Next Article in Journal
Predictive Rehabilitation of Clean Water Customer Connections Leveraging Machine Learning Algorithms and Failure Time Series Data
Previous Article in Journal
Hydroxylamine-Assisted Reactivation of Salinity-Inhibited Partial Denitrification/Anammox Systems: Performance Recovery, Functional Microbial Shifts, and Mechanistic Insights
 
 
Font Type:
Arial Georgia Verdana
Font Size:
Aa Aa Aa
Line Spacing:
Column Width:
Background:
Article

Tracing the Economic Transfer and Distribution of Total Body Water: A Structural Path Decomposition Analysis of Chinese Sectors

1
The Institute for Sustainable Development, Macau University of Science and Technology, Avenida Wai Long, Taipa, Macau 999078, China
2
School of Business, Macau University of Science and Technology, Macau 999078, China
3
Institute of Development Economics, Macau University of Science and Technology, Avenida Wai Long, Taipa, Macau 999078, China
*
Author to whom correspondence should be addressed.
Water 2026, 18(1), 112; https://doi.org/10.3390/w18010112
Submission received: 29 November 2025 / Revised: 27 December 2025 / Accepted: 31 December 2025 / Published: 2 January 2026
(This article belongs to the Section Water Resources Management, Policy and Governance)

Abstract

Within the context of China’s green economy aimed at sustainable development, research on the linkage between water resources and industry has garnered considerable attention in the academic community. However, the impact of total body water (TBW) transfer and allocation embodied in the labor force—the primary economic actors—has not been addressed in the economic sector. On methodology, the “EEIO-SDA-SPD-II” (ISSI) model employed in this study encompasses measurements methods, such as an environmentally extended input–output model (EEIO), structural decomposition analysis (SDA), structural path decomposition (SPD), and the imbalance index (II), to explore the crucial paths, driving factors, and distribution of water transfer in TWB spanning 15 Chinese industries between 2007 and 2022. The findings indicate that the shifts in TBW in the manufacturing sector are more discernible when viewed through the lens of social driving factors. The construction business exhibits the most significant increase in male total body water (MTBW), whereas the education sector reflects the rapid growth in female total body water (FTBW). Pertaining to final demand, domestic consumption constitutes the primary contributor category to the increase in TWB, followed by fixed capital formation and exports. According to the SPD results, the construction sector exerts the greatest influence on the transfer of MTBW, while the education sector is characterized by the highest path coefficient value for FTBW. In contrast, the manufacturing sector shows the most pronounced initial path. Based on the imbalance index analysis, agriculture derives the greatest economic gains from TBW input, whereas the education sector yields the lowest.

1. Introduction

The conservation and rational utilization of water resources have become a worldwide concern because of demographic pressures and economic expansion. Ensuring ecologically sustainable water management for all is one of the 17 global goals in the United Nations’ 2030 Agenda for Sustainable Development. Despite the fact that effective management of water resources has emerged as one of the primary concerns of environmental governance, certain types of water resources are still neglected [1,2,3]. Notably, water accounts for 60% to 70% of an adult’s body weight and is a vital resource for maintaining human activities. It also directly supports core physiological functions, such as metabolism, material transportation, and temperature regulation [4]. Notwithstanding these important functions, the water stored in the human body is frequently overlooked. According to the “China Water Resources Bulletin” published by the Ministry of Water Resources of China, the total amount of water resources consists of surface water, groundwater, precipitation, etc. As human activities increasingly affect the consumption of water resources, research on the relationship between humans and water resources is receiving more focus. The analysis reveals that the current water management frameworks frequently disconnect industrial water usage from total body water (TBW) and fail to systematically incorporate labor considerations throughout the water consumption process. As the world’s most populous country, China’s large workforce renders the influence of labor on its economy critical to recognize. Furthermore, this interdependence establishes a feedback loop between economic growth and water resource allocation patterns [5,6]. Nonetheless, the total water resources data in the “China Water Resources Bulletin” does not consider statistics on the amount of water contained in the human body. Thus, it is necessary to include TBW in the scope of water resources management research, investigate whether the inclusion of TBW results in findings different from those of previous studies concerning the correlation between water resources and industry, and lay a robust theoretical foundation for sustainable water resource management.
Numerous research studies have been carried out recently on the industrial linkage between water resources and sectors. Most studies have assessed the environmental impact of industrial water by adopting approaches such as Material Flow Analysis (MFA) [7] and Life Cycle Assessment (LCA) [8]. However, these methods exhibit notable limitations in conducting comprehensive cross-industry and cross-level analyses of water resources. To bridge this gap, researchers have started analyzing water resource–industry interactions and their systemic economic impacts through methods such as the Hypothetical Extraction Method [9], structural path analysis (SPA) [10], and others. Furthermore, most studies have predominantly focused on the water required to produce goods and provide services, ignoring the potential impact of TBW on the crossflow of water resources between industries, despite the fact that input–output models have been widely used in the field of energy and environmental economics to quantify inter-industrial dependencies and their resource needs. So far, research on the traditional water footprint remains well established; nevertheless, it primarily examines the consumption of environmental resources and does not adequately address the vital role of water resources in sustaining human activities and the environment. Recent research on the “human–environment” nexus has commenced efforts to integrate various dimensions, including hydrological processes [11], the effects of water conservation policies [12], and urbanization [13], to investigate synergistic approaches for water resource management and sustainable transformation. Therefore, this research embeds total body water (TBW) within China’s economic architecture via an input–output framework, applying structural decomposition analysis (SDA), structural path decomposition (SPD), and imbalance indices (IIs) to methodically assess hydrological processes through ecological and human physiological lenses. Currently, the integrated application of SDA, SPD, and the imbalance index to the flow-based analysis of the water resource industrial linkage has not been fully investigated.
Regarding methodology, utilizing MFA, LCA, or HEM methodologies solely examines alterations in industrial linkages of water resources within the economic system from a singular perspective. While SPA can surpass levels, the research findings are confined to the trajectory of water resource flow among departments. That is why a combined model was selected to supplant the single model, enabling the measurement of dynamic industrial linkages of TBW from a multidimensional perspective. The input–output model comes first and is used to analyze the technoeconomic connections, transaction relationships, and dependence of total production on final demand among various industrial sectors in the economic system [14]. Since its inception, input–output theory has been blended with many mathematical models to offer a broad methodological foundation for the examination of environmental and socioeconomic phenomena, including, but not limited to, greenhouse gas (GHG) emissions [15,16], exploration of water resource [17,18], natural disaster prevention [19], and atmospheric pollution [20], as well as energy economy [21]. Current scholarly studies on water resources have provided a variety of insights in terms of different types of water resources. Wang et al. [22] examined the conflicts between agricultural and non-agricultural sectors, quantified virtual water flows, and constructed trade network maps. Liu and Li [23] employed an input–output model to investigate whether economic disparity obstructs the fair allocation of water resources among various household groups. Islam et al. [24] proposed suggestions for water management by comparing Australia’s virtual and direct water footprints and applying high spatial resolution policy-relevant subsectoral analysis. Zhao et al. [25] quantified blue and green water footprints, quantified sectoral drivers, and offered crucial water governance strategies for arid regions using multi-regional input–output tables. Water footprint studies have consistently evidenced disproportionate water resource allocation to primary and secondary sectors, notably agriculture, heavy industry, and manufacturing.
Moreover, the SDA approach is commonly utilized to evaluate how energy, natural resources, and environmental variables affect a country’s economy [26,27]. SDA, grounded in input–output tables, compares changes in key parameters of the input–output model to conduct a static analysis, focusing on the impact of driving factors on important economic variables [28]. Early-stage SDA frameworks, while utilizing ad hoc decomposition techniques, frequently generated inconsistent outcomes due to methodological instability. The two polarized decomposition methods gained prominence in later SDA studies, driving methodological proliferation of SDA research on energy consumption and carbon emissions [29,30]. In order to acquire more precise, authentic data and investigate the influence of different driving factors on the transfer of TBW between sectors in China, this study applies the SDA method.
Nevertheless, the SDA methodology is inherently limited to static evaluations of critical variable fluctuations’ economy-wide impacts. This study applies the structural path decomposition (SPD) approach to elucidate structural modifications in the Leontief production system and resolve intersectoral linkage constraints. Through decomposition of the Leontief production framework, SDA outcomes were systematically disaggregated along total body water (TBW) transmission pathways. Prior studies on SPD have focused on material flow accounting [31], carbon emission typologies [32,33], particulate matter emissions [34], and other topics. Most water footprint path studies leverage SDA coupled with structural path analysis (SPA) [35]. Nonetheless, integrated applications of SDA and SPD remain underexplored in hydrological footprint assessments, particularly regarding their synergistic analytical capabilities.
In addition to the two approaches mentioned above, the imbalance index was also utilized to evaluate the spatial distribution balance of water resources and economic resource allocations across various industrial sectors. The imbalance index was employed to investigate the spatial alignment of physical water resources and economic factors. One such application involved analyzing the degree of mismatch between water availability and GDP distribution among Chinese provinces [36]. Following the conceptualization of virtual water footprints, researchers have systematically employed imbalance indices to quantify spatial incongruities among blue, green, and grey water footprint distributions [37,38,39]. The imbalance index and water footprint have jointly emerged as one of the primary analytical techniques for investigating the wise distribution of water resources. This study established a coupled economic–TBW optimization framework to map sectoral TBW distribution across industrial spatial hierarchies, enhancing water allocation efficiency through economic–ecological nexus modeling.
The major objective of this study is to fill the gap of TBW that is missing in the analysis of total water resources and to innovatively link the industrial linkage with TBW to establish a new measurement system. Despite the fact that human labor constitutes a fundamental component of economic systems—serving both as an input resource and a beneficiary of output—body water embodied in the workforce lacks refinement in the existing literature. To examine how TBW is transferred and allocated across economic sectors after taking into account the total inflow of water resources, it also leverages a new analytical tool called the “EEIO-SDA-SPD-II” (ISSI) model, which consists of the input–output model, structural decomposition analysis, structural path decomposition, and imbalance index, as illustrated in Figure 1. This study is intended to break through the traditional analysis framework for industrial water use and explore whether the consideration of the labor force impacts the analysis results of TBW transfer between industries compared to the results of the previous literature, thereby promoting a shift in water resource management from sole reliance on “external environment” to “human–environment coupling”. Crucially, in contrast to metabolic water volume and conventional virtual water flow, this study defines total body water (TBW) as the physical water content within industrial laborers, rather than the water consumption entering and leaving the human body or directly input into products and services. This is because water becomes embedded in sectoral systems via labor force participation. Numerous researchers presently integrate labor force analysis with input–output models to illustrate the significance of the workforce within the economic framework [40,41]. Consequently, we construct an “ISSI” model to decode TBW transmission networks across economic subsystems, develop water governance metrics aligned with SDG 6 (Clean Water) and SDG 8 (Decent Work), and establish labor–water nexus assessment protocols.
The structure of this study proceeds as follows: The research methodology and data sources are presented in Section 2. This study’s key findings are examined in Section 3. The research outcomes are summarized in Section 4, along with pertinent policy recommendations.

2. Materials and Methods

This section covers four core methodologies: the environmentally extended input–output (EEIO) model, structural decomposition analysis, structural path decomposition, and the imbalance index.

2.1. Environmentally Extended Input–Output Model

By combining environmental indicators and input–output tables, the environmentally extended input–output model fundamentally provides a comprehensive assessment of environmental factors’ systemic impacts throughout the economic system. It aims to support environmental governance by addressing critical management concerns, informing the development of more equitable policies, and evaluating the direct linkages between industrial sectors and final demand [42]. The standard equation is as follows:
X = A X + Y = I A 1 Y
I A 1 = L
where X denotes the total output vector of the input–output table (an m × 1 dimension), and its parentheses correspond to the first column element in the m-th row of the matrix, both referencing the same variable. The direct input coefficient matrix is represented by A ( m × m ), and the entry A i j shows the amount of direct intermediate output from sector i required as input to produce one unit of product in sector j . The identity matrix is denoted by i , while the Leontief inverse matrix L ( m × m ) is represented by ( I A ) 1 . Each element of this inverse matrix comprises direct and indirect inputs, which are embodied as the amount of direct and indirect inputs by sector i needed to produce a unit of output in sector j . Y ( m × 1 ) represents the final demand vector for each sector.
The EEIO model is a widely adopted analytical tool for assessing the environmental impacts of international trade in goods and services, as well as tracing upstream consumption drivers that contribute to downstream environmental consequences. It provides a straightforward and trustworthy way to evaluate the relationship between economic consumption activities and environmental impacts [15]. Equations (3) and (4) are derived using TBW as an indicator:
w = W T B W X
G = w ^ X = w ^ I A 1 Y
The total body water vector is represented by W T B W ( d × 1 ); the diagonal matrix of the sector’s direct total body water intensity is signified by w ^ ( d × d ); and the total body water vector produced directly by each department to satisfy the final demand is denoted by G ( d × 1 ).

2.2. Structural Decomposition Analysis

SDA is a comparative static analysis rooted in the IO model, which has been extensively used to identify the driving forces for the change in overall indicators across temporal scales and delineate the critical channels of indicator creation [43]. The SDA technique is utilized in this study to investigate the breakdown of MTBW and FTBW as well as the primary factors influencing TBW change. With reference to earlier research [44], the final demand Y can be broken down into Equation (5):
Y = Q φ ϑ P
The product structure of final demand is exhibited by the matrix Q ( d × 3 ), and the element Q i j in the matrix denotes the share of sector i in the final demand category j , which includes exports, fixed capital formation, and domestic consumption. φ ( 3 × 1 ) refers to a vector that shows the structural decomposition of final use categories. Its components mainly include three elements: φ z represents the proportion of each of the three final demand categories to the total final demand; ϑ is expressed as the final demand per capita, which is the total final demand divided by the size of the population; and P is denoted as the size of the population.
The final demand Y is decomposed, and the SDA method is analyzed separately. Final demand Y is segmented into three categories in this study: Y G D C is for domestic consumption, Y G F C is for fixed capital formation, and Y E X is for exports. The formula for the relationship between the three final demand categories and the total final demand is displayed in Equation (6):
Y = Y G D C + Y G F C + Y E X
Then, the integrated formula for TBW can be expressed as:
W T B W = w ^ L Q φ ϑ P
Equation (8) is derived to examine its temporal dynamics, that is, the change in W T B W between two time points:
d W = d w ^ L Q φ ϑ P + w ^ d L Q φ ϑ P + w ^ L d Q φ ϑ P + w ^ L Q d φ ϑ P + w ^ L Q φ d ϑ P + w ^ L Q φ ϑ d P
Then, subsequent transformation via Equation (8) yields:
W = w ^ t L t Q t φ t ϑ t P t w ^ 0 L 0 Q 0 φ 0 ϑ 0 P 0 = w ^ + L + Q + φ + ϑ + P
Among them, the above formula elaborates the SDA model from a macro perspective, which includes six factors: the TBW intensity of each sector w , the sectors’ production structures L , the final demand product structure Q , the composition of the final demand category φ , per capita final demand ϑ , and the population size P . It averages all potential first-order decomposition forms using the “two-polar decomposition method” and elicits the corresponding formula for each structural factor to assess the effects of changes in these factors:
W =     d w ^ L Q φ ϑ P + w ^ d L Q φ ϑ P + w ^ L d Q φ ϑ P + w ^ L Q d φ ϑ P + w ^ L Q φ d ϑ P + w ^ L Q φ ϑ d P =     1 2 w ^ 0 L 0 Q 0 φ 0 ϑ 0 P 0 + w ^ t L t Q t φ t ϑ t P t + 1 2 w ^ 0 L Q t φ t ϑ t P t + w ^ t L Q 0 φ 0 ϑ 0 P 0 + 1 2 w ^ 0 L 0 Q φ t ϑ t P t + w ^ t L t Q φ 0 ϑ 0 P 0 + 1 2 w ^ 0 L 0 Q 0 φ ϑ t P t + w ^ t L t Q t φ ϑ 0 P 0 +   1 2 w ^ 0 L 0 Q 0 φ 0 ϑ P t + w ^ t L t Q t φ t ϑ P 0 + 1 2 w ^ 0 L 0 Q 0 φ 0 ϑ 0 P + w ^ t L t Q t φ t ϑ t P
Equation (10) provides the equivalent calculation formula for SDA by analyzing each of the six variables independently. Additionally, it performs the SDA method for the three demand categories by combining Equations (5)–(7). The relevant results analysis is illustrated in the fourth section.

2.3. Structural Decomposition Analysis Equations

In the combination of SPA and SDA, SPD offers the benefit of dissecting Leontief’s production structure into distinct production chains and enhancing practitioners’ capacities to recognize product sustainability trends [36]. Using the SPA-related Taylor series extension, the Leontief inverse matrix L can be converted into the following series expansion:
L = I A 1 = I + A 1 + A 2 +
where I stands for the end-consumer’s direct unit production demand for a specific good. A is an indirect secondary effect, which indicates the total output required to produce one unit of a particular commodity [33]. By substituting the Leontief inverse matrix into Equation (7), the expanded form emerges as:
W = w ^ L Q φ ϑ P = w ^ I + A 1 + A 2 + Q φ ϑ P = w ^ Q φ ϑ P + w ^ A Q φ ϑ P + w ^ A 2 Q φ ϑ P +
Then,
W = d w ^ Q φ ϑ P + w ^ d Q φ ϑ P + w ^ Q d φ ϑ P + w ^ Q φ d ϑ P + w ^ Q φ ϑ d P + d w ^ A Q φ ϑ P + w ^ d A Q φ ϑ P + w ^ A d Q φ ϑ P + w ^ A Q d φ ϑ P + w ^ A Q φ d ϑ P + w ^ A Q φ ϑ d P + d w ^ A 2 Q φ ϑ P + w ^ d A 2 Q φ ϑ P + w ^ A 2 d Q φ ϑ P + w ^ A 2 Q d φ ϑ P + w ^ A 2 Q φ d ϑ P + w ^ A 2 Q φ ϑ d P +
A deconstructed version of the first-order effect is shown in the first lines of Equation (13) and reveals that the final demand directly accounts for the changes in TBW that occur during the transfer process. The second and third lines convey the second-order effect, revealing that the transfer of TBW is directly caused by a certain sector and subsequently attributed to the final demand, i.e., indirectly linked to the final demand. By analogy, the first three supply paths for the transfer of TBW are obtained. The quantity of paths in each tier escalates linearly with the chain’s length. As the chain’s length rises, its impact on the economy and the environment decreases [45,46]. We picked the initial three levels for the TBW transfer study based on prior studies [31,47].
First-order paths:
w ^ a Q a z φ z ϑ P ,             w ^ a Q a z φ z ϑ P ,             ,             ,             w ^ a Q a z φ z ϑ ( P )
Second-order paths:
w ^ a A a b Q b z φ z ϑ P ,     w ^ a A a b Q b z φ z ϑ P ,     ,     ,     , w ^ a A a b Q b z φ z ϑ ( P )
Third-order paths:
w ^ a A a b A b c Q c z φ z ϑ P , w ^ a A a b A b c Q c z φ z ϑ P , w ^ a A a b A b c Q c z φ z ϑ P ,             , , , w ^ a A a b A b c Q c z φ z ϑ ( P )
In the first-order paths, w ^ a Q a z φ z ϑ P denotes the TBW that is directly transferred from sector a to enable production for the final demand category. In the second-order paths, w ^ a A a b Q b z φ z ϑ ( P ) is expressed as the transfer of TBW due to population size. In the third-order ones, w ^ a A a b A b c Q c z φ z ϑ P represents the change in TBW transfer generated by sector a , which is directly attributable to the change in production structure between sector a and final demand z . The path goes “sector a–sector b sector c final demand z ”.

2.4. Imbalance Index

Prior studies have demonstrated a strong correlation between water resources and GDP growth, making it crucial to examine the distribution of TBW across industries from a GDP perspective [39,48]. While SDA and SPD can identify TBW change drivers and intersectoral transfer pathways, they lack the capacity to assess distributional heterogeneity in TBW across economic sectors. The imbalance index was commonly used as one of the instruments to gauge spatial allocation in earlier research. When exploring the differences in the allocation of TBW among industries, the imbalance index is integrated with TBW to provide a comprehensive analysis. Therefore, according to a previous study [37], the imbalance index between TBW and socioeconomic factors was developed, as shown in Equation (14):
S i = T i / T N i j / N j
where S i stands for the imbalance index of sector i . N i j represents the GDP value of sector i , and N j represents the GDP value of all industries in the current year. T i denotes the TBW of sector i , and T denotes the TBW of the entire economic system. In this study, GDP is selected as the socioeconomic indicator. When S i is greater than the absolute equality line ( S i > 1), it indicates that the consumption of TBW per unit of GDP exceeds the national average. When S i is less than the absolute equality line ( S i < 1), it indicates that the consumption of TBW per unit of GDP lags behind the national average.

2.5. Data Sources

This study required three types of data: monetary input–output tables, TBW during the study period, and the employed population in China.
The dataset utilized in this study was extracted from the Asian Development Bank database. It comprises China’s input–output tables for the period from 2007 to 2022 (a total of 16 years), with 2010 designated as the base year for the price index. This study compiled its 16-year input–output table into 15 departments due to the specific variances between China’s industry classification and the Asian Development Bank’s. The 15 departments are classified in Table A1. Furthermore, the Asian Development Bank’s input–output database overestimates the final consumption of the health and social service in 2018. This study compared the growth rate of the sector’s final consumption ratio in the 2018 input–output table published by the National Bureau of Statistics of China with that of 2017 and estimated the final consumption in 2018 that better aligns with the sector’s development.
In medical studies, including zeroing in on the Asian population, the Watson General Formula for Total Body Water Volume is frequently used to calculate the total body water in both males and females [49,50,51,52]. Therefore, the Watson formula was employed to estimate TBW in Chinese males and females. It is worth noting that the Watson formula quantifies the water content in the bodies of men and women, rather than measuring the water consumed or metabolized in relation to their occupational activities. The data on the height, weight, and age of each gender were all from the Report on Nutrition and Chronic Diseases of Chinese Residents published by the Chinese Center for Disease Control and Prevention. According to the Watson formula, the average total body water per unit for males (MTBW) in China is 41.12 L, and for females (FTBW), it is 29.34 L.
The selection criterion prioritized the economically active labor force, given their dual role as providers of productive inputs and drivers of value-added generation within the economic system’s circular flow framework. Employment data were sourced from the China Statistical Yearbook corresponding to the input–output table’s reference year, specifically enumerating sectoral employment figures for urban non-private sectors.

3. Results and Discussion

Combined with the methodology in Section 2, this section will empirically analyze the transfer and allocation results of TBW from the perspective of the change trend, structural decomposition analysis, structural path decomposition, and imbalance index.

3.1. Trends of TBW Changes from 2007 to 2022

Combining male and female TBW with the employed population, a summary of the TBW by gender from 2007 to 2022 is extrapolated, as shown in Figure 2.
As demonstrated by Figure 2, the gender difference in TBW, with the larger size of the working population among males compared to females, unveils why MTBW was significantly higher than FTBW during the study period. Specifically, accounting for gender differences, the sexes differ in their TBW content, which is influenced by physiological indicators, including height and weight. When analyzing the working population, a significant gender employment disparity becomes evident. Women continue to face discrimination and restrictive gender norms in the workplace, making it more challenging for them to secure positions of equivalent professional status compared to men. Women’s employment rate is generally lower than men’s. Consequently, FTBW has always been lower than MTBW. Notably, there has been a sharp increase in both MTBW and FTBW between 2007 and 2013, after which MTBW kept declining, while FTBW improved after 2017. The reason for this fluctuation can be attributable to changes in the gender composition of the employed population. Since China joined the WTO on 11 February 2001, work force has soared dramatically. In 2006, the introduction of policies aimed at promoting the outsourcing of services to overseas markets helped accelerate job creation within China. These measures stimulated economic activities and opened new opportunities for employment. Be that as it may, the International Federation of Robotics research states that one of the main causes of the decline in China’s general employment level over the past decade has been the widespread deployment of industrial robotic arms and automation software brought about by technical advancements. However, after 2017, MTBW continued to decrease, in contrast to rising FTBW, a disparity largely explained by the limited progress in women’s employment circumstances. Studies reveal that women now hold a larger market share in employment due to China’s enhanced import competition. Moreover, the growth of women-friendly industries, the mitigation of gender discrimination, and the influence of technological advancements have all contributed to women’s more indispensable role in the workplace [53]. Hence, despite the ongoing challenges faced by women in employment compared to men, the rapid expansion of the digital economy, coupled with steady progress towards gender equality in the workplace, has led to an increased representation of women in the workforce. This shift contributed to a rise in female total body water (FTBW) within the economy post-2017.

3.2. Total Body Water Structural Decomposition Analysis

The structural decomposition study of TBW will be examined through three lenses, namely, driving factors, final demand categories, and total output, to better observe and assess the results during the period. Males and females are separated based on their total body water in this study.

3.2.1. SDA of MTBW and FTBW Transfer from the Perspective of Driving Factors

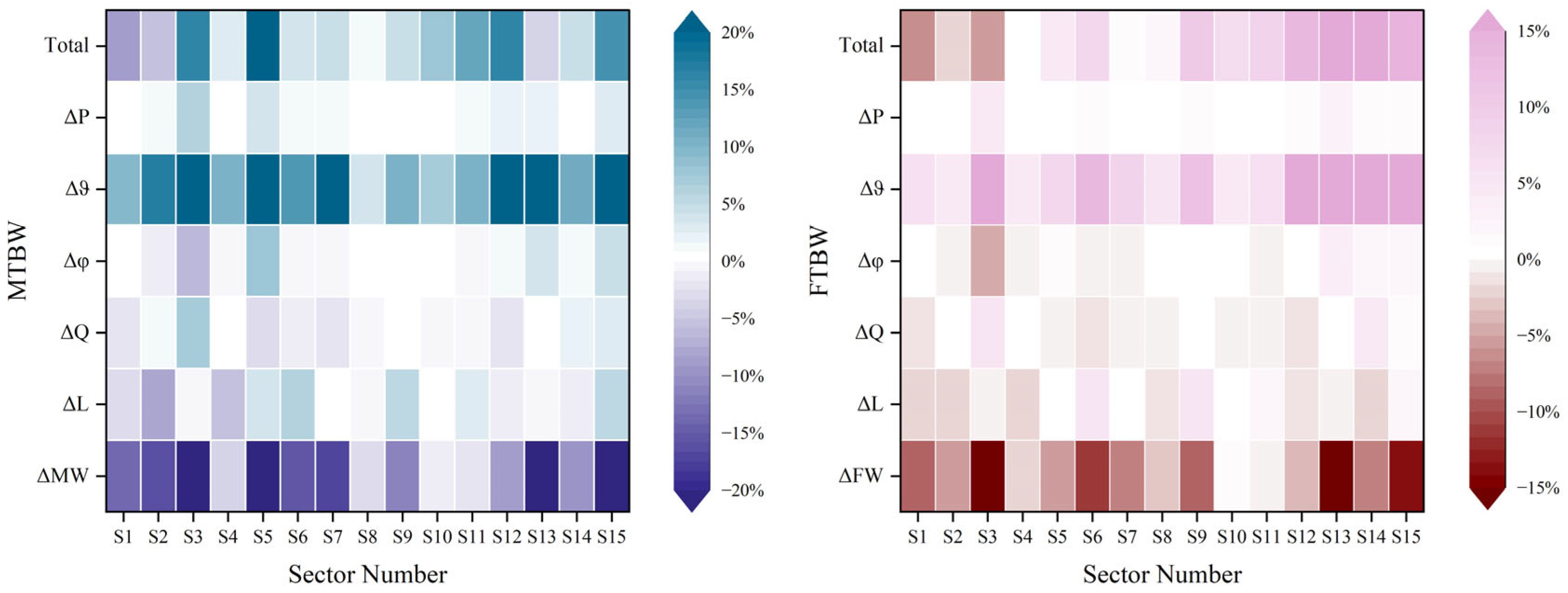
In Figure 3, the impact of social and economic elements on TBW is verified by breaking TBW down into six factors and combining them using Equations (8)–(10). Overall, socioeconomic factors exert the most significant impact on MTBW and FTBW in the manufacturing industry. China’s manufacturing sector (S3) has exhibited consistent growth in tandem with the nation’s accelerating urbanization and industrialization processes, making substantial contributions to its GDP. Meanwhile, the successful industrial transformation of China’s developed cities and the quick development of technological advancements, such as automation and artificial intelligence, have progressively rendered traditional manufacturing industries obsolete in recent years [54]. Furthermore, in comparison to the older generation, young people are showing diminishing enthusiasm for the manufacturing sector [55]. There is a trend of decreasing labor density in traditional manufacturing. All these factors lead to evident changes in TBW in S3, yet there is no substantial overall fluctuation. The construction industry (S5) sees the most noticeable change in the total number of drivers for males, whereas the education sector (S13) and health and social work sector (S14) exhibit the most significant changes for females. It is important to note that the overall integration of TBW in S3 is beneficial for men, while it is detrimental for women: physiological differences contribute to higher TBW in men compared to women, largely due to a greater proportion of muscle mass, which contains more water. This disparity arises from physiological differences that result in higher TBW levels among men compared to women. In the manufacturing industry, workplace conditions such as elevated temperatures and strenuous physical activities frequently place men in more challenging work environments. These conditions suggest that men might derive greater physiological benefits related to TBW, which could give them an edge over women in this sector [56]. Studies indicate that reduced total body water increases susceptibility to dehydration under high temperatures or during strenuous work, resulting in decreased labor productivity [57]. As a result, men not only appear to be in a more favorable position but are also more inclined to seek employment opportunities within manufacturing, while women are more likely to transition into the service sector or face greater employment pressure during the process of industrial upgrading.
Apart from the influence of industry, Figure 3 shows how socioeconomic characteristics have affected the MTBW consumed in 2007 and 2022. The construction industry (S5) and public management, social security, and social organization sectors (S15) have significantly increased their impact on MTBW transfers. Regarding the construction sector, MTBW has undergone an increase of nearly 28%. On the one hand, S5 contributes significantly to social and economic development, as well as the expansion of the gross national economy to meet the urgent demands of China’s steady and rapid economic growth and the needs of the ongoing expansion of social fixed asset investment. According to the 2024 Annual Monitoring Survey Report on Rural Migrant Workers, S5′s absorption of surplus rural labor is still on an upward trend. What is more, the physical demands of the construction business themselves require more males, leading to the dominance of men in this field. In terms of S15, MTBW has risen by 148.62 million liters (14.75%). The employment prospects are daunting, and when it comes to choosing a job, people prefer stable and authoritative organizations. Most of the units in this industrial sector are characterized by well-established social security and generous welfare benefits.
Figure 3 also clearly illustrates the changes in FTBW over time due to economic and social factors from 2007 to 2022. In addition to S3, the three sectors that cover S13, S14, and S15 are affected, with increases of 23.01%, 20.29%, and 14.97%, respectively. Given the social environment and gender advantages, women are more inclined to pursue careers in education than men, and the number of employees in this sector is rising annually, with women making up the majority. Most of the productivity in S13 is generated by women, thereby enhancing the outstanding performance of FTBW in S13. The “feminization” of medicine is a phenomenon that is occurring globally as more and more women study in medical schools and work in the health care sector. China exhibits a similar trend, with the proportion of women employed in S14 surpassing 50% and continuing to increase [58]. The factors driving the changes observed in S15 align with those influencing the trends in MTBW.
Figure 4 proves that the trends of change are basically the same for MTBW and FTBW, and it can be seen that the final demand level, i.e., GDP per capita, has been a key driver of the increasing trend in total body water transfers from 2007 to 2022. With the development of China’s economy, more manpower needs to be invested in the establishment of the economic system, and the transfer of TBW has also increased. According to China’s National Bureau of Statistics, the per capita GDP in 2022 was 85,698 CNY/person, an increase of about nine times relative to the per capita GDP in 2007 (9506 CNY/person). In Figure 4a,b, all other conditions being equal, GDP per capita would increase MTBW by 1007.5 million liters, while FTBW would increase by 653.2 million liters. In addition, population growth is the second biggest driving factor. All other factors remaining effective, the population size may increase by 236.2 million liters for MTBW and 109.2 million liters for FTBW from 2007 to 2022. TBW intensity could decrease by 3051.4 million liters in MTBW and 1200.2 million liters in FTBW. This may be attributed to the rising labor productivity in the industry due to advancements in digitalization and the widespread adoption of industrial robots [59,60]. Meanwhile, Figure 4c displays that the final demand product structure Q gives rise to the drop in MTBW, and the final demand category composition ∆φ is one of the elements that contributes to the decline in FTBW, in addition to TBW intensity.

3.2.2. SDA of MTBW and FTBW Transfer from the Perspective of Final Demand

Using Equations (5), (6), and (10) to arrive at Figure 5a–d, this study aims to examine the overall changes in TBW between 2007 and 2022 from the perspective of final demand. The findings demonstrate that, for both males and females, domestic consumption is the pivotal driver of TBW transfers, followed by exports and fixed capital formation.
Humans continuously try to improve their standard of living, rather than merely meet survival needs, such as food and clothing. From 2007 to 2022, changes in domestic consumption led to an increase of 2141.1 million liters in MTBW, accounting for 53.3% of the total final demand effect, while FTBW increased by 1157.4 million liters, accounting for 63.6% of the total final demand effect. During the study period, S13, S14, S15, finance intermediation (S9), etc., all resulted in an increase in TBW transfer among men and women, and their incremental contributions were mainly concentrated in the tertiary industry. The most basic explanation is that workers’ attention has gradually moved from the primary and secondary sectors to the tertiary sector since China’s reform and opening up, which has emerged as the primary sector for confronting the nation’s employment challenges.
Fixed capital formation and exports also play a positive role in the transfer of TBW, and the impact of both on the incremental transfer of MTBW and FTBW lies mainly in the construction industry, manufacturing industry, etc. Changes in fixed capital formation between 2007 and 2022 have contributed to a 35.0% increase in MTBW transfers and 24.5% in FTBW transfers. The influence of fixed capital creation on TBW transfers has increased as a result of China’s rapid economic expansion, which has raised demand for products including buildings, roads, and machinery and equipment. In terms of exports, the change caused an increase of 470.5 million liters in MTBW and 216.8 million liters in FTBW. During the study period, manufacturing accounted for the bulk of exports to TBW. The majority of China’s exports are high-end products like machinery, equipment, and smart phones, which have been promoted consistently by the Chinese government [61]. In Figure 5a,b, it should be emphasized that the COVID-19-related global recession of 2020 and the drop in China’s overall final demand caused a precipitous slump in exports, fixed capital formation, and domestic consumption. As a result, there was negative growth in the 2019–2020 period and a significant increase in the 2020–2021 period. Moreover, exports from 2007 to 2009 experienced a minor decline in MTBW and FTBW, as seen in Figure 5c,d. This decline may have been influenced by the subprime mortgage crisis.

3.2.3. SDA of MTBW and FTBW Transfer from the Perspective of Total Output

Equations (4) and (12) are adopted to produce Figure 6, which illustrates the effect of changes in TBW intensity and total output on TBW. In most years, TBW shifts are positively impacted by changes in total production, as shown in Figure 6a,b. However, for both men and women, the TBW intensity is counter-productive. From an overall perspective, the transfer change in TBW exhibits a rising trend since the incremental effect of the total output is larger than the decremental effect of TBW intensity. In Figure 6c,d, the analysis of TBW changes in the base year 2007 reveals a parallel trend in how total output impacts increases in male (MTBW) and female (FTBW) total body water. In 2007–2008, the change in total output was 375 million liters for MTBW and 157 million liters for FTBW. In contrast, the shift in total output between 2007 and 2022 added 4059 million liters to MTBW and 1853 million liters to FTBW. In terms of total body water intensity, the intensity of women decreased by 10.5% from 2007 to 2022 compared with 2007–2019, while that of men held steady. Total body water intensity’s effect on reducing TBW transfer in both men and women has diminished as a result of COVID-19, and women are more malleable than males because of the more challenging employment environment.

3.3. Total Body Water Structural Path Decomposition

Figure 7 and Figure 8 are derived from Equations (10)–(13), which reveal the top 30 critical paths for MTBW and FTBW transfer changes between 2007 and 2022.
Figure 7 shows the final demand categories, where fixed capital formation plays an important part in MTBW, involving nine key paths. The rapid growth in demand in the manufacturing (S3) and construction (S5) sectors is the principal element contributing to the rise in fixed capita formation. S5 affects fixed capital formation through three direct pathways, which has ultimately helped to drive an increase of 288.9 million liters in MTBW. There are six pathways through which S3 influences the construction industry and indirectly affects the fixed capital formation, resulting in an MTBW increment of 8.2 million liters. In FTBW, domestic consumption is significant and involves 14 essential paths, the majority of which are represented in the tertiary sector. There exist four direct channels from the education sector (S13) to domestic consumption, and S13 has the largest impact on the FTBW increment. The direct and indirect satisfaction of domestic consumption elevates the FTBW transfer by 135.6 million liters, or 40.3% of the extracted critical path value. Still, since S3 is the primary performance sector and exports have both positive and negative effects on the pathway, the influence of exports on MTBW and FTBW is rather negligible.
Total body water intensity w , per capita final demand level ϑ , and final demand category composition φ were found to have an effect on the transfer of MTBW, according to the results of the critical path drivers of MTBW. The per capita final demand level ranked first, followed by total body water intensity in second place and the final demand category composition in third place. Among the 30 critical paths, 15 of them originate from ϑ . S5, S15, S13, and S3 ranked the top four with path values of 451.9 million liters, 443.4 million liters, 290.8 million liters, and 176.4 million liters, respectively. The final demand level ∆ϑ resulted in a rise amounting to 2023.8 million liters in MTBW. It constitutes 67.3% of this driver’s critical path value. The four sectors involved in the ϑ are still the principal economic sectors that contribute to the reduction in MTBW transfer in terms of TBW intensity w . Ranked by path value, they are S3, S13, S15, and S5. As a group, these four sectors reduce 1248.4 million liters of MTBW transfer, which represents approximately 74.9% of the path value of this driving factor. To a certain degree, the transport, storage, and post sector (S7), the real estate sector (S10), the services to households and other services sector (S12), and the wholesale and retail trades sector (S6) also facilitate the transfer of MTBW.
According to the overall influence of FTBW drivers illustrated in Figure 8, the per capita final demand level ϑ has the most profound effect on FTBW, succeeded by the integrated total body water intensity w . The influence of ϑ on FTBW is predominantly observed in S13, S15, and S14, comprising 27.3%, 15.2%, and 14.4% of the pathway values of this driving component, respectively. All three sectors belong to the first tier and are capable of directly meeting domestic consumption. The changes in FTBW induced by w principally cluster within S13, S3, S15, S14, and S5, with the route values being reasonably uniformly distributed. In contrast to MTBW, FTBW was shaped by the final demand product structure Q and population growth P , resulting in an increase of FTBW by 27.0 million liters and 16.9 million liters, respectively. It should be stressed that although w -related industries have contributed to a decrease in both MTBW and FTBW transfers, the total effect of the other driving factors, i.e., TBW-causing variables, outweighs the inhibitory effect of ∆w. Thus, from an overall standpoint, the rise in TBW transfer between sectors indicates an upward tendency, irrespective of gender.
While the first tier offers a straightforward route to the subject of research, the second and third tiers depict more accurately the flow of subject [62]. Driven by the per capita final demand level ∆ϑ and the total body water intensity w , “S5 → fixed capital formation” ranks 1st, 5th, and 14th in MTBW and has the greatest impact on the overall key path. In addition, there are the second- and third-level paths of S5 as the intermediate sector, namely, “S3 → S5 → fixed capital formation” (14th and 15th), and two third-level paths “S3 → S3 → S5 → fixed capital formation” (27th and 30th, respectively). This directly reflects the high dependence of fixed capital formation on construction activities. The construction sector is physically strenuous and labor-intensive, leading to a higher likelihood of men entering the field due to their physiological advantages over women [63]. Furthermore, China’s construction sector had significant growth during the research period, resulting in a substantial clustering of MTBW in this type of path. The second-largest impact on MTBW arises from S15, which include three direct paths (“S15 → domestic consumption”), ranking 2nd, 3rd, and 22nd, respectively. S3 has the largest number of paths as the starting point, with a total of 14 items, both of which directly (“S3 → final demand category”) or indirectly (“S3 → S5 → fixed capital formation”, “S3 → S3 → S5 → fixed capital formation”) meet the final demand of three different categories. This suggests that the manufacturing sector is increasingly functioning as a “raw material supplier”, and MTBW is deployed and distributed, either directly or indirectly, in the construction industry and final demand in an embedded manner. The MTBW critical path also involves sectors of the tertiary industry, such as S14, S12, S11, S7, and S6.
The path starting with the education sector (S13) exerts the biggest impact among the main FTBW paths. It mainly includes three “S13 → domestic consumption” (1st, 2nd, and 22nd), which jointly account for almost half of the total value of the path taken. These three driving factors are the final demand level ϑ , the total body water intensity w , and the final demand category composition φ . This indicates that S13 is the main sector driving direct transfer changes in FTBW to meet domestic consumption. China’s heightened focus on education may account for the surge in the number of women employed in the education sector [64]. Moreover, Chinese women, influenced by societal standards and familial values, generally demonstrate a preference for clerical positions, demonstrating a pronounced inclination towards careers in the education sector [65]. Following S13, public management, social security, and social organization sectors (S15) and health and social work sectors (S14) rank third and fourth, respectively, with similar path values. S3 and S5 remain the most prominently identified intermediate sectors in the secondary and tertiary paths, with path types that are comparable to those found in MTBW. As the first reference, S3 remains the variable that is linked to the largest number of pathways. Likewise, it encompasses “S3 → final demand category” and “S3 → S5 → fixed capital formation,” although its highest path value ranks 10th, signifying that S3 has influenced FTBW transfer to some degree. There exist four third-level pathways: “S3 → S3 → S5 → fixed capital formation” and “S3 → S3 → S3 → export”. It is important to acknowledge that despite S3 possessing the highest quantity of pathways, the aggregate of its path values diminishes FTBW by 50.7 million liters, which further reveals that women experience greater outflows than inflows in the manufacturing sector, facing more severe challenges than men within this sector. Beyond the aforementioned tertiary industries, FTBW is also modulated by S6 and S12, which indirectly substantiates the tertiary sector’s stronger coupling with final demand.

3.4. Total Body Water Imbalance Index

Equation (14), as illustrated in Figure 9, is used to calculate the imbalance index between TWB and the socioeconomic factor GDP in order to better comprehend the inequitable allocation of sectors in TBW. According to our analysis of the equilibrium correlation between TBW and GDP, the imbalance indices of the four sectors—S15, S14, S13, and S5—were all higher than 1.0 between 2007 and 2022. This indicates that the commodities and services provided by these four sectors contribute less to society, in a given year, when their TBW is combined with other forces of production. During the study period, the TBW of agriculture (S1), manufacturing (S3), wholesale and retail trades (S6), hotels and catering services (S8), financial intermediation (S9), and real estate (S10) all had imbalance indices less than 1.0, suggesting that these sectors’ TBW produced goods and services with superior economic value-added and made a significant socioeconomic contribution. Specifically, the agricultural S1 imbalance index was consistently the lowest and exhibited a declining tendency annually. In addition, it was found that the imbalance indices for mining (S2), transport and storage and post (S7), leasing and business services (S11), and services to households and other services (S12) fluctuated around the absolute equilibrium line from 2007 to 2022. This suggests that there is an inseparable relationship between GDP and the TBW of these three industries.
Overall, although the TBW imbalance indices for S13, S14, and S15 have remained above 1.0, a gradual downward trend is observed in the data. In 2013, the imbalance index of S5 reached a peak of 2.5, and its change trend was stable compared with other sectors, indicating that the economic benefits of TBW input in construction are low, which may be affected by the increase in labor in the construction sector. S3 has been maintained at the exact equilibrium level. This shows that in the face of the increasing TBW in the manufacturing sector, the economic benefits of the manufacturing sector generated by TBW are stable.

4. Conclusions and Policy Implications

4.1. Conclusions and Limitation

By constructing a multidimensional “ISSI” framework, this study incorporates TBW by gender into the analysis of dynamic industrial linkages. SDA, SPD, and the imbalance index were used to identify the driving forces of MTBW and FTBW transfers in the economic system and measure the TBW transfer path and distribution. We aimed to provide an empirical basis for ecological water resource management grounded in a “human–environment coupling” paradigm.
The major conclusions are as follows: First, FTBW was consistently lower than MTBW between 2007 and 2022, while TBW exhibited initial growth before reaching a stable state. This is explained by the gender gap in the employed population, as well as the variation in TBW between the sexes. Second, the breakdown of the drivers of manufacturing in MTBW and FTBW changed significantly, but the total amount hardly changed. In contrast, FTBW represents a stronger orientation towards the education sector, whilst MTBW’s performance in the construction sector is particularly notable. Third, whereas total body water intensity causes TBW to decrease, population growth and the expansion of economic scale are the primary catalysts of TBW increase. From a final demand perspective, domestic consumption is the main contributor to total body water (TBW) across gender groups, primarily driven by tertiary sectors and tertiary industries, including public management, social security, and social organization, education, and health and social service. Fourth, in SPD, the manufacturing industry involves the most critical paths for male and female TBW transfers, including 14 and 15 critical paths, respectively. But the construction sector has the path value that has the deepest influence on MTBW transfer, while the education sector has the path value that has the largest impact on FTBW transfer. Furthermore, TBW transfer is significantly facilitated or inhibited by public management, social security, and social organization, health and social work, services to households and other services, etc., for both men and women. Fifth, the results of the imbalance index show that during the study period, the economic benefits of TBW invested in the five sectors of construction, education, health and social work, public management, social security, and social organization were weaker than those of the other sectors. The goods and services produced by TBWs in agriculture, manufacturing, wholesale and retail trades, hotels and catering services, financial intermediation, and real estate inputs offer greater economic benefits to society, with agriculture playing the most critical role.
Despite being the first to investigate water transfer and allocation with total body water as a water resource type, this paper has certain limitations. First of all, the official categorization of China differs from the Asian Development Bank’s classification of industries, which states that certain sub-sectors cannot be explicitly targeted in the case of industrial consolidation, limiting the accuracy and robustness of the conclusions. Second, the ISSI model is predicated on the premise that economic linkages are related in a linear fashion. Nonetheless, actual economic systems encompass numerous nonlinearities, including technology shocks and alterations in national policies. These factors can all impact the transfer and distribution of TBW. We will undertake more comprehensive and deeper specific research on nonlinear factors in the future. Lastly, the labor force within the tertiary sector might account for most water consumption that is transferred between TBW and this industry. This hypothesis can be validated through a comparative analysis of the specific water usage by the workforce in the tertiary sector versus its TBW contributions.

4.2. Policy Implications

Drawing from the above findings, this study proposes several recommendations in terms of China’s water-saving policies and the distribution of water resources. Firstly, an intelligent industry water resource management system should be established among various departments to enable the real-time detection and control of water resources. For example, the construction industry, where men exhibit high total body water levels, should pay more attention to the value of water resource management. Secondly, promoting people-centric circular economy strategies within diverse departmental operations is crucial. Moreover, the prudent distribution of water resources can be achieved by boosting operational efficiencies and supporting innovative recycling methods. For instance, departmental cooperation will be necessary to better manage the distribution of water resources when TBW moves from the manufacturing to the construction sector. Thirdly, the efficiency of TBW utilization in the industry should be evaluated in terms of the economic benefits brought by TBW, and corresponding water resource technology policies should be formulated and implemented to maximize the economic effectiveness of the industry in the relationship between “humans and water resources”. Last but not least, sustainable development paradigms should be embedded in policymaking, requiring sector-specific departments and corporate entities to operationalize this commitment through enactment of cognate legal statutes, development of enforcement regulations, and implementation of water management measures.
Furthermore, the economic-driven migration of TBW between sectors can help ensure that water resources are allocated as efficiently as possible. From a governance perspective, the government should formulate a comprehensive and forward-looking industrial development plan, incorporating factors such as water resource distribution, population status, and economic development needs, give more holistic guidance and planning, and invest in infrastructure and public services, such as water supply systems, sewage treatment facilities, etc. For the management of water resources, the government may also provide a system for cross-industry collaboration and reinforce the uniform distribution and oversight of water resources. Subsequently, from the perspective of the industry, each industry needs to assess the human water needs of the working population, formulate a sustainable water resource management plan tailored to each company’s development strategy, and provide a healthy water environment for every employee working in every enterprise to enhance productivity. Through collaborative efforts between the government and industry, our efforts support the country’s goal of achieving sustainable environmental progress.

Author Contributions

Conceptualization, Y.C. and Z.C.; methodology, Y.C., Y.S., and Z.C.; software, Y.C. and Z.C.; formal analysis, Y.C., Y.S., and Z.C.; resources, Y.S.; data curation, Y.C.; writing—original draft preparation, Y.C., Y.S., and Z.C.; writing—review and editing, Y.C. and Y.S.; visualization, Y.C. and Z.C.; supervision, Y.S.; funding acquisition, Y.S. All authors have read and agreed to the published version of the manuscript.

Funding

This research was funded by the Macau University of Science and Technology Foundation, grant number FRG-25-101-MSB.

Data Availability Statement

The original contributions presented in this study are included in this article. Further inquiries can be directed to the corresponding author.

Acknowledgments

The authors’ gratitude is extended to the prospective editors and reviewers who have spared their time in guiding us toward a successful publication.

Conflicts of Interest

The authors declare no conflicts of interest.

Appendix A

Table A1. The classification of 15 sectors in China from 2007 to 2022.
Table A1. The classification of 15 sectors in China from 2007 to 2022.
CodeSector
S1Agriculture, Forestry, Animal Husbandry, and Fishery
S2Mining
S3Manufacturing
S4Production and Supply of Electricity, Heat, Gas, and Water
S5Construction
S6Wholesale and Retail Trades
S7Transport, Storage, and Post
S8Hotels and Catering Services
S9Financial Intermediation
S10Real Estate
S11Leasing and Business Services
S12Services to Households and Other Services
S13Education
S14Health and Social Service
S15Public Management, Social Security, and Social Organization
Table A2. The volume of male total body water (MTBW) and female total body water (FTBW) in 15 sectors, 2007 to 2022. (Unit: million liters.)
Table A2. The volume of male total body water (MTBW) and female total body water (FTBW) in 15 sectors, 2007 to 2022. (Unit: million liters.)
Year20072008200920102011201220132014
Sector
Code
MTBWFTBWMTBWFTBWMTBWFTBWMTBWFTBWMTBWFTBWMTBWFTBWMTBWFTBWMTBWFTBW
S1110.62 46.16 107.41 43.69 97.70 39.94 97.85 40.43 93.36 38.88 87.90 36.71 76.53 31.90 73.98 30.72
S2174.91 32.19 179.00 30.84 183.44 31.57 187.74 30.96 203.84 34.01 212.36 33.63 215.81 32.78 199.97 32.34
S3810.26 438.67 818.32 423.80 840.54 424.85 878.31 440.52 1017.79 473.38 1069.67 487.38 1309.38 608.51 1284.60 621.86
S487.47 26.61 88.99 26.44 89.59 26.35 90.02 26.88 98.28 28.08 101.51 28.67 121.19 32.22 119.77 32.98
S5373.55 41.78 379.67 43.81 419.48 46.19 453.01 48.68 624.35 60.59 730.52 68.60 1080.08 86.68 1071.19 92.81
S6114.34 67.14 113.97 69.60 115.65 70.30 117.36 73.27 139.32 90.58 153.16 99.59 182.79 130.96 180.27 132.10
S7186.59 49.68 187.42 50.32 190.47 50.23 190.11 49.53 199.11 52.41 202.25 51.55 257.92 64.26 261.88 65.90
S834.96 29.58 36.21 30.87 38.21 32.04 39.48 33.22 45.74 38.59 51.18 41.26 55.76 49.53 52.26 47.59
S980.93 56.60 85.72 61.36 91.80 66.26 95.56 69.75 102.20 75.35 106.49 78.87 109.22 79.90 114.52 84.45
S1045.43 16.43 46.95 17.17 52.11 18.84 57.25 21.24 66.86 25.23 73.24 28.05 98.53 39.35 104.00 43.81
S1167.90 24.09 74.39 27.52 79.36 28.61 84.70 30.55 80.18 26.88 82.20 27.11 116.54 40.64 124.09 43.34
S12198.20 84.36 204.10 88.03 216.35 92.22 227.61 98.33 240.24 103.34 256.78 109.36 308.25 130.28 317.98 135.30
S13317.96 219.39 318.53 222.83 318.84 227.41 323.53 233.27 327.73 240.84 331.40 248.68 333.34 257.22 335.32 267.58
S1489.94 95.10 93.27 98.83 99.05 104.14 103.93 111.44 110.07 120.72 114.80 129.14 121.80 139.03 125.38 148.33
S15384.58 104.46 396.75 108.63 413.81 113.85 421.41 118.46 428.30 125.03 447.29 133.16 452.96 136.59 458.94 141.81
Year20152016201720182019202020212022
Sector
code
MTBWFTBWMTBWFTBWMTBWFTBWMTBWFTBWMTBWFTBWMTBWFTBWMTBWFTBWMTBWFTBW
S170.94 28.60 69.79 27.44 68.18 26.29 52.28 19.22 37.57 12.54 24.81 7.44 24.97 7.66 22.89 6.82
S2183.07 29.52 163.67 27.26 151.76 25.33 138.08 23.08 124.43 19.11 119.69 17.91 118.13 16.90 117.77 15.99
S31253.28 593.02 1220.73 564.93 1157.35 534.34 1055.30 473.02 981.58 424.02 979.62 417.64 989.41 417.25 974.47 401.63
S4117.72 32.20 115.85 31.07 112.72 30.18 110.70 29.34 112.26 29.38 114.33 29.85 115.83 29.44 114.21 28.63
S51022.51 90.81 997.93 87.44 963.30 88.23 986.81 91.31 816.99 83.27 771.93 81.02 703.26 76.81 652.32 73.03
S6179.44 131.15 178.31 129.52 170.11 125.92 163.15 125.15 164.54 126.15 154.62 120.57 157.06 121.94 154.96 119.85
S7259.60 65.46 258.13 65.08 255.65 65.20 247.68 63.59 248.42 62.03 247.40 61.79 242.53 61.12 236.47 59.02
S850.92 44.69 49.94 43.52 47.72 43.98 47.93 44.98 46.85 44.39 44.95 43.22 46.17 44.89 44.09 43.37
S9120.56 92.03 130.67 101.94 130.87 108.73 131.25 111.54 150.07 135.30 147.49 146.81 142.47 138.50 130.97 123.56
S10107.76 45.56 111.29 47.27 112.95 49.91 115.93 54.02 126.23 59.66 127.83 62.94 127.90 64.06 121.93 63.09
S11130.98 45.64 135.09 46.92 142.52 51.64 144.07 52.58 177.56 67.07 172.10 66.06 179.25 71.73 193.11 78.84
S12323.63 138.22 326.46 142.46 332.40 148.61 334.19 148.98 344.99 156.27 348.99 160.65 363.34 168.97 365.49 172.06
S13330.93 273.39 319.62 279.34 309.53 286.87 298.29 296.42 299.51 346.53 293.89 365.10 292.14 370.16 283.98 369.73
S14127.54 155.94 127.52 163.41 127.91 172.21 125.65 178.06 132.86 200.46 133.41 213.45 137.80 222.89 139.33 227.60
S15464.74 148.96 470.80 154.84 481.02 163.10 502.46 174.76 544.77 195.15 537.96 194.83 538.83 198.22 533.21 202.21

References

  1. Stewart-Koster, B.; Bunn, S.E.; Green, P.; Ndehedehe, C.; Andersen, L.S.; Armstrong McKay, D.I.; Bai, X.; DeClerck, F.; Ebi, K.L.; Gordon, C.; et al. Living within the safe and just Earth system boundaries for blue water. Nat. Sustain. 2024, 7, 53–63. [Google Scholar] [CrossRef]
  2. Wang, Y.; He, W.; Chen, C.; Zhang, X.; Tang, H.; Li, P.; Tong, Y.; Li, M.; Lin, Y.; Yu, J.; et al. Different countries need strengthen water management to improve human health. J. Clean. Prod. 2022, 380, 134998. [Google Scholar] [CrossRef]
  3. Salehi, M. Global water shortage and potable water safety; Today’s concern and tomorrow’s crisis. Environ. Int. 2022, 158, 106936. [Google Scholar] [CrossRef] [PubMed]
  4. Lu, H.; Ayers, E.; Patel, P.; Mattoo, T.K. Body water percentage from childhood to old age. Kidney Res. Clin. Pract. 2023, 42, 340–348. [Google Scholar] [CrossRef]
  5. Cao, J.; Ho, M.S.; Hu, W.; Jorgenson, D. Effective labor supply and growth outlook in China. China Econ. Rev. 2020, 61, 101398. [Google Scholar] [CrossRef]
  6. Gruzina, Y.; Firsova, I.; Strielkowski, W. Dynamics of human capital development in economic development cycles. Economies 2021, 9, 67. [Google Scholar] [CrossRef]
  7. Nika, C.; Gusmaroli, L.; Ghafourian, M.; Atanasova, N.; Buttiglieri, G.; Katsou, E. Nature-based solutions as enablers of circularity in water systems: A review on assessment methodologies, tools and indicators. Water Res. 2020, 183, 115988. [Google Scholar] [CrossRef]
  8. Corominas, L.; Byrne, D.M.; Guest, J.S.; Hospido, A.; Roux, P.; Shaw, A.; Short, M.D. The application of life cycle assessment (LCA) to wastewater treatment: A best practice guide and critical review. Water Res. 2020, 184, 116058. [Google Scholar] [CrossRef]
  9. Liu, Y.; Song, Y. A novel multi-dimensional water transfer analysis framework. J. Hydrol. Reg. Stud. 2025, 62, 102905. [Google Scholar] [CrossRef]
  10. Liu, Y.; Song, Y. Does artificial ecosystem recharge make sense? based on the coupled water orbit research framework. Ecol. Indic. 2024, 166, 112496. [Google Scholar] [CrossRef]
  11. Wu, B.; Quan, Q.; Yang, S.; Dong, Y. A social-ecological coupling model for evaluating the human-water relationship in basins within the Budyko framework. J. Hydrol. 2023, 619, 129361. [Google Scholar] [CrossRef]
  12. Du, M.; Huang, C.; Chen, Z. Evaluating the water-saving and wastewater-reducing effects of water rights trading pilots: Evidence from a quasi-natural experiment. J. Environ. Manag. 2022, 319, 115706. [Google Scholar] [CrossRef]
  13. Bi, Y.; Zheng, L.; Wang, Y.; Li, J.; Yang, H.; Zhang, B. Coupling relationship between urbanization and water-related ecosystem services in China’s Yangtze River economic Belt and its socio-ecological driving forces: A county-level perspective. Ecol. Indic. 2023, 146, 109871. [Google Scholar] [CrossRef]
  14. Hickel, J.; Dorninger, C.; Wieland, H.; Suwandi, I. Imperialist appropriation in the world economy: Drain from the global South through unequal exchange, 1990–2015. Glob. Environ. Chang. 2022, 73, 102467. [Google Scholar] [CrossRef]
  15. Osei-Owusu, A.K.; Read, Q.D.; Thomsen, M. Potential energy and environmental footprint savings from reducing food loss and waste in Europe: A scenario-based multiregional input–output analysis. Environ. Sci. Technol. 2023, 57, 16296–16308. [Google Scholar] [CrossRef]
  16. Sun, Y.-Y.; Cadarso, M.A.; Driml, S. Tourism carbon footprint inventories: A review of the environmentally extended input-output approach. Ann. Tour. Res. 2020, 82, 102928. [Google Scholar] [CrossRef]
  17. Sturla, G.; Ciulla, L.; Rocchi, B. Natural and social scarcity in water Footprint: A multiregional input–output analysis for Italy. Ecol. Indic. 2023, 147, 109981. [Google Scholar] [CrossRef]
  18. Lv, T.; Song, Y.; Chen, Z. China’s Inequality in Urban and Rural Residential Water Consumption—A New Multi-Analysis System. Water 2024, 17, 37. [Google Scholar] [CrossRef]
  19. Chen, J.; Fang, D.; Chen, B.; Wang, S. Can premium subsidies for agricultural insurance promote risk protection on natural disasters? Evidence from China. Environ. Impact Assess. Rev. 2024, 108, 107615. [Google Scholar] [CrossRef]
  20. Liu, D.; Wang, P.; Sun, Y.; Zhang, H.; Xu, S. Co-abatement of carbon and air pollutants emissions in China’s iron and steel industry under carbon neutrality scenarios. Renew. Sustain. Energy Rev. 2024, 191, 114140. [Google Scholar] [CrossRef]
  21. Blackburn, C.J.; Moreno-Cruz, J. Energy efficiency in general equilibrium with input–output linkages. J. Environ. Econ. Manag. 2021, 110, 102524. [Google Scholar] [CrossRef]
  22. Wang, T.; Ma, S.; Yan, X.; Pei, E. Agricultural and Non-Agricultural Sectors Compete Implicitly for Water Resources in China. Water 2025, 17, 2707. [Google Scholar] [CrossRef]
  23. Liu, G.; Li, Y. China’s Urban–Rural and Trade Inequality in Water Footprint. Water 2025, 17, 531. [Google Scholar] [CrossRef]
  24. Islam, K.N.; Kenway, S.J.; Renouf, M.A.; Wiedmann, T.; Lam, K.L. A multi-regional input-output analysis of direct and virtual urban water flows to reduce city water footprints in Australia. Sustain. Cities Soc. 2021, 75, 103236. [Google Scholar] [CrossRef]
  25. Zhao, D.; Liu, J.; Yang, H.; Sun, L.; Varis, O. Socioeconomic drivers of provincial-level changes in the blue and green water footprints in China. Resour. Conserv. Recycl. 2021, 175, 105834. [Google Scholar] [CrossRef]
  26. Franco-Solís, A.; Montanía, C.V. Dynamics of deforestation worldwide: A structural decomposition analysis of agricultural land use in South America. Land Use Policy 2021, 109, 105619. [Google Scholar] [CrossRef]
  27. Yu, Y.; Hou, J.; Jahanger, A.; Cao, X.; Balsalobre-Lorente, D.; Radulescu, M.; Jiang, T. Decomposition analysis of China’s chemical sector energy-related CO2 emissions: From an extended SDA approach perspective. Energy Environ. 2024, 35, 2586–2607. [Google Scholar] [CrossRef]
  28. Ji, J.; Wang, C.; Zhou, J. Spatiotemporal Evolution and Drivers of Chinese Industrial Virtual Water in International Trade. Water 2023, 15, 1975. [Google Scholar] [CrossRef]
  29. Yang, Y.; Wang, H.; Zhou, P. The CO2 emission effects of global supply chain geographic restructuring on emerging economies. Energy Economics 2025, 143, 108255. [Google Scholar] [CrossRef]
  30. Wu, W.; Zhang, N.; Li, A.; Chen, Y. The path to global climate justice: From the perspective of regional discrepancy in embodied carbon emissions. Environ. Impact Assess. Rev. 2024, 105, 107410. [Google Scholar] [CrossRef]
  31. Zhang, J.; Wang, H.; Ma, L.; Wang, J.; Wang, J.; Wang, Z.; Yue, Q. Structural path decomposition analysis of resource utilization in China, 1997–2017. J. Clean. Prod. 2021, 322, 129006. [Google Scholar] [CrossRef]
  32. Fang, D.; Yang, J. Drivers and critical supply chain paths of black carbon emission: A structural path decomposition. J. Environ. Manag. 2021, 278, 111514. [Google Scholar] [CrossRef] [PubMed]
  33. Lin, B.; Teng, Y. Structural path and decomposition analysis of sectoral carbon emission changes in China. Energy 2022, 261, 125331. [Google Scholar] [CrossRef]
  34. Yu, Y.; Chi, Y.; Du, Y. Co-control of the haze pollution emissions in China: Insight from supply chains. Integr. Environ. Assess. Manag. 2023, 19, 1048–1063. [Google Scholar] [CrossRef]
  35. Xie, R.; Zhao, Y.; Chen, L. Structural path analysis and its applications: Literature review. Natl. Account. Rev. 2020, 2, 83–94. [Google Scholar] [CrossRef]
  36. Chen, Y.; Lu, H.; Li, J.; Yang, Y.; Xia, J. Multi-criteria decision making and fairness evaluation of water ecological carrying capacity for inter-regional green development. Environ. Sci. Pollut. Res. 2021, 28, 6470–6490. [Google Scholar] [CrossRef]
  37. Li, X.; Song, Y. A novel assessment framework for colored-water footprint inequality in China. Ecol. Indic. 2025, 173, 113350. [Google Scholar] [CrossRef]
  38. Ma, W.; Meng, L.; Wei, F.; Opp, C.; Yang, D. Spatiotemporal variations of agricultural water footprint and socioeconomic matching evaluation from the perspective of ecological function zone. Agric. Water Manag. 2021, 249, 106803. [Google Scholar] [CrossRef]
  39. Song, M.; He, W.; An, M.; Fang, X.; Wang, B.; Ramsey, T.S. Toward better agricultural grey water footprint allocation under economy-resource factors constraint. Ecol. Indic. 2023, 154, 110806. [Google Scholar] [CrossRef]
  40. Li, X.; Li, Y.; Song, Y. Labor linkages and flow paths of industry in China. Heliyon 2024, 10, e30118. [Google Scholar] [CrossRef]
  41. Lu, L.; Yin, S.; Wen, F.; Xu, Q. The spatial structure of labour force employment in China’s industries: Measurement and extraction. Econ. Anal. Policy 2023, 77, 472–486. [Google Scholar] [CrossRef]
  42. Dorninger, C.; Hornborg, A.; Abson, D.J.; Von Wehrden, H.; Schaffartzik, A.; Giljum, S.; Engler, J.-O.; Feller, R.L.; Hubacek, K.; Wieland, H. Global patterns of ecologically unequal exchange: Implications for sustainability in the 21st century. Ecol. Econ. 2021, 179, 106824. [Google Scholar] [CrossRef]
  43. Shang, W.-L.; Ling, Y.; Ochieng, W.; Yang, L.; Gao, X.; Ren, Q.; Chen, Y.; Cao, M. Driving forces of CO2 emissions from the transport, storage and postal sectors: A pathway to achieving carbon neutrality. Appl. Energy 2024, 365, 123226. [Google Scholar] [CrossRef]
  44. Yan, M.; Sun, H.; Gu, K. Driving factors and key emission reduction paths of Xinjiang industries carbon emissions: An industry chain perspective. J. Clean. Prod. 2022, 374, 133879. [Google Scholar] [CrossRef]
  45. Castaño, A.; Lufin, M.; Atienza, M. A structural path analysis of Chilean mining linkages between 1995 and 2011. What are the channels through which extractive activity affects the economy? Resour. Policy 2019, 60, 106–117. [Google Scholar] [CrossRef]
  46. Zhao, S.; Li, C.; Wang, Z.; Yu, S.; Shi, Z. Industrial polycyclic aromatic hydrocarbons (PAHs) emissions embodied in domestic trade in China in 2012. J. Environ. Manag. 2021, 284, 111994. [Google Scholar] [CrossRef]
  47. Liang, Y.; Song, Y.; Chen, Z. Correlation Effects, Driving Forces and Evolutionary Paths of Cross-Industry Transfer of Energy Consumption in China: A New Analytical Framework. Energies 2025, 18, 3128. [Google Scholar] [CrossRef]
  48. Fedulova, S.; Dubnytskyi, V.; Myachin, V.; Yudina, O.; Kholod, O. Evaluating the impact of water resources on the economic growth of countries. Agric. Resour. Econ. Int. Sci. E-J. 2021, 7, 200–217. [Google Scholar] [CrossRef]
  49. Chen, C.; Xu, Y.; Cai, Z.; Li, Y.; Hu, M.; Ma, C. Kt/V combined with Kt in assessing dialysis adequacy of hemodialysis patients. Chin. J. Nephrol. Dial. Transplant. 2022, 31, 525. [Google Scholar] [CrossRef]
  50. Hiruy, A.F.; Opoku, S.; Xiong, Q.; Jin, Q.; Zhao, J.; Lin, X.; He, S.; Zuo, X.; Ying, C. Nutritional predictors associated with malnutrition in continuous ambulatory peritoneal dialysis patients. Clin. Nutr. ESPEN 2021, 45, 454–461. [Google Scholar] [CrossRef]
  51. Liu, S.; Feng, Y.; Zhang, Q.; Lu, J.; Li, N.; Liu, Y.; Jiang, C. Comparison of the Watson formula and bioimpedance spectroscopy for measuring body volume and calculating kt/V in patients with peritoneal dialysis. Ren. Fail. 2024, 46, 2313360. [Google Scholar] [CrossRef]
  52. Wang, J.; Chen, Z.; Huang, Y.; Qian, Y.; Cui, H.; Zhang, L.; Zhang, Y.; Wang, N.; Chen, H.; Ren, H.; et al. Nomogram model based on clinical factors and autonomic nervous system activity for predicting residual renal function decline in patients undergoing peritoneal dialysis. Front. Neurosci. 2024, 18, 1429949. [Google Scholar] [CrossRef]
  53. Wang, F.; Kis-Katos, K.; Zhou, M. Import competition and the gender employment gap in China. J. Hum. Resour. 2024, 59, 1830–1864. [Google Scholar] [CrossRef]
  54. Wang-Lu, H.; Valerio Mendoza, O.M. Job prospects and labour mobility in China. J. Int. Trade Econ. Dev. 2023, 32, 991–1034. [Google Scholar] [CrossRef]
  55. Liu, Z.; Qi, W.; Liu, S.; Qi, H.; Jin, H.; Zhang, X. Employment choice of the floating population and influencing factors in China. Prog. Geogr. 2023, 42, 1055–1068. [Google Scholar] [CrossRef]
  56. Dong, Y. The dilemma of Foxconn moms: Social reproduction and the rise of ‘gig manufacturing’ in China. Crit. Sociol. 2023, 49, 1231–1249. [Google Scholar] [CrossRef]
  57. Kenefick, R.W.; Sawka, M.N. Hydration at the work site. J. Am. Coll. Nutr. 2007, 26, 597S–603S. [Google Scholar] [CrossRef]
  58. Li, M.; Raven, J.; Liu, X. Feminization of the health workforce in China: Exploring gendered composition from 2002 to 2020. Hum. Resour. Health 2024, 22, 15. [Google Scholar] [CrossRef]
  59. Dekle, R. Robots and industrial labor: Evidence from Japan. J. Jpn. Int. Econ. 2020, 58, 101108. [Google Scholar] [CrossRef]
  60. Salimova, G.; Ableeva, A.; Galimova, A.; Bakirova, R.; Lubova, T.; Sharafutdinov, A.; Araslanbaev, I. Recent trends in labor productivity. Empl. Relat. Int. J. 2022, 44, 785–802. [Google Scholar] [CrossRef]
  61. Cameron, M.; Cuyvers, L.J.; Fu, D.; Viviers, W. Identifying export opportunities for China in the ‘Belt and Road Initiative’group of countries: A decision support model approach. J. Int. Trade Law Policy 2021, 20, 101–126. [Google Scholar] [CrossRef]
  62. Chen, J.; Shi, Q.; Zhang, W. Structural path and sensitivity analysis of the CO2 emissions in the construction industry. Environ. Impact Assess. Rev. 2022, 92, 106679. [Google Scholar] [CrossRef]
  63. Dericks, G.H.; Phua, F.T. The occupational attractiveness of the built environment and the roles of individualism and collectivism: A hidden source of conflict and gender imbalance? Constr. Manag. Econ. 2020, 38, 773–788. [Google Scholar] [CrossRef]
  64. Zheng, J.; Kapoor, D. State formation and higher education (HE) policy: An analytical review of policy shifts and the internationalization of higher education (IHE) in China between 1949 and 2019. High. Educ. 2021, 81, 179–195. [Google Scholar] [CrossRef]
  65. Lordan, G.; Pischke, J.S. Does Rosie like riveting? Male and female occupational choices. Economica 2022, 89, 110–130. [Google Scholar] [CrossRef]
Figure 1. The framework of the “ISSI” model.
Figure 1. The framework of the “ISSI” model.
Water 18 00112 g001
Figure 2. Trends of MTBW and FTBW changes from 2007 to 2022.
Figure 2. Trends of MTBW and FTBW changes from 2007 to 2022.
Water 18 00112 g002
Figure 3. Socioeconomic factors’ contribution to the percentage change in MTBW and FTBW transfers across all sectors between 2007 and 2022. Note: The color gradients in the diagram denote the extent of influence of the driving variables, with each gender represented by two colors indicating positive and negative influences. For example, in MTBW, green represents promoting MTBW growth, blue represents hindering MTBW rise, and white indicates no positive or negative impact on MTBW. FTBW can be interpreted similarly.
Figure 3. Socioeconomic factors’ contribution to the percentage change in MTBW and FTBW transfers across all sectors between 2007 and 2022. Note: The color gradients in the diagram denote the extent of influence of the driving variables, with each gender represented by two colors indicating positive and negative influences. For example, in MTBW, green represents promoting MTBW growth, blue represents hindering MTBW rise, and white indicates no positive or negative impact on MTBW. FTBW can be interpreted similarly.
Water 18 00112 g003
Figure 4. Contribution of socioeconomic factors to MTBW and FTBW changes in China from 2007 to 2022. Note: (a,b) expressed as the contribution of Chinese socioeconomic factors between every two years to the changes in MTBW and FTBW between years. (c) expressed as the contribution of Chinese socioeconomic factors based on 2007 to changes in MTBW and FTBW between years. In (b), a gray circle indicates a negative value, a blue circle indicates MTBW growth, and a red circle indicates FTBW growth.
Figure 4. Contribution of socioeconomic factors to MTBW and FTBW changes in China from 2007 to 2022. Note: (a,b) expressed as the contribution of Chinese socioeconomic factors between every two years to the changes in MTBW and FTBW between years. (c) expressed as the contribution of Chinese socioeconomic factors based on 2007 to changes in MTBW and FTBW between years. In (b), a gray circle indicates a negative value, a blue circle indicates MTBW growth, and a red circle indicates FTBW growth.
Water 18 00112 g004
Figure 5. Contribution of different final demand categories to MTBW and FTBW changes in China from 2007 to 2022. Note: Ss interpreted in Figure 4, (a,b) are the final demand category between every two years in MTBW and FTBW, and (c,d) are expressed as a comparison of the final demand category based on 2007 in MTBW and FTBW.
Figure 5. Contribution of different final demand categories to MTBW and FTBW changes in China from 2007 to 2022. Note: Ss interpreted in Figure 4, (a,b) are the final demand category between every two years in MTBW and FTBW, and (c,d) are expressed as a comparison of the final demand category based on 2007 in MTBW and FTBW.
Water 18 00112 g005
Figure 6. Contribution of China’s total output to the changes in MTBW and FTBW from 2007 to 2022. Note: The difference between (a,b) and (c,d) is in the year comparison, and the interpretation is similar to that of Figure 4 and Figure 5.
Figure 6. Contribution of China’s total output to the changes in MTBW and FTBW from 2007 to 2022. Note: The difference between (a,b) and (c,d) is in the year comparison, and the interpretation is similar to that of Figure 4 and Figure 5.
Water 18 00112 g006
Figure 7. MTBW transfer of the top 30 key paths in China from 2007 to 2022. Note: The flow direction is from left to right, and the flow width denotes the magnitude of the entire change in TBW transfer. A green flow signifies a reduction in total body water (TBW), whereas a blue stream denotes an increase in the flow. This study employs “R” to delineate the paths, with first-order paths directly represented by the sector; second-order paths utilize “R2-“ as the initial sector and “R1-“ as the terminal sector; third-order paths incorporate “R3-“ as the initial sector, “R2-“ as the intermediary sector, and “R1-“ as the terminal sector. This marking technique depicts the transfer flow direction of TBW, representing the TBW transfer contribution of essential sectors, and Figure 8 can be similarly understood.
Figure 7. MTBW transfer of the top 30 key paths in China from 2007 to 2022. Note: The flow direction is from left to right, and the flow width denotes the magnitude of the entire change in TBW transfer. A green flow signifies a reduction in total body water (TBW), whereas a blue stream denotes an increase in the flow. This study employs “R” to delineate the paths, with first-order paths directly represented by the sector; second-order paths utilize “R2-“ as the initial sector and “R1-“ as the terminal sector; third-order paths incorporate “R3-“ as the initial sector, “R2-“ as the intermediary sector, and “R1-“ as the terminal sector. This marking technique depicts the transfer flow direction of TBW, representing the TBW transfer contribution of essential sectors, and Figure 8 can be similarly understood.
Water 18 00112 g007
Figure 8. FTBW transfer of the top 30 key paths in China from 2007 to 2022. Note: In Figure 8, the green stream represents a decrease in TBW, and the red stream represents an increase in the stream. The interpretation of the remaining elements is the same as in Figure 7.
Figure 8. FTBW transfer of the top 30 key paths in China from 2007 to 2022. Note: In Figure 8, the green stream represents a decrease in TBW, and the red stream represents an increase in the stream. The interpretation of the remaining elements is the same as in Figure 7.
Water 18 00112 g008
Figure 9. Imbalance index between TBW and socioeconomic factors from 2007 to 2022.
Figure 9. Imbalance index between TBW and socioeconomic factors from 2007 to 2022.
Water 18 00112 g009
Disclaimer/Publisher’s Note: The statements, opinions and data contained in all publications are solely those of the individual author(s) and contributor(s) and not of MDPI and/or the editor(s). MDPI and/or the editor(s) disclaim responsibility for any injury to people or property resulting from any ideas, methods, instructions or products referred to in the content.

Share and Cite

MDPI and ACS Style

Chen, Y.; Song, Y.; Chen, Z. Tracing the Economic Transfer and Distribution of Total Body Water: A Structural Path Decomposition Analysis of Chinese Sectors. Water 2026, 18, 112. https://doi.org/10.3390/w18010112

AMA Style

Chen Y, Song Y, Chen Z. Tracing the Economic Transfer and Distribution of Total Body Water: A Structural Path Decomposition Analysis of Chinese Sectors. Water. 2026; 18(1):112. https://doi.org/10.3390/w18010112

Chicago/Turabian Style

Chen, Yuan, Yu Song, and Zuxu Chen. 2026. "Tracing the Economic Transfer and Distribution of Total Body Water: A Structural Path Decomposition Analysis of Chinese Sectors" Water 18, no. 1: 112. https://doi.org/10.3390/w18010112

APA Style

Chen, Y., Song, Y., & Chen, Z. (2026). Tracing the Economic Transfer and Distribution of Total Body Water: A Structural Path Decomposition Analysis of Chinese Sectors. Water, 18(1), 112. https://doi.org/10.3390/w18010112

Note that from the first issue of 2016, this journal uses article numbers instead of page numbers. See further details here.

Article Metrics

Back to TopTop