Removal of Heavy Metal Ions from Water Using Quercus robur Leaves as a Natural Coagulant: Experimental Study and Modeling
Abstract
1. Introduction
2. Materials and Methods
2.1. Chemicals and Materials
2.2. Bio-Coagulant Preparation
2.3. Analytical Methods
2.4. Bio-Coagulant Characterization
2.5. Experiments Design
- For the bio-coagulant dosage: 5 mg/L (−1), 753.125 mg/L (−0.25), 1002.25 mg/L (0), 1251.875 mg/L (+0.25), 2000 mg/L (+1).
- For the initial metal concentration: 2 mg/L (−1), 376.25 mg/L (−0.25), 501 mg/L (0), 625.25 mg/L (+0.25), 1000 mg/L (+1).
2.6. Experiments Protocol of Coagulation Process
3. Results and Discussion
3.1. Characterization of Bio-Coagulant
3.1.1. Bio-Coagulant Powder

| Wave Number (cm−1) | Functional Group | Reference |
|---|---|---|
| 1028 | CO group | [38,39] |
| 1628 | The carbonyl function C=O (primary amides) | [39] |
| 2851 | C-H symmetric stretching in CH2 | [33,40] |
| 2922 | C-H asymmetric stretching in CH2 | [33,41,42,43] |
| 3331 | Hydroxyl group OH | [44,45,46] |
3.1.2. Bio-Coagulant Liquid
3.2. Factorial Design
3.2.1. Effect of Main Factors on Heavy Metal Removal
3.2.2. Counter Plotting (2D) for Evaluation of Operational Parameters
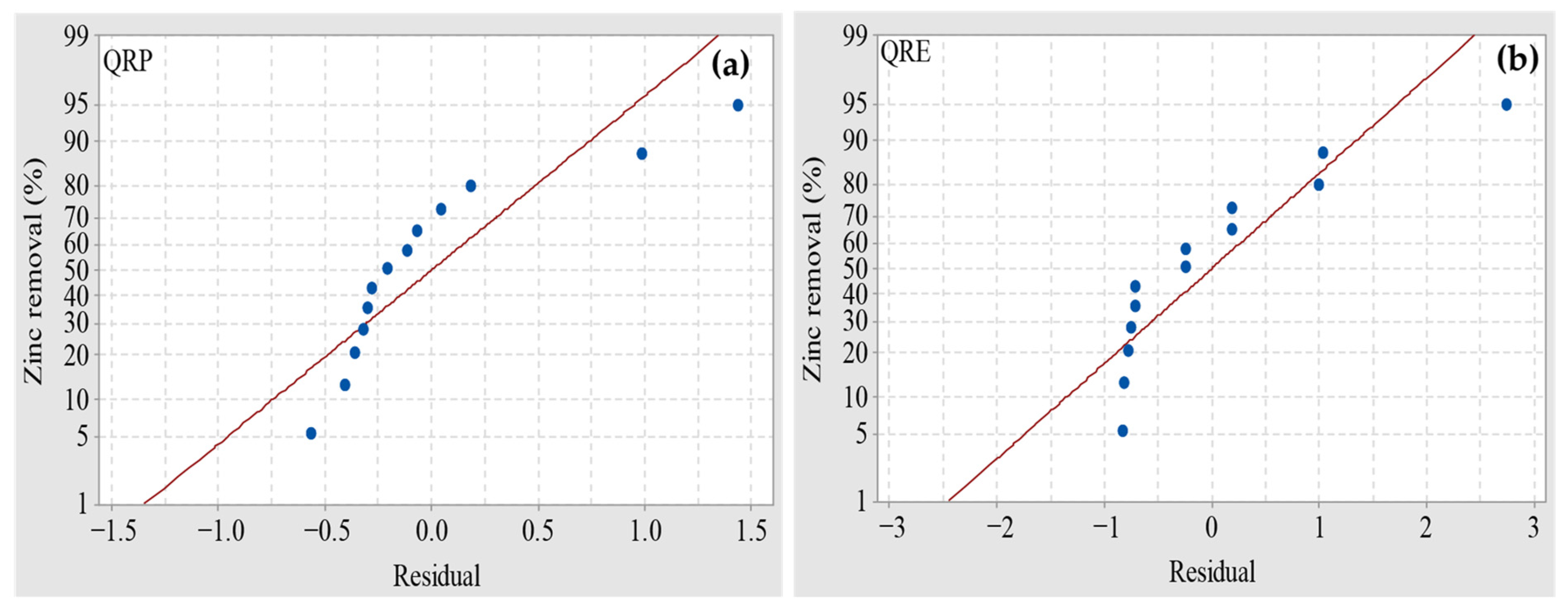
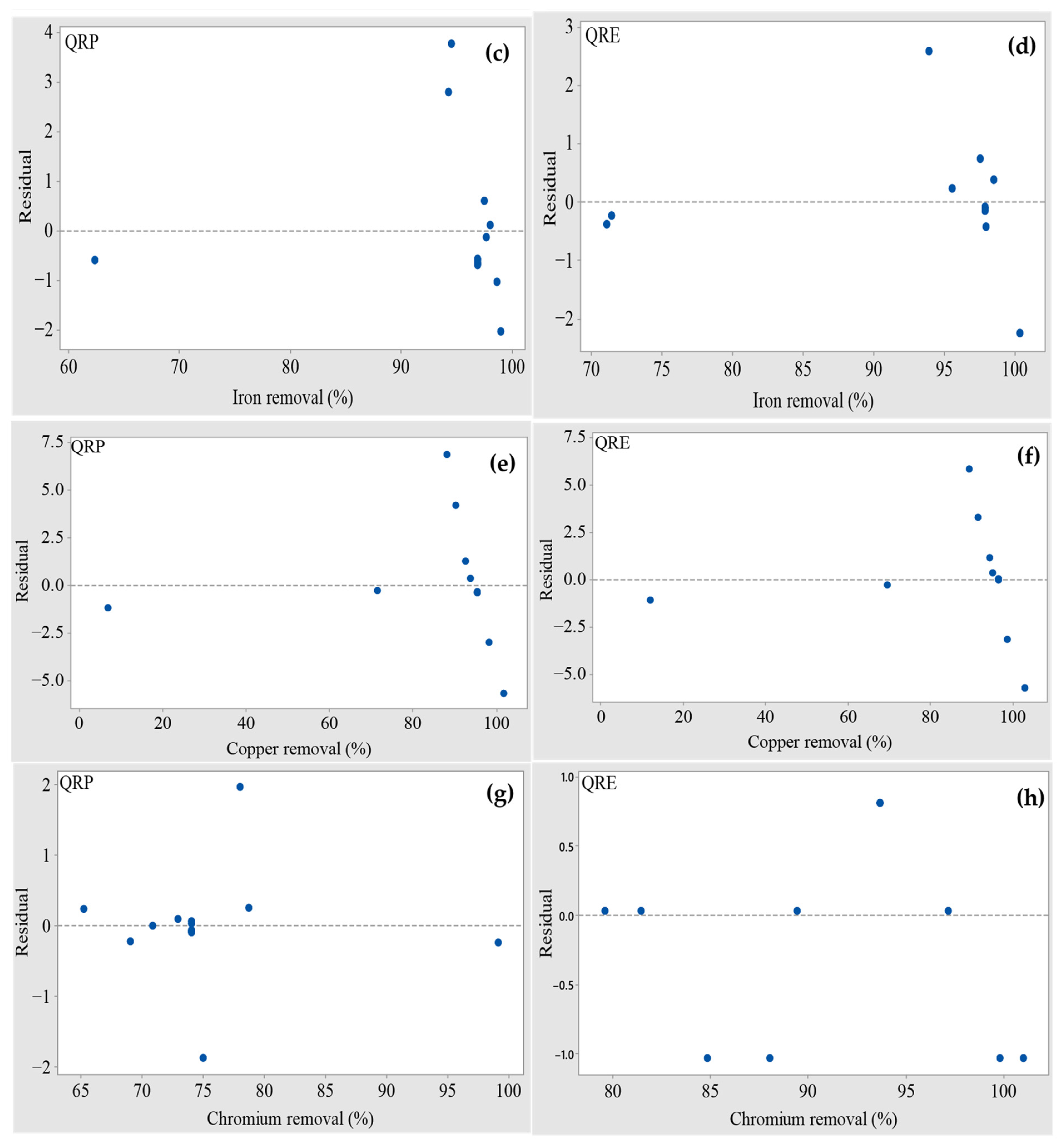
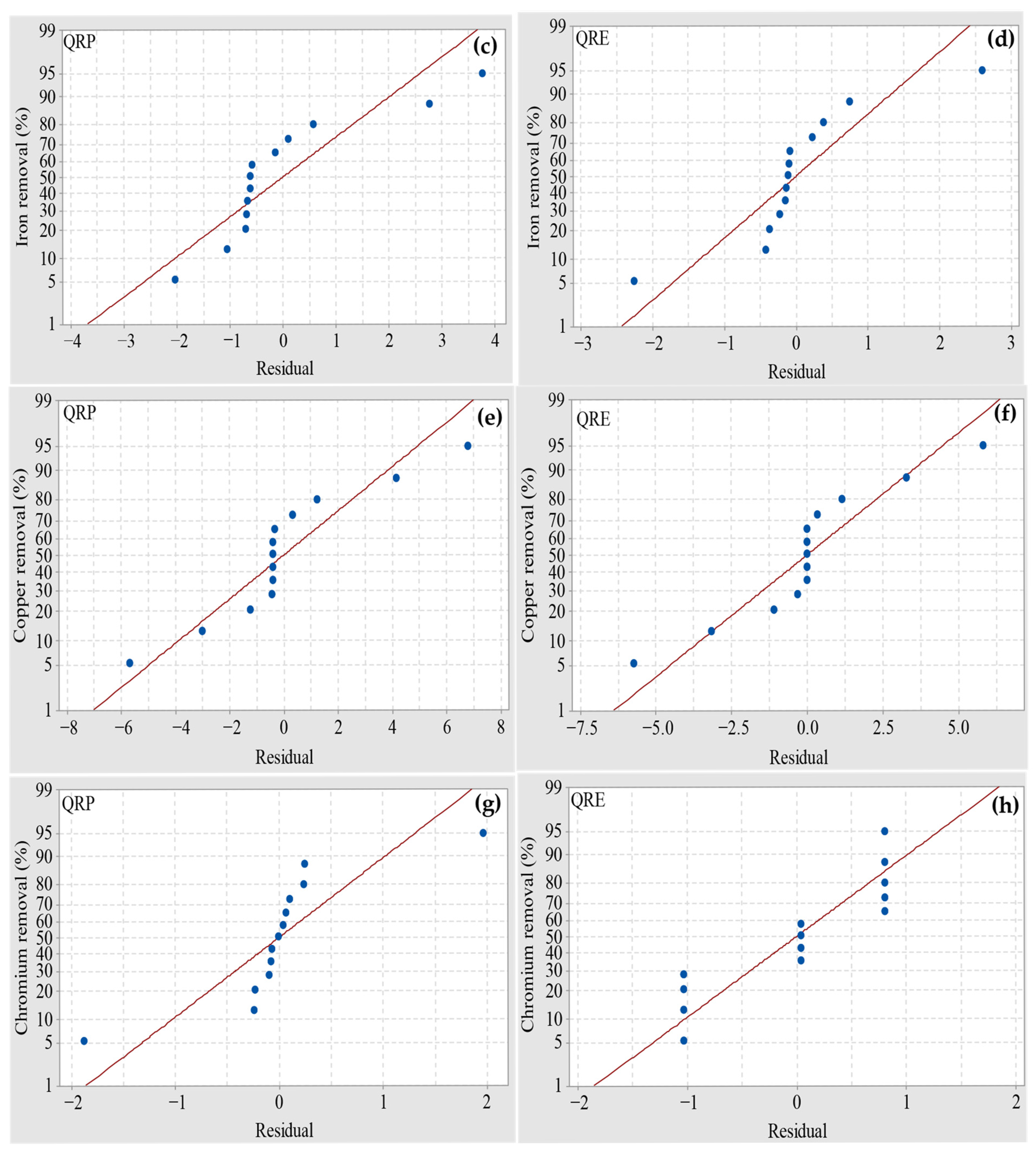
3.2.3. Analysis of Variance (ANOVA)
3.2.4. Optimization
3.2.5. Comparison with Other Bio-Coagulants
4. Conclusions
5. Future Prospects and Recommendations
- Industrial waste containing mixtures of heavy metal ions (metallurgy, battery manufacturing, foundries, and tanning industries),
- Textile industry wastewater,
- Pharmaceutical industry effluents.
Author Contributions
Funding
Data Availability Statement
Acknowledgments
Conflicts of Interest
Abbreviations
| AAS | Atomic absorption spectrophotometer |
| CD | Coagulant dosage |
| CCD | Central composite design |
| FTIR | Fourier-Transform Infrared Spectrophotometry |
| IC | Inorganic carbon |
| pH pzc | The point of zero charge |
| Qr | Quercus robur |
| QRE | Quercus robur extract |
| QRP | Quercus robur powder |
| R | Heavy metal removal efficiency |
| Rpm | Revolutions per minute |
| RSM | Response Surface Methodology |
| SEM | Scanning Electron Microscopy |
| TC | Total carbon |
| TOC | Total organic carbon |
| XRD | X-ray diffractometer |
References
- Desjardins, R. Le Traitement des Eaux; 2éme Edition Revue et Améliorée; Presses inter Polytechnique: Palaiseau, France, 1997. [Google Scholar]
- Hikmat, K.; Aziz, H.; Mustafa, F.S. Advanced oxidation processes for the decontamination of heavy metal complexes in aquatic systems: A review. Case Stud. Chem. Environ. Eng. 2024, 9, 100567. [Google Scholar] [CrossRef]
- WHO. Guidelines for Drinking-Water Quality, 4th ed.; World Health Organization: Geneva, Switzerland, 2011. [Google Scholar]
- Adigun, O.J. The devastating consequences of environmental pollution on human health. Br. J. Multidiscip. Adv. Stud. 2025, 6, 37–46. [Google Scholar] [CrossRef]
- Briffa, J.; Sinagra, E.; Blundell, R. Heavy metal pollution in the environment and their toxicological effects on humans. Heliyon 2020, 6, e04691. [Google Scholar] [CrossRef] [PubMed]
- Commune, M.; Basin, N.T.; Petrut, N.; Sur, I.M.; Rusu, T.A. Integrated assessment of groundwater vulnerability and drinking water quality in rural wells: Case study from ceanu. Sustainability 2025, 17, 6530. [Google Scholar] [CrossRef]
- Shah, M.P. Removal of Emerging Contaminants Through Microbial Processes, 1st ed.; Shah, M.P., Ed.; Springer: Singapore; New Delhi, India, 2021. [Google Scholar]
- Paul, D. Research on heavy metal pollution of river Ganga: A review. Ann. Agrar. Sci. 2017, 15, 278–286. [Google Scholar] [CrossRef]
- Teschke, R. Copper, iron, cadmium, and arsenic, all generated in the Universe: Elucidating their environmental impact risk on human health including clinical liver injury. Mol. Sci. Rev. 2024, 25, 6662. [Google Scholar] [CrossRef]
- Matouq, M.; Jildeh, N.; Qtaishat, M.; Hindiyeh, M.; Al, M.Q. The adsorption kinetics and modeling for heavy metals removal from wastewater by Moringa pods. J. Environ. Chem. Eng. 2015, 3, 775–784. [Google Scholar] [CrossRef]
- Dwivedi, A.K. Researches in water pollution: A review. Int. Res. J. Nat. Appl. Sci. 2017, 4, 118–142. [Google Scholar] [CrossRef]
- Vidu, R.; Matei, E.; Predescu, A.M.; Alhalaili, B.; Pantilimon, C.; Tarcea, C.; Predescu, C. Removal of heavy metals from wastewaters: A challenge from current treatment methods to nanotechnology applications. Toxics 2020, 8, 101. [Google Scholar] [CrossRef]
- Ibigbami, T.B.; Dawodu, F.A.; Akinyeye, O.J. Removal of heavy metals from pharmaceutical industrial wastewater effluent by combination of adsorption and chemical precipitation methods. Am. J. Appl. Chem. 2016, 4, 24–32. [Google Scholar] [CrossRef]
- Silva, J.E.; Paiva, A.P.; Soares, D.; Labrincha, A.; Castro, F. Solvent extraction applied to the recovery of heavy metals from galvanic sludge. J. Hazard. Mater. 2005, 120, 113–118. [Google Scholar] [CrossRef]
- Sis, H.; Uysal, T. Applied Clay Science Removal of heavy metal ions from aqueous medium using Kuluncak (Malatya) vermiculites and effect of precipitation on removal. Appl. Clay Sci. 2014, 95, 1–8. [Google Scholar] [CrossRef]
- Dohare, D.; Rekhate, C.; Kumar, A. Removal of heavy metal from electroplating wastewater using electrocoagulation: A review. Desalin. Water Treat. 2022, 267, 121–137. [Google Scholar] [CrossRef]
- Kapepula, V.L.; Garc, M.; Sefidi, V.S.; Buleng, E.; Tamungang, N.; Musibono, D. Evaluation of commercial reverse osmosis and nanofiltration membranes for the removal of heavy metals from surface water in the democratic republic of congo. Clean Technol. 2022, 4, 1300–1316. [Google Scholar] [CrossRef]
- Kapepula, V.L.; Luis, P.; Luis, P. Removal of heavy metals from wastewater using reverse osmosis. Front. Chem. Eng. 2024, 6, 1334816. [Google Scholar] [CrossRef]
- Alazaiza, M.Y.D.; Albahnasawi, A.; Al Maskari, O.; Al Maskari, T.; Abujazar, M.S.; Abu Amr, S.; Nassani, D.E. Role of natural coagulants in the removal of heavy metals from different wastewaters: Principal mechanisms, applications, challenges, and prospects. Glob. Nest J. 2022, 24, 594–606. [Google Scholar]
- Fu, F.; Wang, Q. Removal of heavy metal ions from wastewaters: A review. J. Environ. Manag. 2011, 92, 407–418. [Google Scholar] [CrossRef]
- Bouaouine, O.; Baudu, M.; Khalil, F.; Chtioui, H.; Zaitan, H. Comparative study between Moroccan cactus and chemicals coagulants for textile effluent treatment. J. Mater. Environ. Sci. 2017, 2, 2687–2693. [Google Scholar]
- Ali, E.N.; Tien Seng, H. Heavy metals (Fe, Cu, and Cr) removal from wastewater by moringa oleifera press cake. MATEC Web Conf. 2018, 150, 02008. [Google Scholar] [CrossRef][Green Version]
- Kurniawan, T.A.; Chan, G.Y.S.; Lo, W.H.; Babel, S. Physico-chemical treatment techniques for wastewater laden with heavy metals. Chem. Eng. J. 2006, 118, 83–98. [Google Scholar] [CrossRef]
- Benalia, A.; Derbal, K.; Panico, A.; Francesco, P. Use of acorn leaves as a natural coagulant in a drinking water treatment plant. Water Res. 2019, 11, 57. [Google Scholar] [CrossRef]
- Baatache, O.; Derbal, K.; Benalia, A.; Aberkane, I.; Guizah, Q.E.; Khalfaoui, A.; Pizzi, A. Valorization of pine cones (Pinus nigras) for industrial wastewater treatment and crystal violet removal: A sustainable approach based on bio-coagulants and a bio-adsorbent. Water 2024, 16, 260. [Google Scholar] [CrossRef]
- Rice, E.W.; Baird, R.B.; Eaton, A.D.; American Public Health Association (APHA) (Eds.) Standard Methods for the Examination of Water and Wastewater, 22nd ed.; American Water Works Association (AWWA) and Water Environment Federation (WEF): Washington, DC, USA, 2012. [Google Scholar]
- Dubois, M.; Gilles, K.A.; Hamilton, J.K.; Rebers, P.A.; Smith, F. Colorimetric method for determination of sugars and related substances. Anal. Chem. 1956, 28, 350–356. [Google Scholar] [CrossRef]
- Tawaha, K.; Alali, F.Q.; Gharaibeh, M.; Mohammad, M.; El-Elimat, T. Antioxidant activity and total phenolic content of selected Jordanian plant species. Food Chem. 2007, 104, 1372–1378. [Google Scholar] [CrossRef]
- Bradford, M.M. A rapid and sensitive method for the quantitation microgram quantities of protein utilizing the principle of protein-dye binding. Anal. Biochem. 1976, 72, 248–254. [Google Scholar] [CrossRef] [PubMed]
- Benalia, A.; Derbal, K. Etude Expérimentale et Modélisation du Processus de la Coagulation Floculation: Application aux Eaux Destinée a la Consommation; Université Constantine3: El Khroub, Algeria, 2015. [Google Scholar]
- Padhiyar, H.; Thanki, A.; Kumar, N.; Pandey, S.; Yadav, M. Parametric and kinetic investigations on segregated and mixed textile effluent streams using Moringa oleifera seed powders of different sizes. J. Water Process Eng. 2020, 34, 101159–101170. [Google Scholar] [CrossRef]
- Saritha, V.; Karnena, M.K.; Dwarapureddi, B.K. Exploring natural coagulants as impending alternatives towards sustainable water clarification—A comparative studies of natural coagulants with alum. J. Water Process Eng. 2019, 32, 100982. [Google Scholar] [CrossRef]
- Fatombi, J.K.; Lartiges, B.; Aminou, T.; Barres, O.; Caillet, C. A natural coagulant protein from copra (Cocos nucifera): Isolation, characterization, and potential for water purification. Sep. Purif. Technol. 2013, 116, 35–40. [Google Scholar] [CrossRef]
- Benalia, A.; Baatache, O.; Derbal, K.; Khalfaoui, A. The use of central composite design (CCD) to optimize and model the coagulation-flocculation process using a natural coagulant: Application in jar test and semi-industrial scale. J. Water Process Eng. 2024, 57, 104704. [Google Scholar] [CrossRef]
- Kebede, T.G.; Dube, S.; Mhuka, V.; Nindi, M.M. Bioremediation of Cd (II), Pb (II) and Cu (II) from industrial effluents by Moringa stenopetala seed husk. J. Environ. Sci. Health Part A 2019, 54, 337–351. [Google Scholar] [CrossRef]
- Bouchareb, R.; Derbal, K.; Benalia, A. Optimization of active coagulant agent extraction method from Moringa Oleifera seeds for municipal wastewater treatment. Water Sci. Technol. 2021, 84, 393–403. [Google Scholar] [CrossRef]
- Benalia, A.; Chaibraa, W.; Djeghar, S.; Derbal, K.; Khalfaoui, A.; Mahfouf, A.; Bouchareb, R.; Panico, A.; Pizzi, A. Use of extracted proteins from oak leaves as bio-coagulant for water and wastewater treatment: Optimization by a fractional factorial design. Water 2023, 15, 1984. [Google Scholar] [CrossRef]
- Manholer, D.D.; Tatiane, M.; De Souza, F.; Ambrosio, E.; Karoliny, T.; De Souza, F.; César, H.; Geraldino, L.; Garcia, J.C. Coagulation/flocculation of textile effluent using natural coagulants extracted from Dillenia indica. Water Sci. Technol. 2019, 80, 979–988. [Google Scholar] [CrossRef] [PubMed]
- Subramonian, W.; Wu, T.Y.; Chai, S. A comprehensive study on coagulant performance and floc characterization of natural Cassia obtusifolia seed gum in treatment of raw pulp and paper mill effluent. Ind. Crop. Prod. 2014, 61, 317–324. [Google Scholar] [CrossRef]
- Yang, Y.; Wu, Z.; Ji, L.; Lu, S.; Jing, H.; Sun, J.; Guo, J.; Song, W. Preparation of porous materials derived from waste mussel shell with high removal performance for tableware oil. J. Renew. Mater. 2021, 9, 1869–1881. [Google Scholar] [CrossRef]
- Choudhary, M.; Ray, M.B.; Neogi, S. Evaluation of the potential application of cactus (Opuntia ficus-indica) as a bio-coagulant for pre-treatment of oil sands process-affected water. Sep. Purif. Technol. 2019, 209, 714–724. [Google Scholar] [CrossRef]
- Ghahri, S.; Mohebby, B.; Pizzi, A.; Mirshokraie, A. Improving water resistance of soy-based adhesive by vegetable tannin. J. Polym. Environ. 2018, 26, 1881–1890. [Google Scholar] [CrossRef]
- Khalfaoui, A.; Khelifi, M.N.; Khelfaoui, A.; Benalia, A.; Derbal, K. The adsorptive removal of bengal rose by artichoke leaves: Optimization by full factorials design. Water 2022, 14, 2251. [Google Scholar] [CrossRef]
- Yang, W.; Shang, J.; Sharma, P.; Li, B.; Liu, K.; Flury, M. Colloidal stability and aggregation kinetics of biochar colloids: Effects of pyrolysis temperature, cation type, and humic acid concentrations. Sci. Total Environ. 2019, 658, 1306–1315. [Google Scholar] [CrossRef]
- Abou-zeid, R.E.; Ali, K.A.; Gawad, R.M.A.; Kamal, K.H.; Kamel, S. Removal of Cu (II), Pb (II), Mg (II), and Fe (II) by adsorption onto alginate/nanocellulose beads as bio-sorbent. J. Renew. Mater. 2021, 9, 601–613. [Google Scholar] [CrossRef]
- Hamadi, Z.; Chaid, R.; Kebir, M.; Amirou, S.; Hamadi, Z.; Chaid, R.; Kebir, M.; Amirou, S. Adsorption of Cr (VI) from aqueous solutions using algerian pinus halepensis tannin foam. Polymer 2020, 44, 425–435. [Google Scholar] [CrossRef]
- Dao, M.; Nguyen, V.; Tran, T.; Nguyen, X.; Vo, D.; Nguyen, V.; Hoang, L. Pilot-scale study of real domestic textile wastewater treatment using cassia fistula seed-derived coagulant. J. Chem. 2021, 2021, 7608856. [Google Scholar] [CrossRef]
- Laggoun, Z.; Khalfaoui, A.; Benalia, A.; Ghomrani, A.F.; Bouchareb, R.; Mahfouf, A.; Pizzi, A.; Panico, A.; Derbal, K. Application of response surface design for optimization of direct red dye biosorption onto cockleshells. Appl. Sci. 2023, 13, 12333. [Google Scholar] [CrossRef]
- Chua, S.; Malek, M.A.; Chong, F.; Sujarwo, W.; Ho, Y. Red Lentil (Lens culinaris) extract as a novel natural characterization and performance optimization study. Water 2019, 11, 1686. [Google Scholar] [CrossRef]
- Bounaas, M.; Bouguettoucha, A.; Chebli, D.; Derbal, K.; Benalia, A. Effect of washing temperature on adsorption of cationic dyes by raw lignocellulosic biomass. Appl. Sci. 2024, 14, 10365. [Google Scholar] [CrossRef]
- Baatache, O.; Derbal, K.; Benalia, A.; Khalfaoui, A.; Bouchareb, R.; Panico, A.; Pizzi, A. Use of Pine cone as bio-coagulant for heavy metal removal from industrial wastewater: Use of Box—Behnken design. Ind. Crop. Prod. 2024, 210, 118185. [Google Scholar] [CrossRef]
- Ouiem, B.; Kerroum, D.; Benalia, A.; Khalfaoui, A.; Pizzi, A. Optimization and modeling of bio-coagulation using pine cone as a natural coagulant: Jar test and pilot-scale applications. Water Air Soil. Pollut. 2024, 235, 770. [Google Scholar] [CrossRef]
- Tomasi, I.T.; Ferreira, R.M.; Boaventura, R.A.R. Natural coagulants from chestnut shells: A sustainable approach for textile wastewater treatment. Chemosphere 2025, 376, 144286. [Google Scholar] [CrossRef]
- Getahun, M.; Befekadu, A.; Alemayehu, E. Coagulation process for the removal of color and turbidity from wet coffee processing industry wastewater using bio-coagulant: Optimization through central composite design. Heliyon 2024, 10, e27584. [Google Scholar] [CrossRef]
- Martínez-velarde, R.; Vargas-solano, S.V.; Rodríguez-gonz, F.; Jonathan, M.P. Removal of heavy metals present in water from the Yautepec River Morelos México, using Opuntia ficus-indica mucilage. Environ. Adv. J. 2022, 7, 100160. [Google Scholar] [CrossRef]
- El-Gendy, M.M.A.A.; El-Bondkly, A.M.A. Evaluation and enhancement of heavy metals bioremediation in aqueous solutions by Nocardiopsis sp. MORSY1948, and Nocardia sp. MORSY2014. Braz. J. Microbiol. 2016, 47, 571–586. [Google Scholar] [CrossRef]
- Deswal, S.; Rawat, S.; Kumar, S.; Sangwan, V. Potential of Moringa oleifera and okra as coagulants in sustainable treatment of water and wastewater. Ecol. Quest. 2023, 34, 1–17. [Google Scholar] [CrossRef]
- An, D.; Asad, A.; Zhang, Q.; Peng, T. Application of natural coagulant for removal of heavy metals from wastewater. Int. Core J. Eng. 2021, 7, 375–381. [Google Scholar] [CrossRef]
- Kolya, H.; Kang, C.W. Bio-based polymeric flocculants and adsorbents for wastewater treatment. Sustainability 2023, 15, 9844. [Google Scholar] [CrossRef]
- Singh, K.; Sharma, S.K.; Jain, A.K.; Mandal, M.M.; Pandey, P.K. Removal of copper ion from synthetic wastewater using aloe vera as an adsorbent. Eur. J. Adv. Eng. Technol. 2017, 4, 249–254. [Google Scholar]
- Kouniba, S.; Benbiyi, A.; Zourif, A. Study of banana peel biocoagulant and hydroxyapatite on the removal of copper, zinc, and turbidity. Water Air Soil Pollut. 2024, 235, 484. [Google Scholar] [CrossRef]
- Sun, Y.; Yang, Y.; Yang, M.; Yu, F.; Ma, J. Response surface methodological evaluation and optimization for adsorption removal of ciprofloxacin onto graphene hydrogel. J. Mol. Liq. 2019, 284, 124–130. [Google Scholar] [CrossRef]
- Dika, F.; Riswanto, O.; Rohman, A.; Pramono, S.; Martono, S. Application of response surface methodology as mathematical and statistical tools in natural product research. J. Appl. Pharm. Sci. 2019, 9, 125–133. [Google Scholar] [CrossRef]
- Sibiya, N.P.; Amo-Duodu, G.; Tetteh, E.K.; Rathilal, S. Model prediction of coagulation by magnetised rice starch for wastewater treatment using response surface methodology (RSM) with artificial neural network (ANN). Sci. Afr. 2022, 17, e01282. [Google Scholar] [CrossRef]
- Sadri Moghaddam, S.; Alavi Moghaddam, M.R.; Arami, M. Response surface optimization of acid red 119 dye from simulated wastewater using Al based waterworks sludge and polyaluminium chloride as coagulant. J. Environ. Manag. 2011, 92, 1284–1291. [Google Scholar] [CrossRef]
- Yetilmezsoy, K.; Demirel, S.; Vanderbei, R.J. Response surface modeling of Pb (II) removal from aqueous solution by Pistacia vera L.: Box—Behnken experimental design. J. Hazard. Mater. 2009, 171, 551–562. [Google Scholar] [CrossRef]
- Zhao, Z.; Sun, W.; Ray, M.B.; Ray, A.K.; Huang, T.; Chen, J. Optimization and modeling of coagulation-flocculation to remove algae and organic matter from surface water by response surface methodology. Front. Environ. Sci. Eng. 2019, 13, 75–88. [Google Scholar] [CrossRef]
- Qiu, P.; Cui, M.; Kang, K.; Park, B.; Son, Y.; Khim, E.; Jang, M.; Khim, J. Application of box-behnken design with response surface methodology for modeling and optimizing ultrasonic oxidation of arsenite with H2O2. Cent. Eur. J. Chem. 2014, 12, 164–172. [Google Scholar] [CrossRef]










| Parameters | ||
|---|---|---|
| Coded Values | Bio-Coagulant Dosage (mg/L) | Initial Concentration of Metal (mg/L) |
| −1 | 5 | 2 |
| −0.25 | 753.125 | 376.25 |
| 0 | 1002.5 | 501 |
| +0.25 | 1251.875 | 625.25 |
| +1 | 2000 | 1000 |
| Standard Run | Bio-Coagulant Dosage (mg/L) | Initial Concentration of Metal (mg/L) |
|---|---|---|
| 1 | 5 | 2 |
| 2 | 2000 | 2 |
| 3 | 5 | 1000 |
| 4 | 2000 | 1000 |
| 5 | 753.125 | 501 |
| 6 | 1251.875 | 501 |
| 7 | 1002.5 | 376.25 |
| 8 | 1002.5 | 625.25 |
| 9 | 1002.5 | 501 |
| 10 | 1002.5 | 501 |
| 11 | 1002.5 | 501 |
| 12 | 1002.5 | 501 |
| 13 | 1002.5 | 501 |
| pH | Density (g/cm3) | TOC (ppm) | IC (ppm) | TC (ppm) | Protein mg/g | Polysacharide mg/g | Total Phenolic mg/g | |
|---|---|---|---|---|---|---|---|---|
| Quercus robur extracted (QRE) | 5.05 | 1.001 | 1468 | 7.79 | 1476 | 2.417 | 0.017 | 0.008 |
| Zn(II) Removal (%) | Fe(III) Removal (%) | Cu(II) Removal (%) | Cr(VI) Removal (%) | |||||||
|---|---|---|---|---|---|---|---|---|---|---|
| Nber of Exp | Bio-Coagulant Dosage (mg/L) | C0 (mg/L) | QRP | QRE | QRP | QRE | QRP | QRE | QRP | QRE |
| 1 | 5 | 2 | 94.65 ± 0.280 | 80.03 ± 0.500 | 98.08 ± 0.250 | 71.13 ± 0.060 | 71.06 ± 0.280 | 69.04 ± 0.050 | 68.81 ± 0.100 | 97.20 ± 0.160 |
| 2 | 2000 | 2 | 85.85 ± 0.070 | 78.62 ± 0.140 | 61.72 ± 0.150 | 70.63 ± 0.250 | 5.57 ± 0.180 | 10.87 ± 0.140 | 79.00 ± 0.250 | 89.44 ± 0.550 |
| 3 | 5 | 1000 | 93.77 ± 0.040 | 98.36 ± 0.045 | 97.99 ± 0.015 | 98.86 ± 0.060 | 93.83 ± 0.050 | 95.53 ± 0.004 | 98.91 ± 0.005 | 81.42 ± 0.007 |
| 4 | 2000 | 1000 | 92.86 ± 0.030 | 97.53 ± 0.028 | 97.48 ± 0.041 | 95.73 ± 0.006 | 93.95 ± 0.008 | 95.25 ± 0.001 | 65.42 ± 0.053 | 79.57 ± 0.022 |
| 5 | 753.125 | 501 | 81.22 ± 0.082 | 97.79 ± 0.080 | 96.87 ± 0.065 | 97.49 ± 0.010 | 95.02 ± 0.025 | 95.44 ± 0.100 | 79.98 ± 0.105 | 99.97 ± 0.035 |
| 6 | 1251.875 | 501 | 77.939 ± 0.011 | 97.47 ± 0.070 | 98.24 ± 0.022 | 98.24 ± 0.085 | 94.24 ± 0.033 | 94.79 ± 0.018 | 73.10 ± 0.100 | 98.77 ± 0.004 |
| 7 | 1002.5 | 376.25 | 75.28 ± 0.050 | 91.20 ± 0.015 | 96.98 ± 0.040 | 96.49 ± 0.005 | 94.91 ± 0.020 | 95.16 ± 0.026 | 70.83 ± 0.007 | 86.98 ± 0.016 |
| 8 | 1002.5 | 625.75 | 77.183 ± 0.053 | 92.30 ± 0.008 | 97.49 ± 0.025 | 98.09 ± 0.025 | 95.91 ± 0.050 | 97.09 ± 0.002 | 73.02 ± 0.030 | 83.77 ± 0.009 |
| 9 | 1002.5 | 501 | 76.65 ± 0.028 | 93.02 ± 0.014 | 96.12 ± 0.042 | 97.73 ± 0.008 | 94.96 ± 0.068 | 96.47 ± 0.068 | 73.98 ± 0.082 | 94.43 ± 0.028 |
| 10 | 1002.5 | 501 | 76.60 ± 0.025 | 93.06 ± 0.002 | 96.11 ± 0.006 | 97.70 ± 0.005 | 94.96 ± 0.003 | 96.48 ± 0.035 | 73.99 ± 0.018 | 94.43 ± 0.010 |
| 11 | 1002.5 | 501 | 76.729 ± 0.030 | 93.09 ± 0.007 | 96.20 ± 0.036 | 97.69 ± 0.026 | 94.97 ± 0.002 | 96.48 ± 0.008 | 74.10 ± 0.015 | 94.43 ± 0.018 |
| 12 | 1002.5 | 501 | 76.712 ± 0.005 | 93.12 ± 0.022 | 96.17 ± 0.011 | 97.74 ± 0.006 | 94.98 ± 0.009 | 96.46 ± 0.040 | 74.12 ± 0.041 | 94.43 ± 0.039 |
| 13 | 1002.5 | 501 | 76.69 ± 0.045 | 93.003 ± 0.025 | 96.08 ± 0.002 | 97.75 ± 0.008 | 94.95 ± 0.010 | 96.46 ± 0.028 | 73.96 ± 0.002 | 94.43 ± 0.058 |
| Complete Models | Eq Nber |
|---|---|
| RZn (QRP in %) = 94.932 − 0.0734 CD + 0.0772 C0 + 0.000034 CD × CD − 0.000078 C0 × C0 + 0.000004 CD × C0 | (3) |
| RZn (QRE in %) = 80.30 − 0.0903 CD + 0.2176 C0 + 0.000045 CD × CD − 0.000199 C0 × C0. | (4) |
| RFe (QRP in %) = 98.01 − 0.0150 CD + 0.0256 C0 − 0.000001 CD × CD − 0.000026 C0 × C0 + 0.000018 CD × C0. | (5) |
| RFe (QRE in %) = 71.20 + 0.0044 CD + 0.0733 C0 − 0.000002 CD × CD − 0.000046 C0 × C0 − 0.000001 CD × C0. | (6) |
| RCu (QRP in %) = 71.25 + 0.0095 CD + 0.055 C0 − 0.000021 CD × CD − 0.000034 C0 × C0 + 0.000033 CD × C0. | (7) |
| RCu (QRE in %) = 69.18 + 0.0165 CD + 0.050 C0 − 0.000023 CD × CD − 0.000025 C0 × C0 + 0.000029 CD × C0. | (8) |
| RCr (QRP in %) = 69.07 − 0.0735 CD + 0.1710 C0 + 0.000039 CD × CD − 0.000140 C0 × C0 − 0.000022 CD × C0. | (9) |
| RCr (QRE in %) = 97.38 − 0.2227 CD + 0.4483 C0 + 0.000109 CD ×CD − 0.000463 C0 × C0 + 0.000003 CD × C0. | (10) |
| Metal | Bio-Coagulant | R2 (%) | R2 Adjusted (%) |
|---|---|---|---|
| Zinc (II) | QRP | 99.39 | 98.95 |
| QRE | 97.13 | 95.08 | |
| Iron (III) | QRP | 97.40 | 95.55 |
| QRE | 98.93 | 98.16 | |
| Copper (II) | QRP | 98.55 | 97.52 |
| QRE | 98.71 | 97.79 | |
| Chromium (VI) | QRP | 99.01 | 98.30 |
| QRE | 98.57 | 97.54 |
| Zn(II) Removal (%) | Fe(III) Removal (%) | Cu(II) Removal (%) | Cr(VI) Removal (%) | |||||
|---|---|---|---|---|---|---|---|---|
| Source | QRP | QRE | QRP | QRE | QRP | QRE | QRP | QRE |
| Model | 0.000 | 0.000 | 0.000 | 0.000 | 0.000 | 0.000 | 0.000 | 0.000 |
| Linear | 0.000 | 0.000 | 0.000 | 0.000 | 0.000 | 0.000 | 0.000 | 0.000 |
| CD | 0.000 | 0.434 | 0.000 | 0.254 | 0.000 | 0.000 | 0.000 | 0.002 |
| C0 | 0.004 | 0.000 | 0.000 | 0.000 | 0.000 | 0.000 | 0.000 | 0.000 |
| Square | 0.000 | 0.000 | 0.001 | 0.000 | 0.000 | 0.000 | 0.000 | 0.000 |
| CD × CD | 0.001 | 0.005 | 0.933 | 0.840 | 0.531 | 0.460 | 0.002 | 0.000 |
| C0 × C0 | 0.015 | 0.003 | 0.706 | 0.329 | 0.797 | 0.833 | 0.004 | 0.000 |
| 2 factor interaction | 0.001 | 0.839 | 0.000 | 0.367 | 0.000 | 0.000 | 0.000 | 0.025 |
| CD × C0 | 0.001 | 0.839 | 0.000 | 0.367 | 0.000 | 0.000 | 0.000 | 0.025 |
| Bio-Coagulant | Metal | Factors | Predicted Removal Efficiency (%) | ||
|---|---|---|---|---|---|
| Coagulant Dosage (mg/L) | Initial Metal Concentration | Desirability | |||
| QRE | Zinc (II) | 5 | 102.169 | 1.0 | 100 |
| Iron (III) | 1002.5 | 602.626 | 1.0 | 100 | |
| Copper (II) | 1002.5 | 567.963 | 1.0 | 100 | |
| Chromium (VI) | 2000 | 954.636 | 1.0 | 100 | |
| QRP | Zinc (II) | 5 | 919.35 | 0.99 | 99.79 |
| Iron (III) | 311.34 | 902.47 | 1.0 | 100 | |
| Copper (II) | 1002.5 | 591.331 | 1.0 | 100 | |
| Chromium (VI) | 2000 | 679.94 | 1.0 | 100 | |
| Bio-Coagulant | Target Metal Ion | Removal Efficiency (%) | Reference |
|---|---|---|---|
| Moringa oleifera | Iron (III) | 69.99 | [22] |
| Copper (II) | 88.86 | [22] | |
| Chromium (VI) | 93.73 | [22] | |
| Pine cones | Zinc (II) | 98.82 | [51] |
| Iron (III) | 99.81 | [51] | |
| Copper (II) | 90.58 | [51] | |
| Banana peel | Zinc (II) | 86 | [61] |
| Copper (II) | 96 | [61] | |
| Opuntia ficus | Iron (III) | 96 | [54] |
| Chromium (VI) | 60 | [54] | |
| Quercus robur powder (QRP) | Zinc (II) | 99.79 | This study |
| Iron (III) | 100 | This study | |
| Copper (II) | 100 | This study | |
| Chromium (VI) | 100 | This study | |
| Quercus robur extract (QRE) | Zinc (II) | 100 | This study |
| Iron (III) | 100 | This study | |
| Copper (II) | 100 | This study | |
| Chromium (VI) | 100 | This study |
Disclaimer/Publisher’s Note: The statements, opinions and data contained in all publications are solely those of the individual author(s) and contributor(s) and not of MDPI and/or the editor(s). MDPI and/or the editor(s) disclaim responsibility for any injury to people or property resulting from any ideas, methods, instructions or products referred to in the content. |
© 2026 by the authors. Licensee MDPI, Basel, Switzerland. This article is an open access article distributed under the terms and conditions of the Creative Commons Attribution (CC BY) license.
Share and Cite
Benalia, A.; Derbal, K.; Khalfaoui, A.; Baatache, O.; Amrouci, Z.; Khebatti, A.; Pizzi, A.; Trancone, G.; Panico, A. Removal of Heavy Metal Ions from Water Using Quercus robur Leaves as a Natural Coagulant: Experimental Study and Modeling. Water 2026, 18, 663. https://doi.org/10.3390/w18060663
Benalia A, Derbal K, Khalfaoui A, Baatache O, Amrouci Z, Khebatti A, Pizzi A, Trancone G, Panico A. Removal of Heavy Metal Ions from Water Using Quercus robur Leaves as a Natural Coagulant: Experimental Study and Modeling. Water. 2026; 18(6):663. https://doi.org/10.3390/w18060663
Chicago/Turabian StyleBenalia, Abderrezzaq, Kerroum Derbal, Amel Khalfaoui, Ouiem Baatache, Zahra Amrouci, Aya Khebatti, Antonio Pizzi, Gennaro Trancone, and Antonio Panico. 2026. "Removal of Heavy Metal Ions from Water Using Quercus robur Leaves as a Natural Coagulant: Experimental Study and Modeling" Water 18, no. 6: 663. https://doi.org/10.3390/w18060663
APA StyleBenalia, A., Derbal, K., Khalfaoui, A., Baatache, O., Amrouci, Z., Khebatti, A., Pizzi, A., Trancone, G., & Panico, A. (2026). Removal of Heavy Metal Ions from Water Using Quercus robur Leaves as a Natural Coagulant: Experimental Study and Modeling. Water, 18(6), 663. https://doi.org/10.3390/w18060663

