Abstract
This study investigates the mechanisms controlling multiphase landslide reactivation at red soil–sandstone interfaces in subtropical climates, focusing on the Eastern Pearl River Estuary. A significant landslide in September 2022, triggered by intense rainfall and human activities, was analyzed through field investigations, UAV photogrammetry, and geotechnical monitoring. Our results demonstrate that landslide evolution is governed by the interplay of geological, hydrological, and anthropogenic factors. Key findings reveal that landslide boundaries are constrained by fractures at the northern trailing edge and granite outcrops in the south, with deformation progressing from trailing to leading edges, indicative of a creep-traction failure mode. Although the landslide is stabilizing, ongoing deformations suggest disrupted stress equilibrium, emphasizing the risks of future reactivation. This work advances the understanding of progressive landslide dynamics at soil–rock interfaces and provides critical insights for risk mitigation in subtropical regions.
1. Introduction
The Eastern Pearl River Estuary is a region prone to landslides due to its complex geological conditions and subtropical climate [1,2,3]. The area is characterized by significant variations in groundwater levels, making it highly susceptible to the combined effects of rainfall, fluvial erosion, and anthropogenic activities, which collectively contribute to multiphase landslide reactivation [4,5]. The widespread presence of red soil and sandstone, with an unconsolidated stratigraphic structure, forms the geological basis for landslide occurrence [6]. The red soil, prone to softening and disintegration upon water exposure, and the rigid sandstone substrate create a critical interface for slope instability [7,8]. Rainfall, a primary trigger, significantly impacts this interface by infiltrating the soil, eroding the slip zone, and reducing shear strength [9,10]. Human activities, such as road excavation and slope cutting, further destabilize the slopes by altering stress balances and increasing downward sliding forces [11].
The multiphase reactivation of landslides at the red soil–sandstone interface is influenced by a combination of natural and anthropogenic factors [12,13,14,15]. Notably, the unique geological characteristics of laterite–sandstone interfaces in subtropical regions, such as high clay content, intense weathering cycles, and contrasting permeability between soil and bedrock, create distinct failure mechanisms compared to landslides in other lithological settings [16]. For instance, studies in southern China’s Guangdong and Guangxi provinces have demonstrated that the low shear strength and high water sensitivity of lateritic soils, coupled with the rigid sandstone substrate, result in preferential sliding along the interface during prolonged rainfall [17,18]. Similarly, research in Southeast Asia’s subtropical laterite zones highlights how cyclic wetting–drying processes exacerbate interface weakening, leading to progressive retrogressive failures [19].
Key case studies of global rainfall-induced landslides, including subtropical laterite–sandstone interface events, are further summarized, highlighting their mechanisms and magnitude. The 1978 Waipara River landslide in New Zealand was reactivated by drought-rainfall cycles, which increased permeability and weakened the weathered layer [20]. In contrast, the 2020 landslide in Guangxi, China, specifically attributed to the red soil–sandstone interface, exhibited rapid pore pressure buildup and interface liquefaction due to the high hydraulic contrast between the two layers [21]. Similarly, the 2008 Zhenggang paleolandslide on the Tibetan Plateau was triggered by persistent rainfall, with clay-rich soils contributing to its plasticity and mobility [22]. These examples underscore the universal role of moisture in landslide reactivation while emphasizing the unique vulnerability of red soil–sandstone interfaces in subtropical climates, where water exposure leads to accelerated softening, disintegration, and interface shear strength reduction [7]. This notion has been corroborated by various methodologies in multiple studies [23,24,25,26]. The landslide’s stress history critically controls its stability, as evidenced by the length of sliding time and stability time. A natural water channel formed on the soil-rock interface can facilitate the revival of the ancient landslide by enhancing the infiltration of water and weakening the interface [27,28]. Along the Pearl River Estuary, the risk of landslide revival is exacerbated by the interplay of heavy rainfall and human activities, necessitating a deeper understanding of the underlying mechanisms for effective mitigation [29].
Our research focuses on three aspects: (1) investigating the triggering mechanisms of landslides, especially the impact of rainfall patterns and human disturbances; (2) accurately delineating landslide boundaries and characterizing sliding surfaces using advanced geotechnical methods; (3) developing scientific mitigation strategies for similar landslide-prone regions in subtropical environments. By using historical image data from Google Earth, UAV—captured imagery, and comprehensive field survey data—we comprehensively analyze the historical evolution, geotectonic features, and damage patterns of landslides at the red soil–sandstone interface. This study provides a comprehensive analysis of landslide reactivation mechanisms in subtropical climates, with a focus on the unique interaction at the red soil–sandstone interface, and offers valuable insights for landslide risk assessment and mitigation in similar regions.
2. Study Location
In September 2022, an illustrative instance of a red soil–sandstone interface landslide occurred along the eastern shore of the Pearl River Estuary. Analysis of satellite imagery revealed the substantial scale of this event (Figure 1), with dimensions spanning approximately 205 m in length, 200 m in width, and an average thickness of 18 m, amounting to an estimated total volume of 4.37 × 105 m3. This landslide was caused by the interaction of stratigraphic lithology, geological structure, groundwater dynamics, and road rift excavation. Inherent stratigraphy and geology are the internal basis for landslides, while external factors like rainfall, groundwater activity, and road-graben excavation contribute to instability. Periodic rainfall and groundwater infiltration erode and soften the slip zone, reducing the landslide’s physical stability. Road cut–slope excavation weakens the shear strength of the soil in the slip zone, increasing the landslide risk. When the downward sliding force exceeds the cohesive and frictional resistances of the slip surface, a landslide is triggered.
Figure 1.
Location map of our study area. (a) Location and (b) geological setting of the red soil–bedrock interface landslides. In b, the stratigraphic lithologies are represented by different colors. The main ones are Quaternary Q, Lower Jurassic J1, Lower Carboniferous C1, Middle and Lower Devonian D1–2, Upper Devonian D3, and Yanshan-age granitoids (γy3, λπy).
The red soil–sandstone interface landslide is situated in a village and town located at 114°23′25″ E, 23°32′26″ N on the eastern coastline of the Pearl River Estuary (Figure 1a,b). The region boasts a predominantly hilly terrain characterized by pronounced relief, with slope elevations ranging from approximately 131 to 180 m and natural slope angles reaching 38°. Groundwater availability in this area is constrained, whereas surface water primarily originates from atmospheric precipitation, which converges along the valleys to form seasonal runoff. The stratigraphy surrounding the landslide is intricate and varied, encompassing Quaternary (Q), Lower Jurassic (J1), Lower Carboniferous (C1), Middle and Lower Devonian (D1–2), Upper Devonian (D3), and Yanshanian granite (γy3, λπy) formations (Figure 1b). Field investigations have revealed that the slope primarily comprises Quaternary slope residual chalky clay, sandstone from the upper Devonian Tianziling Formation (D3tb), tuff and dissolved tuff from the lower Tianziling Formation (D3ta, with local cave occurrences), and sandstone belonging to the Tiger’s Head Formation (D2l), along with their respective weathering layers. Notably, the exposed sandstone margins of the landslide exhibit a widespread distribution of unloading fractures intersected by multiple joints and fissure sets. Among these, cis-joints and laminations pose a significant threat to slope stability (Figure 1b).
The study area displays a characteristic tropical monsoon climate, featuring a stable mean annual temperature of 21.5 °C and annual precipitation of 2000.0 mm, predominantly concentrated during the months of April to September when frequent episodes of heavy rainfall occur. Extreme precipitation events were recorded in the area, with a maximum daily rainfall of 285.0 mm. In June 2005, a rainfall station situated approximately 7.5 km northeast of the region registered a peak 24-h rainfall of 273.9 mm and a 72-h total of 589.1 mm. Another significant rainfall event was observed in June 2020, with a maximum 48-h rainfall of 430.0 mm, which resulted in severe flooding that compelled over 3800 residents to evacuate urgently, as reported by the Boro County Office of the People’s Government in 2023. Further analysis revealed that while the intensity of individual extreme rainfall events decreased between June and August 2022, with a maximum 24-h rainfall of 86.0 mm, the cumulative rainfall for September surpassed 1150.0 mm. This sustained accumulation of heavy precipitation ultimately contributed to the reactivation of landslides at the red soil–sandstone interface (Figure 2). Prolonged and intense precipitation patterns were identified as the primary triggers for the revival of these landslides.
Figure 2.
Daily and cumulative rainfall was observed from 1 June 2022 to 30 September 2022 in Gongzhuang. Data from the National Center for Environmental Information under the National Oceanic and Atmospheric Administration (https://www.ncei.noaa.gov/data/global-summary-of-the-day/archive/ (accessed on 27 March 2024)).
The delay in landslide occurrence under rainfall in the study area is due to the cumulative effect of long-term and intense precipitation. Although the intensity of individual extreme rainfall events decreased from June to August 2022, the cumulative rainfall in September significantly contributed to landslide reactivation. This delay shows the importance of cumulative precipitation, which saturates the soil and weakens slope stability over time, eventually triggering landslides. The complex stratigraphy and numerous unloading fractures intersected by joints make the slopes more vulnerable to reactivation, even after periods of stability.
3. Methodology
3.1. Field and Laboratory Investigations
A multidisciplinary approach was employed, including field surveys, UAV photogrammetry, and laboratory analyses. UAV photogrammetry was used to capture high-resolution images of the landslide area, while field surveys focused on identifying fractures, joint sets, and sliding surfaces.
Laboratory analyses included direct shear tests and consolidation tests on silty clay and fully weathered sandstone samples. Direct shear tests were conducted under rapid loading conditions to determine the cohesion (c) and internal friction angle (φ), while consolidation tests were performed to evaluate the compression coefficient (av) and compression modulus (Es). These parameters are critical for understanding the shear resistance and compressibility of the materials at the red soil–sandstone interface.
3.2. Methodology of Random Forest Model
To further analyze and ascertain the rainfall threshold for landslide occurrence, the random forest (RF) algorithm was selected due to its superior capability in handling nonlinear relationships, robustness to data noise, and provision of feature importance metrics [30,31]. In this model, rainfall characteristic parameters served as the independent variables, while the probability of landslide occurrence was designated as the dependent variable. The RF algorithm was preferred over other methods (e.g., logistic regression, SVMs) for several reasons: (1) its ensemble approach reduces overfitting common in single decision trees; (2) it efficiently handles high-dimensional data without requiring complex feature engineering; and (3) it quantifies the contribution of each rainfall parameter to landslide probability, enhancing interpretability [32]. This approach was employed to gain deeper insights into the mechanisms controlling multiphase landslide reactivation at red soil–sandstone interfaces within the subtropical climate context of the Eastern Pearl River Estuary. The main steps are as follows:
- (1)
- Data collection and organization. Landslide and rainfall data are collected, and the collected data are cleaned to remove abnormal values, missing values, etc., to ensure the accuracy and reliability of the data. The rainfall data and landslide data are organized in chronological order to facilitate subsequent analysis.
- (2)
- Feature extraction. Extract the characteristic parameters that may be related to the occurrence of landslides, such as daily rainfall, cumulative rainfall, etc., from the rainfall data.
- (3)
- Model building. Input independent variables, including at different time scales, such as daily rainfall, cumulative rainfall in the previous period, and so on. The output-dependent variable, the probability of landslide occurrence, is the main result of the model output, indicating the possibility of landslide occurrence under the given rainfall conditions. A random forest algorithm is chosen to establish the relationship between inputs and outputs. The collected historical rainfall data and landslide data were used to train and validate the model.
- (4)
- Model Validation. The five-fold cross-validation of the model was performed using multiple independent datasets (data cut-off 9:1) to assess its predictive and generalization abilities. Based on the validation results, the multiset model was optimized and adjusted to improve its accuracy and usefulness.
- (5)
- Determination of rainfall thresholds. The interval of the cumulative rainfall in the previous period under the probability of rainfall occurrence obtained from the training results of multiple models is used as the rainfall threshold for landslide occurrence.
4. Results and Discussion
4.1. Evolutionary History of Multi-Stage Revival of Landslides
Reinforcement strategies varied by slope level (Table 1, Figure 3); upper slopes (Levels 1–2) used anchored structures (beams/cables), mid-slopes (Levels 3–4) combined cables with vegetation, and the base (Level 5) relied on grass planting. This tiered design failed to prevent interface sliding due to inadequate drainage and delayed saturation effects. Despite progressive reinforcement upgrades (Figure 3), recurrent landslides highlighted the critical role of the red soil–sandstone interface as a preferential failure plane, exacerbated by seasonal rainfall (Figure 4).
Table 1.
Evolutionary history of red soil–bedrock interface landslides.
Figure 3.
Construction design changes and landslide resurrection of red soil–bedrock interface landslides.
Figure 4.
Relationship between the time of landslide occurrence, the size of the landslide, and cumulative rainfall.
- (1)
- Characterization of the first landslide
Heavy rainfall in June 2017 saturated the red soil (K903+150–K903+275), rapidly reducing shear strength and triggering a landslide. On-site inspection showed that the longest crack extended about 40 m in a sinuous pattern, with the widest point reaching 0.2 m, cutting through the soil layers. Vertical displacement reached 1.5 m, forming a step-like depression with loose, chaotic soil.
- (2)
- Characterization of the second landslide and the first construction change
In the first half of December 2017, continuous heavy rain hit the already vulnerable slope from K903+240 to K903+290. A 5 m high displaced platform was observed 17 m from the slope crest. The pre-existing tension cracks at the slope top widened significantly, with new cracks radiating outwards. The slope surface bulged and deformed visibly, and the upper-layer soil began to slide gradually, threatening the stability of the entire slope section.
A retaining wall (③, K903+244–286) was constructed to resist sliding forces, matching the landslide depth (Figure 3). At the second-level slope, anchor lattice girders were installed to enhance the soil–rock mass integrity. At the third and fourth levels, anchor cable frame girders (④, ⑤) were used to reinforce the slope, improving its overall stability.
- (3)
- Characterization of the third landslide and second construction changes
In April 2018, a landslide occurred in the K903+073–K903+103 section. The landslide mass presented a characteristic armchair shape, with a 3-m-high displaced platform above the slope crest. The first-grade slope bulged and slid downward, with small cracks indicating ongoing landslide development.
A second revision installed a retaining wall (③, K903+073–103) at the slope base to enhance stability (Figure 3). On the secondary slope, a composite safeguarding approach was employed, integrating anchored cable frame beams (②) with 3D mesh grass planting (①). This composite measure aims to enhance the protective capacity of the slopes and facilitate ecological restoration.
- (4)
- Characterization of the fourth landslide and its relationship with rainfall
The 2022 landslide event was analyzed using UAV photogrammetry and field data. Our results indicate that the landslide was triggered by a combination of intense rainfall and human activities, with the red soil–sandstone interface acting as a critical failure plane. This case exemplifies the prototypical sliding behavior observed at the interface between the red clay and sandstone, featuring a distinctly delineated sliding surface separating the underlying fully to strongly weathered sandstone from the overlying red and pink clay (Figure 3). During construction-related excavations, the original stratigraphic profile was exposed in certain landslide sections, revealing a rock dip angle ranging from approximately 60° to 80° and a strike angle from 25° to 36°. Notably, the right-side slope of the landslide exhibited a smooth layered structure.
The landslide morphology closely resembles a rimmed chair composed primarily of silty clay and fully/strongly weathered siltstone. Beneath the weathered layer lies a moderately to slightly weathered tuff layer, which functions as a barrier to water penetration. Conversely, the overlying weathered layer became a critical zone for water accumulation and oversaturation. Following intense rainfall events, these conditions converged to create a zone of weakness adjacent to the roadbed, ultimately triggering a landslide. Post-landslide observations revealed newly formed, clearly visible free surfaces and brittle fractures accompanied by a slight displacement of the upper, unstable red soil body, suggesting a potential risk of further degradation in the future.
By amalgamating high-resolution geological maps, drone-captured orthophotography, and meticulous site survey results, it was deduced that the 2022 landslide event at the red soil–sandstone interfaces in the subtropical climate of the Eastern Pearl River Estuary was precipitated by rainfall infiltration along a network of distinct fractures. These fractures include a longitudinal crack (designated as crack 1) located along the outer slope crest, tensile cracks (2–6) positioned centrally, and shear crack 7, as shown in Figure 6. These cracks served as conduits, facilitating the ingress of rainwater into the slope. The differential permeability between the red powdery clay and sandstone-granite strata exacerbated liquefaction. Specifically, red powdery clay, with its low shear strength, high water absorption capacity, and often soft-plastic state, served as an efficient water conduit within the slope. Conversely, the water-holding capacities of sandstone and granite intensified slope erosion and diminished the overall shear resistance. Notably, the landslide occurred approximately one month after a prolonged period of intense rainfall from June to August (i.e., September), underscoring the delayed effects of rainfall infiltration and pore pressure build-up, as depicted in Figure 2. These observations provide crucial insights into the underlying landslide mechanisms. The delayed failure observed in September 2022 aligns with infiltration dynamics in unsaturated soils. Prolonged rainfall gradually saturates the vadose zone, reducing matric suction and weakening the soil structure. As suction dissipates, effective stress decreases, ultimately triggering failure. This delayed response is consistent with studies on unsaturated slopes [33].
Rainfall-induced landslides exhibit pronounced lag patterns, often manifesting shortly after intense or prolonged rainfall events. The duration of this lag is intricately tied to the geological composition, internal structure of the landslide mass, and magnitude of rainfall [34]. In general, the less consolidated the landslide material, the more pronounced the fractures; the greater the precipitation, the shorter the lag time. To investigate this phenomenon, cumulative rainfall data spanning three months preceding each landslide event, as per [35], were analyzed. Subsequently, the relationship between the timing and size of the landslides and the accumulated rainfall was mapped, as illustrated in Figure 4, providing insights into the mechanisms controlling multiphase landslide reactivation at red soil–sandstone interfaces in the subtropical climate of the Eastern Pearl River Estuary. Our analysis revealed a distinct positive correlation between landslide size and rainfall, echoing previous research findings [36,37], thereby reinforcing the pivotal role of rainfall in determining the scale of landslide events.
4.2. Random Forest Model Outcomes
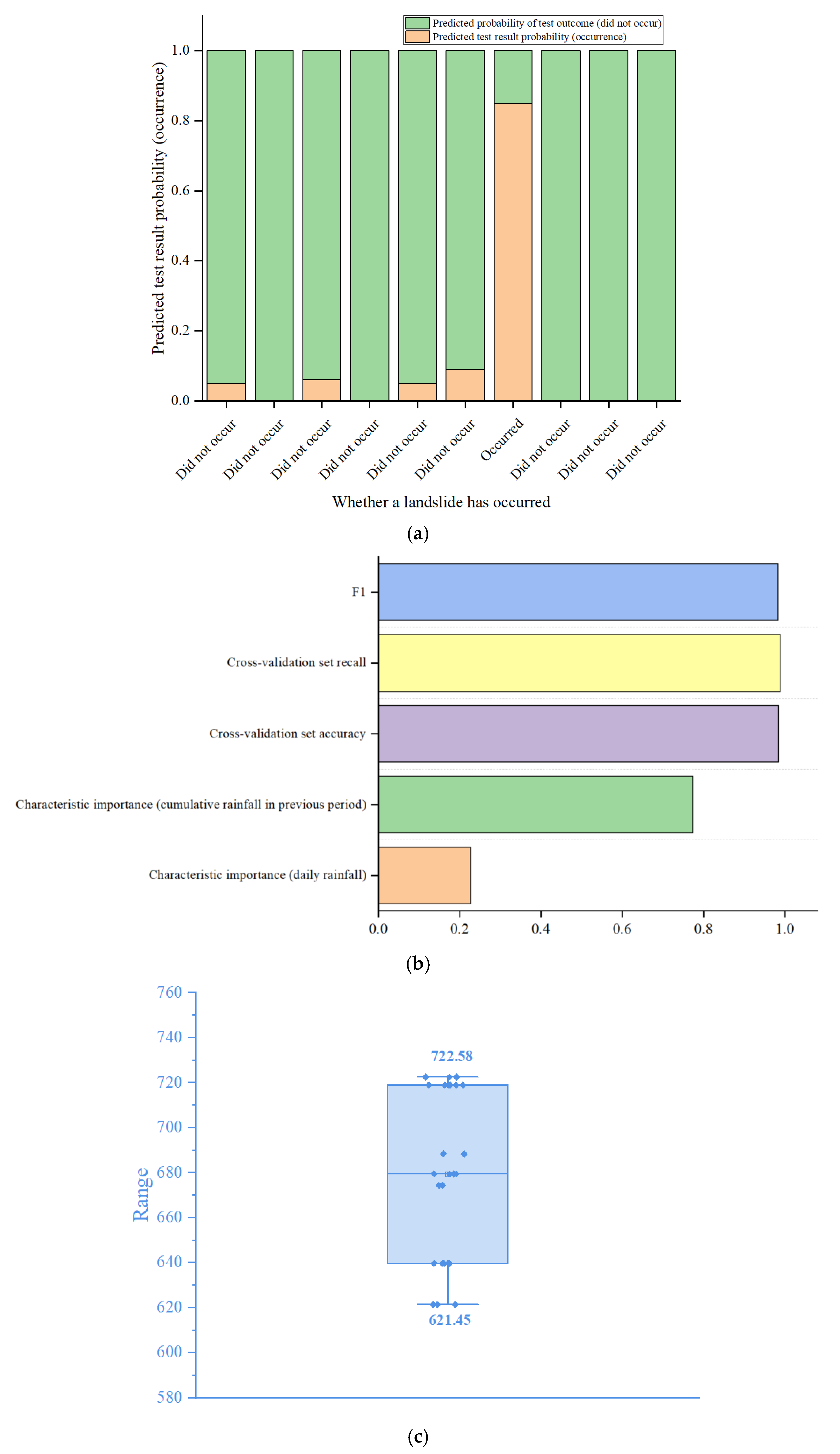
The prediction results and accuracy of one of the selected sets of models are shown in Figure 5.
Figure 5.
Model prediction results and accuracy. (a) Prediction results; (b) Prediction precision; (c) Rainfall threshold (interval). Note: F1 is the reconciled average of precision and recall.
The model identified a critical 150 mm cumulative rainfall threshold (3-month window) for landslide reactivation (Figure 5c), providing a quantitative basis for early warning systems. The Random Forest model achieved exceptional performance (F1 = 0.983, Accuracy = 98.4%), demonstrating its capability to capture rainfall landslide thresholds in subtropical interfaces.
In summary, Random Forest performs very well on this dataset with high precision, high recall, and a balanced F1 score. All these metrics indicate that the model has good generalization ability and stability and can accurately classify unknown samples.
4.3. The Role of the Red Soil–Sandstone Interface in Influencing Successive Landslides
4.3.1. Landslide Perimeter Determination
We delineated the landslide perimeter and dimensions using a systematic approach.
The northern boundary of the landslide was inferred by scrutinizing the propagation directions of the post-extension cracks, borehole deformation synergies, and diagonal patterns of the slope gully cracks (Figure 6).
Figure 6.
Photographs showing details of the red soil–bedrock interface landslides.
To identify the southern boundary of the landslide, a comprehensive analysis was conducted using the propagation trend of cracks on the left flank, orientation of the slip surface, deformation congruencies among adjacent monitoring boreholes, general slope deformation trend, and geological context of the exposed granite outcrops (Figure 6). Based on the assessment, the southern boundary was traced along the periphery of the intrusive granite zone.
Landslide dimensions (205 m × 200 m × 18 m) and volume (4.37 × 10⁵ m3) were quantified through integrated UAV mapping and crack pattern analysis (Figure 6).
4.3.2. Sliding Surface Determination
The determination of the sliding surface involved several key steps:
Analysis of the line-and-rock layer relationship. The study area’s line direction (192°) contrasted with the road slope direction (102°). The rock layer yield, ranging from 60° to 80° with dips of 25–36°, displayed a small-angle intersection with the slope direction. Field measurements confirmed a structural surface dip of 60° and inclination of 24°, highlighting this intersection.
Integrated site observations and physical exploration. A thorough site investigation was conducted by combining physical exploration data and borehole insights. Significant cracks were observed in the soil body approximately 112 m from the crest of the slope, with widths ranging from 10 to 20 cm. These cracks were devoid of fillers and featured green moss adhering to their fractured sections, indicating angular characteristics (Figure 7b–e). These features collectively indicate that cracks are the primary sites of post-landslide extension.
Figure 7.
Photographs showing catastrophic damage due to the red soil–bedrock interface landslides. (a) Post-landslide status. (b) Longitudinal cracks 1. (c) Tension cracks 2. (d) Shear crack 7. (e) Cracked platform gutter. (f) Oblique fracture of anchor cable beam. (g) Anchor cable 1 failure. (h) Internal shrinkage of anchor cables.
Comprehensive assessment of landslide surface location. Slope bulging and anchor beam fractures indicated the shear exit of the sliding surface. Through the synthesis of the shear exit position and the crack distribution patterns observed at the trailing edge, the precise location of the landslide surface was determined, as illustrated in Figure 6. Therefore, this analysis clarifies the mechanisms controlling multiphase landslide reactivation at red soil–sandstone interfaces in subtropical climates, particularly in the context of the Eastern Pearl River Estuary case study.
4.3.3. Interaction and Traction Relationship Between Landslide #1 and Landslide #2
Displacement rates (ZK9: 0.10 mm/d vs. ZK6: 0.05 mm/d) and sequential crack propagation (Figure 7b–d) confirmed that Landslide #1 triggered #2 through stress redistribution and traction effects.
Landslide #1 during the deformation process, which preceded Landslide #2. The displacement of Landslide #1 and crack propagation established a crucial surface, subsequently decreasing the slope stability and predisposing the slope to Landslide #2. Ultimately, the combined effects of external stimuli, including road excavation and intense rainfall, triggered Landslide #2. Landslide #1 acted as a traction mechanism triggering Landslide #2.
4.4. Mechanisms of Landslide Genesis at the Red Soil–Sandstone Interface
4.4.1. Mechanical Properties of Red Soil and Sandstone
Laboratory characterization of the soil properties revealed significant differences between the silty clay and fully weathered sandstone. Silty clay’s low cohesion (15.1–24.3 kPa) and high compressibility (av = 0.310–0.949 MPa−1) contrasted with sandstone’s rigidity (Es = 2.79–4.12 MPa), creating interfacial stress concentrations (Table 2). These findings highlight the complex mechanical behavior at soil interfaces, where the silty clay’s broad parameter ranges and elevated compressibility may create localized weak zones susceptible to hydro-mechanical weakening during rainfall events.
Table 2.
Mechanical parameters of silty clay and fully weathered sandstone.
The low cohesion and high compressibility of silty clay (Table 2) facilitate the rapid weakening of the interface under rainfall infiltration, while the rigid sandstone substrate (with higher Es) promotes stress concentration, accelerating shear failure.
4.4.2. Characteristics of the Red Soil–Sandstone Interface
To confirm the landslide type as interfacial, a rigorous analysis of the characteristics of the sliding surface and its relationship with the structural surface of the geotechnical body was conducted. The analysis integrated multifaceted evidence, including geological background, deformation patterns, and historical records, to form a comprehensive judgment.
Sliding Surface Characteristics
The sliding surface lies between weathered sandstone and red clay, with a steep rise and gradual descent. This topography is typical of interfacial landslides (Figure 8).
Figure 8.
Onsite survey photos of sliding surface and structural surface. (a) Interface drilling core rock mass (upper layer red soil, lower layer sandstone). (b) Bedrock occurrence point.
Physical investigations, borehole data, and on-site observations revealed that the cracks on the slope were extensive and unfilled, whereas the soil exhibited green moss coverage, which was directly correlated with the presence of the sliding surface (Figure 7).
The distribution, morphology, and orientation of the cracks provided precise indications of the location and nature of the sliding surface. Slope bulging and anchor beam fractures further confirmed the sliding surface.
Exploration of structural surface relationships in geotechnical bodies
Rock layer orientation (60–80° ∠ 25–36°) intersected narrowly with the slope, increasing instability risk. Field surveys confirmed prominent structural planes of 80° ∠ 36° and 60° ∠ 25° (Figure 8), emphasizing the presence of a weak structural interface within the geotechnical mass that is susceptible to acting as a sliding surface. Notably, the rock layer, characterized by low strength, is prone to shearing and the development of sliding surfaces during landslide events.
Comprehensive analysis of the geological background, deformation characteristics, and historical data.
The geological profile of the east coast of the Pearl River Estuary is characterized by the prevalence of red clay and sandstone, as reported by [38]. This region boasts an intricate geological backdrop featuring unconsolidated Quaternary soil layers overlain with fully to strongly weathered sandstone and granite strata. Such a configuration fosters conditions conducive to landslide occurrences. Notably, the low shear strength and high hygroscopicity of red clay facilitate the development of water percolation paths during rainfall events, thereby augmenting slope erosion and compromising slope stability.
Field assessments and UAV monitoring revealed pronounced landslide deformation, marked topographic gradient alterations, and extensive dissemination of cracks with intricate geometries. These indicators collectively suggest the presence of interfacial landslide dynamics. Furthermore, historical records underscore the frequent correlations between landslide events and external triggers, such as rainfall and excavation activities. Subsequent to the 2022 landslide incident, UAV-based photogrammetry and on-site inspections pinpointed the sliding plane precisely at the red soil–sandstone interface.
In conclusion, a meticulous synthesis of the unequivocal identification of the sliding surface and its intimate association with the structural interface of the geotechnical body, along with corroborative evidence from landslide deformation patterns, geological settings, and historical precedents, affirms the classification of this landslide as an interfacial landslide.
4.4.3. Landslide Causes Analysis
The investigation of the September 2022 landslide at the red soil–sandstone interface revealed crucial endogenous and exogenous factors contributing to its occurrence through complex interactions.
- (1)
- Endogenous causes
- ①
- Stratigraphic lithology
The geological structure exhibits complex joint networks with fracture density exceeding 15 fractures/m3 (Figure 9). This discontinuity system reduces the intact rock mass strength by 40–60% based on Hoek-Brown criterion calculations. The lithological contrast between permeable sandstone and impermeable red clay creates a natural aquitard, establishing preferential pathways for groundwater seepage.
Figure 9.
Schematic diagram of the principle of landslide formation.
- ②
- Geomorphological Vulnerability
The geological structure in the landslide area is complex, with well-developed joints, fractures, and possible faults. This complexity reduces the overall strength of the rock mass. Under the influence of external forces, the rock is more likely to deform and be damaged, thus increasing the risk of landslides. The natural slope and irregular terrain surface in this region are conducive to rainwater accumulation and infiltration, further aggravating the instability of the slope.
- (2)
- External causes
- ①
- Rainfall
Rainfall infiltration reduces matric suction (ψ) in unsaturated red soil, lowering shear strength (τ) as described by the extended Mohr-Coulomb criterion (). Where (ua−uw) represents matric suction. Saturation eliminates suction, destabilizing the interface [39]. Post-rainfall failures occur as suction loss propagates downward, reaching critical depths.
- ②
- Groundwater dynamics
Red clay porosity and dissolved tuff promoted groundwater infiltration and flow paths (Figure 9). This softened the sliding zone and diminished its shear resistance.
Rising groundwater levels increased hydrostatic pressure, exerting an upward buoyancy force on the sliding mass and augmenting the pore water pressure within the sliding zone. This decrease in effective stress accelerated the landslide progression.
- ③
- Human interventions
Road excavation. Artificial excavation for road construction disrupted the original stability of a slope, creating a shear zone and diminishing its overall stability. Moreover, excavation-induced vibrations and stress redistribution may have accelerated the occurrence of landslides.
Inadequate drainage. Deficiencies in the drainage system hindered the timely evacuation of rainwater, leading to increased soil weight and pore water pressure and exacerbating the risk of slope failure.
- (3)
- Multi-Factor Coupling Mechanism
- ①
- Hydro-Mechanical Feedback
The landslide initiation resulted from nonlinear interactions between predisposing and triggering factors through three-phase coupling. Progressively saturated fronts caused by hydro-mechanical feedback rainfall infiltration, reduced matrix suction, reduced shear strength, and increased weight per unit volume.
- ②
- Anthropogenic-Geological Interaction
Road excavation created 8–10 m high artificial slopes (Factor of Safety reduction ΔFS = 0.10), altering natural drainage patterns. The resulting stress redistribution exceeded the yield criterion in Weathered sandstone strata.
- ③
- Temporal-Spatial Coupling
The critical failure occurred when:
Cumulative rainfall reached 150 mm (I₃₀ = 35 mm/h); the Groundwater table rose to 1.2 m below the surface; Crack propagation velocity exceeded 5 mm/h. This synergism reduced the safety factor below unity (FS = 0.90) through the coupled relationship.
where Qₕ represents hydrodynamic pressure from saturated fracture flow.
- ④
- Progressive Failure Sequence
Three-phase coupling drove failure. saturation fronts reduced shear strength (Stage 1), pore pressure buildup degraded stability (Stage 2), and strain localization caused basal rupture (Stage 3, Figure 10).
Figure 10.
Schematic diagram of four landslide profile and stress analyses. (a) Profile analysis diagram. (b) Stress analysis diagram.
4.4.4. Landslide Mechanism
Based on the analysis of the 2022 landslide at the red soil–sandstone interface, a unique multiphase reactivation and evolution pattern was identified. As shown in the four landslide profiles in Figure 10a, the primary sliding zone of the fourth landslide expanded remarkably beyond the scope of the previous three landslides. The successive occurrence of the first three landslides gradually unloaded the internal support forces (q1, q2, q3) within the landslide mass. When the sliding force (T1) exceeded the sliding resistance (f), the fourth landslide was triggered. During this process, the increase in tensile stress (T2) and shear stress (τ) accelerated the reactivation and development of the landslide.
The physical processes driving these dynamics are rooted in the hydro-mechanical behavior of the red soil–sandstone interface. Under subtropical climates, the red soil layer is typically unsaturated, retaining significant matric suction (s = ua − uw, where ua is pore air pressure) that enhances slope stability by increasing effective stress (σ′ = σ − uw) and shear strength (τ = c′ + σ′tanϕ′). During rainfall, infiltration reduces matric suction as the soil approaches saturation, leading to a rise in pore water pressure (uw) and a corresponding decrease in effective stress. This mechanism explains the temporal lag between peak rainfall and landslide reactivation, as pore pressure diffusion through the low-permeability sandstone requires prolonged saturation [40].
Figure 11 illustrates the spatial distribution and support conditions of the four successive landslides. The absence of prompt and efficient support measures after the initial landslide facilitated stress redistribution within the landslide mass, fostering the emergence of a new unstable zone and increasing the potential for subsequent landslides. Retaining walls and anchor systems near the fourth sliding zone failed to prevent landslide expansion due to insufficient coverage of the evolving shear zone. This resulted in mitigation measures that fell short of the intended support outcomes.
Figure 11.
Spatial location of the four landslides and their support.
The absence of a comprehensive drainage system exacerbated pore-water pressure spikes during rainfall. Hydraulic analysis (Figure 9 and Figure 10) shows that undrained conditions increased uw within the slip zone, reducing the stability coefficient (Fs) from 1.2 (stable) to 0.9 (unstable).
Although the landslide is transitioning to a stable state, residual deformations indicate disrupted stress equilibrium and potential future deterioration. Future mitigation strategies must integrate hydro-mechanical models to optimize drainage design and reinforcement scope. Prioritizing suction monitoring and adaptive support systems will be critical for long-term stability in subtropical red soil–sandstone environments.
5. Summary and Conclusions
This study provides a comprehensive analysis of landslide reactivation mechanisms at red soil–sandstone interfaces in subtropical climates. Our findings highlight the critical role of rainfall and human activities in triggering landslides, offering valuable insights for risk mitigation strategies. A range of technical methods were employed to achieve this, including rigorous field investigations, detailed analysis of Google satellite imagery, and precise UAV photogrammetry. The principal findings of this study are outlined as follows:
- (1)
- Through an in-depth analysis of the 2022 landslide event at the laterite–sandstone interface along the east coast of the Pearl River Estuary, this study reveals the interaction mechanism between landslide occurrence and complex geological conditions, intense rainfall, and human engineering activities. Our results show that the resurrection and evolution of landslides are the result of multistage and multi-factors, especially rainfall as an external trigger, which significantly reduces the physical strength of the soil through infiltration, leading to the occurrence and expansion of landslides. This provides an important reference for us to further understand the complex dynamic process of landslides.
- (2)
- In this study, the relationship between landslide size and rainfall was explored in detail using field survey, UAV photogrammetry, and geologic analysis. Our results show a significant positive correlation between the size of landslides and cumulative rainfall, which further validates the key role of rainfall in landslide occurrence and expansion. This finding is of great practical significance for the prediction, assessment, and prevention of landslide disasters in the future.
- (3)
- This study significantly enhances our understanding of the evolution, destabilization process, and risk mitigation strategies of multiphase laterite–sandstone interface landslide revival along the east coast of the Pearl River Estuary. Despite the in-depth exploration of the causes, mechanisms, and impacts of the event, the relatively short time scales of the data may not be sufficient to fully reflect the impacts of long-term geologic processes and climate change on landslide activities. Future studies should consider introducing monitoring data with longer time scales to more fully assess the dynamic processes of landslides.
- (4)
- The results of this study can be directly applied to landslide risk assessment and mitigation in similar regions, particularly in subtropical climates with red soil–sandstone interfaces. The proposed mitigation strategies, including improved drainage systems and slope reinforcement, can significantly reduce landslide risks. Future research should focus on long-term monitoring of landslide-prone areas to better understand the impacts of climate change and anthropogenic activities on slope stability. Additionally, advanced numerical modeling techniques can be employed to simulate landslide dynamics under different scenarios.
Author Contributions
Data curation, Y.Z. and Y.Y.; Formal analysis, Y.Z. and J.L.; Funding acquisition, C.Z. and Z.L. (Zhen Liu); Investigation, Y.Z. and J.L.; Methodology, J.L. and Z.L. (Zhibin Li); Project administration, Y.Z. and Y.Y.; Writing—original draft, Y.Z. and J.L.; Writing—reviewing and editing, Y.Z., J.L., Y.Y., Z.L. (Zhibin Li), C.Z. and Z.L. (Zhen Liu). All authors have read and agreed to the published version of the manuscript.
Funding
The work presented in this article was supported by the National Natural Science Foundation of China (NSFC) (Grant No. 42293354, 42277131, 42293351, 42293355, 42293350).
Data Availability Statement
The datasets used and/or analyzed during the current study are available from the corresponding author upon reasonable request.
Acknowledgments
The authors express their sincere gratitude to the local government and local residents for their support during our field survey. The authors are grateful for the endeavor devoted by the editor and the reviewers; their useful comments and advice are highly appreciated.
Conflicts of Interest
The authors declare that they have no known competing financial interests or personal relationships that could have appeared to influence the work reported in this paper.
References
- Qizhi, M.; Ying, L.; Yang, W. Spatio-Temporal Changes of Population Density and Exploration on Urbanization Pattern in China: 2000–2010. City Plan. Rev. 2015, 39, 38–43. (In Chinese) [Google Scholar]
- Deng, Z.; Lan, H.; Li, L.; Sun, W. Vegetation-induced modifications in hydrological processes and the consequential dynamic effects of slope stability. CATENA 2025, 251, 108793. [Google Scholar] [CrossRef]
- Liu, C.; Bao, H.; Lan, H.; Yan, C.; Li, C.; Liu, S. Failure evaluation and control factor analysis of slope block instability along traffic corridor in Southeastern Tibet. J. Mt. Sci. 2024, 21, 1830–1848. [Google Scholar] [CrossRef]
- Wang, Y.; Gao, G.; Zhai, J.; Liu, Q.; Song, L. Evolution characteristics of the rainstorm disaster chains in the Guangdong–Hong Kong–Macao Greater Bay Area, China. Nat. Hazards 2023, 119, 2011–2032. [Google Scholar] [CrossRef]
- Zhu, C.; Cheng, S.; Li, Q.; Shan, H.; Lu, J.A.; Shen, Z.; Liu, X.; Jia, Y.J. Giant submarine landslide in the South China Sea: Evidence, causes, and implications. J. Mar. Sci. Eng. 2019, 7, 152. [Google Scholar] [CrossRef]
- Felix-Henningsen, P.; Liang-Wu, L.; Zakosek, H. Distribution and genesis of red and yellow soils in the central subtropics of southeast China. CATENA 1989, 16, 73–89. [Google Scholar] [CrossRef]
- Sun, L.; Li, C.; Shen, F.; Zhang, H. Reactivation mechanism and evolution characteristics of water softening-induced reservoir-reactivated landslides: A case study for the Three Gorges Reservoir Area, China. Bull. Eng. Geol. Environ. 2023, 82, 66. [Google Scholar] [CrossRef]
- Harrison, P.J.; Yin, K.; Lee, J.H.W.; Gan, J.; Liu, H. Physical–biological coupling in the Pearl River Estuary. Cont. Shelf Res. 2008, 28, 1405–1415. [Google Scholar] [CrossRef]
- Kaczmarek, H.; Tyszkowski, S.; Banach, M. Landslide development at the shores of a dam reservoir (Włocławek, Poland), based on 40 years of research. Environ. Earth Sci. 2015, 74, 4247–4259. [Google Scholar] [CrossRef]
- Vadivel, S.; Sennimalai, C.S. Failure Mechanism of Long-Runout Landslide Triggered by Heavy Rainfall in Achanakkal, Nilgiris, India. J. Geotech. Geoenvironmental Eng. 2019, 145, 04019047. [Google Scholar] [CrossRef]
- Dai, Z.W.; Yang, L.; Zhang, N.; Zhang, C.Y.; Zhang, Z.H.; Wang, H. Deformation characteristics and reactivation mechanism of an old landslide induced by combined action of excavation and heavy rainfall. Front. Earth Sci. 2023, 10, 1009855. [Google Scholar] [CrossRef]
- Cruden, D.M.; Varnes, D.J. Landslide types and processes, special report, transportation research board. Proc. Natl. Acad. Sci. USA 1996, 247, 36–75. [Google Scholar]
- Fan, X.; Scaringi, G.; Xu, Q.; Zhan, W.; Dai, L.; Li, Y.; Pei, X.; Yang, Q.; Huang, R. Coseismic landslides triggered by the 8th August 2017 Ms 7.0 Jiuzhaigou earthquake (Sichuan, China): Factors controlling their spatial distribution and implications for the seismogenic blind fault identification. Landslides 2018, 15, 967–983. [Google Scholar] [CrossRef]
- Li, C.; Fu, Z.; Wang, Y.; Tang, H.; Yan, J.; Gong, W.; Yao, W.; Criss, R.E. Susceptibility of reservoir-induced landslides and strategies for increasing the slope stability in the Three Gorges Reservoir Area: Zigui Basin as an example. Eng. Geol. 2019, 261, 105279. [Google Scholar] [CrossRef]
- Stark, T.D.; Baghdady, A.K.; Hungr, O.; Aaron, J. Case Study: Oso, Washington, Landslide of March 22, 2014—Material Properties and Failure Mechanism. J. Geotech. Geoenviron. Eng. 2017, 143, 05017001. [Google Scholar] [CrossRef]
- Wouatong, A.; Yerima, B.; Fouateu, R.Y.; Ze, A.M.; Ekodeck, G. The origin of etch pits recorded on residual grain surfaces from kaolinized granitic rocks west region Cameroon. Earth Sci. Res. 2013, 2, 93. [Google Scholar] [CrossRef]
- Lai, C.G.; Chen, X.H.; Wang, Z.L.; Xu, C.Y.; Yang, B. Rainfall-induced landslide susceptibility assessment using random forest weight at basin scale. Hydrol. Res. 2018, 49, 1363–1378. [Google Scholar] [CrossRef]
- Yang, S.; Tan, Z.; Chen, H.; Zhang, J. Analysis of instability disaster of rainfall induced shallow landslides at the regional scale based on the modified Green Ampt model. Bull. Geol. Sci. Technol. 2022, 41, 219–227. [Google Scholar] [CrossRef]
- Xuan, P.; Pho, N.; Gas’kova, O.; Bortnikova, S. Geochemistry of surface waters in the vicinity of open pit mines at the Cay Cham deposit, Thai Nguyen province, northern Vietnam. Geochem. Int. 2013, 51, 931–938. [Google Scholar] [CrossRef]
- McSaveney, M.; Griffiths, G.A. Drought, rain, and movement of a recurrent earthflow complex in New Zealand. Geology 1987, 15, 643–646. [Google Scholar] [CrossRef]
- Zhang, J.M.; Zhou, Z.; Lin, F.; Yang, Q.G.; Luo, Y. Failure mechanism of a slow-moving landslide on September 27, 2020, in Chang Nong Village, Guangxi, China. Landslides 2021, 18, 2575–2592. [Google Scholar] [CrossRef]
- Wang, R.; Zhang, K.; Ning, Y.; Xu, W.; Wang, W.; Qin, J. Reactivation of Ancient Landslide Deposits: Geological Characteristics and Deformation Mechanism. Adv. Civ. Eng. 2021, 2021, 6614180. [Google Scholar] [CrossRef]
- Zhou, C.Y.; Cui, G.J.; Yin, H.; Yu, L.; Xu, G.K.; Liu, Z.; Zhang, L.H. Study of soil expansion characteristics in rainfall-induced red-bed shallow landslides: Microscopic and macroscopic perspectives. PLoS ONE 2021, 16, e0246214. [Google Scholar] [CrossRef] [PubMed]
- Su, X.X.; Tang, H.M.; Huang, L.; Shen, P.W.; Xia, D. The role of pH in red-stratum mudstone disintegration in the Three Gorges reservoir area, China, and the associated micromechanisms. Eng. Geol. 2020, 279, 105873. [Google Scholar] [CrossRef]
- Wang, B. Failure mechanism of an ancient sensitive clay landslide in eastern Canada. Landslides 2019, 16, 1483–1495. [Google Scholar] [CrossRef]
- Paronuzzi, P.; Bolla, A.; Pinto, D.; Lenaz, D.; Soccal, M. The clays involved in the 1963 Vajont landslide: Genesis and geomechanical implications. Eng. Geol. 2021, 294, 106376. [Google Scholar] [CrossRef]
- Conte, E.; Donato, A.; Troncone, A. A simplified method for predicting rainfall-induced mobility of active landslides. Landslides 2017, 14, 35–45. [Google Scholar] [CrossRef]
- Tang, H.; Yong, R.; Ez Eldin, M.A.M. Stability analysis of stratified rock slopes with spatially variable strength parameters: The case of Qianjiangping landslide. Bull. Eng. Geol. Environ. 2017, 76, 839–853. [Google Scholar] [CrossRef]
- Zhang, G.; Cai, Y.; Zheng, Z.; Zhen, J.; Liu, Y.; Huang, K. Integration of the Statistical Index Method and the Analytic Hierarchy Process technique for the assessment of landslide susceptibility in Huizhou, China. CATENA 2016, 142, 233–244. [Google Scholar] [CrossRef]
- Rong, G.; Alu, S.; Li, K.; Su, Y.; Zhang, J.; Zhang, Y.; Li, T. Rainfall Induced Landslide Susceptibility Mapping Based on Bayesian Optimized Random Forest and Gradient Boosting Decision Tree Models—A Case Study of Shuicheng County, China. Water 2020, 12, 3066. [Google Scholar] [CrossRef]
- Wang, P.; Bai, X.; Wu, X.; Yu, H.; Hao, Y.; Hu, B.X. GIS-Based Random Forest Weight for Rainfall-Induced Landslide Susceptibility Assessment at a Humid Region in Southern China. Water 2018, 10, 1019. [Google Scholar] [CrossRef]
- Dou, J.; Yunus, A.P.; Bui, D.T.; Merghadi, A.; Sahana, M.; Zhu, Z.F.; Chen, C.W.; Khosravi, K.; Yang, Y.; Pham, B.T. Assessment of advanced random forest and decision tree algorithms for modeling rainfall-induced landslide susceptibility in the Izu-Oshima Volcanic Island, Japan. Sci. Total Environ. 2019, 662, 332–346. [Google Scholar] [CrossRef]
- Cao, G.; Scanlon, B.R.; Han, D.; Zheng, C. Impacts of thickening unsaturated zone on groundwater recharge in the North China Plain. J. Hydrol. 2016, 537, 260–270. [Google Scholar] [CrossRef]
- Tian, S.F.; Hu, G.S.; Chen, N.S.; Rahman, M.; Ni, H.Y.; Somos-Valenzuela, M. Effects of Tectonic Setting and Hydraulic Properties on Silent Large-Scale Landslides: A Case Study of the Zhaobishan Landslide, China. Int. J. Disaster Risk Sci. 2023, 14, 600–617. [Google Scholar] [CrossRef]
- Canuti, P.; Focardi, P.; Garzonio, C. Correlation between rainfall and landslides. Bull. Eng. Geol. Environ. 1985, 32, 49–54. [Google Scholar] [CrossRef]
- Chen, C.-W.; Oguchi, T.; Hayakawa, Y.S.; Saito, H.; Chen, H. Relationship between landslide size and rainfall conditions in Taiwan. Landslides 2017, 14, 1235–1240. [Google Scholar] [CrossRef]
- Saito, H.; Korup, O.; Uchida, T.; Hayashi, S.; Oguchi, T. Rainfall conditions, typhoon frequency, and contemporary landslide erosion in Japan. Geology 2014, 42, 999–1002. [Google Scholar] [CrossRef]
- Zhang, M.; Wilson, M.J.; He, Z. Mineralogy of Red Soils in Southern China in Relation to Their Development and Charge Characteristics. In The Red Soils of China: Their Nature, Management and Utilization; Wilson, M.J., He, Z., Yang, X., Eds.; Springer: Dordrecht, The Netherlands, 2004; pp. 35–61. [Google Scholar]
- Fredlund, D.G.; Rahardjo, H. Soil Mechanics for Unsaturated Soils; John Wiley & Sons: Hoboken, NJ, USA, 1993. [Google Scholar]
- Zhang, L.; Fredlund, D.; Zhang, L.; Tang, W. Numerical study of soil conditions under which matric suction can be maintained. Can. Geotech. J. 2004, 41, 569–582. [Google Scholar] [CrossRef]
Disclaimer/Publisher’s Note: The statements, opinions and data contained in all publications are solely those of the individual author(s) and contributor(s) and not of MDPI and/or the editor(s). MDPI and/or the editor(s) disclaim responsibility for any injury to people or property resulting from any ideas, methods, instructions or products referred to in the content. |
© 2025 by the authors. Licensee MDPI, Basel, Switzerland. This article is an open access article distributed under the terms and conditions of the Creative Commons Attribution (CC BY) license (https://creativecommons.org/licenses/by/4.0/).










