Enhanced Photocatalytic Degradation of Tetracycline over Alcohol-Assisted Bi2O3/TiO2 Composite Heterojunction Under UV Irradiation
Abstract
1. Introduction
2. Experimental
2.1. Preparation of Catalysts
2.2. Performance Evaluation
2.3. Characterization
3. Results and Discussion
3.1. Structure of Catalysts
3.1.1. XRD
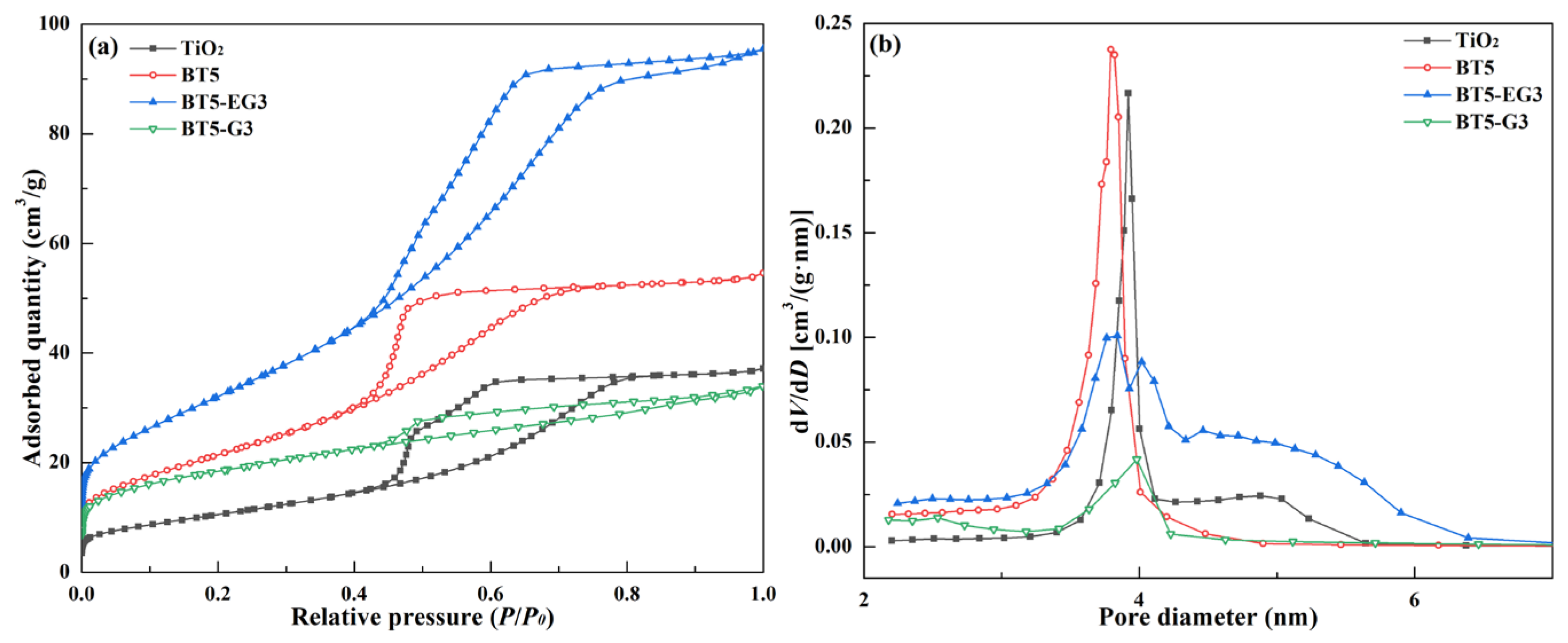
3.1.2. BET Analysis
3.1.3. TEM
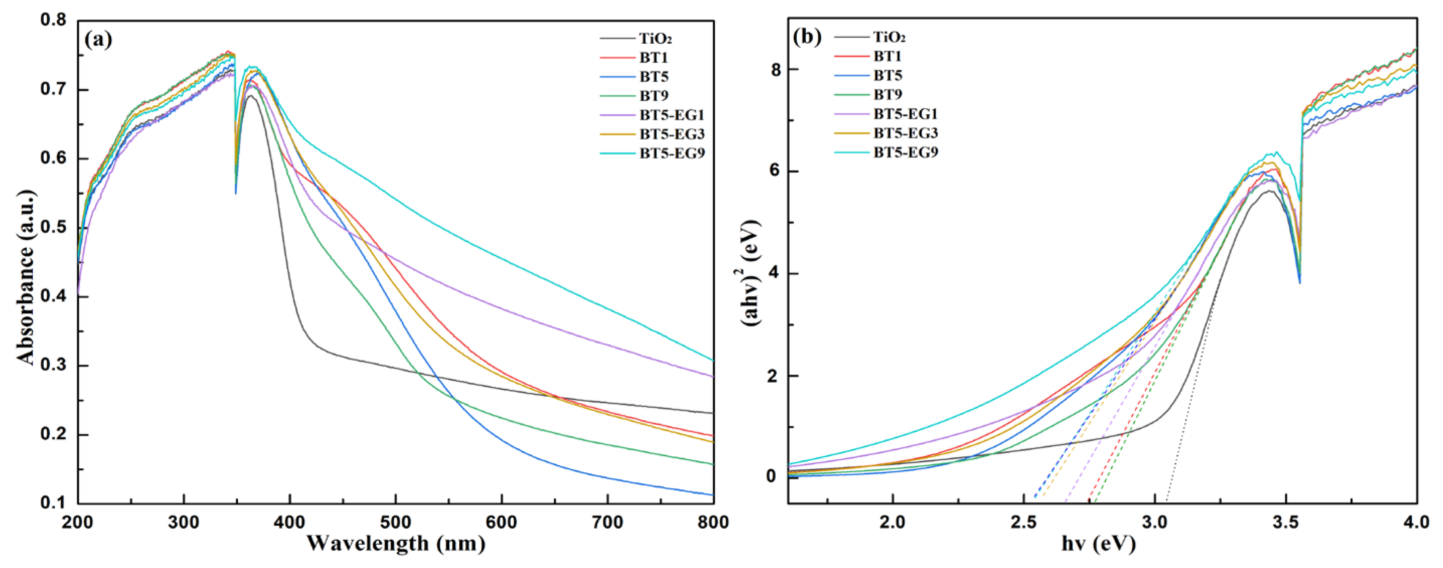
3.2. UV-Vis and PL Spectrum Analysis
3.3. XPS Analysis
3.4. Photocatalytic Performance
3.5. Photocatalytic Oxidation Mechanism
4. Conclusions
Author Contributions
Funding
Data Availability Statement
Conflicts of Interest
References
- Yang, H.; Paruch, L.; Chen, X.; van Eerde, A.; Skomedal, H.; Wang, Y.; Liu, D.; Clarke, J.L. Antibiotic Application and Resistance in Swine Production in China: Current Situation and Future Perspectives. Front. Vet. Sci. 2019, 6, 136. [Google Scholar] [CrossRef]
- Li, S.; Zhang, X.; Huang, Y. Zeolitic imidazolate framework-8 derived nanoporous carbon as an effective and recyclable adsorbent for removal of ciprofloxacin antibiotics from water. J. Hazard. Mater. 2017, 321, 711–719. [Google Scholar] [CrossRef] [PubMed]
- Kalli, M.; Noutsopoulo, C.; Mamais, D. The fate and occurrence of antibiotic-resistant bacteria and antibiotic resistance genes during advanced wastewater treatment and disinfection: A review. Water 2023, 15, 2084. [Google Scholar] [CrossRef]
- Kivits, T.; Broers, H.P.; Beeltje, H.; van Vliet, M.; Griffioen, J. Presence and fate of veterinary antibiotics in age-dated groundwater in areas with intensive livestock farming. Environ. Pollut. 2018, 241, 988–998. [Google Scholar] [CrossRef] [PubMed]
- Liu, X.; Liu, Y.; Lu, S.; Guo, X.; Lu, H.; Qin, P.; Bi, B.; Wan, Z.; Xi, B.; Zhang, T.; et al. Occurrence of typical antibiotics and source analysis based on PCA-MLR model in the East Dongting Lake, China. Ecotoxicol. Environ. Saf. 2018, 163, 145–152. [Google Scholar] [CrossRef]
- Wang, X.; Li, Y.; Zhang, J.; Chen, Z. Efficient adsorption of a sulfonamide antibiotic in aqueous solutions with N-doped magnetic biochar: Performance, mechanism, and reusability. ACS Omega 2023, 8, 879–892. [Google Scholar] [CrossRef]
- Nasrollahi, N.; Vatanpour, V.; Khataee, A. Removal of antibiotics from wastewaters by membrane technology: Limitations, successes, and future improvements. Sci. Total Environ. 2022, 838, 156010. [Google Scholar] [CrossRef]
- He, Z.; Wang, X.; Luo, Y.; Zhu, Y.; Lai, X.; Shang, J.; Chen, J.; Liao, Q. Effects of suspended particulate matter from natural lakes in conjunction with coagulation to tetracycline removal from water. Chemosphere 2021, 277, 130327. [Google Scholar] [CrossRef]
- Lu, Z.; Liu, G.; Xie, H.; Zhai, Y.; Li, X. Advances and solutions in biological treatment for antibiotic wastewater with resistance genes: A review. J. Environ. Manag. 2024, 368, 122115. [Google Scholar] [CrossRef]
- Bai, X.; Chen, W.; Wang, B.; Sun, T.; Wu, B.; Wang, Y. Photocatalytic degradation of some typical antibiotics: Recent advances and future outlooks. Int. J. Mol. Sci. 2022, 23, 8130. [Google Scholar] [CrossRef]
- Liang, X.; Yu, S.; Meng, B.; Wang, X.; Yang, C.; Shi, C.; Ding, J. Advanced TiO2-based photoelectrocatalysis: Material modifications, charge dynamics, and environmental–energy applications. Catalysts 2025, 15, 542. [Google Scholar] [CrossRef]
- Shrivastav, H.; Kaur, H.; Kumar, S.; Sur, D.; Sadaf, S.; Kaur, R.; Kumar, C.; Patial, P.; Awad, M.; Alam, M.W. A new horizon in green synthesis for metal oxides: Dracaena reflexa-derived TiO2 nanoparticles for photocatalytic activity and antibacterial application. Catalysts 2026, 466, 115679–115703. [Google Scholar] [CrossRef]
- Kaur, H.; Kumar, S.; Kaur, G.; Kaur, N.; Badru, R.; Saini, R. An emerging expanse: Novel and eco-friendly-biogenic synthesis of E. cardamomum-wrapped TiO2 nanoparticles for environmental and biological applications. Environ. Res. 2023, 234, 116599–116611. [Google Scholar] [CrossRef] [PubMed]
- Kaur, H.; Sharma, A.; Anand, K.; Panday, A.; Tagotra, S.; Kakran, S.; Singh, A.K.; Alam, M.W.; Kumar, S.; Bouzid, G.; et al. Green synthesis of ZnO nanoparticles using E. cardamomum and zinc nitrate precursor: A dual-functional material for water purification and antibacterial applications. RSC Adv. 2025, 15, 16742–16765. [Google Scholar] [CrossRef] [PubMed]
- Wu, S.; Hu, H.; Lin, Y.; Zhang, J.; Hu, Y.H. Visible light photocatalytic degradation of tetracycline over TiO2. Chem. Eng. J. 2020, 382, 122842. [Google Scholar] [CrossRef]
- Mao, T.; Zha, J.; Hu, Y.; Chen, Q.; Zhang, J.; Luo, X. Research progress of TiO2 modification and photodegradation of organic pollutants. Inorganics 2024, 12, 178. [Google Scholar] [CrossRef]
- Chen, X.; Chen, W.; Gao, H.; Yang, Y.; Shangguan, W. In situ photodeposition of NiOx on CdS for hydrogen production under visible light: Enhanced activity by controlling solution environment. Appl. Catal. B-Environ. 2014, 152, 68–72. [Google Scholar] [CrossRef]
- Wang, M.; Li, C.; Liu, B.; Qin, W.; Xie, Y. Facile synthesis of nano-flower β-Bi2O3/TiO2 heterojunction as photocatalyst for degradation RhB. Molecules 2023, 28, 882. [Google Scholar] [CrossRef]
- Yin, Z.; Zhang, X.; Yuan, X.; Wei, W.; Xiao, Y.; Cao, S. Constructing TiO2@Bi2O3 multi-heterojunction hollow structure for enhanced visible-light photocatalytic performance. J. Clean. Prod. 2022, 375, 134112. [Google Scholar] [CrossRef]
- Sood, S.; Mehta, S.K.; Sinha, A.S.K.; Kansal, S.K. Bi2O3/TiO2 heterostructures: Synthesis, characterization and their application in solar light mediated photocatalyzed degradation of an antibiotic, ofloxacin. Chem. Eng. J. 2016, 290, 45–52. [Google Scholar] [CrossRef]
- Wang, N.; Li, X.; Yang, Y.; Zhou, Z.; Shang, Y.; Zhuang, X.; Zhang, T. Two-stage calcination composite of Bi2O3-TiO2 supported on powdered activated carbon for enhanced degradation of sulfamethazine under solar irradiation. J. Water Process Eng. 2020, 35, 101220. [Google Scholar] [CrossRef]
- Yang, J.; Wang, X.H.; Yan, S.; Huang, F.; Xia, X.Y.; Zhao, Y.Q.; Hao, P.; Cui, G.W.; Wang, Q. Facile construction of (Bi2O3/Bi2O2.33)/TiO2 S-scheme heterojunction by deep eutectic solvent-regulated strategy for enhanced photocatalytic tetracycline degradation. J. Alloy Compd. 2025, 1020, 179400–179407. [Google Scholar] [CrossRef]
- Mäntele, W.; Deniz, E. UV–Vis absorption spectroscopy: Lambert-Beer reloaded. Spectrochim. Acta A 2017, 173, 965–968. [Google Scholar] [CrossRef] [PubMed]
- Meng, J.; Ashry, A.G.; Abou-Elyazed, A.S.; Zhang, Z.; Li, X.; Sharara, T.Z.; El-Demerdash, S.H. Highly efficient visible-light photocatalysts: Bi2O3@TiO2 derived from Ti-MOFs for Eriochrome Black T degradation. Catalysts 2024, 14, 829. [Google Scholar] [CrossRef]
- Ma, A.; Wei, Y.; Zhou, Z.; Xu, W.; Ren, F.; Ma, H.; Wang, J. Preparation Bi2S3-TiO2 heterojunction/polymer fiber composites and its photocatalytic degradation of methylene blue under Xe lamp irradiation. Polym. Degrad. Stabil. 2012, 97, 125–131. [Google Scholar] [CrossRef]
- Sood, S.; Umar, A.; Mehta, S.K.; Kansal, S.K. α-Bi2O3 nanorods: An efficient sunlight active photocatalyst for degradation of Rhodamine B and 2, 4, 6-trichlorophenol. Ceram. Int. 2015, 41, 3355–3364. [Google Scholar] [CrossRef]
- Yang, L.; Sun, W.; Luo, S.; Luo, Y. White fungus-like mesoporous Bi2S3 ball/TiO2 heterojunction with high photocatalytic efficiency in purifying 2, 4-dichlorophenoxyacetic acid/Cr (VI) contaminated water. Appl. Catal. B-Environ. 2014, 156, 25–34. [Google Scholar] [CrossRef]
- Kaur, H.; Alam, M.W.; Alsawat, M.; Kumar, S.; Kaur, R.; Yewale, M.A.; Kumar, C.; Sridevi, C.; Bouzid, G.; Sillanpaa, M. Phyto-engineered CuO using Elettaria cardamomum: A visible-light-driven photocatalyst with antibacterial potential for environmental and biomedical applications. Catal. Today 2026, 467, 115697. [Google Scholar] [CrossRef]
- Liu, Y.; Zhu, G.; Gao, J.; Hojamberdiev, M.; Zhu, R.; Wei, X.; Guo, Q.; Liu, P. Enhanced photocatalytic activity of Bi4Ti3O12 nanosheets by Fe3+-doping and the addition of Au nanoparticles: Photodegradation of phenol and bisphenol A. Appl. Catal. B-Environ. 2017, 200, 72–82. [Google Scholar] [CrossRef]
- Senthil, R.A.; Theerthagiri, J.; Selvi, A.; Madhavan, J. Synthesis and characterization oflow-cost g-C3N4/TiO2 composite with enhanced photocatalytic performance under visible-light irradiation. Opt. Mater. 2017, 64, 533–539. [Google Scholar] [CrossRef]
- Wang, N.; Li, X.; Yang, Y.; Guo, T.; Zhuang, X.; Ji, S.; Zhang, T.; Shang, Y.; Zhou, Z. Enhanced photocatalytic degradation of sulfamethazine by Bi-doped TiO2 nano-composites supported by powdered activated carbon under visible light irradiation. Sep. Purif. Technol. 2019, 211, 673–683. [Google Scholar] [CrossRef]
- Huang, Q.; Ye, J.; Si, H.; Yang, B.; Tao, T.; Zhao, Y.; Chen, M.; Yang, H. Differences of characteristics and performance with Bi3+ and Bi2O3 doping over TiO2 for photocatalytic oxidation under visible light. Catal. Lett. 2020, 150, 1098–1110. [Google Scholar] [CrossRef]
- Zhang, Z.; Huang, J.; Xia, H.; Dai, Q.; Gu, Y.; Lao, Y.; Wang, X. Chlorinatedvolatile organic compound oxidation over SO42−/Fe2O3 catalysts. J. Catal. 2018, 360, 277–289. [Google Scholar] [CrossRef]
- Faraji, M.; Mostafazadeh, N.; Dadashi, R.; Esmailpour, S.; Bahram, M. UV-assisted fabrication of CdS-decorated porous ZnO-PEG disk photocatalysts for efficient dye degradation. Results Eng. 2026, 29, 109748. [Google Scholar] [CrossRef]
- Huynh, T.V.; Nguyen, S.T.; Nguyen, V.H.; Nguyen, O.T.K. Zinc-doped BiOBr microspheres as an efficient photocatalyst for tetracycline antibiotic degradation under LED light. J. Phys. Chem. Solids 2026, 214, 113669. [Google Scholar] [CrossRef]
- Dolatshah, M.; Zinatizadeh, A.A.; Zinadini, S. A novel hierarchical TiO2@S-AZMB/ZnTi-LDH Z-scheme photocatalyst for enhanced metronidazole degradation. Appl. Mater. Today 2026, 48, 103097. [Google Scholar] [CrossRef]
- Diego-Lopez, A.; Cabezuelo, O.; Tamarit, L.; Bosca, F.; Marin, M.L. Activation of H2O2; PMS, and PDS over anatase TiO2-supported photocatalysts for efficient pollutant mineralization in water. Catal. Today 2026, 468, 115724. [Google Scholar] [CrossRef]
- Jahangiri, M.; Jalili, M.; Salavati-Niasari, M.; Dawid, E.A. Heterogeneous kinetic study of Ce-Ag-ZnO nano-photocatalyst for degradation of reactive red (RR120) dyes. Environ. Technol. Innov. 2026, 41, 104842. [Google Scholar] [CrossRef]
- Li, W.; Li, X.; Zhang, Y.; Xu, Y.; Wen, Z.; Huang, J.; Peng, M. Performance optimization and degradation mechanism elucidation of Fe-doped BiOBr photocatalysts for enhanced photocatalytic activity. J. Alloys Compd. 2025, 1038, 182837. [Google Scholar] [CrossRef]
- Saadati, A.; Habibi-Yangjeh, A.; Khataee, A. A facile synthesis of S-scheme TiO2-x/FeTiO3 heterojunction photocatalyst for multifunctional hazardous pollutants degradations. J. Alloys Compd. 2026; in press. [Google Scholar] [CrossRef]
- Hu, L.; Huang, Q.; Li, M.; Zhang, J.; Xue, Q.; Wang, J.; Li, C. A novel Z-scheme ZnO/N-Cu-MOF photocatalyst for efficient inactivation of Hematodinium dinospores. J. Environ. Chem. Eng. 2026, 14, 120629. [Google Scholar] [CrossRef]
- Bouchabou, M.; Brocani-Pasino, S.A.; Belda-Marco, S.; Román-Martínez, M.C.; Lillo-Rodenas, M.A. Photoreforming with Cu/TiO2 and Ni/TiO2 photocatalysts: Production of hydrogen and revalorization of biomass substrates. Int. J. Hydrogen Energy 2026, 216, 153568. [Google Scholar] [CrossRef]
- Verma, M.K.; Sharma, M.; Shozi, M.L.; Kumar, R. A comprehensive review on recent advances in bismuth chalcogenide-based heterostructured photocatalysts for pesticide degradation. Chem. Eng. J. Green Sustain. 2026, 2, 100045. [Google Scholar] [CrossRef]












| Samples | SBET (m2/g) | Vp (cm3/g) | Dp (nm) |
|---|---|---|---|
| TiO2 | 39.2 | 0.057 | 5.8 |
| BT1 | 68.5 | 0.084 | 4.9 |
| BT5 | 79.9 | 0.084 | 4.2 |
| BT9 | 74.3 | 0.086 | 4.6 |
| BT5-EG1 | 121.6 | 0.133 | 4.4 |
| BT5-EG3 | 120.0 | 0.147 | 4.9 |
| BT5-EG9 | 101.9 | 0.104 | 4.1 |
| BT5-G3 | 64.1 | 0.052 | 3.2 |
| Catalysts | Synthesis Method | Crystallite Size (nm) | Particle Size (nm) | Surface Area (m2/g) | Band Gap (eV) | Ref. |
|---|---|---|---|---|---|---|
| TiO2 | Sol–gel | 23.4 | ~20 | 39.2 | 3.1 | This work |
| BT5-EG3 | Mixed-solvent sol–gel | 14.9 | ~12 | 120 | 2.52 | This work |
| CuO NPs | Green synthesis (E. cardamomum) | 11.73 | 35–600 | 34.5 | 2.36 | [28] |
| ZnO NPs | Green synthesis (E. cardamomum) | 20.87 | 9–71 | Not reported | 3.33 | [14] |
| Photocatalyst | Target Pollutant (Conc.) | Catalyst Dose | Light Source (Wavelength) | Time (min) | Removal Efficiency (%) | Kinetic Rate | Ref. |
|---|---|---|---|---|---|---|---|
| Bi2O3/TiO2 | Tetracycline (50 mg/L) | 1.0 g/L | UV light | 120 | 93.9 | Pseudo-first-order | This work |
| CdS/porous ZnO-PEG | Methylene blue (5 mg/L) | 1 disk (0.5 cm2) | UV lamp (250 W) | 30 | 80.85 | - | [34] |
| Zn-doped BiOBr | Tetracycline (10 mg/L) | 0.2 g/L | Visible LED (60 W) | 180 | 75.94 | - | [35] |
| TiO2@S-AZMB/ZnTi-LDH | Metronidazole (20 mg/L) | 1.5 g/L | Xenon lamp (300 W) | 180 | 94 | 0.0191 min−1 | [36] |
| SiO2@TiO2 (with PMS) | ortho-Phenylphenol (17 mg/L) | 1.0 g/L | UV-A (352 nm) | 120 | 95 | - | [37] |
| Ce-Ag-ZnO | Reactive red 120 (20 mg/L) | 0.1 g/L | UV lamp | 60 | >99.0 | Pseudo-first-order | [38] |
| Fe-doped BiOBr | Crystal violet (20 mg/L) | - | Visible light | 60 | 96.8 | - | [39] |
| TiO2-x/FeTiO3 | Tetracycline (~27.5 mg/L) | 0.5 g/L | Visible LED (50 W) | - | High | - | [40] |
| ZnO/N-Cu-MOF | H. perezi (106 cells/mL) | 1.01 mg/L | Visible (400–700 nm) | 120 | IC50 (Inactivation) | - | [41] |
| Cu/TiO2 | Milled cellulose | - | UV light | - | H2 evolution | - | [42] |
| Bi2O3 NPs | Atrazine (5 mg/L) | 0.8 g/L | UV-A light | 60 | 92.1 | - | [43] |
Disclaimer/Publisher’s Note: The statements, opinions and data contained in all publications are solely those of the individual author(s) and contributor(s) and not of MDPI and/or the editor(s). MDPI and/or the editor(s) disclaim responsibility for any injury to people or property resulting from any ideas, methods, instructions or products referred to in the content. |
© 2026 by the authors. Licensee MDPI, Basel, Switzerland. This article is an open access article distributed under the terms and conditions of the Creative Commons Attribution (CC BY) license.
Share and Cite
Liu, R.; Zhang, S.; Huang, Q.; Liu, Y.; Zhou, L.; Yang, Z.; Shan, J.; Tong, X.; Yang, H. Enhanced Photocatalytic Degradation of Tetracycline over Alcohol-Assisted Bi2O3/TiO2 Composite Heterojunction Under UV Irradiation. Water 2026, 18, 759. https://doi.org/10.3390/w18060759
Liu R, Zhang S, Huang Q, Liu Y, Zhou L, Yang Z, Shan J, Tong X, Yang H. Enhanced Photocatalytic Degradation of Tetracycline over Alcohol-Assisted Bi2O3/TiO2 Composite Heterojunction Under UV Irradiation. Water. 2026; 18(6):759. https://doi.org/10.3390/w18060759
Chicago/Turabian StyleLiu, Ruiwei, Shuai Zhang, Qiong Huang, Yucen Liu, Liujun Zhou, Zisu Yang, Jiaxin Shan, Xi Tong, and Hong Yang. 2026. "Enhanced Photocatalytic Degradation of Tetracycline over Alcohol-Assisted Bi2O3/TiO2 Composite Heterojunction Under UV Irradiation" Water 18, no. 6: 759. https://doi.org/10.3390/w18060759
APA StyleLiu, R., Zhang, S., Huang, Q., Liu, Y., Zhou, L., Yang, Z., Shan, J., Tong, X., & Yang, H. (2026). Enhanced Photocatalytic Degradation of Tetracycline over Alcohol-Assisted Bi2O3/TiO2 Composite Heterojunction Under UV Irradiation. Water, 18(6), 759. https://doi.org/10.3390/w18060759

