Shallow Subsurface Soil Moisture Estimation in Coal Mining Area Using GPR Signal Features and BP Neural Network
Abstract
1. Introduction
2. Materials and Methods
2.1. Study Area
2.2. Data Acquisition
2.3. Principles for Time-Domain Feature-Based SVWC Estimation
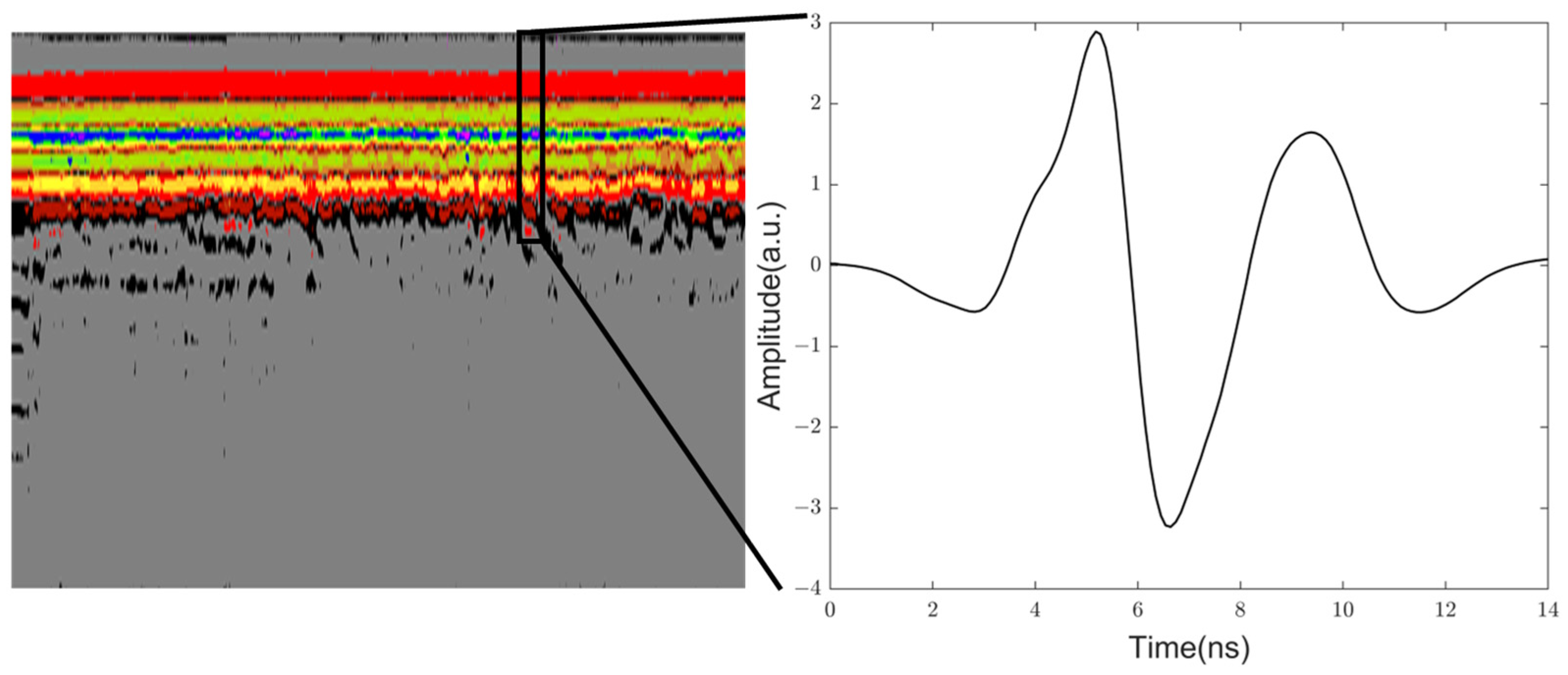
2.3.1. Raw Time-Domain Features
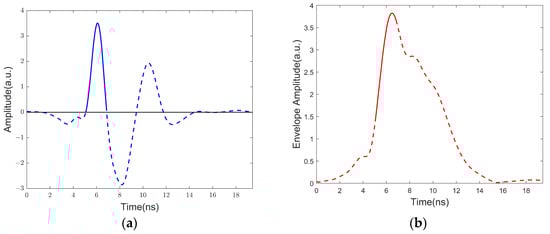
2.3.2. Average Envelope Amplitude
2.4. Principles for Frequency-Domain Feature-Based SVWC Estimation
2.4.1. Rayleigh Scattering
2.4.2. Chirp Z-Transform for Extracting Frequency-Domain Features
2.5. Construction of the SVWC Prediction Model Based on Multiple Signal Features
2.5.1. GPR Signal Features Selection
- (1)
 - (Perform cross-correlation analysis and significance testing between SVWC and each feature, using the Pearson correlation coefficient to measure the linear relationship among variables [45].
 - (2)
 - Select the features that are significantly correlated with SVWC to form different feature sets and use the best subset selection (BSS) algorithm to plot the curve of the RMSE as a function of the number of features. The BSS algorithm evaluates all possible combinations of features [46,47]. Typically, the RMSE decreases rapidly with fewer features, and as the number of features increases, the rate of decrease in the RMSE slows down or levels off. Therefore, the optimal number of features is usually located at the inflection point where the RMSE begins to level off after a rapid decline.
 - (3)
 - Conduct a feature importance analysis based on random forests to evaluate the impact of each feature on the model’s prediction results and rank the features according to their importance [48].
 
2.5.2. BP Neural Network
2.6. Performance Evaluation Criteria of the Models
3. Results
3.1. Time-Domain Features
3.2. Frequency-Domain Features
3.3. Prediction of SVWC Using BP Neural Network
3.4. SVWC Inversion of Study Area
4. Discussion
5. Conclusions
- (1)
 - An increase in soil moisture leads to a decrease in the amplitude and energy of electromagnetic waves. Among the early GPR signal features, the AEA-1 parameter extracted from the first positive half-cycle of the signal better represents changes in SVWC compared to original time-domain features. The correlation coefficients between AEA-1 and SVWC in the unmined and mined areas reached 0.86 and 0.82, respectively, demonstrating improved predictive performance. The CZT transformation enables more precise extraction of frequency-domain features, revealing a shift of the spectrum toward lower frequencies as SVWC increases, with the shift being more pronounced in the mined area. However, the performance of the PF-based prediction model varies significantly under different soil conditions, with PF-SVWC correlations of 0.86 in the unmined area and 0.57 in the mined area.
 - (2)
 - The optimal feature parameter combination, identified through multiple feature selection methods, effectively reduces model complexity and minimizes redundant information. The Muti-BP-VWC model, compared to SVWC prediction models based on single-feature linear regression, significantly improves prediction accuracy. In the unmined area validation set, the model achieved an R2 of 0.84 and an RMSE of 0.0059 cm3/cm3; in the mined area validation set, the R2 was 0.77 and the RMSE was 0.0091 cm3/cm3. The model also demonstrated excellent generalization capability, making it suitable for SVWC inversion.
 - (3)
 - The SVWC contour maps derived from the Muti-BP-VWC model showed trends consistent with those measured by TDR. With its dense sampling points, GPR provided more detailed spatial distribution information on soil moisture in local regions, demonstrating its practical value in large-scale, rapid soil moisture detection. The inversion results indicated that the average SVWC difference between the mined and unmined areas was less than 0.01 cm3/cm3, suggesting that coal mining has minimal impact on shallow subsurface soil moisture.
 
Author Contributions
Funding
Data Availability Statement
Acknowledgments
Conflicts of Interest
References
- Shen, X.; Foster, T.; Baldi, H.; Dobreva, I.; Burson, B.; Hays, D.; Tabien, R.; Jessup, R. Quantification of soil organic carbon in biochar-amended soil using ground penetrating radar (GPR). Remote Sens. 2019, 11, 2874. [Google Scholar] [CrossRef]
 - He, Y.; Fang, L.; Peng, S.; Liu, W.; Cui, C. A Ground-Penetrating Radar-Based Study of the Structure and Moisture Content of Complex Reconfigured Soils. Water 2024, 16, 2332. [Google Scholar] [CrossRef]
 - Wu, Z.; Xia, T.; Nie, J.; Cui, F. The shallow strata structure and soil water content in a coal mining subsidence area detected by GPR and borehole data. Environ. Earth Sci. 2020, 79, 500. [Google Scholar] [CrossRef]
 - Vereecken, H.; Huisman, J.; Bogena, H.; Vanderborght, J.; Vrugt, J.; Hopmans, J. On the value of soil moisture measurements in vadose zone hydrology: A review. Water Resour. Res. 2008, 44, 4. [Google Scholar] [CrossRef]
 - Robinson, D.A.; Campbell, C.S.; Hopmans, J.W.; Hornbuckle, B.K.; Jones, S.B.; Knight, R.; Ogden, F.; Selker, J.; Wendroth, O. Soil moisture measurement for ecological and hydrological watershed-scale observatories: A review. Vadose Zone J. 2008, 7, 358–389. [Google Scholar] [CrossRef]
 - SU, S.L.; Singh, D.N.; Baghini, M.S. A critical review of soil moisture measurement. Measurement 2014, 54, 92–105. [Google Scholar] [CrossRef]
 - Zhang, J.; Lin, H.; Doolittle, J. Soil layering and preferential flow impacts on seasonal changes of GPR signals in two contrasting soils. Geoderma 2014, 213, 560–569. [Google Scholar] [CrossRef]
 - Zreda, M.; Desilets, D.; Ferré, T.P.A.; Scott, R.L. Measuring soil moisture content non-invasively at intermediate spatial scale using cosmic-ray neutrons. Geophys. Res. Lett. 2008, 35, L21402. [Google Scholar] [CrossRef]
 - Peng, J.; Loew, A.; Merlin, O.; Verhoest, N.E. A review of spatial downscaling of satellite remotely sensed soil moisture. Rev.Geophys. 2017, 55, 341–366. [Google Scholar] [CrossRef]
 - Wang, L.; Qu, J.J. Satellite remote sensing applications for surface soil moisture monitoring: A review. Front. Earth Sci. China 2009, 3, 237–247. [Google Scholar] [CrossRef]
 - Cui, F.; Bao, J.; Cao, Z.; Li, L.; Zheng, Q. Soil hydraulic parameters estimation using ground penetrating radar data via en-semble smoother with multiple data assimilation. J. Hydrol. 2020, 583, 124552. [Google Scholar] [CrossRef]
 - Mahmoudzadeh, A.; Mohammad, R. Off- and on-ground GPR techniques for fieldscale soil moisture mapping. Geoderma 2013, 200, 55–66. [Google Scholar] [CrossRef]
 - Topp, G.C.; Davis, J.; Annan, A.P. Electromagnetic determination of soil water content: Measurements in coaxial transmission lines. Water Resour. Res. 1980, 16, 574–582. [Google Scholar] [CrossRef]
 - Zajícová, K.; Chuman, T. Application of ground penetrating radar methods in soil studies: A review. Geoderma 2019, 343, 116–129. [Google Scholar] [CrossRef]
 - Huisman, J.A.; Hubbard, S.S.; Redman, J.D.; Annan, A.P. Measuring soil water content with ground penetrating radar: A review. Vadose Zone J. 2003, 2, 476–491. [Google Scholar] [CrossRef]
 - Huisman, J.; Sperl, C.; Bouten, W.; Verstraten, J. Soil water content measurements at different scales: Accuracy of time domain reflectometry and ground-penetrating radar. J. Hydrol. 2001, 245, 48–58. [Google Scholar] [CrossRef]
 - Grote, K.; Hubbard, S.; Rubin, Y. Field-scale estimation of volumetric water content using ground-penetrating radar ground wave techniques. Water Resour. Res. 2003, 39, 1321. [Google Scholar] [CrossRef]
 - Klotzsche, A.; Lärm, L.; Vanderborght, J.; Cai, G.; Morandage, S.; Zörner, M.; Vereecken, H.; van der Kruk, J. Monitoring Soil Water Content Using Time-Lapse Horizontal Borehole GPR Data at the Field-Plot Scale. Vadose Zone J. 2019, 18, 190044. [Google Scholar] [CrossRef]
 - Huisman, J.A.; Snepvangers, J.J.J.C.; Bouten, W.; Heuvelink, G.B.M. Monitoring Temporal Development of Spatial Soil Water Content Variation: Comparison of Ground Penetrating Radar and Time Domain Reflectometry. Vadose Zone J. 2003, 2, 519–529. [Google Scholar] [CrossRef]
 - Pettinelli, E.; Vannaroni, G.; Di Pasquo, B.; Mattei, E.; Di Matteo, A.; De Santis, A.; Annan, P.A. Correlation between near-surface electromagnetic soil parameters and early-time GPR signals: An experimental study. Geophysics 2007, 72, A25–A28. [Google Scholar] [CrossRef]
 - Pettinelli, E.; Di Matteo, A.; Beaubien, S.E.; Mattei, E.; Lauro, S.E.; Galli, A.; Vannaroni, G. A controlled experiment to investigate the correlation between early-time signal attributes of ground-coupled radar and soil dielectric properties. J. Appl. Geophys. 2014, 101, 68–76. [Google Scholar] [CrossRef]
 - Di Matteo, A.; Pettinelli, E.; Slob, E. Early-time GPR signal attributes to estimate soil dielectric permittivity: A theoretical study. IEEE Trans. Geosci. Remote Sens. 2013, 51, 1643–1654. [Google Scholar] [CrossRef]
 - Ferrara, C.; Barone, P.; Steelman, C.; Pettinelli, E.; Endres, A. Monitoring shallow soil water content under natural field conditions using the early-time GPR signal technique. Vadose Zone J. 2013, 12, 1–9. [Google Scholar] [CrossRef]
 - Algeo, J.; Van Dam, R.L.; Slater, L. Early-Time GPR: A Method to Monitor Spatial Variations in Soil Water Content during Irrigation in Clay Soils. Vadose Zone J. 2016, 15, 1–9. [Google Scholar] [CrossRef]
 - LÜ, H.; NIE, J.; WANG, Z. Monitoring soil moisture content using early-signal of GPR amplitude. J. Soils 2022, 54, 169–176. [Google Scholar]
 - Benedetto, A. Water content evaluation in unsaturated soil using GPR signal analysis in the frequency domain. J. Appl. Geophys. 2010, 71, 26–35. [Google Scholar] [CrossRef]
 - Benedetto, A.; Benedetto, F. Remote Sensing of Soil Moisture Content by GPR Signal Processing in the Frequency Domain. IEEE Sens. J. 2011, 11, 2432–2441. [Google Scholar] [CrossRef]
 - Benedetto, A.; Tosti, F.; Ortuani, B.; Giudici, M.; Mele, M. Soil moisture mapping using GPR for pavement applications. In Proceedings of the 2013 7th International Workshop on Advanced Ground Penetrating Radar, Nantes, France, 2–5 July 2013; pp. 1–5. [Google Scholar]
 - Laurens, S.; Balayssac, J.P.; Rhazi, J.; Klysz, G.; Arliguie, G. Non-destructive evaluation of concrete moisture by GPR: Experimental study and direct modeling. Mater. Struct. 2005, 38, 827–832. [Google Scholar] [CrossRef]
 - Cui, F.; Wu, Z.; Wang, L.; Wu, Y. Application of the Ground Penetrating Radar ARMA power spectrum estimation method to detect moisture content and compactness values in sandy loam. J. Appl. Geophys. 2015, 120, 26–35. [Google Scholar] [CrossRef]
 - Lai, W.L.; Kind, T.; Wiggenhauser, H. A Study of Concrete Hydration and Dielectric Relaxation Mechanism Using Ground Penetrating Radar and Short-Time Fourier Transform. EURASIP J. Adv. Signal Process. 2010, 2010, 317216. [Google Scholar] [CrossRef]
 - Lai, W.L.; Kind, T.; Wiggenhauser, H. Using Ground Penetrating Radar and Time–Frequency Analysis to Characterize Construction Materials. NDT&E Int. 2011, 44, 111–120. [Google Scholar]
 - Lai, W.L.; Kind, T.; Kruschwitz, S.; Wöstmann, J.; Wiggenhauser, H. Spectral Absorption of Spatial and Temporal Ground Penetrating Radar Signals by Water in Construction Materials. NDT&E Int. 2014, 67, 55–63. [Google Scholar]
 - Zhang, S.; Zhang, L.; Ling, T.; Fu, G.; Guo, Y. Experimental research on evaluation of soil water content using ground penetrating radar and wavelet packet-based energy analysis. Remote Sens. 2021, 13, 5047. [Google Scholar] [CrossRef]
 - Bianchini Ciampoli, L.; Calvi, A.; D’Amico, F. Railway Ballast monitoring by GPR: A test-site investigation. Remote Sens. 2019, 11, 2381. [Google Scholar] [CrossRef]
 - Cheng, Q.; Zhang, S.; Chen, X.; Cui, H.; Xu, Y.; Xia, S.; Xia, K.; Zhou, T.; Zhou, X. Inversion of reclaimed soil water content based on a combination of multi-attributes of ground penetrating radar signals. J. Appl. Geophys. 2023, 213, 105019. [Google Scholar] [CrossRef]
 - Klewe, T.; Strangfeld, C.; Kruschwitz, S. Review of moisture measurements in civil engineering with ground penetrating radar–Applied methods and signal features. Constr. Build. Mater. 2021, 278, 122250. [Google Scholar] [CrossRef]
 - Li, Z.; Zeng, Z.; Xiong, H.; Lu, Q.; An, B.; Yan, J.; Li, R.; Xia, L.; Wang, H.; Liu, K. Study on Rapid Inversion of Soil Water Content from Ground-Penetrating Radar Data Based on Deep Learning. Remote Sens. 2023, 15, 1906. [Google Scholar] [CrossRef]
 - Li, X.; Cheng, X.; Zhao, Y.; Xiang, B.; Zhang, T. Deep Learning-Based Ground-Penetrating Radar Inversion for Tree Roots in Heterogeneous Soil. Sensors 2025, 25, 947. [Google Scholar] [CrossRef]
 - Zhang, X.; Zhao, X.; Li, S.; Lv, S.; Lin, C.; Wen, J. GPR-CUNet: Spatio-Temporal Feature Fusion Based GPR Forward and Inversion Cycle Network for Root Scene Survey. IEEE Sens. J. 2025, 25, 7569–7583. [Google Scholar] [CrossRef]
 - Lu, Q.; Liu, K.; Zeng, Z.; Liu, S.; Li, R.; Xia, L.; Guo, S.; Li, Z. Estimation of the Soil Water Content Using the Early Time Signal of Ground-Penetrating Radar in Heterogeneous Soil. Remote Sens. 2023, 15, 3026. [Google Scholar] [CrossRef]
 - Mie, G. Beiträge zur Optik trüber Medien, speziell kolloidaler Metallösungen. Ann. Phys. 1908, 330, 377. [Google Scholar] [CrossRef]
 - Ma, S.; Ma, Q.; Liu, X. Applications of chirp Z transform and multiple modulation zoom spectrum to pulse phase thermography inspection. NDT&E Int. 2013, 54, 1–8. [Google Scholar]
 - Xie, G.; Nie, J.; Chen, Z.; Xiong, Y.; Feng, Y.; Chen, D. Soil Moisture State Prediction Based on Ground Penetrating Radar Power Spectrum Properties Parameters. Water Saving Irrigation 2023, 10, 28–35. [Google Scholar]
 - Coscia, M. Pearson correlations on complex networks. J. Complex Netw. 2021, 9, cnab036. [Google Scholar] [CrossRef]
 - Wen, C.; Zhang, A.; Quan, S.; Wang, X. BeSS: An R Package for Best Subset Selection in Linear, Logistic and Cox Proportional Hazards Models. J. Stat. Softw. 2020, 94, 1–24. [Google Scholar] [CrossRef]
 - Hastie, T.; Tibshirani, R.; Tibshirani, R. Best subset, forward stepwise or lasso? Analysis and recommendations based on extensive comparisons. Stat. Sci. 2020, 35, 579–592. [Google Scholar] [CrossRef]
 - Menze, B.H.; Kelm, B.M.; Masuch, R.; Himmelreich, U.; Bachert, P.; Petrich, W.; Hamprecht, F.A. A comparison of random forest and its Gini importance with standard chemometric methods for the feature selection and classification of spectral data. BMC Bioinform. 2009, 10, 213. [Google Scholar] [CrossRef]
 - Zhang, Q.; Yu, H.; Barbiero, M.; Wang, B.; Gu, M. Artificial neural networks enabled by nanophotonics. Light Sci. Appl. 2019, 8, 42. [Google Scholar] [CrossRef]
 - Zador, A.M. A Critique of Pure Learning and What Artificial Neural Networks Can Learn from Animal Brains. Nat. Commun. 2019, 10, 3770–3777. [Google Scholar] [CrossRef]
 












| Feature | Definition | Formula | 
|---|---|---|
| PF | Frequency at which the power spectral amplitude is maximized | |
| CF | Frequency at which the power spectral energy occupies half of the total energy | |
| CEF | Weighted average frequency using the amplitude of the power spectral density as weights | |
| FBE | Total energy within the frequency band | |
| DFE | Maximum value of the power spectral density | |
| BEP | Ratio of the power spectral density of a single frequency band to that of the total frequency band | 
| Feature | Mined Area | Unmined Area | Feature | Mined Area | Unmined Area | 
|---|---|---|---|---|---|
| FBE | −0.38 | −0.13 | BEP400–500MHz | 0.09 | −0.01 | 
| CF | −0.68 | −0.63 | BEP500–600MHz | 0.63 | 0.08 | 
| CEF | −0.60 | −0.49 | BEP600–700MHz | 0.26 | 0.16 | 
| DFE | −0.35 | −0.72 | BEP700–800MHz | −0.12 | −0.20 | 
| PF | −0.57 | −0.86 | BEP0–200MHz | 0.69 | 0.26 | 
| BEP0–100MHz | 0.62 | 0.07 | BEP200–400MHz | −0.71 | −0.21 | 
| BEP100–200MHz | 0.69 | 0.26 | BEP400–600MHz | 0.21 | 0.04 | 
| BEP200–300MHz | −0.26 | 0.29 | BEP600–800MHz | 0.19 | 0.11 | 
| BEP300–400MHz | −0.67 | −0.46 | 
| Survey Area | Model | Modeling Set | Validation Set | ||
|---|---|---|---|---|---|
| R2 | RMSE (cm3/cm3) | R2 | RMSE (cm3/cm3) | ||
| Mined area | AEA−1-SVWC | 0.69 | 0.0112 | 0.60 | 0.0121 | 
| PF-SVWC | 0.30 | 0.0172 | 0.44 | 0.0143 | |
| Muti-BP-SVWC | 0.82 | 0.0086 | 0.77 | 0.0091 | |
| Unmined area | AEA−1-SVWC | 0.76 | 0.0101 | 0.48 | 0.0106 | 
| PF-SVWC | 0.61 | 0.0119 | 0.81 | 0.0065 | |
| Muti-BP-SVWC | 0.90 | 0.0066 | 0.84 | 0.0059 | |
Disclaimer/Publisher’s Note: The statements, opinions and data contained in all publications are solely those of the individual author(s) and contributor(s) and not of MDPI and/or the editor(s). MDPI and/or the editor(s) disclaim responsibility for any injury to people or property resulting from any ideas, methods, instructions or products referred to in the content.  | 
© 2025 by the authors. Licensee MDPI, Basel, Switzerland. This article is an open access article distributed under the terms and conditions of the Creative Commons Attribution (CC BY) license (https://creativecommons.org/licenses/by/4.0/).
Share and Cite
Qiu, C.; Du, W.; Zhang, S.; Ru, X.; Liu, W.; Zhong, C. Shallow Subsurface Soil Moisture Estimation in Coal Mining Area Using GPR Signal Features and BP Neural Network. Water 2025, 17, 873. https://doi.org/10.3390/w17060873
Qiu C, Du W, Zhang S, Ru X, Liu W, Zhong C. Shallow Subsurface Soil Moisture Estimation in Coal Mining Area Using GPR Signal Features and BP Neural Network. Water. 2025; 17(6):873. https://doi.org/10.3390/w17060873
Chicago/Turabian StyleQiu, Chaoqi, Wenfeng Du, Shuaiji Zhang, Xuewen Ru, Wei Liu, and Chuanxing Zhong. 2025. "Shallow Subsurface Soil Moisture Estimation in Coal Mining Area Using GPR Signal Features and BP Neural Network" Water 17, no. 6: 873. https://doi.org/10.3390/w17060873
APA StyleQiu, C., Du, W., Zhang, S., Ru, X., Liu, W., & Zhong, C. (2025). Shallow Subsurface Soil Moisture Estimation in Coal Mining Area Using GPR Signal Features and BP Neural Network. Water, 17(6), 873. https://doi.org/10.3390/w17060873
        