert e i does not meet the standard, the average opinion of the tribe where the expert belongs should be prioritized as the reference, and adjustments should be made based on the opinions of the small group; if all the above conditions are not met, the overall group opinion should be referred to ensure consistency in direction.
Step 3: Calculate the adjustment coefficient.
During the process of adjusting the expert preferences, the degree of adjustment in each round further determines the degree of convergence towards the group formula. Setting a reasonable adjustment coefficient determines the degree to which the expert retains their original intention in the new round of preferences. For experts with a lower consensus level, the adjustment range they need to make is also larger. The calculation formula for the adjustment coefficient is
β i = ( C L i k ) γ
Among them, γ acts as a regulating factor and satisfies   γ 1 . When   γ 1 , it imposes greater adjustment pressure on experts with extremely low consensus levels, effectively accelerating the consensus convergence process of the entire group. The determination of the regulating factor γ should take into account the balance of decision efficiency and process stability. Sensitivity analysis of typical cases should be conducted to ensure that the model can reach satisfactory consensus within a relatively short number of rounds. At the same time, to ensure that the adjustment range is within a reasonable range, the coefficient of the regulating factor should also be ensured to vary within a reasonable range.
Step 4: Adjustment of Intuition-based Fuzzy Preferences.
Based on the determination of the adjustment factors, through the linear combination operation of intuitionistic fuzzy numbers, and by integrating the existing preferences V k ( e i ) of the experts e i with the new adjustment preferences V k ( e i ) , a new round of preference information for the experts is generated:
V ( k + 1 ) ( e i ) = β i V k ( e i ) + ( 1 β i ) V r ( e i )
At the same time, in order to prevent the potential infinity of the cycle in the feedback regulation mechanism and to ensure the timeliness of the emergency response, a maximum number of iterations is set for the regulation process. In the field of consensus research, the classic Delphi method usually requires only 2–3 rounds to reach an effective consensus. However, the emergency decision-making consensus model generally adopts an upper limit control mechanism for the number of iterations [33] and refers to the objective termination condition idea proposed by Bai et al. [34]. In this paper, the maximum number of iterations is set to 3–6 rounds, and it will not exceed 10 rounds. Through the above adjustment process, a new expert preference is obtained and the next round of consensus measurement is entered. When the group consensus meets the requirements, the scheme with the highest score is selected as the decision result by measuring the score of the scheme preference matrix.

4. Case Application

4.1. Case Background

In a certain year and in a certain place, due to the influence of weather and other factors, a rare flood disaster occurred, posing a serious threat to the lives and safety of local residents. The local government, in order to carry out rescue operations as soon as possible and ensure the safety of people’s lives and property, invited 20 experts from various fields to make decisions on 4 rescue alternatives. The main contents of the plans are as follows:
X1: Immediately organize residents in high-risk areas to transfer to the designated safe areas and activate the corresponding emergency shelters. Mobilize public vehicles, military trucks, etc., to ensure a safe, efficient and orderly transfer process (priority given to the vulnerable groups such as the elderly, children, and patients). Provide food, drinking water, medical supplies, etc., at the resettlement sites to prevent secondary disasters caused by the disaster;
X2: Concentrate efforts on reinforcing key river embankments, reservoirs and flood control projects, while clearing key drainage channels and dispatching large pumping equipment to remove the floodwater in key urban areas. Establish temporary power and water supply systems to ensure the operation of basic functions of the city, and organize professional rescue teams to inspect and stand guard at critical sections;
X3: Based on the severity of the disaster, divide the affected areas into red, yellow and green response zones, implement the rescue strategy of “prioritizing the serious cases and responding by level”. In the severely affected areas, priority should be given to the deployment of rescue forces and materials, establish a regional command system, and achieve regional management and scheduling of the emergency plan to adjust the priority of resource allocation;
X4: Coordinate and promote relevant measures such as personnel evacuation, engineering rescue, medical rescue, etc. Establish a unified command and coordination mechanism across departments and regions, integrate military, government and social forces to form a joint force. Simultaneously, carry out environmental disinfection, epidemic prevention, information release and psychological intervention work to comprehensively enhance the overall efficiency of emergency response.

4.2. Application Steps

Step 1: Measurement of the initial trust matrix and weights of experts (iteration count τ = 0). From the three aspects of cooperation intensity ( c o j i j ), social relationship ( r e l i j ), and background similarity ( s i m i j ), objectively measure some of the trust relationships among experts. At the same time, based on mutual understanding and recognition of abilities, experts provide a subjective trust matrix ( t r u i j ). To ensure the fairness of the subjective trust values, each expert is assigned an initial trust value of 5 for distribution to other experts. Also, to ensure the standardization of subjective trust, the subjective trust matrix is normalized. And the four-dimensional matrices are respectively shown as C, R, S, and U:
C = 0.91 0.87 0 0 0 0.93 0.92 0 0 0 0.82 0.88 0 0 0 0 0 0 0.86 0.85 0 0 0 0.80 0.78 0 0 0 0.86 0.76 20 × 20   R = 0 0.35 0 0 0 0.34 0.32 0 0 0 0.35 0.32 0 0 0 0 0 0 0.37 0.35 0 0 0 0.37 0 0 0 0 0.35 0 20 × 20
S = 0.97 0.94 0 0 0.136 0.97 0.91 0 0.124 0 0.94 0.91 0 0 0 0 0 0.19 1 0.98 0 0 0 1 0.98 0 0 0 0.98 0.98 20 × 20 U = 0.12 1 0 0 0 0.39 0.29 0 0 0 1 0.60 0 0 0 0 0 0 0.47 0.89 0 0 0 0.46 1 0.1 0 0 0.77 1 20 × 20
Finally, by integrating the four-dimensional relationship measures, a comprehensive trust matrix is obtained through linear weighting, where η1–4 are assigned 0.2, 0.3, 0.2, and 0.3, respectively. The comprehensive initial trust matrix as shown in T0 is obtained, and based on this, the initial trust network relationship, as shown in Figure 2, is constructed.
T 0 = 0.48 0.90 0 0 0 0.70 0.65 0 0 0 0.89 0.75 0 0 0 0 0 0.05 0.74 0.87 0 0 0 0.71 0.77 0.04 0 0 0.82 0.76 20 × 20
The measurement of experts’ weights has a significant impact on the scoring of evaluation for alternative options. Based on the initial trust matrix, the weights of experts measured by in-degree centrality are shown in Table 2:
Step 2: First round of consensus measurement and identification of low consensus experts (τ = 1). Due to the ambiguity of information during the decision-making expression process, an intuitive fuzzy term set is used to represent each expert’s assessment of each option. Collecting the initial evaluation information of experts regarding the options, as shown in V1:
V 1 = ( 0.507 , 0.311 ) ( 0.623 , 0.066 ) ( 0.399 , 0.207 ) ( 0.679 , 0.321 ) ( 0.562 , 0.333 ) ( 0.633 , 0.367 ) ( 0.491 , 0.083 ) ( 0.321 , 0.344 ) ( 0.573 , 0.427 ) ( 0.710 , 0.158 ) ( 0.567 , 0.280 ) ( 0.496 , 0.265 ) ( 0.325 , 0.504 ) ( 0.280 , 0.693 ) ( 0.100 , 0.900 ) ( 0.360 , 0.423 ) 20 × 4
Based on the first-round evaluation information from experts and in combination with Formula (21), the group consensus level GCL1 was calculated as 0.8034. The individual consensus levels in the first round are shown in Table 3. Meanwhile, based on the expert discussions and experience, the group threshold δ was determined to be 0.85. Since GCL1 is less than δ (0.85), the group has not reached consensus.
Step 3: The first dynamic update of the trust relationship (τ = 1 → τ = 2). Whether it is group consensus or individual consensus, it will continuously improve as the decision-making process progresses. Therefore, the identification of experts with low consensus should consider the scalability of the identification threshold. Set the first round identification threshold ψ1 = 0.7, and the identification threshold should dynamically increase during the subsequent trust evolution process. Under the constraint of the first round threshold, select 5 experts E a d j u s t = { e 7 , e 9 , e 10 , e 16 , e 20 } who have not reached the threshold for adjustment, and use the opinions of the high-trust and high-consensus experts in their respective groups as a reference to obtain the new round of evaluation information as shown in V2:
V 2 = ( 0.507 , 0.311 ) ( 0.623 , 0.066 ) ( 0.399 , 0.207 ) ( 0.679 , 0.321 ) ( 0.562 , 0.333 ) ( 0.633 , 0.367 ) ( 0.491 , 0.083 ) ( 0.321 , 0.344 ) ( 0.573 , 0.427 ) ( 0.710 , 0.158 ) ( 0.567 , 0.280 ) ( 0.496 , 0.265 ) ( 0.404 , 0.479 ) ( 0.417 , 0.522 ) ( 0.248 , 0.702 ) ( 0.403 , 0.372 ) 20 × 4
Based on the information from the two rounds of evaluation and combined with the intuitionistic fuzzy Hamming distance, the cognitive trust matrix between experts due to the change in preferences during the two rounds of process is calculated as shown in Z1. Moreover, the initial trust matrix and the cognitive trust matrix are fused through the exponential smoothing method. Considering the degree of dependence on the initial trust and the change in cognitive preferences, the forgetting factor ρ = 0.6 is set, and the new trust matrix T1 is obtained as follows:
Z 1 = 0 0 0 0 0.095 0 0 0 0 0.110 0 0 0 0 0.118 0 0 0 0 0.052 0 0 0 0 0.092 0.095 0.110 0.118 0.070 0.094 20 × 20
T 1 = 0.48 0.90 0 0 0 0.70 0.65 0 0 0 0.89 0.75 0 0 0 0 0 0.05 0.74 0.92 0 0 0 0.72 0.86 0.13 0.11 0.11 0.89 0.85 20 × 20
The trust changes resulting from the preference variations in experts after the first round of trust evolution are shown in Table 4. During the process of trust evolution, the preference distances between the two pairs of experts, e20 → e1 and e20 → e19, decrease over iterations (indicating convergence of opinions), and the change in cognitive trust increases, thereby enhancing the level of trust. At the same time, based on the preference information and combined with the consensus, the second round consensus level GCL2 = 0.8268 was obtained. GCL2 < δ still did not meet the consensus threshold.
Step 4: Iterate the loop until consensus is reached (τ = 2, 3…). Considering the growth of consensus, set the second round expert identification threshold ψ2 = 0.8. A total of 5 experts who did not meet the consensus threshold were identified, and the low consensus experts were dynamically adjusted to obtain the new round of evaluation information such as V2. Based on the preference information, the new round of cognitive matrix and trust matrix were obtained respectively as Z2 and T2 as shown:
V 2 = ( 0.507 , 0.311 ) ( 0.623 , 0.066 ) ( 0.399 , 0.207 ) ( 0.679 , 0.321 ) ( 0.562 , 0.333 ) ( 0.633 , 0.367 ) ( 0.491 , 0.083 ) ( 0.321 , 0.344 ) ( 0.573 , 0.427 ) ( 0.710 , 0.158 ) ( 0.567 , 0.280 ) ( 0.496 , 0.265 ) ( 0.404 , 0.479 ) ( 0.417 , 0.522 ) ( 0.249 , 0.702 ) ( 0.403 , 0.373 ) 20 × 4
Z 2 = 0 0 0 0 0.054 0 0 0 0 0.062 0 0 0 0 0.064 0 0 0 0 0.002 0 0 0 0 0.055 0.054 0.062 0.064 0.002 0.057 20 × 20
T 2 = 0.48 0.90 0 0 0 0.70 0.65 0 0 0 0.89 0.75 0 0 0 0 0 0.05 0.74 0.92 0 0 0 0.72 0.92 0.19 0.17 0.18 0.89 0.91 20 × 20
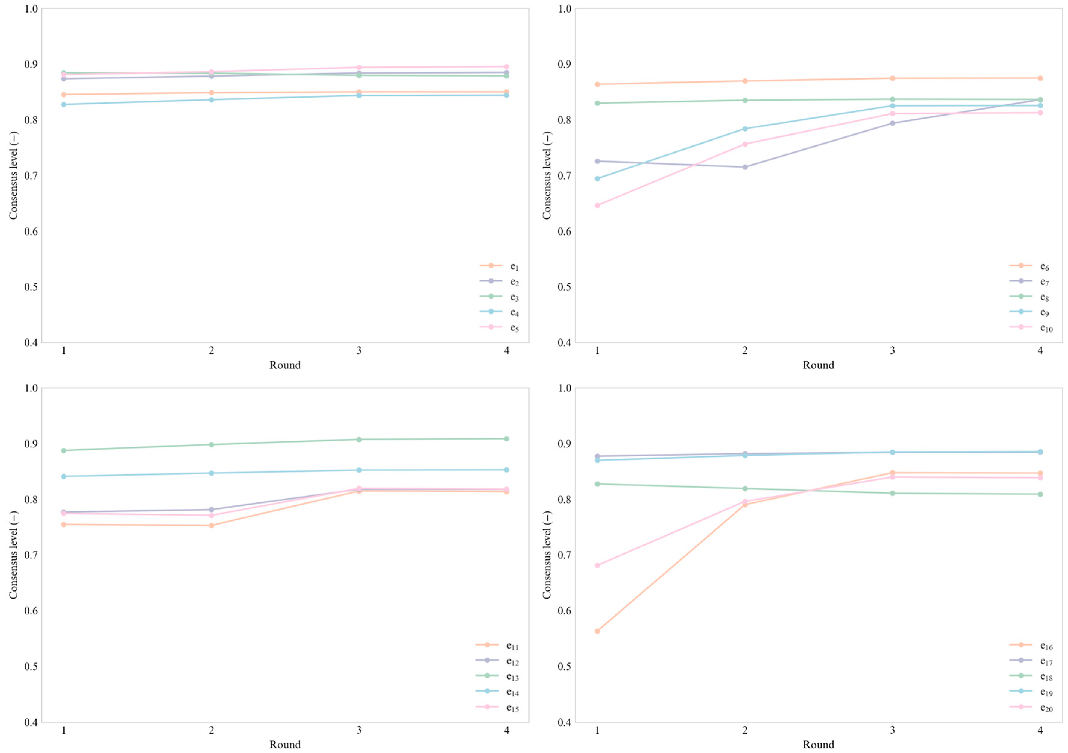
At the same time, the new round of consensus level GCL3 = 0.8483, and GCL3 < δ still fails to meet the consensus threshold. The iterative process continues. Due to space limitations, the repetitive work is not shown, the relevant data can be found in Appendix A. Meanwhile, in the fourth round of consensus level GCL4 = 0.8500, which meets the consensus threshold. The group has reached the consensus level, and the expert weights after reaching the consensus are shown in Table 5. During the iteration process, the individual consensus level information of the experts is shown in Figure 3. Based on the preference information after reaching the consensus level, the alternative options are scored to obtain the scoring information as shown in Figure 4. And the alternative options are scored as X2 > X3 > X1 > X4. Therefore, alternative option X2 is recommended as the optimal solution.

4.3. Result Interpretation

To verify the rationality and effectiveness of the method proposed in this paper, this paper conducts comparisons from both static and dynamic perspectives. It considers the improvement in dynamic trust efficiency compared to the consensus reaching model under static trust, and conducts a comparative analysis under the condition of considering dynamic trust equally.

4.3.1. Comparison of Static Trust Relationships

The research on dynamic trust relationships is an extension of static trust relationships. To fully explore the improvement of consensus reaching efficiency and the rationality of the process under the influence of dynamic trust, a comparative analysis was first conducted with the literature [26] based on static trust research, the comparison results are shown in Table 6. Reference [26] proposed a consensus model for large-scale emergency decision-making based on social network behavior data. In this model, the trust relationships among experts are regarded as static inputs and remain unchanged throughout the decision-making process. Considering the consistency of the comparative experiment, the initial preference matrix, set of alternative options, consensus threshold, and maximum number of iterations in this paper are also taken as the input data for the comparative experiment. The difference is that in this paper, the trust matrix needs to be updated in each round of decision-making, while the comparative experiment takes the initial trust matrix in this paper as the trust relationship that persists throughout and realizes expert clustering based on this trust relationship, and combines the calculation of expert initial weights with the social network centrality. Secondly, the intuitive fuzzy weighted average operator is used to aggregate the group preferences. When the group formula does not reach the threshold, low consensus experts are identified based on the fixed trust relationship, and their preferences are adjusted according to the adjustment coefficient determined by the trust-similarity analysis until the consensus condition is met or the maximum number of iterations is reached.
By comparing the consensus convergence processes of the two methods, the method proposed in this paper reached the consensus threshold (GCL = 0.8500) in the third round, while the method in reference [26] did not reach the maximum number of consensus iterations and the consensus level did not meet the consensus requirements; at the same time, the ranking results of the schemes also changed significantly. It is shown that in emergency decision-making environments, the dynamic adjustment of trust relationships can more accurately reflect the changes in expert cognition, improve the quality of consensus and decision rationality.

4.3.2. Comparison of Dynamic Trust Relationships

The research on static trust often neglects the evolution process of experts’ opinions during the decision-making process. Considering the dynamic development process of the expert trust relationship under the mechanism of time effect can make the emergency decision-making process more completed and reasonable. Dynamic trust research has gradually become one of the important research directions. Ref. [15] constructed a trust model by combining node credibility and path attenuation mechanism and introduced a reward and punishment mechanism for adjusting the weight of experts to judge the efficiency of consensus formation; while [16] updated the opinion similarity through opinion dynamics and combined it with historical trust to update the trust relationship.
This paper compares the rationality and effectiveness of the trust evolution model with the dynamic trust update models in [15,16]. To ensure the fairness of the comparison, in this paper, when comparing the dynamic trust relationship models, we adopted exactly the same basic data as the case, including the initial preference matrix of experts, the initial trust matrix, the solution set, and the consensus threshold, etc. For the models in references [15,16], we replicated and simulated them based on the algorithm logic and parameter setting rules described in the references, combined with the data in this paper. Specifically, Reference [15] constructed a trust propagation model based on node credibility and path attenuation mechanism, and introduced a trust reward and punishment mechanism to dynamically adjust the weights of experts. According to the credibility calculation and path attenuation process in its reference, a complete trust network was constructed on the basis of the initial trust matrix in this paper, and the multi-round trust evolution process was simulated based on its feedback mechanism. Reference [16] constructed a trust evolution model based on opinion similarity, combined the opinion dynamics to update the preferences of experts, and designed an internal and external feedback mechanism to promote consensus. The consensus reaching process was simulated based on its trust evolution process and opinion fusion method under the same initial conditions. Since this paper reached consensus in the third round, the group consensus level at that time is also considered for comparison. The method comparison results are shown in Table 7.
This paper and reference [15] obtained the same optimal solution, and reference [16] also obtained the same ranking scheme. This fully demonstrates the feasibility and rationality of the method in this paper. Moreover, it can be observed that the group consensus of reference [15] and reference [16] in the fourth round was 0.7927 and 0.8444 respectively, both lower than the consensus level of this paper, and no consensus was reached in the third round. This shows that the process of achieving changes in expert trust relationships through expert preference adjustment is in line with the actual decision-making process, and can effectively improve decision effectiveness. Faster consensus can not only save response time in emergency decision-making processes, but also save time costs, human costs and other factors required.
Compared with previous studies, the contributions of this paper are the following: (1) We construct a dynamic trust update mechanism driven by preference distance. In the process of considering trust evolution, the intuitive fuzzy Hamming distance is introduced to measure the changes in expert cognition, which characterizes the change in expert preferences, and is used as the basis for trust update to quantify the adjustment amount of cognitive trust, making the trust process quantified and visualized, and further making the process of trust evolution more intuitive and clear. Through exponential smoothing method to update the trust matrix in a time series manner, the trust evolution process is closer to the actual situation; (2) Establishing a dynamic consensus framework for flood disaster emergency decision-making. Constructing a closed-loop consensus model applicable to the research decision-making process in emergency scenarios of flood disasters, expanding the flood disaster decision-making system, providing more research ideas and alternative directions for the decision support system in this field.

4.4. Sensitivity Analysis and Model Robustness Test

To verify the stability of the model parameters, this section conducts sensitivity analyses on the forgetting factor ρ, the weight update parameter λ, and the adjustment factor γ. Using the method of controlling variables, while keeping other parameters at their base values, we observe the changes in the target parameters and their effects on the number of consensus reaching rounds, the final consensus level, and the ranking of the optimal solutions.

4.4.1. Forget Factor ρ

The forget factor regulates the weight of integrating historical trust and current trust in the update of new users. Its value determines the corresponding sensitivity of the trust relationship to other changes in preferences. In the benchmark case, it is set at 0.6 to balance historical accumulation and real-time adjustment. During the sensitivity analysis, the forget factor is compared at 0.6, 0.7, and 0.8 respectively to observe the impact of the trust update speed on the number of convergence rounds of the formula and the final result, the comparison results are shown in Table 8.
As ρ increases (i.e., more reliance on historical trust), the number of consensus reaching rounds remains unchanged, and the final consensus level slightly improves. However, in all scenarios, the optimal solution ranking is always X2, indicating that the model is not sensitive to the value of ρ. The conclusion is robust and meets the requirements of the timeliness of emergency decision-making. Decision-makers can choose the preference for “efficiency” and “stability” based on the actual situation in the real scenario.

4.4.2. Weight Update Parameter λ

The weight update parameter is used to balance the weight determined by historical weight and current trust, and to regulate the change speed of the expert’s influence in the decision-making process. The benchmark case takes 0.44 to prioritize reflecting the current performance. Sensitivity analysis will test the impact of the weight update speed on the efficiency of consensus reaching by taking λ as 0.2, 0.3, and 0.4, the comparison results are shown in Table 9.
When λ takes values of 0.2 and 0.3, the final consensus level is slightly lower, but the number of consensus reaching iterations remains the same. And under all λ values, the optimal solution ranking remains unchanged as X2 > X3 > X1 > X4, indicating that the model has good robustness to the value of λ. Considering both convergence efficiency and consensus quality, λ can be adjusted within the range of 0.2 to 0.4 to balance timeliness and stability.

4.4.3. Adjustment Factor γ

The adjustment factor controls the extent of the adjustment of low consensus expert preferences and affects the balance between the convergence speed of consensus and the diversity of individual opinions. The benchmark case takes one to achieve a compromise between timeliness and opinion stability. Sensitivity analysis will observe the impact of γ taking values of 1.0, 1.1, 1.2, and 1.5 on the number of consensus rounds, the final consensus level, and the solution ranking, providing a reference for choosing an appropriate adjustment intensity in practical applications, the comparison results are shown in Table 10.
When γ takes values in the range of 1.0–1.2, consensus can be reached within four rounds and the ranking is stable. When γ = 1.5, convergence is slightly slower (six rounds), indicating that appropriately increasing the adjustment force of low consensus experts can help accelerate convergence. However, an excessively large γ may lead to excessive correction of preferences. In practical applications, it is recommended to set γ in the range of 1.0–1.2, achieving a balance between convergence speed and opinion stability.
Based on the above analysis, when the forgetting factor ρ, weight update parameter λ, and adjustment factor γ are adjusted within a reasonable range, the optimal solution ranking of the model in this paper remains consistent (X2 > X3 > X1 > X4), the number of rounds for consensus achievement is between three and six, and the final group consensus level is stable between 0.84 and 0.86. The results show that the proposed dynamic trust evolution model is insensitive to the values of key parameters and has good robustness, which can provide stable and reliable decision support for flood disaster emergency decision-making.

5. Conclusions and Outlook

This paper addresses the difficulties in integrating the opinions of a large group of experts during the emergency decision-making process for flood disasters, as well as the low efficiency of reaching consensus. From the perspective of the dynamic evolution of trust relationships, a consensus achievement model driven by expert preference distance is constructed. The research integrates multi-dimensional trust relationships, quantifies preference information, and designs dynamic clustering and feedback regulation mechanisms to achieve synchronous optimization of the expert trust network, weight allocation, and consensus level. The study finds that the trust relationships of experts are not static but are adjusted in real time according to the convergence or divergence of preferences during the decision-making rounds, and this dynamic process is truly reflected in the decision-making interaction process. At the same time, the intuitive fuzzy Hamming distance is used to quantify the preference relationships of experts, clearly depicting the influence path of opinion interaction on trust relationships, thereby making the consensus feedback more targeted. Case verification and analysis show that the proposed dynamic trust evolution model effectively captures the dynamic changes in expert trust relationships during the decision-making process, improves the consensus convergence speed and decision quality, and provides new method support for large-group decision-making in complex emergency scenarios.
Of course, this article still has certain limitations. In general, the current model construction and case analysis are based on relatively idealized assumptions and have not fully incorporated the multiple complex factors that may exist in real emergency decision-making scenarios. For instance, the information exchange among experts often involves real constraints such as communication delays and communication disruptions, which may affect the real-time update of trust relationships and the efficiency of reaching consensus; at the same time, the size, composition, and dynamic changes in the decision-making group will also have a significant impact on the computational complexity, clustering effect, and effectiveness of the feedback mechanism of the model. Moreover, the trust relationships in real decisions may also be influenced by various complex factors such as emotional tendencies, communication quality, and external public opinion, and these factors have not been fully incorporated into the evolutionary mechanism in this article. Future research will aim to break through these idealized assumptions, further expand the model’s adaptability to reality, and introduce nonlinear evolutionary models and machine learning algorithms to improve the richness and nonlinearity of the trust dynamics, thereby enhancing the model’s robustness and practical value in diverse flood disaster emergency scenarios.

Author Contributions

Conceptualization, F.L. and P.W.; methodology, F.L. and P.W.; software, P.W.; validation, F.L., P.W. and J.Y.; formal analysis, F.L., P.W. and J.Y.; data curation, P.W.; writing—original draft preparation, P.W.; writing—review and editing, F.L. and J.Y.; supervision, F.L. and J.Y.; project administration, F.L., P.W. and J.Y.; funding acquisition, F.L. and J.Y. All authors have read and agreed to the published version of the manuscript.

Funding

This research was funded by Jiangsu Provincial Social Science Foundation: Research on the Enhancement of Knowledge Integration Efficiency of the Expert Team for Major Natural Disasters in Our Country, grant number 24GLB006.

Data Availability Statement

The original contributions presented in this study are included in the article. Further inquiries can be directed to the corresponding author.

Conflicts of Interest

The authors declare no conflicts of interest.

Appendix A

  • Initial trust matrix (complete).
T 0 = 0.48 0.90 0.23 0 0 0 0.23 0 0.48 0 0 0.13 0.15 0.14 0.19 0 0 0 0 0.70 0.65 0.36 0.35 0 0 0.38 0 0.21 0 0 0.20 0 0.17 0 0 0 0 0 0.89 0.75 0.40 0 0 0 0.47 0 0.46 0 0 0.12 0 0.12 0.12 0 0 0 0 0.30 0.51 0.51 0 0 0 0 0 0 0 0 0.13 0.11 0.13 0 0.16 0.28 0.49 0.14 0.01 0 0 0 0.46 1.00 0.35 0 0.05 0 0 0 0 0.22 0 0.18 0.15 0.15 0 0 0 0 0 0.71 0.87 0.18 0 0 0 0 0 0 0.23 0 0.11 0.11 0 0.20 0.05 0 0 0 0.86 0.68 0.64 0 0 0 0 0 0 0.35 0 0.16 0.14 0.17 0 0.42 0.24 0.58 0 0.26 0.15 0.29 0 0.13 0 0 0 0 0 0 0.12 0 0.13 0.12 0.02 0.10 0 0 0 0 0 0.11 0.30 0.90 0.62 0 0.05 0 0 0 0 0.11 0 0.32 0.50 0.15 0 0 0 0 0.27 0.61 0.40 0.35 0 0 0 0 0 0 0.11 0 0.01 0 0.05 0 0 0 0 0.11 0.92 0.33 0.75 0 0 0 0.05 0 0 0.11 0 0.12 0.35 0.15 0 0 0 0 0.11 0.71 0.38 0.56 0 0.05 0.05 0 0 0 0.11 0 0.25 0.20 0 0.18 0 0 0 0 0 0 0.05 0 0.63 0.71 0.69 0 0 0 0 0.20 0.05 0 0.11 0 0 0 0 0.05 0 0 0 0.87 0.54 0.82 0 0 0 0 0.14 0.17 0 0.13 0.34 0.41 0.57 0 0 0 0 0 0.37 0.16 0.28 0 0 0 0 0.54 0.04 0.18 0 0 0 0 0 0 0 0 0 0.57 0.64 0.29 0 0.05 0 0 0.07 0.34 0 0.20 0.22 0 0.16 0 0 0 0 0 0 0 0 0 0.69 0.60 0.89 0 0 0.05 0.22 0.15 0 0.14 0 0 0 0 0 0 0 0 0 0.96 0.74 0.87 0 0 0 0.24 0.15 0 0.17 0.13 0 0 0 0 0 0 0 0.05 0.69 0.72 0.77 0.04 0 0 0.32 0.14 0.20 0.13 0 0 0 0 0 0 0 0 0 0.63 0.82 0.76
2.
The third round of trust matrix (complete).
T 2 = 0.48 0.90 0.23 0 0 0.07 0.23 0.15 0.59 0.08 0.02 0.13 0.15 0.23 0.46 0 0 0 0.15 0.70 0.65 0.36 0.35 0 0.10 0.38 0.12 0.45 0.09 0.09 0.20 0 0.23 0.27 0 0 0 0.17 0.89 0.75 0.40 0 0 0.09 0.47 0.13 0.63 0.08 0.04 0.12 0 0.20 0.38 0 0 0 0.18 0.30 0.51 0.51 0 0 0.08 0 0.16 0.21 0.08 0.05 0.13 0.11 0.20 0.22 0.16 0.28 0.49 0.30 0.01 0 0 0 0.46 1.00 0.35 0.16 0.31 0.08 0.05 0 0 0.29 0.26 0.18 0.15 0.15 0.18 0 0 0 0 0.71 0.92 0.18 0.12 0.18 0.09 0.06 0 0 0.33 0.25 0.11 0.11 0 0.37 0.12 0.10 0.09 0.08 0.92 0.78 0.72 0.12 0.17 0.09 0.10 0.09 0.09 0.43 0.17 0.26 0.20 0.27 0.08 0.42 0.24 0.58 0 0.26 0.15 0.36 0.13 0.26 0.09 0.03 0 0 0.07 0.22 0.12 0 0.13 0.29 0.17 0.22 0.13 0.16 0.16 0.12 0.12 0.23 0.48 0.96 0.76 0.22 0.18 0.17 0.23 0.16 0.09 0.31 0.21 0.43 0.74 0.31 0.21 0.26 0.18 0.17 0.40 0.80 0.57 0.53 0.23 0.21 0.12 0.26 0.21 0.12 0.27 0.20 0.09 0.09 0.13 0.08 0.08 0.09 0.09 0.20 0.97 0.50 0.79 0.10 0.09 0.11 0.26 0.08 0.05 0.20 0.16 0.14 0.44 0.19 0.05 0.05 0.06 0.10 0.14 0.85 0.56 0.60 0.05 0.14 0.13 0.23 0.05 0.04 0.14 0.17 0.25 0.20 0 0.18 0 0 0.09 0 0.22 0.23 0.14 0.05 0.63 0.80 0.89 0 0 0 0.21 0.20 0.05 0 0.11 0 0 0.09 0 0.18 0.21 0.09 0.09 0.87 0.60 0.94 0 0 0 0.17 0.23 0.23 0.08 0.20 0.41 0.50 0.66 0.07 0.17 0.12 0.11 0.08 0.45 0.22 0.52 0.07 0 0.08 0.16 0.81 0.32 0.45 0.22 0.26 0.25 0.17 0.22 0.23 0.26 0.21 0.23 0.83 0.84 0.54 0.25 0.25 0.24 0.23 0.07 0.34 0 0.20 0.22 0 0.26 0 0.16 0.21 0.08 0.05 0 0 0.07 0.25 0.69 0.60 0.96 0 0 0.05 0.22 0.15 0 0.20 0 0.09 0.12 0.05 0.04 0 0 0 0.21 0.96 0.74 0.92 0 0 0 0.24 0.15 0 0.27 0.13 0.21 0.17 0.10 0.03 0 0 0.08 0.29 0.69 0.72 0.92 0.19 0.17 0.18 0.47 0.32 0.37 0.16 0.17 0.21 0.20 0.16 0.17 0.21 0.17 0.16 0.23 0.82 0.89 0.92
3.
The fourth round of trust matrix (complete).
T 2 = 0.48 0.90 0.23 0 0 0.12 0.23 0.15 0.59 0.08 0.02 0.13 0.15 0.23 0.46 0 0 0 0.15 0.70 0.65 0.36 0.35 0 0.17 0.38 0.12 0.45 0.09 0.09 0.20 0 0.23 0.27 0 0 0 0.17 0.89 0.75 0.40 0 0 0.16 0.47 0.13 0.63 0.08 0.04 0.12 0 0.20 0.38 0 0 0 0.18 0.30 0.51 0.51 0 0 0.13 0 0.16 0.21 0.08 0.05 0.13 0.11 0.20 0.22 0.16 0.28 0.49 0.30 0.01 0 0 0 0.46 1.00 0.35 0.16 0.31 0.08 0.05 0 0 0.29 0.26 0.18 0.15 0.15 0.18 0 0 0 0 0.71 0.95 0.18 0.12 0.18 0.09 0.06 0 0 0.33 0.25 0.11 0.11 0 0.37 0.17 0.17 0.16 0.13 0.95 0.83 0.76 0.16 0.23 0.11 0.14 0.15 0.14 0.47 0.22 0.33 0.22 0.33 0.16 0.42 0.24 0.58 0 0.26 0.15 0.41 0.13 0.26 0.09 0.03 0 0 0.07 0.22 0.12 0 0.13 0.29 0.17 0.22 0.13 0.16 0.16 0.12 0.16 0.23 0.48 0.96 0.76 0.22 0.18 0.17 0.23 0.16 0.09 0.31 0.21 0.43 0.74 0.31 0.21 0.26 0.18 0.23 0.40 0.80 0.57 0.53 0.23 0.21 0.12 0.26 0.21 0.12 0.27 0.20 0.09 0.09 0.13 0.08 0.08 0.09 0.11 0.20 0.97 0.50 0.79 0.10 0.09 0.11 0.26 0.08 0.05 0.20 0.16 0.14 0.44 0.19 0.05 0.05 0.06 0.14 0.14 0.85 0.56 0.60 0.05 0.14 0.13 0.23 0.05 0.04 0.14 0.17 0.25 0.20 0 0.18 0 0 0.15 0 0.22 0.23 0.14 0.05 0.63 0.80 0.89 0 0 0 0.21 0.20 0.05 0 0.11 0 0 0.14 0 0.18 0.21 0.09 0.09 0.87 0.60 0.94 0 0 0 0.17 0.23 0.23 0.08 0.20 0.41 0.50 0.69 0.07 0.17 0.12 0.11 0.08 0.45 0.22 0.52 0.07 0 0.08 0.16 0.81 0.32 0.45 0.22 0.26 0.25 0.22 0.22 0.23 0.26 0.21 0.23 0.83 0.84 0.54 0.25 0.25 0.24 0.23 0.07 0.34 0 0.20 0.22 0 0.33 0 0.16 0.21 0.08 0.05 0 0 0.07 0.25 0.69 0.60 0.96 0 0 0.05 0.22 0.15 0 0.22 0 0.09 0.12 0.05 0.04 0 0 0 0.21 0.96 0.74 0.92 0 0 0 0.24 0.15 0 0.33 0.13 0.21 0.17 0.10 0.03 0 0 0.08 0.29 0.69 0.72 0.92 0.19 0.17 0.18 0.47 0.32 0.37 0.24 0.17 0.21 0.20 0.16 0.17 0.21 0.17 0.16 0.23 0.82 0.89 0.92

References

  1. Wang, L.; Cui, S.; Li, Y.; Huang, H.; Manandhar, B.; Nitivattananon, V.; Fang, X.; Huang, W. A Review of the Flood Management: From Flood Control to Flood Resilience. Heliyon 2022, 8, e11763. [Google Scholar] [CrossRef]
  2. Tyler, J.; Sadiq, A.-A.; Council, D.; Noonan, D. Floodplain Managers’ Perceptions of Community Flood Concern, Mitigation, Preparedness, and Response in the United States. J. Contingencies Crisis Manag. 2023, 31, 92–104. [Google Scholar] [CrossRef]
  3. Jiang, S.-H.; Zhi, H.-L.; Wang, Z.Z.; Zhang, S. Enhancing Flood Risk Assessment and Mitigation through Numerical Modeling: A Case Study. Nat. Hazards Rev. 2023, 24, 04022046. [Google Scholar] [CrossRef]
  4. Li, Y.; Huan, J.; Shen, J.; Chen, L.; Cao, J.; Cheng, Y. Social Network Large-Scale Group Decision-Making Considering Dynamic Trust Relationships and Historical Preferences of Decision Makers in Opinion Evolution. Inf. Fusion 2025, 117, 102837. [Google Scholar] [CrossRef]
  5. Wang, P.; Chen, J. A Large Group Emergency Decision Making Method Considering Scenarios and Unknown Attribute Weights. Symmetry 2023, 15, 223. [Google Scholar] [CrossRef]
  6. Huo, H.; Sun, R.; He, H.; Ren, Z. A Large-Scale Group Decision-Making Model Considering Expert Authority Degree and Relationship Evolution under Social Network. Group Decis. Negot. 2024, 33, 839–881. [Google Scholar] [CrossRef]
  7. Sun, N.; Wang, Z.; Peng, Z.; Qu, S.; Ji, Y. Social Network Minimum Cost Consensus Considering Risk Preferences and Uncertainty: A Data-Driven Robust Approach. Inf. Fusion 2026, 126, 103593. [Google Scholar] [CrossRef]
  8. Sun, X.; Zhu, J.; Wang, J.; Perez-Galvez, I.J.; Cabrerizo, F.J. Consensus-Reaching Process in Multi-Stage Large-Scale Group Decision-Making Based on Social Network Analysis: Exploring the Implication of Herding Behavior. Inf. Fusion 2024, 104, 102184. [Google Scholar] [CrossRef]
  9. Wen, T.; Zheng, R.; Wu, T.; Liu, Z.; Zhou, M.; Syed, T.A.; Ghataoura, D.; Chen, Y. Formulating Opinion Dynamics from Belief Formation, Diffusion and Updating in Social Network Group Decision-Making: Towards Developing a Holistic Framework. Eur. J. Oper. Res. 2025, 325, 381–399. [Google Scholar] [CrossRef]
  10. Du, Z.; Yu, S.; Luo, H.; Lin, X. Consensus Convergence in Large-Group Social Network Environment: Coordination between Trust Relationship and Opinion Similarity. Knowl.-Based Syst. 2021, 217, 106828. [Google Scholar] [CrossRef]
  11. Zhou, X.; Ji, F.; Wang, L.; Ma, Y.; Fujita, H. Particle Swarm Optimization for Trust Relationship Based Social Network Group Decision Making under a Probabilistic Linguistic Environment. Knowl.-Based Syst. 2020, 200, 105999. [Google Scholar] [CrossRef]
  12. Zhong, X.; Xu, X.; Goh, M.; Pan, B. Large Group Decision-Making Method Based on Social Network Analysis: Integrating Evaluation Information and Trust Relationships. Cogn. Comput. 2024, 16, 86–106. [Google Scholar] [CrossRef]
  13. Towhidi, G.; Sinha, A.P.; Srite, M.; Zhao, H. Trust Decision-Making in Online Social Communities: A Network-Based Model. J. Comput. Inf. Syst. 2022, 62, 153–163. [Google Scholar] [CrossRef]
  14. Li, M.; Qiu, L.; Xu, Y.; Liu, X.; Kou, G.; Herrera-Viedma, E. A Consensus Model Based on Social Network Analysis in Large-Scale Group Decision Making: Mining and Managing Trust Risk Behaviors. IEEE Trans. Syst. Man Cybern.-Syst. 2023, 53, 6204–6219. [Google Scholar] [CrossRef]
  15. An, X.; Zhao, W.; Wang, X. Engineering Transaction Structure Optimization via Improved Social Network Dynamics and Entropy Integration. J. Asian Archit. Build. Eng. 2025. [Google Scholar] [CrossRef]
  16. Zhang, Y.; Chen, X.; Gao, L.; Dong, Y.; Pedryczc, W. Consensus Reaching with Trust Evolution in Social Network Group Decision Making. Expert Syst. Appl. 2022, 188, 116022. [Google Scholar] [CrossRef]
  17. Jinghua, Z.; Haiying, R. Multi-Attribute Decision-Making Based on Data Mining under a Dynamic Hybrid Trust Network. Comput. Ind. Eng. 2023, 185, 109672. [Google Scholar] [CrossRef]
  18. Zhou, X.; Li, S.; Wei, C. Consensus Reaching Process for Group Decision-Making Based on Trust Network and Ordinal Consensus Measure. Inf. Fusion 2024, 101, 101969. [Google Scholar] [CrossRef]
  19. Krawczak, M.; Szkatula, G. On Matching of Intuitionistic Fuzzy Sets. Inf. Sci. 2020, 517, 254–274. [Google Scholar] [CrossRef]
  20. Atanassov, K.; Vassilev, P. Intuitionistic Fuzzy Sets and Other Fuzzy Sets Extensions Representable by Them. J. Intell. Fuzzy Syst. 2020, 38, 525–530. [Google Scholar] [CrossRef]
  21. Xu, Z. A Deviation-Based Approach to Intuitionistic Fuzzy Multiple Attribute Group Decision Making. Group Decis. Negot. 2010, 19, 57–76. [Google Scholar] [CrossRef]
  22. Xu, Z. Intuitionistic Fuzzy Aggregation Operators. IEEE Trans. Fuzzy Syst. 2007, 15, 1179–1187. [Google Scholar] [CrossRef]
  23. Liu, B.; Shen, Y.; Zhang, W.; Chen, X.; Wang, X. An Interval-Valued Intuitionistic Fuzzy Principal Component Analysis Model-Based Method for Complex Multi-Attribute Large-Group Decision-Making. Eur. J. Oper. Res. 2015, 245, 209–225. [Google Scholar] [CrossRef]
  24. Guo, S.; Ding, R.-X.; Li, M.-N.; Shi, Z.; Wang, X.; Chiclana, F. Interactive Dynamic Trust Network for Consensus Reaching in Social Network Analysis Based Large-Scale Decision Making. Expert Syst. Appl. 2024, 255, 124578. [Google Scholar] [CrossRef]
  25. Yang, W.; Wang, Y. Adaptive Personalized Large-Scale Group Decision-Making Model Based on Psychobehavior in Comprehensive Trust Network. Expert Syst. Appl. 2026, 299, 129863. [Google Scholar] [CrossRef]
  26. Xu, X.; Xiao, T. A consensus model for large-scale emergency decision-making driven by social network behavior data. Syst. Eng. Electron. Technol. 2023, 45, 2086–2097. [Google Scholar]
  27. Blondel, V.D.; Guillaume, J.-L.; Lambiotte, R.; Lefebvre, E. Fast Unfolding of Communities in Large Networks. J. Stat. Mech.-Theory Exp. 2008, 10, P10008. [Google Scholar] [CrossRef]
  28. Liu, D.; Chang, X.; Wu, S.; Zhang, Y.; Kong, N.; Zhang, X. Influencing Factors of Urban Public Flood Emergency Evacuation Decision Behavior Based on Protection Motivation Theory: An Example from Jiaozuo City, China. Sustainability 2024, 16, 5507. [Google Scholar] [CrossRef]
  29. Gardner, E. Exponential Smoothing—The State of the Art. J. Forecast. 1985, 4, 1–28. [Google Scholar] [CrossRef]
  30. Zhang, J.; Fei, J.; Song, X.; Feng, J. An Improved Louvain Algorithm for Community Detection. Math. Probl. Eng. 2021, 2021, 1485592. [Google Scholar] [CrossRef]
  31. Xu, X.; Chai, J.; Chen, X. A Hesitation-Feedback Recommendation Approach and Its Application in Large-Scale Group Emergency Decision Making. Expert Syst. Appl. 2023, 213, 118876. [Google Scholar] [CrossRef]
  32. Chen, X.; Zhang, W.; Xu, X.; Cao, W. Managing Group Confidence and Consensus in Intuitionistic Fuzzy Large Group Decision-Making Based on Social Media Data Mining. Group Decis. Negot. 2022, 31, 995–1023. [Google Scholar] [CrossRef]
  33. Garcia-Zamora, D.; Labella, A.; Rodriguez, R.M.; Martinez, L. A Linguistic Metric for Consensus Reaching Processes Based on ELICIT Comprehensive Minimum Cost Consensus Models. IEEE Trans. Fuzzy Syst. 2023, 31, 1676–1688. [Google Scholar] [CrossRef]
  34. Bai, S.; He, H.; Luo, D.; Ge, M.; Yang, R.; Bi, X. A Large-Scale Group Decision-Making Consensus Model Considering the Experts’ Adjustment Willingness Based on the Interactive Weights’ Determination. Complexity 2022, 2022, 2691804. [Google Scholar] [CrossRef]
Figure 1. Overall framework diagram of the method.
Figure 1. Overall framework diagram of the method.
Water 18 00811 g001
Figure 2. Initial trust network of experts.
Figure 2. Initial trust network of experts.
Water 18 00811 g002
Figure 3. Bar chart showing the changes in the level of expert consensus.
Figure 3. Bar chart showing the changes in the level of expert consensus.
Water 18 00811 g003
Figure 4. Scoring of alternative options.
Figure 4. Scoring of alternative options.
Water 18 00811 g004
Table 1. Three representations in social networks.
Table 1. Three representations in social networks.
Social Relationship MatrixNetwork Relationship DiagramAlgebraic Expression Represents
T = [ t i j ] = 0 0 0.2 1 0.3 0 0.4 0 0 0.8 0 0.7 0.5 0 0 0 Water 18 00811 i001e1Re3, e1Re4
e2Re1, e2Re3
e3Re2, e3Re4, e4Re1
Table 2. Initial weights of experts.
Table 2. Initial weights of experts.
Expertsω01ω02ω03ω04ω017ω018ω019ω020
Initial weights0.0744 0.0680 0.0588 0.0435 0.0550 0.05418 0.0634 0.0546
Table 3. The level of individual expert consensus in the first round.
Table 3. The level of individual expert consensus in the first round.
Expertse1e2e3e4e17e18e19e20
Consensus Level 0.84540.87370.88450.82770.87730.82760.86980.6811
Table 4. Comparative analysis of changes in partial trust in the first round of trust evolution among experts.
Table 4. Comparative analysis of changes in partial trust in the first round of trust evolution among experts.
Experts on (i → j)Previous Round of Trust ValueCognitive Change Trust ValueTrust Value After Preference UpdateAnalysis of the Reasons for the Changes
e1 → e20.482700.4827The experts’ preferences did not change during the two rounds.
e20 → e10.03630.09520.1315After two rounds of iteration, the experts’ preferences converged.
e20 → e200.11030.1103From no contact to an increase in preference similarity
e20 → e190.76420.09430.8585After two rounds of iteration, the experts’ preferences converged.
Table 5. Weights of experts in the third round.
Table 5. Weights of experts in the third round.
Expertsω41ω42ω43ω44ω417ω418ω419ω420
Initial weights0.05850.05650.04940.03920.04760.04210.05270.0674
Table 6. Comparison of static trust.
Table 6. Comparison of static trust.
MethodHas the Maximum Number of Consensus Iterations Been Reached?The Final Level of Group ConsensusSorting Results of the Plan
[26]No0.8317X4 > X3 > X1 > X2
this textYes0.8500X2 > X3 > X1 > X4
Table 7. Comparison of dynamic trust.
Table 7. Comparison of dynamic trust.
MethodDid the Fourth Round Reach the Consensus Level?The Fourth Round of Group Consensus LevelSorting Results of the Plan
[15] No0.7927X2 > X4 > X1 > X3
[16] No0.8444X2 > X3 > X1 > X4
this textYes0.8500X2 > X3 > X1 > X4
Table 8. Sensitivity analysis of forgetting factor ρ.
Table 8. Sensitivity analysis of forgetting factor ρ.
ρRound of Reaching ConsensusThe Final Consensus LevelOptimal Solution Ranking
0.640.8500X2 > X3 > X1 > X4
0.740.8506X2 > X3 > X1 > X4
0.840.8513X2 > X3 > X1 > X4
Table 9. Sensitivity analysis of weight update parameters λ.
Table 9. Sensitivity analysis of weight update parameters λ.
λRound of Reaching ConsensusThe Final Consensus LevelOptimal Solution Ranking
0.240.8497X2 > X3 > X1 > X4
0.340.8498X2 > X3 > X1 > X4
0.440.8500X2 > X3 > X1 > X4
Table 10. Sensitivity analysis of adjustment factor γ.
Table 10. Sensitivity analysis of adjustment factor γ.
ρRound of Reaching ConsensusThe Final Consensus LevelOptimal Solution Ranking
1.040.8500X2 > X3 > X1 > X4
1.140.8464X2 > X3 > X1 > X4
1.240.8428X2 > X3 > X1 > X4
1.560.8402X2 > X3 > X1 > X4
Disclaimer/Publisher’s Note: The statements, opinions and data contained in all publications are solely those of the individual author(s) and contributor(s) and not of MDPI and/or the editor(s). MDPI and/or the editor(s) disclaim responsibility for any injury to people or property resulting from any ideas, methods, instructions or products referred to in the content.

Share and Cite

MDPI and ACS Style

Li, F.; Wu, P.; Yin, J. Research on the Dynamic Evolution of Expert Trust Relationship in Flood Disaster Decision-Making Based on Preference Distance. Water 2026, 18, 811. https://doi.org/10.3390/w18070811

AMA Style

Li F, Wu P, Yin J. Research on the Dynamic Evolution of Expert Trust Relationship in Flood Disaster Decision-Making Based on Preference Distance. Water. 2026; 18(7):811. https://doi.org/10.3390/w18070811

Chicago/Turabian Style

Li, Feng, Pengcheng Wu, and Jie Yin. 2026. "Research on the Dynamic Evolution of Expert Trust Relationship in Flood Disaster Decision-Making Based on Preference Distance" Water 18, no. 7: 811. https://doi.org/10.3390/w18070811

APA Style

Li, F., Wu, P., & Yin, J. (2026). Research on the Dynamic Evolution of Expert Trust Relationship in Flood Disaster Decision-Making Based on Preference Distance. Water, 18(7), 811. https://doi.org/10.3390/w18070811

Note that from the first issue of 2016, this journal uses article numbers instead of page numbers. See further details here.

Article Metrics

Back to TopTop