Developing a Multi-Objective Optimization Scheduling Method for the Yangtze to Huaihe River Water Diversion Project Considering Lake Regulation and Storage
Abstract
1. Introduction
2. Study Area and Data
2.1. Study Area
2.2. Data
3. The Joint Optimal Operation Model of A-YHWDP
3.1. Design of Water Diversion Rules
3.2. Objectives
- (1)
- Minimizing the total pumped water
- (2)
- Minimizing the water deficit
- (3)
- Minimizing lake storage variance
3.3. Constraints
- (1)
- Water balance constraint
- (2)
- Pumping capacity constraint
- (3)
- Sluice capacity constraint
- (4)
- Lake storage constraint
- (5)
- Minimum lake levels for water diversion
3.4. Model Solving and Solution Selection
- (1)
- The decision variables are defined as the monthly pumping volumes at individual pumping stations across a 12-month operational cycle, forming the annual decision space. Population initialization is conducted under engineering constraints, producing N-dimensional solution vectors through feasibility-preserving stochastic sampling.
- (2)
- Each solution candidate is evaluated against three concurrent objective functions—(i) the total pumping volume, (ii) average water deficit ratio, and (iii) reservoir storage evenness index. Non-dominated sorting categorizes solution hierarchies based on dominance relationships.
- (3)
- High-quality chromosomes are chosen from the non-dominated set to serve as parent individuals, and offspring are generated through crossover and mutation processes.
- (4)
- The parent and offspring chromosomes are merged, and then the population is refined using a non-dominated sorting approach.
- (5)
- The aforementioned four-step process continues to be iteratively executed until the predefined iteration count is achieved.

4. Results
4.1. Pareto Solutions for the A-YHWDP
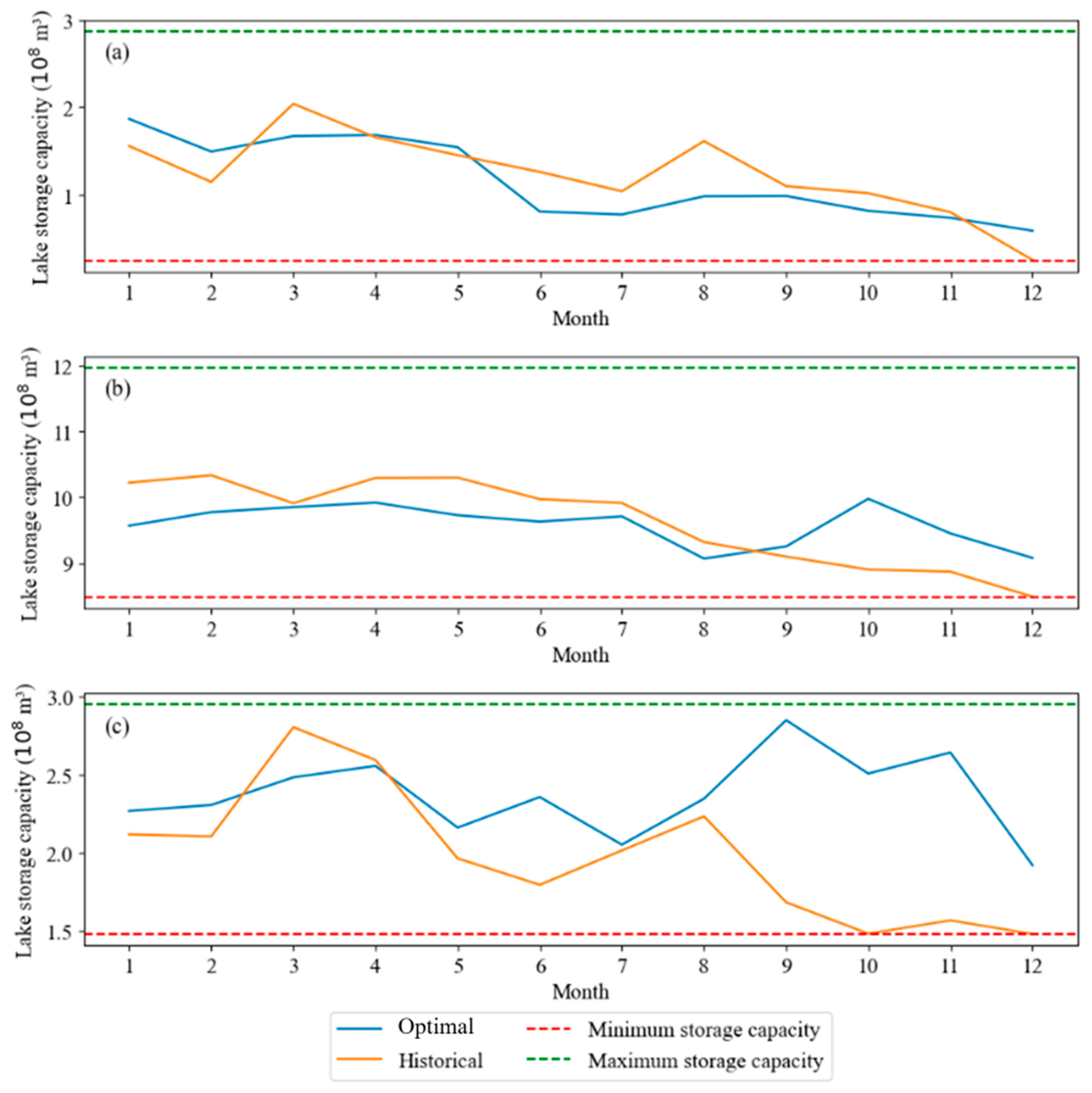
4.2. Comparison Between the Optimized Regulation Scheme and Historical Scheme
5. Discussion
6. Conclusions
- (1)
- The multi-objective optimization model introduced in this study successfully formulates joint operational guidelines for the A-YHWDP, achieving a water diversion capacity exceeding 1.9 × 109 m3 and a water supply reliability rate of 99%.
- (2)
- The joint operation rules demonstrate significant advantages over conventional operation rules. The storage capacity of lakes along the route becomes more stable, with the variance in the storage capacity of Caizi Lake, Chao Lake, and Wabu Lake decreasing by 24.8%, 76%, and 62.6%, respectively.
- (3)
- Harnessing the regulatory potential of lakes can greatly enhance the efficiency of water resource management within the A-YHWDP. Compared to conventional operation rules, the joint operation rules provide more comprehensive regulation of the natural runoff of lakes.
Author Contributions
Funding
Data Availability Statement
Conflicts of Interest
References
- Di, D.; Shi, Q.; Wu, Z.; Wang, H. Sustainable Management and Environmental Protection for Basin Water Allocation: Differential Game-based Multiobjective Programming. Water Resour. Manag. 2022, 37, 1–20. [Google Scholar] [CrossRef]
- Lin, P.; You, J.; Gan, H.; Jia, L. Rule-Based Object-Oriented Water Resource System Simulation Model for Water Allocation. Water Resour. Manag. 2020, 34, 3183–3197. [Google Scholar] [CrossRef]
- Valerio, C.; Giuliani, M.; Castelletti, A.; Garrido, A.; De Stefano, L. Multi-objective optimal design of interbasin water transfers: The Tagus-Segura aqueduct (Spain). J. Hydrol. Reg. Stud. 2023, 46, 101339. [Google Scholar] [CrossRef]
- Guo, L.; Zhu, W.; Wei, J.; Wang, L. Water demand forecasting and countermeasures across the Yellow River basin: Analysis from the perspective of water resources carrying capacity. J. Hydrol. Reg. Stud. 2022, 42, 101148. [Google Scholar] [CrossRef]
- Yan, B.; Jiang, H.; Zou, Y.; Liu, Y.; Mu, R.; Wang, H. An integrated model for optimal water resources allocation under “3 Redlines” water policy of the upper Hanjiang river basin. J. Hydrol. Reg. Stud. 2022, 42, 101167. [Google Scholar] [CrossRef]
- Li, Y.; Cui, Q.; Li, C.; Wang, X.; Cai, Y.; Cui, G.; Yang, Z. An improved multi-objective optimization model for supporting reservoir operation of China’s South-to-North Water Diversion Project. Sci. Total Environ. 2017, 575, 970–981. [Google Scholar] [CrossRef]
- Liu, Y.; Wang, M.; Webber, M.; Zhou, C.; Zhang, W. Alternative water supply solutions: China’s South-to-North-water-diversion in Jinan. J. Environ. Manag. 2020, 276, 111337. [Google Scholar] [CrossRef]
- Ouyang, S.; Qin, H.; Shao, J.; Lu, J.; Bing, J.; Wang, X.; Zhang, R. Multi-objective optimal water supply scheduling model for an inter-basin water transfer system: The South-to-North Water Diversion Middle Route Project, China. Water Supply 2020, 20, 550–564. [Google Scholar] [CrossRef]
- Li, D.; Zuo, Q.; Wu, Q.; Li, Q.; Ma, J. Achieving the tradeoffs between pollutant discharge and economic benefit of the Henan section of the South-to-North Water Diversion Project through water resources-environment system management under uncertainty. J. Clean. Prod. 2021, 321, 128857. [Google Scholar] [CrossRef]
- Zhao, S.; Liu, W.; Zhu, M.; Ma, Y.; Li, Z. A priority-based multi-objective framework for water resources diversion and allocation in the middle route of the South-to-North Water Diversion Project. Socio-Econ. Plan. Sci. 2021, 78, 101085. [Google Scholar] [CrossRef]
- Bai, X.; Li, W.; Lin, X.; Han, L.; Ming, D. Reconciling regional water diversion and urban growth policies to protect groundwater across a large urban region in China. J. Hydrol. 2022, 612, 128094. [Google Scholar] [CrossRef]
- Ming, B.; Zhong, H.; Zhang, W.; Yang, G.; Zhao, Z.; Huang, Q. Deriving operating rules for inter-basin water transfer projects incorporating a scenario reduction strategy. J. Hydrol. 2023, 624, 129854. [Google Scholar] [CrossRef]
- Fenicia, F.; Meißner, D.; McDonnell, J.J. Modeling streamflow variability at the regional scale: (2) Development of a bespoke distributed conceptual model. J. Hydrol. 2022, 605, 127286. [Google Scholar] [CrossRef]
- Zhu, F.; Zeng, Y.; Wang, Y.; Han, M.; Liu, W.; Fan, Y.; Ben, M.; Zhong, P.-A. A stochastic decision-making framework for optimal multi-objective reservoir operation accounting for the tracking of uncertainty propagation and evolution from multiple sources. J. Hydrol. 2025, 654, 132811. [Google Scholar] [CrossRef]
- Khanaum, M.M.; Qi, T.; Chu, X. Dynamic Partial Contributing Area (DPCA) approach: Improved hydrologic modeling for depression-dominated watersheds. J. Hydrol. 2025, 658, 133077. [Google Scholar] [CrossRef]
- Liu, Y.; Zheng, H.; Wan, W.; Zhao, J. Optimal operation toward energy efficiency of the long-distance water transfer project. J. Hydrol. 2023, 618, 129152. [Google Scholar] [CrossRef]
- Zhou, B.-Y.; Fang, G.-H.; Li, X.; Zhou, J.; Zhong, H.-Y. Joint optimal operation of the South-to-North Water Diversion Project considering the evenness of water deficit. Hydrol. Earth Syst. Sci. 2024, 28, 817–832. [Google Scholar] [CrossRef]
- Zhong, H.; Liao, T.; Fang, G.; Ren, K.; Zhang, S. Exploring optimal joint operating rules for large-scale inter-basin water transfer projects with multiple water sources, diversion routes, and water demand areas. J. Hydrol. Reg. Stud. 2023, 49, 101504. [Google Scholar] [CrossRef]
- Li, C.; Li, H.; Zhang, Y.; Zha, D.; Zhao, B.; Yang, S.; Zhang, B.; de Boer, W.F. Predicting hydrological impacts of the Yangtze-to-Huaihe Water Diversion Project on habitat availability for wintering waterbirds at Caizi Lake. J. Environ. Manag. 2019, 249, 109251. [Google Scholar] [CrossRef]
- An, L.; Liao, K.; Zhu, L.; Zhou, B. Influence of river-lake isolation on the water level variations of Caizi Lake, lower reach of the Yangtze River. J. Geogr. Sci. 2021, 31, 551–564. [Google Scholar] [CrossRef]
- Ding, W.; Shi, G.; Zha, H.; Miao, H.; Lu, M.; Jin, J. Ecological impacts and supply demand evolution of the Yangtze to Huaihe water transfer project in Anhui section. Sci. Rep. 2024, 14, 20311. [Google Scholar] [CrossRef]
- Wu, J.; Xu, J.; Lu, M.; Ming, H. An integrated modelling framework for optimization of the placement of grey-green-blue infrastructure to mitigate and adapt flood risk: An application to the Upper Ting River China. J. Hydrol. Reg. Stud. 2025, 57, 102156. [Google Scholar] [CrossRef]
- Jin, X.; Fang, D.; Chen, B.; Wang, H. Multiobjective layout optimization for low impact development considering its ecosystem services. Resour. Conserv. Recycl. 2024, 209, 107794. [Google Scholar] [CrossRef]
- Bahrami, M.; Talebbeydokhti, N.; Rakhshandehroo, G.; Nikoo, M.R.; Alamdari, N. Integrated Multisource Data Assimilation and NSGA-II Multiobjective Optimization Framework for Streamflow Simulations. J. Hydrol. Eng. 2024, 29, 04024040. [Google Scholar] [CrossRef]
- Wang, Y.; Guo, S.S.; Guo, P. Crop-growth-based spatially-distributed optimization model for irrigation water resource management under uncertainties and future climate change. J. Clean. Prod. 2022, 345, 131182. [Google Scholar] [CrossRef]
- Mahmoud, A.; Hu, T.; Jing, P.; Liu, Y.; Li, X.; Wang, X. Enhancing interpretability of AI models in reservoir operation simulation: Exploring and mitigating principal inconsistencies through theory-guided multi-objective artificial neural networks. J. Hydrol. 2024, 639, 131618. [Google Scholar] [CrossRef]
- Han, Q.; Xue, L.; Liu, Y.; Yang, M.; Chu, X.; Liu, S. Developing a multi-objective simulation-optimization model for ecological water conveyance in arid inland river basins. J. Hydrol. Reg. Stud. 2023, 50, 101551. [Google Scholar] [CrossRef]
- Mujumdar, P.P.; Nirmala, B. A bayesian stochastic optimization model for a multi-reservoir hydropower system. Water Resour. Manag. 2007, 21, 1465–1485. [Google Scholar] [CrossRef]
- Abdulbaki, D.; Al-Hindi, M.; Yassine, A.; Abou Najm, M. An optimization model for the allocation of water resources. J. Clean. Prod. 2017, 164, 994–1006. [Google Scholar] [CrossRef]
- Mousavi, S.J.; Anzab, N.R.; Asl-Rousta, B.; Kim, J.H. Multi-Objective Optimization-Simulation for Reliability-Based Inter-Basin Water Allocation. Water Resour. Manag. 2017, 31, 3445–3464. [Google Scholar] [CrossRef]
- Long, Y.; Liu, Y.; Zhao, T.; Zhang, Z.; Lei, X.; Yang, Y. Optimal allocation of water resources in the middle route of south-to-north water diversion project based on multi-regional input-output model. J. Hydrol. 2024, 637, 131381. [Google Scholar] [CrossRef]
- Zhang, S.; Wen, X.; Zhang, R.; Miao, W.; Gan, Z. An optimal allocation model based on the regional ecological water requirements and multi-water supply characteristics: A case study of Shandong Province, China. J. Hydrol. Reg. Stud. 2023, 49, 101513. [Google Scholar] [CrossRef]
- Anderson, O.; Harrison, A.; Heumann, B.; Godwin, C.; Uzarski, D. The influence of extreme water levels on coastal wetland extent across the Laurentian Great Lakes. Sci. Total Environ. 2023, 885, 163755. [Google Scholar] [CrossRef] [PubMed]
- Hou, P.; Weidman, R.P.; Liu, Q.; Li, H.; Duan, L.; Zhang, X.; Liu, F.; Gao, Y.; Xu, J.; Li, H.; et al. Recent water-level fluctuations, future trends and their eco-environmental impacts on Lake Qinghai. J. Environ. Manag. 2023, 333, 117461. [Google Scholar] [CrossRef]
- Li, X.; Hu, B.; Qi, S.; Luo, J. The Influence of Short-Term Water Level Fluctuations on the Habitat Response and Ecological Fragility of Siberian Cranes in Poyang Lake, China. Remote Sens. 2024, 16, 4431. [Google Scholar] [CrossRef]






| Month | Caizi Lake | Chao Lake | Wabu Lake | |||
|---|---|---|---|---|---|---|
| Upper Limit Water Level | Lower Limit Water Level | Upper Limit Water Level | Lower Limit Water Level | Upper Limit Water Level | Lower Limit Water Level | |
| 1 | 9.1 | 7.1 | 7.1 | 6.6 | 18.4 | 17.4 |
| 2 | 9.1 | 7.1 | 7.1 | 6.6 | 18.4 | 17.4 |
| 3 | 9.1 | 7.1 | 7.1 | 6.6 | 18.4 | 17.4 |
| 4 | 9.1 | 7.1 | 7.1 | 6.6 | 18.4 | 17.4 |
| 5 | 9.1 | 7.1 | 6.6 | 6.6 | 18.4 | 17.4 |
| 6 | 9.1 | 7.1 | 6.6 | 6.1 | 18.4 | 17.4 |
| 7 | 9.1 | 7.1 | 6.6 | 6.1 | 18.4 | 17.4 |
| 8 | 9.1 | 7.1 | 6.6 | 6.1 | 18.4 | 17.4 |
| 9 | 9.1 | 7.1 | 6.6 | 6.6 | 18.4 | 17.4 |
| 10 | 9.1 | 7.1 | 7.1 | 6.6 | 18.4 | 17.4 |
| 11 | 9.1 | 7.1 | 7.1 | 6.6 | 18.4 | 17.4 |
| 12 | 9.1 | 7.1 | 7.1 | 6.6 | 18.4 | 17.4 |
| Objective Function | Unit | Value |
|---|---|---|
| Total pumped water | 109 m3 | 1.84 |
| Total water deficit | % | 4.46 |
| Storage capacity variance | 1015 | 1.06 |
| Lake | Historical | Optimal | Decrement |
|---|---|---|---|
| Caizi Lake | 20.8 | 15.6 | 24.8% |
| Chao Lake | 40.1 | 9.6 | 76.0% |
| Wabu Lake | 17.6 | 6.6 | 62.6% |
Disclaimer/Publisher’s Note: The statements, opinions and data contained in all publications are solely those of the individual author(s) and contributor(s) and not of MDPI and/or the editor(s). MDPI and/or the editor(s) disclaim responsibility for any injury to people or property resulting from any ideas, methods, instructions or products referred to in the content. |
© 2025 by the authors. Licensee MDPI, Basel, Switzerland. This article is an open access article distributed under the terms and conditions of the Creative Commons Attribution (CC BY) license (https://creativecommons.org/licenses/by/4.0/).
Share and Cite
Qi, X.; Han, Q.; Li, B.; Chen, X.; Guo, Z.; Ou, Y.; Wang, D. Developing a Multi-Objective Optimization Scheduling Method for the Yangtze to Huaihe River Water Diversion Project Considering Lake Regulation and Storage. Water 2025, 17, 1286. https://doi.org/10.3390/w17091286
Qi X, Han Q, Li B, Chen X, Guo Z, Ou Y, Wang D. Developing a Multi-Objective Optimization Scheduling Method for the Yangtze to Huaihe River Water Diversion Project Considering Lake Regulation and Storage. Water. 2025; 17(9):1286. https://doi.org/10.3390/w17091286
Chicago/Turabian StyleQi, Xiaoming, Qiang Han, Bowen Li, Xuebao Chen, Zhiyang Guo, Yuanchao Ou, and Dejian Wang. 2025. "Developing a Multi-Objective Optimization Scheduling Method for the Yangtze to Huaihe River Water Diversion Project Considering Lake Regulation and Storage" Water 17, no. 9: 1286. https://doi.org/10.3390/w17091286
APA StyleQi, X., Han, Q., Li, B., Chen, X., Guo, Z., Ou, Y., & Wang, D. (2025). Developing a Multi-Objective Optimization Scheduling Method for the Yangtze to Huaihe River Water Diversion Project Considering Lake Regulation and Storage. Water, 17(9), 1286. https://doi.org/10.3390/w17091286

