Calculation of Urban Groundwater Environmental Carrying Capacity Driven by Multiple Factors
Abstract
1. Introduction
2. Materials and Methods
2.1. The Response Relationship Between Urbanization and GW-ECC
2.2. Source and Sink Items Calculation of the Urban Groundwater System
2.3. GW-ECC Model Considering the Impacts of Urbanization
2.4. Evaluation of Regulatory Schemes for Improving Groundwater Environment Capacity
3. Results and Discussion
3.1. Overview of the Study Area
3.2. Data Sources
3.3. Urban Land Use Change Analysis
3.4. Calculation of Groundwater Sources and Sinks
3.4.1. Generalization of the Groundwater Flow Field
3.4.2. Calculation of Sources and Sinks
3.4.3. Pollution Factors and Initial Condition Settings
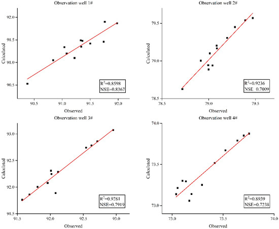
3.4.4. Model Validation
3.5. Calculation of GW-ECC
3.5.1. Changes in GW-ECC in the Present Year
3.5.2. Evaluation of the Control Scheme
4. Conclusions
Author Contributions
Funding
Data Availability Statement
Conflicts of Interest
Abbreviations
| GW-ECC | Groundwater environmental carrying capacity |
References
- Döll, P.; Fiedler, K. Global-scale modeling of groundwater recharge. Hydrol. Earth Syst. Sci. 2008, 12, 863–885. [Google Scholar] [CrossRef]
- Mirdashtvan, M.; Najafinejad, A.; Malekian, A.; Sa’doddin, A. Sustainable water supply and demand management in semi-arid regions: Optimizing water resources allocation based on RCPs scenarios. Water Resour. Manag. 2021, 35, 5307–5324. [Google Scholar] [CrossRef]
- Velis, M.; Conti, K.I.; Biermann, F. Groundwater and human development: Synergies and trade-offs within the context of the sustainable development goals. Sustain. Sci. 2017, 12, 1007–1017. [Google Scholar] [CrossRef] [PubMed]
- Tan, L.; Zhang, X.; Qi, J.; Sun, D.; Marek, G.W.; Feng, P.; Li, B.; Liu, D.L.; Li, B.; Srinivasan, R.; et al. Assessment of the sustainability of groundwater utilization and crop production under optimized irrigation strategies in the North China Plain under future climate change. Sci. Total Environ. 2023, 899, 165619. [Google Scholar] [CrossRef] [PubMed]
- Dai, J.; Li, R.; Miao, Q.; Li, C.; Lu, Y.; Hua, Z. Shallow groundwater enhances water productivity of maize in arid area. Irrig. Sci. 2022, 40, 885–908. [Google Scholar] [CrossRef]
- Ramos, N.F.; Folch, A.; Fernàndez-Garcia, D.; Lane, M.; Thomas, M.; Gathenya, J.M.; Wara, C.; Thomson, P.; Custodio, E.; Hope, R. Evidence of groundwater vulnerability to climate variability and economic growth in coastal Kenya. J. Hydrol. 2020, 586, 124920. [Google Scholar] [CrossRef]
- Kazakis, N.; Voudouris, K.S. Groundwater vulnerability and pollution risk assessment of porous aquifers to nitrate: Modifying the DRASTIC method using quantitative parameters. J. Hydrol. 2015, 525, 13–25. [Google Scholar] [CrossRef]
- McGrane, S.J. Impacts of urbanisation on hydrological and water quality dynamics, and urban water management: A review. Hydrol. Sci. J. 2016, 61, 2295–2311. [Google Scholar] [CrossRef]
- Gao, X.; Huo, Z.; Xu, X.; Qu, Z.; Huang, G.; Tang, P.; Bai, Y. Shallow groundwater plays an important role in enhancing irrigation water productivity in an arid area: The perspective from a regional agricultural hydrology simulation. Agric. Water Manag. 2018, 208, 43–58. [Google Scholar] [CrossRef]
- Li, Y.; Qiu, R.; Yang, Z.; Li, C.; Yu, J. Parameter determination to calculate water environmental capacity in Zhangweinan Canal Sub-basin in China. J. Environ. Sci. 2010, 22, 904–907. [Google Scholar] [CrossRef] [PubMed]
- Tao, W.; Weihua, Z.; Mengchang, H. Study of the seasonal water environmental capacity of the Central Shaanxi reach of the Wei River. Procedia Environ. Sci. 2012, 13, 2161–2168. [Google Scholar] [CrossRef][Green Version]
- Ma, Q.; Pang, Y.; Mu, R. Water environmental capacity calculation based on control of contamination zone for water environment functional zones in Jiangsu section of Yangtze river, China. Water 2021, 13, 587. [Google Scholar] [CrossRef]
- Zhu, K.; Chen, L.; Chen, S.; Sun, C.; Wang, W.; Shen, Z. New framework for managing the water environmental capacity integrating the watershed model and stochastic algorithm. Sci. Total Environ. 2022, 816, 151659. [Google Scholar] [CrossRef]
- Feng, L.; Li, Q.; Zhang, L.; Wang, H.; Wang, W.; Han, J.; Li, B.L. Exploring the effect of floodgates operation systems on water environmental capacity in a regulated river network of Wuxi, China. J. Clean. Prod. 2021, 299, 126743. [Google Scholar] [CrossRef]
- Yue, Q.; Hou, L.; Wang, T.; Wang, L.; Zhu, Y.; Wang, X.; Cheng, X. Optimization of industrial structure based on water environmental carrying capacity in Tieling City. Water Sci. Technol. 2015, 71, 1255–1262. [Google Scholar] [CrossRef] [PubMed]
- Wang, L.; Yu, L.; Liu, C.; Sun, N.; Feng, M. Research on the water environment capacity of Qingyi River (Xuchang Section) with GIS technology. In Proceedings of the MATEC Web of Conferences, Zhengzhou, China, 28–30 November 2016; EDP Sciences: Les Ulis, France, 2017. [Google Scholar]
- Ma, Q.; Luo, Z.; Wang, Q. Evaluation of Groundwater Environmental Capacity in Nantong, China. Fresenius Environ. Bull. 2017, 26, 5236–5250. [Google Scholar]
- Xing, L.T.; Wu, Q.; Ye, C.H.; Ye, N. Groundwater environmental capacity and its evaluation index. Environ. Monit. Assess. 2010, 169, 217–227. [Google Scholar] [CrossRef]
- Qu, J.; Wang, H.; Yang, L. Multi-Objective Evaluation Model of Groundwater Carrying Capacity in Irrigation District. In Proceedings of the 2010 2nd International Conference on Information Engineering and Computer Science, Wuhan, China, 25–26 December 2010; IEEE: Piscataway, NJ, USA, 2010. [Google Scholar]
- Neysiani, S.N.; Roozbahani, A.; Javadi, S.; Shahdany, S.M.H. Water resources assessment of zayandeh-rood river basin using integrated surface water and groundwater footprints and K-means clustering method. J. Hydrol. 2022, 614, 128549. [Google Scholar] [CrossRef]
- Patra, S.; Sahoo, S.; Mishra, P.; Mahapatra, S.C. Impacts of urbanization on land use/cover changes and its probable implications on local climate and groundwater level. J. Urban Manag. 2018, 7, 70–84. [Google Scholar] [CrossRef]
- Chai, T. Management of Groundwater Basin: Theory and Practice; Wang, B.C., Translator; Geological Publ House: Beijing, China, 1981. [Google Scholar]
- Rassam, D.W.; Peeters, L.; Pickett, T.; Jolly, I.; Holz, L. Accounting for surface–groundwater interactions and their uncertainty in river and groundwater models: A case study in the Namoi River, Australia. Environ. Model. Softw. 2013, 50, 108–119. [Google Scholar] [CrossRef]
- Mushtaq, F.; Rehman, H.; Ali, U.; Babar, M.S.; Al-Suwaiyan, M.S.; Yaseen, Z.M. An investigation of recharging groundwater levels through river ponding: New strategy for water management in sutlej river. Sustainability 2023, 15, 1047. [Google Scholar] [CrossRef]
- Hsieh, P.-C.; Huang, J.-L.; Wu, M.-C. Response of groundwater levels in a coastal aquifer to tidal waves and rainfall recharge. Water 2020, 12, 625. [Google Scholar] [CrossRef]
- Bouimouass, H.; Fakir, Y.; Tweed, S.; Leblanc, M. Groundwater sustainability in a semiarid traditional irrigation piedmont supplied by high mountain streamflow. In Proceedings of the EGU General Assembly Conference Abstracts, Online, 19–30 April 2021. [Google Scholar]
- Chang, B.; Wherley, B.; Aitkenhead-Peterson, J.A.; McInnes, K.J. Effects of urban residential landscape composition on surface runoff generation. Sci. Total Environ. 2021, 783, 146977. [Google Scholar] [CrossRef] [PubMed]
- Wang, W.; Wang, Z.; Guan, L.; Dang, Y.; Zhang, Z.; Wang, H.; Duan, L.; Wang, Z.; Hou, R. Modes, hydrodynamic processes and ecological impacts exerted by river-groundwater transformation in Junggar Basin, China. Hydrogeol. J. 2018, 26, 1547. [Google Scholar] [CrossRef]
- Fetter, C.W. Applied Hydrogeology; Waveland Press: Long Grove, IL, USA, 2018. [Google Scholar]
- Schiavo, M. Quantile-Based Approach for Improving the Identification of Preferential Groundwater Networks. Water 2025, 17, 282. [Google Scholar] [CrossRef]
- Hu, H.; Mao, X.; Yang, Q. Impacts of Yongding River ecological restoration on the groundwater environment: Scenario prediction. Vadose Zone J. 2018, 17, 1–15. [Google Scholar] [CrossRef]
- Lu, L.; Zhu, S.; Liu, Z. Laboratory investigation of the permeability properties of cement mortar with different sand–cement ratios. Adv. Cem. Res. 2022, 34, 292–300. [Google Scholar] [CrossRef]
- Demir, V.; Uray, E.; Orhan, O.; Yavariabdi, A.; Kusetogullari, H. Trend analysis of ground-water levels and the effect of effective soil stress change: The case study of Konya Closed Basin. Avrupa Bilim Teknol. Dergisi. 2021, 24, 515–522. [Google Scholar] [CrossRef]
- Demir, V. Trend analysis of lakes and sinkholes in the Konya Closed Basin, in Turkey. Nat. Hazards 2022, 112, 2873–2912. [Google Scholar] [CrossRef]
- Yang, J.; Huang, X. The 30 m annual land cover dataset and its dynamics in China from 1990 to 2019. Earth Syst. Sci. Data 2021, 13, 3907–3925. [Google Scholar] [CrossRef]
- Zhao, Q.; Zhang, B.; Yao, Y.; Wu, W.; Meng, G.; Chen, Q. Geodetic and hydrological measurements reveal the recent acceleration of groundwater depletion in North China Plain. J. Hydrol. 2019, 575, 1065–1072. [Google Scholar] [CrossRef]
- GB/T14848-2017; Ministry of Ecology and Environment Groundwater Quality Standards. China Standards Publishing House: Beijing, China, 2017.
- D’Oria, M.; Balacco, G.; Todaro, V.; Alfio, M.R.; Tanda, M.G. Assessing the impact of climate change on a coastal karst aquifer in a semi-arid area. Groundw. Sustain. Dev. 2024, 25, 101131. [Google Scholar] [CrossRef]
- Lü, X.-L.; Liu, J.-T.; Han, Z.-T.; Zhu, L.; Li, H.-J. Characteristics and causes of high-manganese groundwater in Pearl River Delta during urbanization. Huan Jing Ke Xue 2022, 43, 4449–4458. [Google Scholar] [PubMed]
- Wang, L.; Zhang, Q.; Wang, H. Rapid Urbanization Has Changed the Driving Factors of Groundwater Chemical Evolution in the Large Groundwater Depression Funnel Area of Northern China. Water 2023, 15, 2917. [Google Scholar] [CrossRef]










| Schemes | Setting of Control Scheme | Simulation Result of GW-ECC in 2030 | ||||
|---|---|---|---|---|---|---|
| Groundwater Mining Intensity | Intensity of River Pollution Control | Urban Stormwater Management Optimization Measures | Consecutive Wet | Normal | Consecutive Dry | |
| Without control | - | - | - | 1964.5 | 1890.5 | 1825.2 |
| Scheme 1 | 20% | 10% | - | 2064.4 | 1987.8 | 1911.7 |
| Scheme 2 | 40% | 20% | - | 2159.3 | 2082.2 | 1984.2 |
| Scheme 3 | - | 10% | 5% | 2040.9 | 2001.8 | 1843.0 |
| Scheme 4 | - | 20% | 10% | 2135.6 | 2073.9 | 1962.9 |
| Scheme 5 | 20% | - | 5% | 2120.2 | 2015.8 | 1932.2 |
| Scheme 6 | 40% | - | 10% | 2271.1 | 2088.8 | 2039.6 |
| Scheme 7 | 20% | 10% | 5% | 2140.6 | 2035.5 | 1950.6 |
| Scheme 8 | 40% | 20% | 10% | 2311.7 | 2128.2 | 2076.6 |
Disclaimer/Publisher’s Note: The statements, opinions and data contained in all publications are solely those of the individual author(s) and contributor(s) and not of MDPI and/or the editor(s). MDPI and/or the editor(s) disclaim responsibility for any injury to people or property resulting from any ideas, methods, instructions or products referred to in the content. |
© 2025 by the authors. Licensee MDPI, Basel, Switzerland. This article is an open access article distributed under the terms and conditions of the Creative Commons Attribution (CC BY) license (https://creativecommons.org/licenses/by/4.0/).
Share and Cite
Zhou, Y.; Dou, M.; Gao, T.; Ning, K. Calculation of Urban Groundwater Environmental Carrying Capacity Driven by Multiple Factors. Water 2025, 17, 807. https://doi.org/10.3390/w17060807
Zhou Y, Dou M, Gao T, Ning K. Calculation of Urban Groundwater Environmental Carrying Capacity Driven by Multiple Factors. Water. 2025; 17(6):807. https://doi.org/10.3390/w17060807
Chicago/Turabian StyleZhou, Yuze, Ming Dou, Ting Gao, and Kaizi Ning. 2025. "Calculation of Urban Groundwater Environmental Carrying Capacity Driven by Multiple Factors" Water 17, no. 6: 807. https://doi.org/10.3390/w17060807
APA StyleZhou, Y., Dou, M., Gao, T., & Ning, K. (2025). Calculation of Urban Groundwater Environmental Carrying Capacity Driven by Multiple Factors. Water, 17(6), 807. https://doi.org/10.3390/w17060807

