The Impacts of Satellite Data Quality Control and Meteorological Forcings on Snow Data Assimilation over the Sanjiangyuan Region
Abstract
1. Introduction
2. Materials and Methods
2.1. Study Area and Data
2.2. CSSPv2-Snow Data Assimilation System (CSSPv2-SDA)
2.3. Experimental Design
3. Results
3.1. The Performance of CSSPv2-SDA Assimilation System
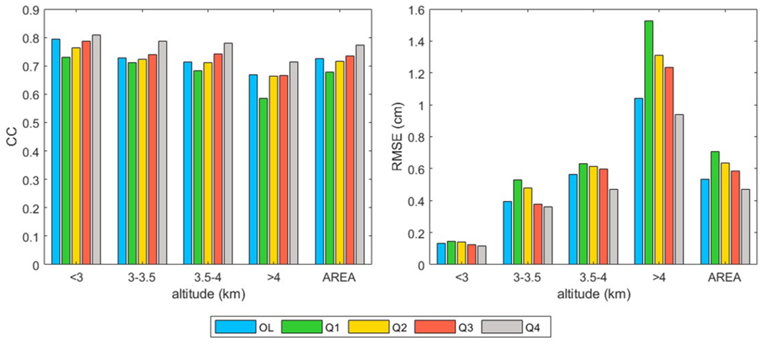
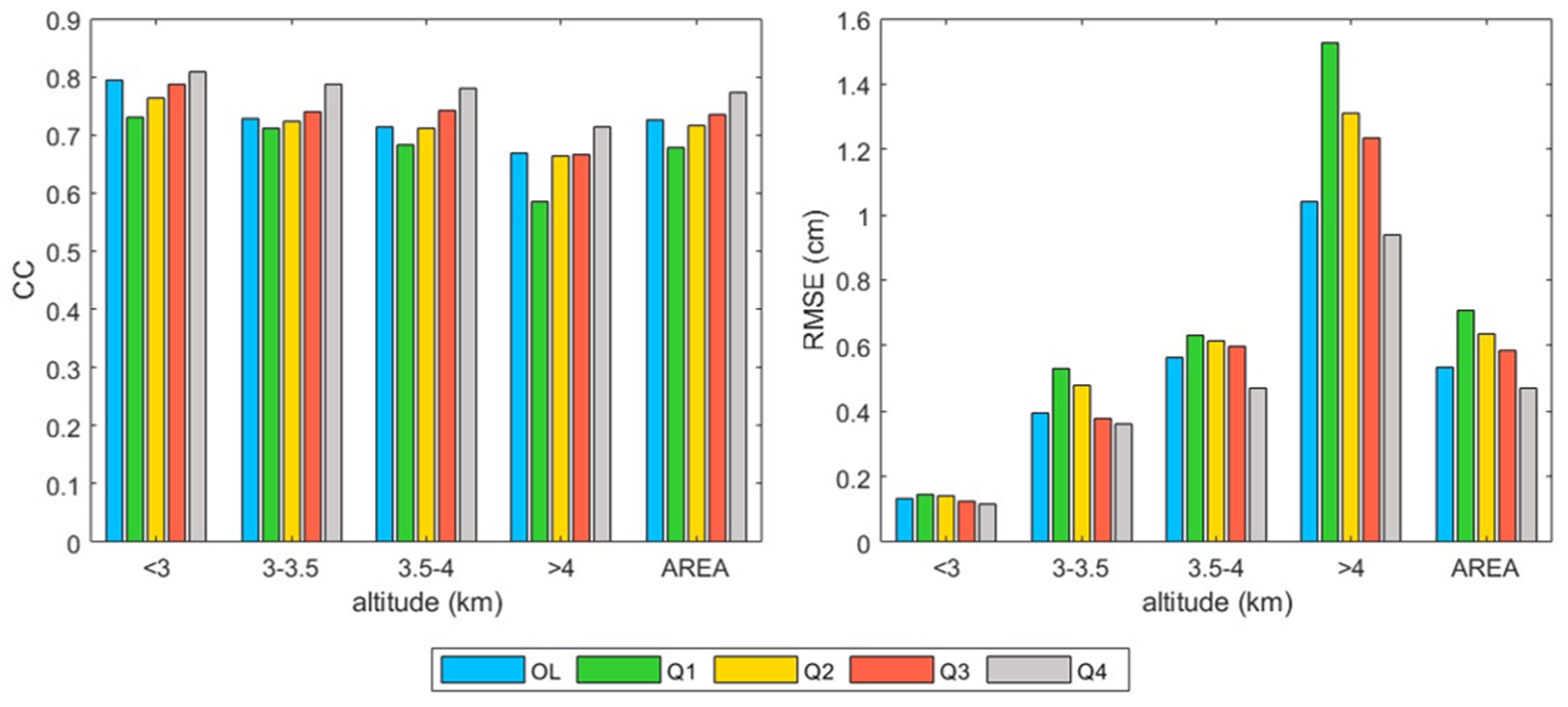
3.2. The Influence of Different Quality Control Schemes and Meteorological Forcing Data on Assimilation
4. Conclusions
5. Discussion
Author Contributions
Funding
Data Availability Statement
Conflicts of Interest
References
- Dong, C. Remote sensing, hydrological modeling and in situ observations in snow cover research: A review. J. Hydrol. 2018, 561, 573–583. [Google Scholar] [CrossRef]
- Ruggieri, P.; Benassi, M.; Materia, S.; Peano, D.; Ardilouze, C.; Batté, L.; Gualdi, S. On the role of Eurasian autumn snow cover in dynamical seasonal predictions. Clim. Dyn. 2022, 58, 2031–2045. [Google Scholar] [CrossRef]
- Livneh, B.; Badger, A.M. Drought less predictable under declining future snowpack. Nat. Clim. Change 2020, 10, 452–458. [Google Scholar] [CrossRef]
- Yan, D.; Ma, N.; Zhang, Y. Development of a fine-resolution snow depth product based on the snow cover probability for the Tibetan Plateau: Validation and spatial–temporal analyses. J. Hydrol. 2022, 604, 127027. [Google Scholar] [CrossRef]
- Turner, A.G.; Slingo, J.M. Using idealized snow forcing to test teleconnections with the Indian summer monsoon in the Hadley Centre GCM. Clim. Dyn. 2011, 36, 1717–1735. [Google Scholar] [CrossRef]
- Wang, J.; Cui, Y.; He, X.; Zhang, J.; Yan, S. Surface Albedo Variation and Its Influencing Factors over Dongkemadi Glacier, Central Tibetan Plateau. Adv. Meteorol. 2015, 2015, 852098. [Google Scholar]
- Broxton, P.D.; Zeng, X.; Dawson, N. Why do global reanalyses and land data assimilation products underestimate snow water equivalent. J. Hydrometeorol. 2016, 17, 2743–2761. [Google Scholar] [CrossRef]
- Arsenault, K.R.; Houser, P.R.; De Lannoy, G.J.M.; Dirmeyer, P.A. Impacts of snow cover fraction data assimilation on modeled energy and moisture budgets. J. Geophys. Res. Atmos. 2013, 118, 7489–7504. [Google Scholar]
- Yan, D.; Zhang, Y. A 0.01° daily improved snow depth dataset for the Tibetan Plateau. J. Hydrol. 2024, 631, 130706. [Google Scholar] [CrossRef]
- Zhang, S.; Shi, C.X.; Shen, R.P.; Wu, J. Improved assimilation of Fengyun-3 satellite-based snow cover fraction in northeastern China. J. Meteor. Res. 2019, 33, 960–975. [Google Scholar]
- Liang, J.; Yang, Z.; Lin, P. Systematic Hydrological Evaluation of the Noah-MP Land Surface Model over China. Adv. Atmos. Sci. 2019, 36, 1171–1187. [Google Scholar] [CrossRef]
- Schneider, T.; Lan, S.; Stuart, A.; Teixeira, J. Earth System Modeling 2.0: A Blueprint for Models That Learn From Observations and Targeted High-Resolution Simulations. Geophys. Res. Lett. 2017, 44, 12396–12417. [Google Scholar]
- Yuan, X.; Ji, P.; Wang, L.; Liang, X.-Z.; Yang, K.; Ye, A.; Su, Z.; Wen, J. High-resolution land surface modeling of hydrological changes over the Sanjiangyuan region in the eastern Tibetan plateau: 1. Model development and evaluation. J. Adv. Model. Earth Syst. 2018, 10, 2806–2828. [Google Scholar] [CrossRef]
- Scanlon, B.R.; Zhang, Z.; Save, H.; Sun, A.Y.; Schmied, H.M.; Van Beek, L.P.H.; Wiese, D.N.; Wada, Y.; Long, D.; Reedy, R.C.; et al. Global models underestimate large decadal declining and rising water storage trends relative to GRACE satellite data. Proc. Natl. Acad. Sci. USA 2018, 115, E1080–E1089. [Google Scholar] [CrossRef]
- Evensen, G. Sequential data assimilation with a nonlinear quasi-geostrophic model using Monte Carlo methods to forecast error statistics. J. Geophys. Res. 1994, 99, 10143–10162. [Google Scholar]
- Zhang, Y.-F.; Hoar, T.J.; Yang, Z.-L.; Anderson, J.L.; Toure, A.M.; Rodell, M. Assimilation of MODIS snow cover through the Data Assimilation Research Testbed and the Community Land Model version 4. J. Geophys. Res. Atmos. 2014, 119, 7091–7103. [Google Scholar]
- Whitaker, J.S.; Hamill, T.M. Ensemble data assimilation without perturbed observations. Mon. Weather Rev. 2002, 130, 1913–1924. [Google Scholar] [CrossRef]
- Xiao, H.; Han, W.; Wang, H.; Wang, J.; Liu, G.; Xu, C. Corrigendum. J Meteorol Res. 2021, 35, 224. [Google Scholar] [CrossRef]
- Li, X.; Liu, F.; Ma, C.; Hou, J.; Zheng, D.; Ma, H.; Bai, Y.; Han, X.; Vereecken, H.; Yang, K.; et al. Land data assimilation: Harmonizing theory and data in land surface process studies. Rev. Geophys. 2024, 62, e2022RG000801. [Google Scholar] [CrossRef]
- Weaver, A.T. 3D-Var and 4D-Var approaches to ocean data assimilation. In Proceedings of the ECMWF Workshop on the Role of the Upper Ocean in Medium and Extended Range Forecasting, Reading, UK, 13–15 November 2002; Volume 1, pp. 57–66. [Google Scholar]
- Duan, X.; Chen, Y.; Wang, L.; Zheng, G.; Liang, T. The impact of land use and land cover changes on the landscape pattern and ecosystem service value in Sanjiangyuan region of the Qinghai-Tibet Plateau. J. Environ. Manag. 2023, 325, 116539. [Google Scholar] [CrossRef]
- Robertson, L.; Langner, J. On The Issue Of Quality Control In Data Assimilation. In Air Pollution Modeling and Its Application XIII; Gryning, S.E., Batchvarova, E., Eds.; Springer: Boston, MA, USA, 2000. [Google Scholar]
- Sakov, P.; Sandery, P. An adaptive quality control procedure for data assimilation. Tellus A Dyn. Meteorol. Oceanogr. 2018, 69, 1318031. [Google Scholar]
- Yan, D.; Ma, N.; Zhang, Y. A Daily, 0.05° Snow Depth Dataset for Tibetan Plateau (2000–2018). National Tibetan Plateau/Third Pole Environment Data Center. 2021. Available online: https://cstr.cn/18406.11.Snow.tpdc.271743 (accessed on 12 August 2023).
- Ji, P.; Yuan, X.; Jiao, Y.; Zhang, M. On the reliability of 12 high-resolution precipitation products for process-based hydrological modeling in China. J. Hydrol. 2023, 628, 130598. [Google Scholar]
- Zhu, E.; Shi, C.; Sun, S.; Jia, B.; Wang, Y.; Yuan, X. Hybrid Assimilation of Snow Cover Improves Land Surface Simulations over Northern China. J. Hydrol. 2023, 24, 1725–1738. [Google Scholar]
- Keyhan, G.; Peyman, A.; Morin, S.; Hamid, M. How does precipitation data influence the land surface data assimilation for drought monitoring? Sci. Total Environ. 2022, 831, 154916. [Google Scholar]
- Wang, R.; Ding, Y.; Shangguan, D.; Cuo, L.; Zhao, Q.; Qin, J.; Li, J.; Song, M. Projections of glacier peak water and its timing in the Sanjiangyuan on the Tibet Plateau. J. Hydrol. Reg. Stud. 2023, 45, 101313. [Google Scholar]
- Qu, L.; Jia, S.; Li, R. Spatial Water Consumption Test and Analysis of Various Typical Vegetation in the Sanjiangyuan Region. Sustainability 2023, 15, 5422. [Google Scholar] [CrossRef]
- Ma, B.; Zeng, W.; Xie, Y.; Wang, Z.; Hu, G.; Li, Q.; Cao, R.; Zhuo, Y.; Zhang, T. Boundary delineation and grading functional zoning of Sanjiangyuan National Park based on biodiversity importance evaluations. Sci. Total Environ. 2022, 825, 154068. [Google Scholar] [CrossRef]
- Dai, E.Z.; Zeng, X.B.; Dickinson, R.E.; Baker, I.; Bonan, G.B.; Bosilovich, M.G.; Denning, A.S.; Dirmeyer, P.A.; Houser, P.R.; Niu, G.Y.; et al. The Common Land Model. B. Am. Meteorol. Soc. 2003, 84, 1013–1024. [Google Scholar]
- Rao, P.; Wang, F.; Yuan, X.; Liu, Y.; Jiao, Y. Evaluation and comparison of 11 sets of gridded precipitation products over the Qinghai-Tibet Plateau. Atmos. Res. 2024, 302, 107315. [Google Scholar]
- Yu, Q.; Feng, C.; Shi, Y.; Guo, L. Spatiotemporal interaction between ecosystem services and urbanization in China: Incorporating the scarcity effects. J. Clean. Prod. 2021, 317, 128392. [Google Scholar]
- Yang, K.; He, J.; Tang, W.; Lu, H.; Qin, J.; Chen, Y.; Li, X. China Meteorological Forcing Dataset (1979–2018). National Tibetan Plateau/Third Pole Environment Data Center. 2019. Available online: https://cstr.cn/18406.11.AtmosphericPhysics.tpe.249369.file (accessed on 6 January 2023).
- Hersbach, H.; Bell, B.; Berrisford, P.; Hirahara, S.; Horányi, A.; Muñoz-Sabater, J.; Nicolas, J.; Peubey, C.; Radu, R.; Schepers, D.; et al. The ERA5 global reanalysis. Q. J. R. Meteorol. Soc. 2020, 146, 1999–2049. [Google Scholar]
- Hall, D.K.; Riggs, G.A.; Salomonson, V.V.; Digirolamo, N.E.; Bayr, K.J. MODIS snow-cover products. Remote Sens. Environ. 2002, 83, 181–194. [Google Scholar] [CrossRef]
- Ji, P.; Yuan, X.; Shi, C.; Jiang, L.; Wang, G.; Yang, K.A. long-term simulation of land surface conditions at high-resolution over continental China. J. Hydrometeorol. 2023, 24, 285–314. [Google Scholar]
- Yuan, X.; Liang, X.Z. Evaluation of a conjunctive surface-subsurface process model (CSSP) over the contiguous United States at regional-local scales. J. Hydrometeorol. 2011, 12, 579–599. [Google Scholar] [CrossRef]
- Choi, H.I.; Kumar, P.; Liang, X.-Z. Three-dimensional volume-averaged soil moisture transport model with a scalable parameterization of subgrid topographic variability. Water Resour. Res. 2007, 43, W04414. [Google Scholar]
- Dai, Y.; Hacker, C.E.; Zhang, Y.; Li, Y.; Li, J.; Xue, Y.; Li, D. Conflicts of human with the Tibetan brown bear (Ursus arctos pruinosus) in the Sanjiangyuan region, China. Glob. Ecol. Conserv. 2020, 22, e01039. [Google Scholar] [CrossRef]
- Ji, P.; Yuan, X. High-Resolution Land Surface Modeling of Hydrological Changes Over the Sanjiangyuan Region in the Eastern Tibetan Plateau: 2. Impact of Climate and Land Cover Change. J. Adv. Model. Earth Syst. 2018, 10, 2829–2843. [Google Scholar]
- Niu, G.Y.; Yang, Z.L. An observation-based formulation of snow cover fraction and its evaluation over large North American river basins. J. Geophys. Res. 2007, 112, 21101. [Google Scholar]
- Niu, G.Y.; Yang, Z.L.; Mitchell, K.E.; Chen, F.; Ek, M.B.; Barlage, M.; Kumar, A.; Manning, K.; Niyogi, D.; Rosero, E.; et al. The community Noah land surface model with multiparameterization options (Noah-MP): 1. Model description and evaluation with local-scale measurements. J. Geophys. Res. Atmos. 2011, 116, 1–19. [Google Scholar]
- Evensen, G. Data Assimilation: The Ensemble Kalman Filter, 2nd ed.; Springer: Berlin/Heidelberg, Germany, 2010; Volume 42, pp. 1001–1002. [Google Scholar]
- Andreadis, K.M.; Lettenmaier, D.P. Assimilating remotely sensed snow observations into a macroscale hydrology model. Adv. Water Resour. 2006, 29, 872–886. [Google Scholar]
- Su, H.; Yang, Z.L.; Niu, G.Y.; Dickinson, R.E. Enhancing the estimation of continental-scale snow water equivalent by assimilating MODIS snow cover with the ensemble Kalman filter. J. Geophys. Res. Atmos. 2008, 113, 1–12. [Google Scholar] [CrossRef]
- Zhao, L.; Yang, Z.L. Multi-sensor land data assimilation: Toward a robust global soil moisture and snow estimation. Remote Sens. Environ. 2018, 216, 13–27. [Google Scholar]
- Hou, J.; Huang, C.; Chen, W.; Zhang, Y. Improving snow estimates through assimilation of MODIS fractional snow cover data using machine learning algorithms and the common land model. Water Resour. Res. 2021, 57, e2020WR029010. [Google Scholar] [CrossRef]
- Liu, Y.; Christa, D.; Sujay, K.; James, L.; Michael, S.; Tian, Y.; Gregory, M. Assimilating satellite-based snow depth and snow cover products for improving snow predictions in Alaska. Adv. Water Resour. 2013, 54, 208–227. [Google Scholar]
- Toure, A.M.; Reichle, R.H.; Forman, B.A.; Getirana, A.; De Lannoy, G.J.M. Assimilation of MODIS Snow Cover Fraction Observations into the NASA Catchment Land Surface Model. Remote Sens. 2018, 10, 316. [Google Scholar] [CrossRef]
- Zeng, J.; Yuan, X.; Ji, P.; Shi, C. Effects of meteorological forcings and land surface model on soil moisture simulation over China. J. Hydrol. 2021, 603, 126978. [Google Scholar] [CrossRef]
- Jia, B.; Xie, Z.; Tian, X.; Shi, C. A soil moisture assimilation scheme based on the ensemble Kalman filter using microwave brightness temperature. Sci. China 2009, 52D, 1835–1848. [Google Scholar]
- Tian, X.; Xie, Z.; Dai, A.; Shi, C.; Jia, B.; Chen, F.; Yang, K. A dual-pass variational data assimilation framework for estimating soil moisture profiles from AMSR-E microwave brightness temperature. J. Geophys. Res. 2009, 114, D16102. [Google Scholar]
- Stigter, E.E.; Wanders, N.; Saloranta, T.M.; Shea, J.M.; Bierkens, M.F.P. Assimilation of snow cover and snow depth into a snow model to estimate snow water equivalent and snowmelt runoff in a Himalayan catchment. Cryosphere 2017, 11, 1647–1664. [Google Scholar]











| Name | Time | Original Resolution | Operating Resolution | |
|---|---|---|---|---|
| Climate Forcing | CMFD, ERA5 | 2000.2–2015.12 | 0.25° | 3 km |
| Assimilation Data | MODIS Snow Cover | 0.05° | ||
| Quality Control Data | MODIS Cloud Cover | |||
| Validation Data | TPDC | |||
| ERA5 | ||||
| CMA-OBS | - | - |
| Variable | Perturbation Method | Standard Deviation | |
|---|---|---|---|
| Climate Forcing | Short Wave Radiation | Multiplicative | 0.1 (−) |
| Long Wave Radiation | Additive | 15 (W/m2) | |
| Precipitation | Multiplicative | 0.5 (−) | |
| Temperature | Additive | 0.5 (K) |
Disclaimer/Publisher’s Note: The statements, opinions and data contained in all publications are solely those of the individual author(s) and contributor(s) and not of MDPI and/or the editor(s). MDPI and/or the editor(s) disclaim responsibility for any injury to people or property resulting from any ideas, methods, instructions or products referred to in the content. |
© 2025 by the authors. Licensee MDPI, Basel, Switzerland. This article is an open access article distributed under the terms and conditions of the Creative Commons Attribution (CC BY) license (https://creativecommons.org/licenses/by/4.0/).
Share and Cite
Yang, T.; Yuan, X.; Ji, P.; Zhu, E. The Impacts of Satellite Data Quality Control and Meteorological Forcings on Snow Data Assimilation over the Sanjiangyuan Region. Water 2025, 17, 1078. https://doi.org/10.3390/w17071078
Yang T, Yuan X, Ji P, Zhu E. The Impacts of Satellite Data Quality Control and Meteorological Forcings on Snow Data Assimilation over the Sanjiangyuan Region. Water. 2025; 17(7):1078. https://doi.org/10.3390/w17071078
Chicago/Turabian StyleYang, Tao, Xing Yuan, Peng Ji, and Enda Zhu. 2025. "The Impacts of Satellite Data Quality Control and Meteorological Forcings on Snow Data Assimilation over the Sanjiangyuan Region" Water 17, no. 7: 1078. https://doi.org/10.3390/w17071078
APA StyleYang, T., Yuan, X., Ji, P., & Zhu, E. (2025). The Impacts of Satellite Data Quality Control and Meteorological Forcings on Snow Data Assimilation over the Sanjiangyuan Region. Water, 17(7), 1078. https://doi.org/10.3390/w17071078

