Spatial and Temporal Scales of Variability of Mollusks in a Strongly Threatened Mediterranean Coastal Lagoon (Mar Menor, Murcia, Spain)
Abstract
1. Introduction
2. Materials and Methods
2.1. The Mar Menor Lagoon
2.2. Data Sets and Sampling Methods
2.3. Data Analysis
3. Results
3.1. Environmental Conditions That Characterize the Study Period
3.2. Composition and Structure of Lagoon Mollusk Assemblages
Characterization of Habitats and Assemblages
3.3. Temporal Changes in the Molluskan Assemblages’ Composition and Structure
3.3.1. Temporal Changes in Molluskan Assemblages’ Composition
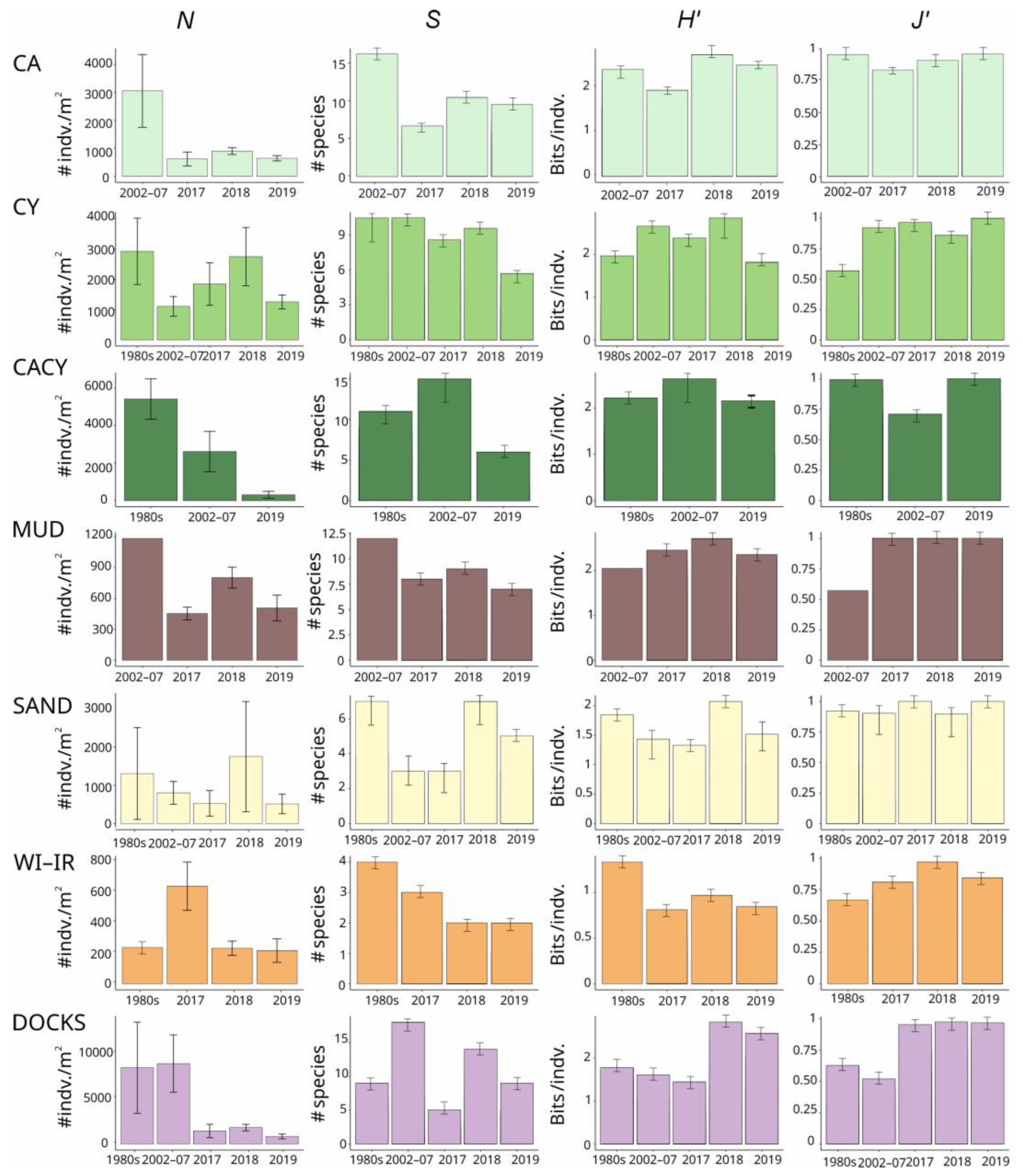
3.3.2. Changes in the Molluskan Assemblages’ Structure Descriptors
4. Discussion
Supplementary Materials
Author Contributions
Funding
Data Availability Statement
Acknowledgments
Conflicts of Interest
References
- Pérez-Ruzafa, A.; Pérez-Ruzafa, I.M.; Newton, A.; Marcos, C. Coastal lagoons: Environmental variability, ecosystem complexity, and goods and services uniformity. In Coasts and Estuaries, the Future; Wolanski, E., Day, J., Elliott, M., Ramesh, R., Eds.; Elsevier: Amsterdam, The Netherlands, 2019; pp. 253–276. [Google Scholar]
- UNESCO. Coastal Lagoons Research, Present and Future; UNESCO Technical Papers in Marine Science, 33; UNESCO: Paris, France, 1981. [Google Scholar]
- Tagliapietra, D.; Sigovini, M.; Volpi-Ghirardini, A. A review of terms and definitions to categorise estuaries, lagoons and associated environments. Mar. Freshw. Res. 2009, 60, 497–509. [Google Scholar] [CrossRef]
- Anthony, A.; Atwood, J.; August, P.; Byron, C.; Cobb, S.; Foster, C.; Fry, A.; Gold, A.; Hagos, K.; Heffner, L.; et al. Coastal lagoons and climate change: Ecological and social ramifications in U.S. Atlantic and Gulf coast ecosystems. Ecol. Soc. 2009, 14, 8. Available online: http://www.ecologyandsociety.org/vol14/iss1/art8/ (accessed on 20 January 2021). [CrossRef]
- Russi, D.; ten Brink, P.; Farmer, A.; Badura, T.; Coastes, D.; Förster, J.; Kumar, R.; Davidson, N. The Economics of Ecosystems and Biodiversity for Water and Wetlands; IEEP: London, UK; Brussels, Belgium; Ramsar Secretariat: Gland, Switzerland, 2013. [Google Scholar]
- Pérez-Ruzafa, A.; Pérez-Marcos, M.; Marcos, C. Coastal lagoons in focus: Their environmental and socioeconomic importance. J. Nat. Conserv. 2020, 57, 125886. [Google Scholar] [CrossRef]
- Pérez-Ruzafa, A.; Molina-Cuberos, G.J.; García-Oliva, M.; Umgiesser, G.; Marcos, C. Why coastal lagoons are so productive? Physical bases of fishing productivity in coastal lagoons. Sci. Total Environ. 2024, 922, 171264. [Google Scholar] [CrossRef]
- European Environment Agency. Ecosystem accounting and the cost of biodiversity losses. In The Case of Coastal Mediterranean Wetlands; EEA Technical Report 3/2010; EEA: Copenhagen, Denmark, 2010. [Google Scholar]
- De Wit, R. Biodiversity of coastal lagoon ecosystems and their vulnerability to global change. In Ecosystems Biodiversity; BoD—Books on Demand: Norderstedt, Germany, 2011; pp. 29–40. [Google Scholar]
- Janas, U.; Burska, D.; Kendzierska, H.; Pryputniewicz-Flis, D.; Łukawska-Matuszewska, K. Importance of benthic macrofauna and coastal biotopes for ecosystem functioning. Oxygen and nutrient fluxes in the coastal zone. Estuar. Coast. Shelf Sci. 2019, 225, 106238. [Google Scholar] [CrossRef]
- Sigovini, M. Multiscale Dynamics of Zoobenthic Communities and Relationships with Environmental Factors in the Lagoon of Venice. Ph.D. Thesis, Università Ca’Foscari di Venezia, Venice, Italy, 2011. [Google Scholar]
- Quispe, J.I. Dinámica Espacio-Temporal del Ictioplancton del Mar Menor (SE España). Ph.D. Thesis, University of Murcia, Murcia, Spain, 2014. [Google Scholar]
- Paraskevopoulou, S.; Monokrousos, N.; Kappas, I.; Abatzopoulos, T.J. Spatio-temporal variability of benthic macrofauna in a coastal lagoon assessed by ecological interaction networks. Community Ecol. 2015, 16, 10–22. [Google Scholar] [CrossRef]
- Rueda, J.L.; Gofas, S.; Urra, J.; Salas, C. A highly diverse molluscan assemblage associated with eelgrass beds (Zostera marina L.) in the Alboran Sea: Micro-habitat preference, feeding guilds and biogeographical distribution. Sci. Mar. 2009, 73 (Suppl. S4), 679–700. [Google Scholar] [CrossRef]
- De Jesús-Carrillo, R.M.; Ocaña, F.A.; Hernández-Ávila, I.; Mendoza-Carranza, M.; Sánchez, A.J.; Barba-Macías, E. Mollusk distribution in four habitats along a salinity gradient in a coastal lagoon from the Gulf of Mexico. J. Nat. Hist. 2020, 54, 1257–1270. [Google Scholar] [CrossRef]
- Avramidis, P.; Iliopoulos, G.; Kontopoulos, N.; Panagiotaras, D.; Barouchas, P.; Nikolaou, K.; Papadopoulou, P. Depositional environments, sediment characteristics, palaeoecological analysis and environmental assessment of an internationally protected shallow Mediterranean lagoon, Gialova Lagoon—Navarino Bay, Greece. Earth Environ. Sci. Trans. R. Soc. Edinb. 2014, 105, 189–206. [Google Scholar] [CrossRef]
- Currás, A.; Ghilardi, M.; Peche-Quilichini, K.; Fagel, N.; Vacchi, M.; Delanghe, D.; Ottaviani, J.C. Reconstructing past landscapes of the eastern plain of Corsica (NW Mediterranean) during the last 6000 years based on molluscan, sedimentological and palynological analyses. J. Archaeol. Sci. Rep. 2017, 12, 755–769. [Google Scholar] [CrossRef]
- Mars, P. Recherches sur quelques étangs du litoral méditerranéen francais et sur leurs faunes malacologiques. Vie Milieu 1966, 20, 1–359. [Google Scholar]
- Nicolaidou, A.; Bourgoutzani, F.; Zenetos, A.; Guelorget, O.; Perthuisot, J.P. Distribution of molluscs and polychaetes in coastal lagoons in Greece. Estuar. Coast. Shelf Sci. 1988, 26, 337–350. [Google Scholar] [CrossRef]
- Millet, B.; Guelorget, O. Relationships between benthic communities and physical environment in a lagoon ecosystem. J. Coast. Res. 1993, 9, 378–389. [Google Scholar]
- Bernasconi, M.P.; Stanley, D.J. Molluscan biofacies and their environmental implications, Nile delta lagoons, Egypt. J. Coast. Res. 1994, 10, 440–465. [Google Scholar]
- Koutsoubas, D.; Dounas, C.; Arvanitidis, C.; Kornilios, S.; Petihakis, G.; Triantafyllou, G.; Eleftheriou, A. Macrobenthic community structure and disturbance assessment in Gialova Lagoon, Ionian Sea. ICES J. Mar. Sci. 2000, 57, 1472–1480. [Google Scholar] [CrossRef]
- Tlig-Zouari, S.; Maamouri-Mokhtar, F. Macrozoobenthic species composition and distribution in the Northern lagoon of Tunis. Trans. Waters Bull. 2008, 2, 1–15. [Google Scholar]
- Evagelopoulos, A.; Koutsoubas, D.; Gerovasileiou, V.; Katsiaras, N. Macrobenthic molluscs from a marine-lagoonal environmental transition in Lesvos Island (Greece). Biodivers. Data J. 2016, 4, e9541. [Google Scholar] [CrossRef]
- Orabi, O.H.; El-Badry, A.E.M.A.; Alhejoj, I. Response of mollusk assemblages to environmental conditions: A case study from the Burullus Lagoon, Egypt. J. Geol. Soc. India 2018, 91, 583–588. [Google Scholar] [CrossRef]
- Bellino, A.; Mangano, M.C.; Baldantoni, D.; Russell, B.D.; Mannino, A.M.; Mazzola, A.; Vizzini, S.; Sarà, G. Seasonal patterns of biodiversity in Mediterranean coastal lagoons. Divers. Distrib. 2019, 25, 1512–1526. [Google Scholar] [CrossRef]
- Leonardi, M.; Bergamasco, A.; Giacobbe, S.; Azzaro, F.; Cosentino, A.; Crupi, A.; Lanza, A.; Randazzo, G.; Crisafi, E. A four decades multiparametric investigation in a Mediterranean dynamic ecosystem: Mollusc assemblages answer to the environmental changes. Estuar. Coast. Shelf Sci. 2020, 234, 106625. [Google Scholar] [CrossRef]
- El Asri, F.; Martin, D.; Errhif, A.; Tamsouri, M.N.; Maanan, M.; Zidane, H. Community structure and spatial patterns of soft-bottom macrozoobenthos in Oualidia Lagoon, Moroccan Atlantic. Thalass. Int. J. Mar. Sci. 2021, 37, 119–129. [Google Scholar] [CrossRef]
- El Kamcha, R.; Boutoumit, S.; Bououarour, O.; Pouzet, P.; Maanan, M.; Benhoussa, A.; Bazairi, H. New insights into the benthic composition and structure in a southern-west Mediterranean coastal lagoon after restoration actions: Spatial and seasonal patterns. Reg. Stud. Mar. Sci. 2023, 60, 102820. [Google Scholar] [CrossRef]
- Bachelet, G.; De Montaudouin, X.; Auby, I.; Labourg, P.J. Seasonal changes in macrophyte and macrozoobenthos assemblages in three coastal lagoons under varying degrees of eutrophication. ICES J. Mar. Sci. 2000, 57, 1495–1506. [Google Scholar] [CrossRef]
- Macali, A.; Conde, A.; Smriglio, C.; Mariottini, P.; Crocetta, F. The evolution of the molluscan biota of Sabaudia Lake: A matter of human history. Sci. Mar. 2013, 77, 649–662. [Google Scholar] [CrossRef]
- Elgharsalli, R.; Rabaoui, L.; Aloui-Bejaoui, N. Community structure of a molluscan assemblage in an anthropized environment, Hammamet Marina, North-Eastern Tunisia. Turk. J. Fish. Aquat. Sci. 2015, 15, 757–766. [Google Scholar] [CrossRef]
- Fortunato, H. Mollusks: Tools in environmental and climate research. Am. Malacol. Bull. 2015, 33, 310–324. [Google Scholar] [CrossRef]
- Wakkaf, T.; El Zrelli, R.; Kedzierski, M.; Balti, R.; Shaiek, M.; Mansour, L.; Tlig-Zouari, S.; Bruzaud, S.; Rabaoui, L. Microplastics in edible mussels from a southern Mediterranean lagoon: Preliminary results of seawater-mussel transfer and implications for environmental protection and seafood safety. Mar. Pollut. Bull. 2020, 158, 111355. [Google Scholar] [CrossRef]
- Abdelhady, A.A. Anthropogenic-induced environmental changes in the Nile-delta and their consequences on molluscan biodiversity and community structure. Ecol. Indic. 2021, 126, 107654. [Google Scholar] [CrossRef]
- Sandonnini, J.; Del Pilar-Ruso, Y.; Valverde-Urrea, M.; Giménez-Casalduero, F. Infauna evolution of the invertebrate community after a severe eutrophic crisis in the coastal lagoon of the Mar Menor (W Mediterranean). Reg. Stud. Mar. Sci. 2024, 79, 103824. [Google Scholar] [CrossRef]
- Boscolo Brusà, R.; Cacciatore, F.; Ponis, E.; Molin, E.; Delaney, E. Clam culture in the Venice lagoon: Stock assessment of Manila clam (Venerupis philippinarum) populations at a nursery site and management proposals to increase clam farming sustainability. Aquat. Living Resour. 2013, 26, 1–10. [Google Scholar] [CrossRef][Green Version]
- Gangnery, A.; Chabirand, J.M.; Lagarde, F.; Le Gall, P.; Oheix, J.; Bacher, C.; Buestel, D. Growth model of the Pacific oyster, Crassostrea gigas, cultured in Thau Lagoon (Méditerranée, France). Aquaculture 2003, 215, 267–290. [Google Scholar] [CrossRef]
- Rosique, M.J.; Cano, J.; Rocamora, J. Variación estacional de la composición bioquímica y del índice de condición de la ostra plana Ostrea edulis L., del Mar Menor (Murcia, SE España). Iberus 1995, 13, 9–22. [Google Scholar]
- Chiesa, S.; Marzano, F.N.; Minervini, G.; De Lucrezia, D.; Baccarani, G.; Bordignon, G.; Argese, E. The invasive Manila clam Ruditapes philippinarum (Adams and Reeve, 1850) in Northern Adriatic Sea: Population genetics assessed by an integrated molecular approach. Fish. Res. 2011, 110, 259–267. [Google Scholar] [CrossRef]
- Crocetta, F.; Turolla, E. Mya arenaria Linné, 1758 (Mollusca: Bivalvia) in the Mediterranean Sea: Its distribution revisited. J. Biol. Res. 2011, 16, 188–193. [Google Scholar]
- Wolf, M.A.; Buosi, A.; Juhmani, A.S.F.; Sfriso, A. Shellfish import and hull fouling as vectors for new red algal introductions in the Venice Lagoon. Estuar. Coast. Shelf Sci. 2018, 215, 30–38. [Google Scholar] [CrossRef]
- Boudouresque, C.F.; Blanfuné, A.; Pergent, G.; Pergent-Martini, C.; Perret-Boudouresque, M.; Thibaut, T. Impacts of marine and lagoon aquaculture on macrophytes in Mediterranean benthic ecosystems. Front. Mar. Sci. 2020, 7, 218. [Google Scholar] [CrossRef]
- Arvanitidis, C.; Atzigeorgiou, G.; Koutsoubas, D.; Dounas, C.; Eleftheriou, A.; Koulouri, P. Mediterranean lagoons revisited: Weakness and efficiency of the rapid biodiversity assessment techniques in a severely fluctuating environment. Biodivers. Conserv. 2005, 14, 2347–2359. [Google Scholar] [CrossRef]
- Pérez-Ruzafa, A.; Marcos, C.; Pérez-Ruzafa, I.M.; Barcala, E.; Hegazi, M.I.; Quispe, J. Detecting changes resulting from human pressure in a naturally quick-changing and heterogeneous environment: Spatial and temporal scales of variability in coastal lagoons. Estuar. Coast. Shelf Sci. 2007, 75, 175–188. [Google Scholar] [CrossRef]
- Pérez-Ruzafa, A.; Marcos, C. Coastal lagoons in the context of water management in Spain and Europe. In Sustainable Use and Development of Watersheds; Gönenc, I.E., Vadineanu, A., Wolflin, J.P., Russo, R.C., Eds.; NATO Science for Peace and Security Series; Springer: Dordrecht, The Netherlands, 2008; pp. 299–321. [Google Scholar]
- Ghezzo, M.; De Pascalis, F.; Umgiesser, G.; Zemlys, P.; Sigovini, M.; Marcos, C.; Pérez-Ruzafa, A. Connectivity in three European coastal lagoons. Estuaries Coasts 2015, 38, 1764–1781. [Google Scholar] [CrossRef]
- García-Oliva, M.; Pérez-Ruzafa, Á.; Umgiesser, G.; McKiver, W.; Ghezzo, M.; De Pascalis, F.; Marcos, C. Assessing the hydrodynamic response of the Mar Menor lagoon to dredging inlets interventions through numerical modelling. Water 2018, 10, 959. [Google Scholar] [CrossRef]
- Aravio-Torre, J.; Arévalo, A. La salinidad del Mar Menor, sus variaciones. Algunas consideraciones sobre el intercambio de aguas con el Mar Mediterráneo. Boletín. Inst. Español Oceanogr. 1971, 146, 1–19. [Google Scholar]
- Pérez-Ruzafa, A.; Morkune, R.; Marcos, C.; Perez-Ruzafa, I.M.; Razinkovas-Baziukas, A. Can an oligotrophic coastal lagoon support high biological productivity? Sources and pathways of primary production. Mar. Environ. Res. 2020, 153, 104824. [Google Scholar] [CrossRef] [PubMed]
- Pérez-Ruzafa, A. Estudio Ecológico y Bionómico de los Poblamientos Bentónicos del Mar Menor (Murcia, SE de España). Ph.D. Thesis, University of Murcia, Murcia, Spain, 1989. [Google Scholar]
- Pérez-Ruzafa, A.; Ros, J.; Marcos, C.; Ballester, R.; Pérez-Ruzafa, I.M. Distribution and biomass of the macrophyte beds in a hypersaline coastal lagoon (the Mar Menor, SE Spain), and its recent evolution following major environmental changes. In International Workshop on Posidonia Beds; Bouderesque, C.F., Meinesz, A., Fresi, E., Gravez, V., Eds.; GIS Posidonie: Marseille, France, 1989; Volume 2, pp. 49–62. [Google Scholar]
- Pérez-Ruzafa, A.; Marcos, C.; Bernal, C.M.; Quintino, V.; Freitas, R.; Rodrigues, A.M.; García-Sánchez, M.; Pérez-Ruzafa, A. Cymodocea nodosa vs. Caulerpa prolifera: Causes and consequences of a long-term history of interaction in macrophyte meadows in the Mar Menor coastal lagoon (Spain, southwestern Mediterranean). Estuar. Coast. Shelf Sci. 2012, 110, 101–115. [Google Scholar] [CrossRef]
- Pérez-Ruzafa, A.; Hegazi, M.I.; Pérez-Ruzafa, I.M.; Marcos, C. Differences in spatial and seasonal patterns of macrophyte assemblages between a coastal lagoon and the open sea. Mar. Environ. Res. 2008, 65, 291–314. [Google Scholar] [CrossRef] [PubMed]
- Pérez-Ruzafa, A.; Dezileau, L.; Martínez-Sánchez, M.J.; Pérez-Sirvent, C.; Pérez-Marcos, M.; von Grafenstein, U.; Marcos, C. Long-term sediment records reveal over three thousand years of heavy metal inputs in the Mar Menor coastal lagoon (SE Spain). Sci. Total Environ. 2023, 902, 166417. [Google Scholar] [CrossRef]
- Pérez-Ruzafa, A.; García-Charton, J.A.; Barcala, E.; Marcos, C. Changes in benthic assemblages as a consequence of coastal works in a coastal lagoon: The Mar Menor (Spain, Western Mediterranean). Mar. Pollut. Bull. 2006, 53, 107–120. [Google Scholar] [CrossRef]
- Pérez-Ruzafa, A.; Campillo, S.; Fernández-Palacios, J.M.; García-Lacunza, A.; García-Oliva, M.; Ibañez, H.; Marcos, C. Long-term dynamic in nutrients, chlorophyll a, and water quality parameters in a coastal lagoon during a process of eutrophication for decades, a sudden break and a relatively rapid recovery. Front. Mar. Sci. 2019, 6, 26. [Google Scholar] [CrossRef]
- Schlieper, C. (Ed.) Research Methods in Marine Biology; University of Washington Press: Seattle, WA, USA, 1972; Volume XIII, 356p. [Google Scholar]
- Holme, N.A.; Mcintyre, A.D. (Eds.) Methods for the Study of Marine Benthos, 2nd ed.; Blackwell: Oxford, UK, 1984; Volume XII, 387p. [Google Scholar]
- Hulbert, S.J. Pseudoreplication and the design of ecological field experiments. Ecol. Monogr. 1984, 54, 187–211. [Google Scholar] [CrossRef]
- Underwood, A.J. Experiments in Ecology; Cambridge University Press: Cambridge, MA, USA, 1997; 522p. [Google Scholar]
- Anderson, M.J. A new method for non-parametric multivariate analysis of variance. Austral Ecol. 2001, 26, 32–46. [Google Scholar]
- Anderson, M.J.; Diebel, C.E.; Blom, W.M.; Landers, T.J. Consistency and variation in kelp holdfast assemblages: Spatial patterns of biodiversity for the major phyla at different taxonomic resolutions. J. Exp. Mar. Biol. Ecol. 2005, 320, 35–56. [Google Scholar] [CrossRef]
- Pérez-Ruzafa, A.; Fernández, A.I.; Marcos, C.; Gilabert, J.; Quispe, J.I.; García-Charton, J.A. Spatial and temporal variations of hydrological conditions, nutrients, and chlorophyll a in a Mediterranean coastal lagoon (Mar Menor, Spain). Hydrobiologia 2005, 550, 11–27. [Google Scholar] [CrossRef]
- Pérès, J.M.; Picard, J. Nouveau Manuel de Bionomie Benthique de la Mer Méditerranée; Station Marine d’Endoume: Marseille, France, 1964. [Google Scholar]
- Augier, H. Inventory and Classification of Marine Benthic Biocenoses of the Mediterranean; Council of Europe: Strasbourg, France, 1982; pp. 18–50. [Google Scholar]
- Meinesz, A.; Boudouresque, C.F.; Falconetti, C.; Astier, J.M.; Bay, D.; Blanc, J.J.; Bourcier, M.; Cinelli, F.; Cirik, S.; Cristiani, G.; et al. Normalisation des symboles pour la réprésentation et la cartographie des biocénoses benthiques littorales de Méditerranée. Ann. Inst. Océanogr. 1983, 59, 155–172. [Google Scholar]
- Nordsieck, F. Die Europäischen Meeres-Gehäuseschnecken (Prosobranchia): Vom Eismeer bis Kapverden, Mittelmeer und Schwarzes Meer, 2nd ed.; Gustav Fischer Verlag: Stuttgart, Germany, 1982. [Google Scholar]
- Templado, J. Moluscos de las Formaciones de Fanerógamas Marinas en las Costas del Cabo de Palos (Murcia). Ph.D. Thesis, Complutense University of Madrid, Madrid, Spain, 1982. [Google Scholar]
- Murillo, L.; Talavera, P. Aportación a la malacología de una laguna litoral: El Mar Menor (Murcia). Iberus 1983, 3, 15–28. [Google Scholar]
- Ponder, W.F. A review of the genera of the Rissoidae (Mollusca: Mesogastropoda: Rissoacea). Rec. Aust. Mus. 1985, 4, 1–221. [Google Scholar] [CrossRef]
- Riedl, R. Fauna y Flora del mar Mediterráneo: Una Guía Sistemática para Biólogos y Naturalistas; Omega: Barcelona, Spain, 1986. [Google Scholar]
- Marín, A.; Ros, J. Catálogo preliminar de los gasterópodos marinos del sudeste español. Iberus 1987, 7, 137–145. [Google Scholar]
- Bellido, M. Fauna Ibérica: Invertebrados y Vertebrados: Claves Dicotómicas; Rueda: Madrid, Spain, 1989. [Google Scholar]
- Murillo, L. Adiciones a la malacofauna del Mar Menor (Murcia). Not. Soc. Española Malacol. 1995, 23, 35–39. [Google Scholar]
- Gofas, S.; Salas, C.; Moreno, D. Moluscos Marinos de Andalucía; Servicio de Publicaciones e Intercambio Científico de la Universidad de Málaga: Málaga, Spain, 2011; Volume 2. [Google Scholar]
- WoRMS Editorial Board. World Register of Marine Species. Available online: https://www.marinespecies.org (accessed on 19 December 2024).
- Marine Species Traits Editorial Board. Marine Species Traits. Available online: http://www.marinespecies.org/traits (accessed on 2 August 2022).
- Anderson, M.J. Permutational Multivariate Analysis of Variance (PERMANOVA); Wiley StatsRef: Statistics Reference Online: Hoboken, NJ, USA, 2017; pp. 1–15. [Google Scholar] [CrossRef]
- Clarke, K.; Gorley, R. PRIMER v7: User Manual/Tutorial; PRIMER-E: Plymouth, UK, 2015. [Google Scholar]
- Magurran, A. Measuring Biological Diversity; John Wiley & Sons: New York, NY, USA, 2004. [Google Scholar]
- ter Braak, C.J.F. Update Notes: Canoco v. 3.15; Agricultural Mathematics Group DLO: Wageningen, The Netherlands, 1997. [Google Scholar]
- ter Braak, C.J.F.; Prentice, I.C. A theory of gradient analysis. Adv. Ecol. Res. 1988, 18, 271–317. [Google Scholar]
- R Core Team. R: A Language and Environment for Statistical Computing; R Foundation for Statistical Computing: Vienna, Austria, 2018. [Google Scholar]
- Anderson, M.J.; Gorley, R.N.; Clarke, K.R. PERMANOVA+ for PRIMER: Guide to Software and Statistical Methods; PRIMER-E: Plymouth, UK, 2008. [Google Scholar]
- Underwood, A.J.; Petraitis, P.S. Structure of intertidal assemblages in different locations: How can local processes be compared? In Species Diversity in Ecological Communities: Historical and Geographical Perspectives; Ricklefs, R.E., Schluter, D., Eds.; University of Chicago Press: Chicago, IL, USA, 1993; pp. 38–51. [Google Scholar]
- Pérez-Ruzafa, A.; Gilabert, J.; Gutiérrez, J.M.; Fernández, A.I.; Marcos, C.; Sabah, S. Evidence of a planktonic food web response to changes in nutrient input dynamics in the Mar Menor coastal lagoon, Spain. Hydrobiologia 2002, 475, 359–369. [Google Scholar] [CrossRef]
- Fernández-Alías, A.; Marcos, C.; Quispe, J.I.; Sabah, S.; Pérez-Ruzafa, A. Population dynamics and growth in three scyphozoan jellyfishes, and their relationship with environmental conditions in a coastal lagoon. Estuar. Coast. Shelf Sci. 2020, 243, 106901. [Google Scholar] [CrossRef]
- Fernández-Alías, A.; Montaño-Barroso, T.; Conde-Caño, M.R.; Manchado-Pérez, S.; López-Galindo, C.; Quispe-Becerra, J.I.; Marcos, C.; Pérez-Ruzafa, A. Nutrient overload promotes the transition from top-down to bottom-up control and triggers dystrophic crises in a Mediterranean coastal lagoon. Sci. Total Environ. 2022, 846, 157388. [Google Scholar] [CrossRef]
- Olmo, R.; Ros, J.D. La malacocenosis del Mar Menor. Estudio y comparación con comunidades de medios lagunares semejantes. Actas IV Simpósio Ibérico Estud. Benthos Mar. 1984, 1, 253–260. [Google Scholar]
- Davis, T.R.; Harasti, D.; Kelaher, B.; Smith, S.D.A. Spatial and temporal variation in subtidal molluscan diversity amongst temperate estuarine habitats. Mar. Ecol. 2017, 38, e12428. [Google Scholar] [CrossRef]
- Kjerfve, B. Coastal lagoons. In Elsevier Oceanography Series; Elsevier: Amsterdam, The Netherlands, 1994; pp. 1–8. [Google Scholar]
- Guelorget, O.; Perthuisot, J.P. Le domaine paralique. Expressions géologiques, biologiques et économiques du confinement. Trav. Lab. Géologie 1983, 16, 1–136. [Google Scholar]
- Guelorget, O.; Frisoni, G.F.; Perthuisot, J.P. Zonation biologique des milieux lagunaires: Definition d’une échelle de confinement dans le domaine paralique méditerranéen. J. Rech. Océanographique 1983, 8, 15–35. [Google Scholar]
- Pérez-Ruzafa, A.; Marcos, C. La teoría del confinamiento como modelo para explicar la estructura y zonación horizontal de las comunidades bentónicas en las lagunas costeras. Publicaciones Espec. Inst. Español Oceanogr. 1993, 11, 347–358. [Google Scholar]
- Guelorget, O.; Perthuisot, J.P. Paralic Ecosystems Biological Organization and Functionning. Vie Milieu 1992, 42, 215–251. [Google Scholar]
- Basset, A.; Galuppo, N.; Sabetta, L. Environmental heterogeneity and benthic macroinvertebrate guilds in Italian lagoons. Transitional Waters Bull. 2006, 1, 48–63. [Google Scholar]
- Ateş, A.S.; Doğan, A.; Acar, S.; Büyükateş, Y.; Dağlı, E.; Bakır, A.K.; Mülayim, A. Seasonal Effects of Environmental Variables on Molluscan Communities in Çardak Lagoon (Turkish Straits). Russ. J. Mar. Biol. 2023, 49, 215–228. [Google Scholar] [CrossRef]
- Meinesz, A. Contribution a l’Etude des Caulerpales (Chlorophytes). Ph.D. Thesis, Universite de Nice, Nice, France, 1979; 262p. [Google Scholar]
- Weber, K.; Zuschin, M. Delta-associated molluscan life and death assemblages in the northern Adriatic Sea: Implications for paleoecology, regional diversity and conservation. Palaeogeogr. Palaeoclimatol. Palaeoecol. 2013, 370, 77–91. [Google Scholar] [CrossRef]
- Pérez-Ruzafa, A. El papel de la conectividad restringida en la construcción de los ecosistemas marinos semiaislados: El ejemplo de las lagunas costeras y los archipiélagos. Rev. Acad. Canar. Cienc. 2015, 27, 411–456. [Google Scholar]
- Pérez-Ruzafa, A.; De Pascalis, F.; Ghezzo, M.; Quispe-Becerra, J.I.; Hernández-García, R.; Muñoz, I.; Marcos, C. Connectivity between coastal lagoons and sea: Asymmetrical effects on assemblages’ and populations’ structure. Estuar. Coast. Shelf Sci. 2018, 216, 171–186. [Google Scholar] [CrossRef]
- Elliott, M.; Whitfield, A.K. Challenging paradigms in estuarine ecology and management. Estuar. Coast. Shelf Sci. 2011, 94, 306–314. [Google Scholar] [CrossRef]
- Manteca, J.I.; Pérez de Perceval Verde, M.A.; López Morell, M.A. La Industria Minera en Murcia durante la época contemporánea. In Bocamina. Patrimonio Minero de la Región de Murcia; Agua, M.d.l.C.y.e., Ed.; Ayuntamiento de Murcia: Murcia, Spain, 2005; pp. 123–136. [Google Scholar]
- García Dory, M.A.; Maldonado, J.L. La degradación ambiental del Mar Menor. Prog. Water Technol. 1980, 12, 481–499. [Google Scholar]
- Navarro, M.C.; Pérez-Sirvent, C.; Martínez-Sánchez, M.J.; Vidal, J.; Tovar, P.J.; Bech, J. Abandoned mine sites as a source of contamination by heavy metals: A case study in a semi-arid zone. J. Geochem. Explor. 2008, 96, 183–193. [Google Scholar] [CrossRef]
- Simonneau, J. Mar Menor: Évolution Sédimentologique et Géochimique Récent en Remplissage. Ph.D. Thesis, University of Toulouse, Toulouse, France, 1973. [Google Scholar]
- Sanchiz, C.; García-Carrascosa, A.M.; Pastor, A. Heavy Metal Contents in Soft-Bottom Marine Macrophytes and Sediments Along the Mediterranean Coast of Spain. Mar. Ecol. 2000, 21, 1–16. [Google Scholar] [CrossRef]
- Marín-Guirao, L.; Cesar, A.; Marín, A.; Vita, R. Valoración de la contaminación por metales en los sedimentos de la laguna costera del Mar Menor (SE de España): Distribución de metales, toxicidad, bioacumulación y estructura de las comunidades bentónicas. Cienc. Mar. 2005, 31, 413–428. [Google Scholar] [CrossRef]
- Marín-Guirao, L.; Marín, A.; Lloret, J.; López, E.M.; García Fernández, A.J. Effects of mining wastes on a seagrass ecosystem: Metal accumulation and bioavailability, seagrass dynamics and associated community structure. Mar. Environ. Res. 2005, 60, 317–337. [Google Scholar] [CrossRef]
- Conesa, H.M.; Jiménez-Cárceles, F. The Mar Menor lagoon (SE Spain): A singular natural ecosystem threatened by human activities. Mar. Pollut. Bull. 2007, 54, 839–849. [Google Scholar] [CrossRef]
- Conesa, H.M.; Jiménez-Cárceles, F.; María-Cervantes, A.; González-Alcaraz, M.N.; Egea-Nicolas, C.; Alvarez-Rogel, J. Heavy metal contamination caused by mining activities in the Mar Menor lagoon (SE Spain). In Biogeochemistry and Pedogenetic Process in Saltmarsh and Mangrove Systems; Pérez, X.L.O., Vázquez, F.M., Eds.; Nova Science Publishers: New York, NY, USA, 2010; pp. 253–269. [Google Scholar]
- Dassenakis, M.; Garcia, G.; Diamantopoulou, E.; Girona, J.D.; García-Marín, E.M.; Filippi, G.; Fioraki, V. The impact of mining activities on the hypersaline Mar Menor lagoon. Desalination Water Treat. 2010, 13, 282–289. [Google Scholar] [CrossRef]
- Muñoz-Vera, A.; García, G.; García-Sánchez, A. Metal bioaccumulation pattern by Cotylorhiza tuberculata (Cnidaria, Scyphozoa) in the Mar Menor coastal lagoon (SE Spain). Environ. Sci. Pollut. Res. 2015, 22, 19157–19169. [Google Scholar] [CrossRef]
- Muñoz-Vera, A.; Penas-Castejon, J.M.; García, G. Patterns of trace element bioaccumulation in jellyfish Rhizostoma pulmo (Cnidaria, Scyphozoa) in a Mediterranean coastal lagoon from SE Spain. Mar. Pollut. Bull. 2016, 110, 143–154. [Google Scholar] [CrossRef] [PubMed]
- García-Fernández, G.; Muñoz-Vera, A. Characterization and evolution of the sediments of a Mediterranean coastal lagoon located next to a former mining area. Mar. Pollut. Bull. 2015, 100, 249–263. [Google Scholar] [CrossRef] [PubMed]
- Navarro, G.; Jerez, S.; Farinós, P.; Robledano, F.; Motas, M. Evaluación de la exposición a elementos inorgánicos (Cr, Mn, Ni, Cu, Zn, As, Se, Cd y Pb) en cormoranes grandes (Phalacrocorax carbo sinensis) de la laguna costera del Mar Menor de Murcia. An. Vet. 2010, 26, 97–110. [Google Scholar]
- Tsakovski, S.; Kudłak, B.; Simeonov, V.; Wolska, L.; García, G.; Namieśnik, J. Relationship between heavy metal distribution in sediment samples and their ecotoxicity by the use of the Hasse diagram technique. Anal. Chim. Acta 2012, 719, 16–23. [Google Scholar] [CrossRef] [PubMed]
- Martínez-López, S.; Martínez-Sánchez, M.J.; Gómez-Martínez, M.C.; Perez-Sirvent, C. Assessment of the risk associated with mining-derived arsenic input in a lagoon system. Environ. Geochem. Health 2019, 42, 2439–2450. [Google Scholar] [CrossRef]
- De León, A.R.; Guerrero, J.; Faraco, F. Evolution of the pollution of the coastal lagoon of Mar Menor. Journées Études Pollut. Mar. Méditerranée C.I.E.S.M. 1983, 6, 355–358. [Google Scholar]
- Auernheimer, C.; Llavador, F.; Piña, J.A. Chemical minority elements in bivalve shells—A natural model (Mar Menor, Spain). Arch. Sci. 1984, 37, 317–331. [Google Scholar]
- Auernheimer, C.; Chinchon, S.; Piña, J.A. Lead pollution in bivalve shells. Mar Menor, Spain. Arch. Sci. 1996, 49, 87–98. [Google Scholar]
- Marín-Guirao, L.; Lloret, J.; Marín, A. Carbon and nitrogen stable isotopes and metal concentration in food webs from a mining-impacted coastal lagoon. Sci. Total Environ. 2008, 393, 118–130. [Google Scholar] [CrossRef]
- Benedicto, J.; Marín-Guirao, L.; Guerrero, J. Contaminación por metales y compuestos organoestannicos en el Mar Menor. In El Mar Menor. Estado Actual del Conocimiento Científico; Fundación Instituto Euromediterráneo del Agua/Fundación Cluster: Murcia, Spain, 2009; pp. 203–237. [Google Scholar]
- María-Cervantes, A.; Jiménez-Cárceles, F.J.; Álvarez-Rogel, J. As, Cd, Cu, Mn, Pb, and Zn contents in sediments and mollusks (Hexaplex trunculus and Tapes decussatus) from coastal zones of a Mediterranean Lagoon (Mar Menor, SE Spain) affected by mining wastes. Water Air Soil Pollut. 2009, 200, 289–304. [Google Scholar] [CrossRef]
- León, V.M.; Moreno-González, R.; Besada, V.; Martínez, F.; Ceruso, C.; García, V.; Schultze, F.; Campillo, J.A. Sea snail (Hexaplex trunculus) and sea cucumber (Holothuria polii) as potential sentinel species for organic pollutants and trace metals in coastal ecosystems. Mar. Pollut. Bull. 2021, 168, 112407. [Google Scholar] [CrossRef]
- Varol, M.; Şen, B. Assessment of nutrient and heavy metal contamination in surface water and sediments of the upper Tigris River, Turkey. CATENA 2012, 92, 1–10. [Google Scholar] [CrossRef]
- Pérez-Ruzafa, A.; Navarro, S.; Barba, A.; Marcos, C.; Cámara, M.A.; Salas, F.; Gutiérrez, J.M. Presence of Pesticides Throughout Trophic Compartments of the Food Web in the Mar Menor Lagoon (SE Spain). Mar. Pollut. Bull. 2000, 40, 140–151. [Google Scholar] [CrossRef]
- Bayo, J.; Rojo, D.; Olmos, S. Abundance, morphology and chemical composition of microplastics in sand and sediments from a protected coastal area: The Mar Menor lagoon (SE Spain). Environ. Pollut. 2019, 252, 1357–1366. [Google Scholar] [CrossRef] [PubMed]
- Campillo, J.A.; Albentosa, M.; Valdés, N.J.; Moreno-González, R.; León, V.M. Impact assessment of agricultural inputs into a Mediterranean coastal lagoon (Mar Menor, SE Spain) on transplanted clams (Ruditapes decussatus) by biochemical and physiological responses. Aquat. Toxicol. 2013, 142, 365–379. [Google Scholar] [CrossRef]
- Campillo, J.A.; Sevilla, A.; Albentosa, M.; Bernal, C.; Lozano, A.B.; Cánovas, M.; León, V.M. Metabolomic responses in caged clams, Ruditapes decussatus, exposed to agricultural and urban inputs in a Mediterranean coastal lagoon (Mar Menor, SE Spain). Sci. Total Environ. 2015, 524, 136–147. [Google Scholar] [CrossRef]
- Desbiolles, F.; Malleret, L.; Tilizacos, C.; Wong-Wah-Chung, P.; Laffont-Schwob, I. Occurrence and ecotoxicological assessment of pharmaceuticals: Is there a risk for the Mediterranean Aquatic environment? Sci. Total Environ. 2018, 639, 1334–1348. [Google Scholar] [CrossRef]
- León, V.M.; Moreno-González, R.; González, E.; Martínez, F.; García, V.; Campillo, J.A. Interspecific comparison of polycyclic aromatic hydrocarbons and persistent organochlorines bioaccumulation in bivalves from a Mediterranean coastal lagoon. Sci. Total Environ. 2013, 436, 975–987. [Google Scholar] [CrossRef]
- León, V.M.; Moreno-González, R.; García, V.; Campillo, J.A. Impact of flash flood events on the distribution of organic pollutants in surface sediments from a Mediterranean coastal lagoon (Mar Menor, SE Spain). Environ. Sci. Pollut. Res. 2017, 24, 4284–4300. [Google Scholar] [CrossRef]
- Martínez-Gómez, C.; Lamoree, M.; Hamers, T.; Van Velzen, M.; Kamstra, J.H.; Fernández, B.; Benedicto, J.; León, V.M.; Vethaak, A.D. Integrated chemical and biological analysis to explain estrogenic potency in bile extracts of red mullet (Mullus barbatus). Aquat. Toxicol. 2013, 134, 1–10. [Google Scholar] [CrossRef]
- Martínez-Gómez, C.; Valdehita, A.; Vethaak, A.D.; Navas, J.M.; Leon, V.M. Toxicity characterization of surface sediments from a Mediterranean coastal lagoon. Chemosphere 2020, 253, 126710. [Google Scholar] [CrossRef]
- Moreno-González, R.; León, V.M. Presence and distribution of current-use pesticides in surface marine sediments from a Mediterranean coastal lagoon (SE Spain). Environ. Sci. Pollut. Res. 2017, 24, 8033–8048. [Google Scholar] [CrossRef]
- Moreno-González, R.; Campillo, J.A.; García, V.; León, V.M. Seasonal input of regulated and emerging organic pollutants through surface watercourses to a Mediterranean coastal lagoon. Chemosphere 2013, 92, 247–257. [Google Scholar] [CrossRef] [PubMed]
- Moreno-González, R.; Campillo, J.A.; León, V.M. Influence of an intensive agricultural drainage basin on the seasonal distribution of organic pollutants in seawater from a Mediterranean coastal lagoon (Mar Menor, SE Spain). Mar. Pollut. Bull. 2013, 77, 400–411. [Google Scholar] [CrossRef] [PubMed]
- Moreno-González, R.; Rodríguez-Mozaz, S.; Gros, M.; Pérez-Canóvas, E.; Barceló, D.; León, V.M. Input of pharmaceuticals through coastal Surface watercourses into a Mediterranean lagoon (Mar Menor, SE Spain): Sources and seasonal variations. Sci. Total Environ. 2014, 490, 59–72. [Google Scholar] [CrossRef] [PubMed]
- Moreno-González, R.; Rodríguez-Mozaz, S.; Gros, M.; Barceló, D.; León, V.M. Seasonal distribution of pharmaceuticals in marine wáter and sediment from a mediterranean coastal lagoon (SE Spain). Environ. Res. 2015, 138, 326–344. [Google Scholar] [CrossRef]
- Moreno-González, R.; Rodríguez-Mozaz, S.; Huerta, B.; Barceló, D.; León, V.M. Do pharmaceuticals bioaccumulate in marine molluscs and fish from a coastal lagoon? Environ. Res. 2016, 146, 282–298. [Google Scholar] [CrossRef]
- Salgueiro-González, N.; Campillo, J.A.; Viñas, L.; Beiras, R.; López-Mahía, P.; Muniategui-Lorenzo, S. Occurrence of selected endocrine-disrupting compounds in Iberian coastal areas and assessment of the environmental risk. Environ. Pollut. 2019, 249, 767–775. [Google Scholar] [CrossRef]
- Traverso-Soto, J.M.; Lara-Martín, P.A.; León, V.M.; González-Mazo, E. Analysis of alcohol polyethoxylates and polyethylene glycols on marine sediments. Talanta 2013, 110, 171–179. [Google Scholar] [CrossRef]
- Traverso-Soto, J.M.; Lara-Martin, P.A.; Gonzalez-Mazo, E.; León, V.M. Distribution of anionic and nonionic surfactants in a sewage-impacted Mediterranean coastal lagoon: Inputs and seasonal variations. Sci. Total Environ. 2015, 503, 87–96. [Google Scholar] [CrossRef]
- Ehrnsten, E.; Sun, X.; Humborg, C.; Norkko, A.; Savchuk, O.P.; Slomp, C.P.; Timmermann, K.; Gustafsson, B.G. Understanding Environmental Changes in Temperate Coastal Seas: Linking Models of Benthic Fauna to Carbon and Nutrient Fluxes. Front. Mar. Sci. 2020, 7, 450. [Google Scholar] [CrossRef]
- Rodrigues-Filho, J.L.; Macêdo, R.L.; Sarmento, H.; Pimenta, V.R.A.; Alonso, C.; Teixeira, C.R.; Pagliosa, P.R.; Netto, S.A.; Santos, N.C.L.; Daura-Jorge, F.G.; et al. From ecological functions to ecosystem services: Linking coastal lagoons biodiversity with human well-being. Hydrobiologia 2023, 850, 2611–2653. [Google Scholar] [CrossRef] [PubMed]
- Rasmussen, E.K.; Petersen, O.S.; Thompson, J.R.; Flower, R.J.; Ayache, F.; Kraiem, M.; Chouba, L. Model analyses of the future water quality of the eutrophicated Ghar El Melh lagoon (Northern Tunisia). Hydrobiologia 2009, 622, 173–193. [Google Scholar] [CrossRef]
- Hawkins, A.J.S.; Bayne, B.L.; Bougrier, S.; Héral, M.; Iglesias, J.I.P.; Navarro, E.; Smith, R.F.M.; Urrutia, M.B. Some general relationships in comparing the feeding physiology of suspension-feeding bivalve molluscs. J. Exp. Mar. Bio. Ecol. 1998, 219, 87–103. [Google Scholar] [CrossRef]
- Gallardi, D. Effects of Bivalve aquaculture on the environment and their possible mitigation: A review. Fish. Aquac. J. 2014, 5, 105. [Google Scholar] [CrossRef]
- Magni, P.; Montani, S.; Takada, C.; Tsutsumi, H. Temporal scaling and relevance of bivalve nutrient excretion on a tidal flat of the Seto Inland Sea. Jpn. Mar. Ecol. Prog. Ser. 2000, 198, 139–155. [Google Scholar] [CrossRef]
- Norkko, A.; Villnäs, A.; Norkko, J.; Valanko, S.; Pilditch, C. Size matters: Implications of the loss of large individuals for ecosystem function. Sci. Rep. 2013, 3, 2646. [Google Scholar] [CrossRef]
- Saraiva, S.; Fernandes, L.; van der Meer, J.; Neves, R.; Kooijman, S.A.L.M. The role of bivalves in the Balgzand: First steps on an integrated modelling approach. Ecol. Modell. 2017, 359, 34–48. [Google Scholar] [CrossRef]
- Maar, M.; Bolding, K.; Petersen, J.K.; Hansen, J.L.S.; Timmermann, K. Local effects of blue mussels around turbine foundations in an ecosystem model of Nysted off-shore wind farm. Denmark. J. Sea Res. 2009, 62, 159–174. [Google Scholar] [CrossRef]
- Sfriso, A.; Birkemeyer, T.; Ghetti, P.F. Benthic macrofauna changes in areas of Venice lagoon populated by seagrasses or seaweeds. Mar. Environ. Res. 2001, 52, 323–349. [Google Scholar] [CrossRef]










| Habitats | Habitat Abbrev. | Location | Period of Sampling | Deep | Zone |
|---|---|---|---|---|---|
| Shallow littoral sandy bottoms with dominance of Cymodocea nodosa | CY | Los Urrutias (LU) El Ciervo island (IC) | 1980s, 2002–2007, 2017, 2018, 2019 | <2 m | 2, 5 |
| Muddy bottoms with a mixed meadow with different biomass values of Caulerpa prolifera and Cymodocea nodosa | CACY | Lagoon basin (LB) | 1980s, 2002–2007, 2019 | 2–6 m | 1–5 |
| Mid-littoral rocks | MR | El Ciervo island (IC) El Estacio channel (ES) | 1980s, 2002–2007 | <2 m | 4, 5 |
| Well illuminated infralittoral rocks | WI-IR | La Ribera (LR) El Ciervo island (IC) El Estacio channel (ES) | 1980s, 2002–2007, 2017, 2018, 2019 | 2–6 m | 1, 4, 5 |
| Protected shallow infralittoral rocks and poorly illuminated on pillars under docks | DOCKS | La Ribera (LR) | 1980s, 2017, 2018, 2019 | <2 m | 1 |
| Poorly illuminated infralittoral rocks | PI-IR | La Ribera (LR) El Ciervo island (IC) El Estacio channel (ES) | 1980s | 2–6 m | 1, 4, 5 |
| Nitrophilic community on rocks | NITR | La Ribera (LR) El Ciervo island (IC) | 1980s | <2 m | 1, 5 |
| Chaetomorpha linum floating mats | CHAE | La Ribera (LR) Lo Pagán (LP) | 1980s | 2–6 m | 1 |
| Ruppia cirrhosa meadows | RU | Lo Pagán (LP) La Perdiguera island (PI) | 1980s | <2 m | 1, 3 |
| Shallow littoral sandy bottoms with or without the presence of Acetabularia spp. | SAND | El Barón island (BI) Las Encañizadas (E) | 1980s, 2017, 2018, 2019 | <2 m | 1, 4 |
| Muddy bottoms with dominance of Caulerpa prolifera | CA | Lagoon basin (LB) El Ciervo island (IC) Los Urrutias (LU) La Perdiguera island (PI) | 2002–2007, 2017, 2018, 2019 | 2–6 m | 1–5 |
| Muddy bottoms without macrophyte biomass | MUD | Lagoon basin (LB) | 2002–2007, 2017, 2018, 2019 | 2–6 m | 1–5 |
| Red compacted clays | RC | Los Urrutias (LU) | 1980s, 2002–2007 | <2 m | 2 |
| Source | df | SS | MS | F | p | ECV (%) |
|---|---|---|---|---|---|---|
| Period | 4 | 164.2 | 41.051 | 19.201 | 0.0001 | 36.65 |
| Zone | 4 | 4.0649 | 1.0162 | 0.47534 | 0.9023 | 0 |
| Period × Zone | 12 | 5.0262 | 0.41885 | 0.19592 | 1 | 0 |
| Res | 273 | 583.65 | 2.1379 | 63.35 | ||
| Total | 293 | 756.27 | ||||
| Pairwise Test | ||||||
| Groups | t | p | ||||
| 1980s vs. 2002–2007 | 1.7766 | 0.0306 | ||||
| 1980s vs. 2017 | 2.8894 | 0.0001 | ||||
| 1980s vs. 2018 | 1.26 | 0.1828 | ||||
| 1980s vs. 2019 | 1.4501 | 0.1366 | ||||
| 2002–2007 vs. 2017 | 9.8814 | 0.0001 | ||||
| 2002–2007 vs. 2018 | 3.7351 | 0.0001 | ||||
| 2002–2007 vs. 2019 | 5.4861 | 0.0001 | ||||
| 2017 vs. 2018 | 5.7227 | 0.0001 | ||||
| 2017 vs. 2019 | 0.96323 | 0.3542 | ||||
| 2018 vs. 2019 | 2.8444 | 0.0016 |
| Period | Variable | Av. Value | Av. Value | Av. Sq. Dist | Sq. Dist/SD | Contrib% |
|---|---|---|---|---|---|---|
| 1980s vs. 2002–2007 | Temperature | 20.8 | 22.3 | 59.8 | 0.86 | 89.37 |
| 1980s vs. 2017 | Temperature | 20.8 | 20.4 | 63.9 | 0.88 | 56.73 |
| Chlorophyll a | 0.84 | 6.03 | 41.2 | 0.84 | 36.64 | |
| 1980s vs. 2018 | Temperature | 20.8 | 20.2 | 61.2 | 0.9 | 89.57 |
| 1980s vs. 2019 | Chlorophyll a | 0.84 | 7.53 | 243 | 0.29 | 75.75 |
| 2002–2007 vs. 2017 | Temperature | 22.3 | 20.4 | 79.9 | 0.87 | 62.44 |
| Chlorophyll a | 1.01 | 6.03 | 39.8 | 0.82 | 31.1 | |
| 2002–2007 vs. 2018 | Temperature | 20.8 | 20.2 | 61.2 | 0.9 | 89.57 |
| 2002–2007 vs. 2019 | Chlorophyll a | 1.01 | 7.53 | 241 | 0.29 | 71.39 |
| 2017 vs. 2018 | Temperature | 20.4 | 20.2 | 79.5 | 0.89 | 67.42 |
| Chlorophyll a | 6.03 | 1.86 | 33 | 0.76 | 27.96 | |
| 2017 vs. 2019 | Chlorophyll a | 6.03 | 7.53 | 214 | 0.3 | 70.01 |
| 2018 vs. 2019 | Chlorophyll a | 1.86 | 7.53 | 231 | 0.29 | 71.91 |
| Taxon | Abbrev. | Habitat | 1980s | 2002–2007 | 2017 | 2018 | 2019 |
|---|---|---|---|---|---|---|---|
| Dominance (%) | |||||||
| Bivalvia | |||||||
| Family Anomiidae | |||||||
| Anomia ephippium (Linnaeus, 1758) | Anoeph | WI_IR, PI_IR | 0.03 | 0.02 | |||
| Family Arcidae | |||||||
| Arca noae Linnaeus, 1758 | Arcnoa | DOCKS, PI_IR | 0.01 | 0.02 | |||
| Family Cardiidae | |||||||
| Cerastoderma edule (Linnaeus, 1758) | Ceredu | CY, NITR | 0.02 | 0.01 | |||
| Cerastoderma glaucum (Bruguière, 1789) | Cergla | CA, CY, CACY, MUD, SAND, RC, WI_IR | 0.3 | 0.3 | 15.3 | 13.1 | 1.1 |
| Parvicardium exiguum (Gmelin, 1791) | Parexi | CA, CY, CACY, CHAE, MUD, SAND, WI_IR, DOCKS, PI_IR | 1.18 | 4.64 | 1.89 | 0.97 | |
| Parvicardium scriptum (Bucquoy, Dautzenberg and Dollfus, 1892) | Parscr | CA, CY, RC, WI_IR | 0.16 | ||||
| Family Chamidae | |||||||
| Chama gryphoides Linnaeus, 1758 | Chagry | PI_IR | 0.01 | ||||
| Pseudochama gryphina (Lamarck, 1819) | Psegry | WI_IR | 0.01 | ||||
| Family Corbulidae | |||||||
| Varicorbula gibba (Olivi, 1792) | Vargib | CA, MUD | 0.22 | 0.14 | 0.03 | ||
| Family Donacidae | |||||||
| Donax semistriatus Poli, 1795 | Dosem | *(SAND) | * | ||||
| Family Gastrochaenidae | |||||||
| Rocellaria dubia (Pennant, 1777) | Rocdub | WI_IR, DOCKS | 0.11 | 0.76 | |||
| Family Lasaeidae | |||||||
| Tellimya ferruginosa (Montagu, 1808) | Telfer | CY | 0.03 | ||||
| Family Limidae | |||||||
| Limaria hians (Gmelin, 1791) | Limhia | WI_IR | 0.01 | ||||
| Limaria loscombi (G. B. Sowerby I, 1823) | Limlos | *(MUD) | |||||
| Limaria tuberculata (Olivi, 1792) | Limtub | WI_IR | 0.01 | ||||
| Family Lucinidae | |||||||
| Ctena decussata (O. G. Costa, 1829) | Ctedec | CA | 0.01 | ||||
| Loripes orbiculatus (Poli, 1795) | Lororb | CA, CY, CACY, MUD, SAND, RC, WI_IR | 1.62 | 0.22 | 11.76 | 8.91 | 35.17 |
| Lucinoma borealis (Linnaeus, 1767) | Lucbor | *(SAND) | * | ||||
| Family Mactridae | |||||||
| Mactra corallina (Linnaeus, 1758) | Maccor | *(SAND) | * | ||||
| Mactra stultorum (Linnaeus, 1758) | Macstu | MUD | 0.01 | ||||
| Family Mytilidae | |||||||
| Modiolus adriaticus (Lamarck, 1819) | Modadr | CA, CY, CACY, MUD, SAND, PI_IR, RC | 0.04 | 0.27 | 0.6 | 0.03 | |
| Modiolus barbatus (Linnaeus, 1758) | Modbar | CACY, WI_IR, SAND | 0.06 | ||||
| Mytilaster minimus (Poli, 1795) | Mytmin | CA, CY, RU, MUD, SAND, CHAE, PI_IR, RC, WI_IR, DOCKS | 6.18 | 83.97 | 44.3 | 17.02 | 6.06 |
| Mytilus edulis (Linnaeus, 1758) | Mytedu | MR | 0.04 | ||||
| Mytilus galloprovincialis (Lamarck, 1819) | Mytgal | WI-IR | 0.02 | ||||
| Family Ostreidae | |||||||
| Ostrea edulis (Linnaeus, 1758) | Ostedu | CACY, MUD, WI_IR, PI_IR, DOCKS | 0.06 | 0.01 | 0.33 | 0.09 | |
| Ostrea stentina (Payraudeau, 1826) | Ostste | WI_IR | 0.01 | ||||
| Ostrea sp. Linnaeus, 1758 | Ostsp | WI_IR, DOCKS | 0.04 | ||||
| Family Pectinidae | |||||||
| Mimachlamys varia (Linnaeus, 1758) | Mimvar | CY | 0.01 | ||||
| Family Pinnidae | |||||||
| Pinna nobilis Linnaeus, 1758 | Pinnob | *(SAND) | * | ||||
| Family Pholalidae | |||||||
| Pholas dactylus Linnaeus, 1758 | Phodac | *(RC) | * | ||||
| Family Semelidae | |||||||
| Abra alba (W. Wood, 1802) | Abralb | CA, CY, CACY, MUD, SAND, WI_IR, RC | 1.02 | 0.02 | 1.54 | 9.28 | 13.16 |
| Abra segmentum (Récluz, 1843) | Abrseg | CACY, DOCKS | 0.26 | ||||
| Family Thraciidae | |||||||
| Thracia phaseolina (Lamarck, 1818) | Thrpha | WI_IR | 0.09 | ||||
| Family Tellinidae | |||||||
| Gastrana fragilis (Linnaeus, 1758) | Gasfra | CA, CY, CAM, MUD, SAND, WI_IR, PI_IR | 0.09 | 2.25 | 13.2 | 10.15 | |
| Macomangulus tenuis (da Costa, 1778) | Macten | *(SAND) | * | ||||
| Moerella distorta (Poli, 1791) | Moedis | MUD | 0.02 | ||||
| Peronaea planata (Linnaeus, 1758) | Perpla | *(PI_IR) | * | ||||
| Family Veneridae | |||||||
| Chamelea gallina (Linnaeus, 1758) | Chagal | CA, CY, CHAE, MUD | 0.01 | 0.01 | 0.07 | 0.03 | |
| Dosinia lupinus (Linnaeus, 1758) | Doslup | CA, CY, CACY, MUD | 0.01 | 0.01 | 1.03 | 1.25 | 3.33 |
| Irus irus (Linnaeus, 1758) | Iruiru | WI_IR, MR, PI_IR | 0.07 | 0.01 | |||
| Petricola lithophaga (Retzius, 1788) | Petlit | SAND, RC, WI_IR, DOCKS, MR, PI_IR | 0.36 | 0.06 | 2.94 | 8.58 | 2.94 |
| Polititapes aureus (Gmelin, 1791) | Polaur | CA, CY, CACY, CHAE, NITR, MUD, SAND, RC, WI_IR, MR, PI_IR | 4.15 | 0.81 | 2.63 | 7.87 | 16.14 |
| Ruditapes decussatus (Linnaeus, 1758) | Ruddec | CY, CA, CACY | 0.02 | 0.01 | 0.04 | ||
| Venerupis corrugata (Gmelin, 1791) | Vencor | CA, CY, CACY, MUD | 0.05 | ||||
| Gastropoda | |||||||
| Family Aeolidiidae | |||||||
| Aeolidiella alderi (Cocks, 1852) | Aald | *(RU, CA) | * | ||||
| Aeolidiidae sp. (Gray, 1827) | Aelsp | CA, WI_IR, MR, DOCKS | 0.01 | 0.05 | |||
| Berghia verrucicornis (A. Costa, 1867) | Berver | *(PI_IR inlets) | * | ||||
| Spurilla neapolitana (Delle Chiaje, 1841) | Spunea | *(CA inlets) | * | ||||
| Family Aplysiidae | |||||||
| Aplysia fasciata Poiret, 1789 | Aplfas | *(inlets) | * | ||||
| Family Bullidae | |||||||
| Bulla striata Bruguière, 1792 | Bulstr | CA, CACY, MR, RC | 0.05 | ||||
| Family Cerithiidae | |||||||
| Bittium latreillii (Payraudeau, 1826) | Bitlat | CA | 0.02 | ||||
| Bittium reticulatum (da Costa, 1778) | Bitret | CA, CY, CACY, RU, CHAE, MUD, SAND, RC, WI_IR, PI_IR, DOCKS, MR | 59.27 | 8.47 | 6.83 | 3.29 | 3.39 |
| Cerithium lividulum (Risso, 1826) | Cerliv | RC | 0.01 | ||||
| Cerithium vulgatum (Bruguière, 1792) | Cervul | CA, CY, CACY, MUD, SAND, RC, WI_IR, MR | 0.06 | 0.88 | 0.1 | 0.14 | |
| Cerithium sp. (Bruguière, 1792) | Cersp | SAND | 0.03 | ||||
| Family Cochliopidae | |||||||
| Eupaludestrina stagnorum (Gmelin, 1791) | Eupsta | CACY | 0.02 | ||||
| Family Columbellidae | |||||||
| Columbella rustica (Linnaeus, 1758) | Colrus | CA, CACY | 0.01 | ||||
| Family Conidae | |||||||
| Conus ventricosus Gmelin, 1791 | Conven | CA, SAND, DOCKS | 0.02 | 0.02 | 0.03 | ||
| Family Doridiae | |||||||
| Doris verrucosa Linnaeus, 1758 | Dorver | PI_IR | 0.04 | ||||
| Family Dotidae | |||||||
| Doto coronata (Gmelin, 1791) | Dotcor | *(RU) | * | ||||
| Family Ellobiidae | |||||||
| Myosotella myosotis (Draparnaud, 1801) | Mmyo | *(MR) | * | ||||
| Ovatella firminii (Payraudeau, 1827) | Ovafir | *(PI_IR) | * | ||||
| Family Haminoeidae | |||||||
| Haminoea hydatis (Linnaeus, 1758) | Hamhyd | CA, CACY, MUD, SAND, WI_IR, MR, RC | 0.74 | 0.02 | 0.11 | 0.61 | 0.7 |
| Haminoea navicula (da Costa, 1778) | Hamnav | MR, RC | 0.01 | ||||
| Haminoea orbignyana (A. Férussac, 1822) | Hamorb | *(CA) | * | ||||
| Haminoea orteai (Talavera, Murillo and Templado, 1987) | Hamort | MR | 0.02 | ||||
| Family Hydrobiidae | |||||||
| Hydrobia acuta (Draparnaud, 1805) | Hydacu | CA, CY, CACY, RU, MUD, SAND, CHAE, WI_IR, MR | 11.93 | 0.3 | 5.3 | 0.35 | |
| Peringia ulvae (Pennant, 1777) | Perulv | CA, CY, CACY, RU, MUD, SAND, WI_IR | 0.14 | 0.01 | 2.5 | 2.5 | 0.1 |
| Family Limapontiidae | |||||||
| Calliopaea bellula d’Orbigny, 1837 | Calbel | CY, WI_IR, MR | 0.09 | ||||
| Ercolania viridis (A. Costa, 1866) | Ercvir | *(CHAE) | * | ||||
| Family Littorinidae | |||||||
| Echinolittorina punctata (Gmelin, 1791) | Echpun | CA, MR | 0.35 | 0.01 | |||
| Melarhaphe neritoides (Linnaeus, 1758) | Melner | MR | 0.06 | ||||
| Family Mangeliidae | |||||||
| Mangelia sp. Risso, 1826 | Mansp | WI_IR | 0.12 | ||||
| Family Murchisonellidae | |||||||
| Ebala pointeli (de Folin, 1868) | Ebapoi | CA, CY, MUD | 0.07 | 0.1 | |||
| Family Muricidae | |||||||
| Bolinus brandaris (Linnaeus, 1758) | Bolbra | *(SAND) | |||||
| Hexaplex trunculus (Linnaeus, 1758) | Hextru | CA, CY, MUD, SAND, RC, WI_IR | 0.01 | 0.01 | 0.09 | 0.41 | 0.24 |
| Stramonita haemastoma (Linnaeus, 1767) | Strhae | *(WI_IR) | * | ||||
| Family Nassariidae | |||||||
| Tritia corniculum (Olivi, 1792) | Tricor | CA, CY, CACY, MUD, SAND, RC, WI_IR, DOCKS, MR | 0.16 | 0.,38 | 1.16 | 0.3 | |
| Tritia corrugata (Brocchi, 1814) | Tricorr | CA, CY, CACY, MUD, SAND, WI_IR, MR | 0.21 | 0.2 | 0.27 | 0.9 | 0.21 |
| Tritia incrassata (Strøm, 1768) | Triinc | *(SAND inlets) | * | ||||
| Tritia neritea (Linnaeus, 1758) | Triner | CA, CY, CACY, MUD, SAND | 0.43 | 0.09 | 0.31 | 0.52 | 1.35 |
| Tritia pellucida (Risso, 1826) | Tripel | CA, CY, CACY, MUD | 0.01 | 0.02 | 0.03 | ||
| Tritia reticulata (Linnaeus, 1758) | Triret | *(MUD, SAND) | * | ||||
| Tritia unifasciata (Kiener, 1834) | Triuni | CA, MUD | 0.04 | 0.07 | |||
| Tritia sp. Risso, 1826 | Trisp | CA | 0.07 | ||||
| Family Oxynoidae | |||||||
| Oxynoe olivacea Rafinesque, 1814 | Oxyoli | CA | 0.02 | ||||
| Family Patellidae | |||||||
| Patella aspera Röding, 1798 | Pasp | *(MR) | * | ||||
| Patella caerulea Linnaeus, 1758 | Pcae | *(MR) | * | ||||
| Family Phasianellidae | |||||||
| Tricolia tenuis (Michaud, 1829) | Triten | CA | 0.01 | ||||
| Family Philinidae | |||||||
| Philine quadripartita Ascanius, 1772 | Phiqua | CA, CY, CACY, MUD | 0.02 | 0.01 | 0.02 | 0.55 | |
| Family Plakobranchidae | |||||||
| Elysia timida (Risso, 1818) | Elytim | WI_IR | 0.01 | ||||
| Elysia viridis (Montagu, 1804) | Elyvir | *(inlets) | * | ||||
| Family Pyramidellidae | |||||||
| Parthenina terebellum (R. A. Philippi, 1844) | Parter | CA, MUD | 0.02 | 0.03 | |||
| Pyrgiscus rufus (Philippi, 1836) | Pyruf | *(CHAE) | * | ||||
| Family Retusidae | |||||||
| Retusa truncatula (Bruguière, 1792) | Rettru | CA, MUD | 0.02 | 0.11 | |||
| Family Rissoidae | |||||||
| Alvania cimex (Linnaeus, 1758) | Alvcim | WI_IR | 0.03 | ||||
| Pusillina lineolata (Michaud, 1830) | Puslin | CA, CY, CACY, CHAE, MUD, SAND, RC, WI_IR, MR, PI_IR | 1.69 | 0.11 | 0.2 | 0.35 | 1.18 |
| Rissoa auriscalpium (Linnaeus, 1758) | Risaur | *(CY) | * | ||||
| Rissoa membranacea (J. Adams, 1800) | Rismem | CA, CY, CACY, CHAE, MUD, SAND, RC, WI_IR, MR, PI_IR | 8.9 | 3.75 | 0.45 | 1.96 | 1.8 |
| Rissoa similis Scacchi, 1836 | Rissim | CA, MUD | 0.26 | ||||
| Rissoa ventricosa Desmarest, 1814 | Risven | MUD | 0.02 | ||||
| Rissoa sp. (Desmarest, 1814) | Rissp | CA, CHAE, MUD | 0.03 | 0.24 | |||
| Family Runcinidae | |||||||
| Runcina capreensis Mazzarelli, 1894 | Runcap | *(CY) | * | ||||
| Family Siphonariidae | |||||||
| Siphonaria pectinata (Linnaeus, 1758) | Sipec | *(WI_IR) | * | ||||
| Family Tergipedidae | |||||||
| Tergipes tergipes (Forsskål, 1775) | Tter | *(CY) | * | ||||
| Family Trinchesiidae | |||||||
| Catriona maua Ev. Marcus and Er. Marcus, 1960 | Catmau | *(RU) | * | ||||
| Tenellia adspersa (von Nordmann, 1845) | Tads | *(RU, CY) | * | ||||
| Family Trochidae | |||||||
| Gibbula ardens (Salis Marschlins, 1793) | Gibard | CA, CY, WI_IR, MR | 0.07 | ||||
| Jujubinus gravinae (Dautzenberg, 1881) | Jujgra | CACY, CY, MR | 0.06 | ||||
| Jujubinus striatus (Linnaeus, 1758) | Jujstr | CA, CY, CACY, MUD, RC, WI_IR, MR | 0.02 | 0.08 | |||
| Phorcus articulatus (Lamarck, 1822) | Phoart | MR | 0.01 | ||||
| Phorcus richardi (Payraudeau, 1826) | Phoric | *(MR) | * | ||||
| Phorcus turbinatus (Born, 1778) | Photur | *(MR, inlets) | * | ||||
| Steromphala adriatica (Philippi, 1844) | Steadr | * | * | ||||
| Steromphala divaricata (Linnaeus, 1758) | Stediv | *(MR, WI_IR) | * | ||||
| Steromphala rarilineata (Michaud, 1829) | Sterar | *(MR, WI_IR) | * | ||||
| Steromphala umbilicaris (Linnaeus, 1758) | Steumb | CA, CY, CACY, WI_IR | 0.02 | ||||
| Steromphala varia (Linnaeus, 1758) | Stevar | CA, WI_IR | 0.01 | ||||
| Family Truncatellidae | |||||||
| Truncatella subcylindrica (Linnaeus, 1767) | Trusub | CA, RU, MUD, PI_IR | 0.01 | 0.13 | 0.03 | ||
| Family Vitrinellidae | |||||||
| Circulus striatus (Philippi, 1836) | Cirstr | *(PI_IR) | * | ||||
| Polyplacophora | |||||||
| Family Chitonidae | |||||||
| Chiton sp. Linnaeus, 1758 | Chisp | WI_IR | 0.02 | ||||
| Rhyssoplax olivacea (Spengler, 1797) | Rhyoli | CY, CACY, MUD, SAND, RC, WI_IR, PI_IR | 0.38 | 0.02 | 0.4 | 0.05 | 0.03 |
| Family Tonicellidae | |||||||
| Lepidochiton cinerea (Linnaeus, 1767) | Lepcin | *(WI_IR) | * | ||||
| Scaphopoda | |||||||
| Family Dentaliidae | |||||||
| Antalis inaequicostata (Dautzenberg, 1891) | Antina | *(SAND, MUD) | * | ||||
| Cephalopoda | |||||||
| Family Octopodidae | |||||||
| Octopus vulgaris Cuvier, 1797 | Octvul | *(WI_IR) | * | ||||
| Source | df | SS | MS | F | p | ECV (%) |
|---|---|---|---|---|---|---|
| Habitat | 9 | 57,959 | 6439.9 | 3.757 | 0.0001 | 43.70 |
| Res | 49 | 83,991 | 1714.1 | 56.30 | ||
| Total | 58 | 141,950 | ||||
| Pairwise test | t | p | ||||
| Groups | ||||||
| CACY vs. CHAE | 1.6724 | 0.0293 | ||||
| CACY vs. CY | 1.986 | 0.0038 | ||||
| CACY vs. WI-IR | 3.1051 | 0.0001 | ||||
| CACY vs. DOCKS | 1.8606 | 0.0104 | ||||
| CACY vs. PI-IR | 2.9462 | 0.0001 | ||||
| CACY vs. MR | 2.8173 | 0.0001 | ||||
| CACY vs. NITR | 1.8822 | 0.0117 | ||||
| CACY vs. RU | 1.945 | 0.0061 | ||||
| CACY vs. SAND | 1.9946 | 0.0028 | ||||
| WI-IR vs. MR | 1.9547 | 0.0095 | ||||
| WI-IR vs. NITR | 2.0473 | 0.0079 | ||||
| WI-IR vs. RU | 1.5793 | 0.0591 * | ||||
| PI-IR vs. MR | 1.8032 | 0.0367 | ||||
| PI-IR vs. NITR | 2.0368 | 0.0261 | ||||
| CY vs. PI-IR | 1.4798 | 0.0767 * |
| Habitats | S | N | H’ (log2) | J’ |
|---|---|---|---|---|
| CACY | 6.57 ± 0.50 | 5413.30 ± 1070.75 | 1.43 ± 0.08 | 0.59 ± 0.03 |
| CHAE | 6 ± 2 | 1375 ± 300 | 1.46 ± 0.27 | 0.59 ± 0.01 |
| CY | 7 ± 2.08 | 2922.92 ± 1093.40 | 1.10 ± 0.44 | 0.38 ± 0.10 |
| DOCKS | 4 | 250 | 1.34 | 0.67 |
| MR | 3.67 ± 1.20 | 3197.92 ± 2038.68 | 0.80 ± 0.44 | 0.46 ± 0.18 |
| NITR | 2 | 75 | 0.92 | 0.92 |
| PI-IR | 7.33 ± 1.12 | 1088.54 ± 269.75 | 1.34 ± 0.22 | 0.49 ± 0.07 |
| RU | 5 | 37,300 | 0.1 | 0.04 |
| SAND | 4.33 ± 1.45 | 1368.75 ± 1253.59 | 1.24 ± 0.39 | 0.64 ± 0.14 |
| WI-IR | 7 ± 0.65 | 8797.22 ± 5264.06 | 1.12 ± 0.19 | 0.39 ± 0.07 |
| Total | 6.31 ± 0.35 | 5270.32 ± 1138.75 | 1.29 ± 0.07 | 0.53 ± 0.03 |
| Source | df | SS | MS | F | p | ECV (%) |
|---|---|---|---|---|---|---|
| Habitat | 9 | 15 | 2 | 2 | 0.0162 | 42.04 |
| Res | 49 | 38 | 0.76785 | 57.96 | ||
| Total | 58 | 53 | ||||
| Pairwise test | t | p | ||||
| CACY, RU | 3 | 0.0013 | ||||
| CY, RU | 3.5192 | 0.0403 | ||||
| PI-IR, RU | 6.0824 | 0.0003 | ||||
| RU, SAND | 3.6247 | 0.0422 | ||||
| CHAE, RU | 6.9479 | 0.0573 * |
| PERMANOVA | Df | SS | MS | F | p | ECV (%) |
|---|---|---|---|---|---|---|
| Period | 4 | 20,777 | 67,506 | 34.146 | 0.001 | 15.71 |
| Habitat | 6 | 49,200 | 71,482 | 36.157 | 0.001 | 21.31 |
| Zone | 4 | 27,870 | 6828.5 | 3.454 | 0.001 | 4.74 |
| Period × Habitat | 19 | 11,245 | 5806.4 | 2.937 | 0.001 | 10.95 |
| Period × Zone | 15 | 42,298 | 2769.1 | 1.4057 | 0.007 | 4.46 |
| Habitat × Zone | 13 | 53,493 | 4132.5 | 2.0978 | 0.001 | 8.76 |
| Period × Habitat × Zone | 14 | 34,420 | 2458.5 | 1.2436 | 0.062 | 5.92 |
| Total | 548 |
| Periods/Habitats | N | S | H’ | J’ |
|---|---|---|---|---|
| 1982–1988 | 5270.3 ± 1138.8 | 6.3 ± 0.3 | 1.3 ± 0.1 | 0.5 ± 0.0 |
| CY | 2922.9 ± 1093.4 | 7 ± 2.1 | 1.1 ± 0.4 | 0.4 ± 0.1 |
| CACY | 5413.3 ± 1070.8 | 6.6 ± 0.5 | 1.4 ± 0.1 | 0.6 ± 0.0 |
| SAND | 1368.8 ± 1253.6 | 4.3 ± 1.5 | 1.2 ± 0.4 | 0.6 ± 0.1 |
| WI-IR | 8797.2 ± 5264.1 | 7 ± 0.6 | 1.1 ± 0.2 | 0.4 ± 0.1 |
| DOCKS | 250 | 4 | 1.3 | 0.7 |
| 2002–2007 | 6341.7 ± 1955.1 | 3.8 ± 0.4 | 0.7 ± 0.1 | 0.5 ± 0.0 |
| CA | 3056.6 ± 1302.2 | 3.6 ± 0.6 | 0.8 ± 0.1 | 0.6 ± 0.0 |
| CY | 1104.9 ± 327.0 | 3.0 ± 0.5 | 0.8 ± 0.1 | 0.7 ± 0.0 |
| CACY | 2612.8 ± 1073.7 | 9.5 ± 3.1 | 1.5 ± 0.7 | 0.5 ± 0.1 |
| MUD | 1183.3 | 12 | 2 | 0.6 |
| SAND | 841.7 ± 313.7 | 2.7 ± 0.3 | 0.6 ± 0.4 | 0.4 ± 0.2 |
| WI-IR | 9280.3 ± 3307.8 | 4.2 ± 1.7 | 0.5 ± 0.2 | 0.4 ± 0.0 |
| 2017 | 779.0 ± 169.4 | 2.9 ± 0.1 | 0.9 ± 0.1 | 0.7 ± 0.0 |
| CA | 619.4 ± 248.8 | 3.4 ± 0.6 | 1.1 ± 0.2 | 0.7 ± 0.1 |
| CY | 1843.2 ± 703.9 | 5.6 ± 0.8 | 2.0 ± 0.1 | 0.8 ± 0.0 |
| MUD | 453.9 ± 61.6 | 3.2 ± 0.2 | 1.1 ± 0.1 | 0.7 ± 0.0 |
| SAND | 554.2 ± 347.9 | 1.8 ± 0.4 | 0.5 ± 0.2 | 0.8 ± 0.1 |
| WI-IR | 1492.2 ± 780.2 | 2.3 ± 0.2 | 0.5 ± 0.1 | 0.5 ± 0.0 |
| DOCKS | 671.9 ± 166.5 | 1.6 ± 0.2 | 0.2 ± 0.1 | 0.5 ± 0.1 |
| 2018 | 1099.3 ± 116.5 | 4.8 ± 0.2 | 1.5 ± 0.1 | 0.7 ± 0.0 |
| CA | 901.3 ± 123.5 | 5.7 ± 0.3 | 1.8 ± 0.1 | 0.8 ± 0.0 |
| CY | 2746.0 ± 961.7 | 5.2 ± 1.3 | 1.6 ± 0.3 | 0.7 ± 0.0 |
| MUD | 802.6 ± 102.6 | 4.8 ± 0.3 | 1.6 ± 0.1 | 0.8 ± 0.0 |
| SAND | 1830.0 ± 1506.5 | 4.4 ± 0.7 | 1.3 ± 0.4 | 0.6 ± 0.2 |
| WI-IR | 1887.9 ± 379.8 | 5.2 ± 0.6 | 1.4 ± 0.1 | 0.7 ± 0.0 |
| DOCKS | 244.6 ± 49.5 | 1.5 ± 0.1 | 0.3 ± 0.1 | 0.6 ± 0.1 |
| 2019 | 631.9 ± 64.3 | 3.7 ± 0.2 | 1.2 ± 0.1 | 0.8 ± 0.0 |
| CA | 644.7 ± 94.8 | 3.9 ± 0.3 | 1.3 ± 0.1 | 0.8 ± 0.0 |
| CY | 1253.9 ± 231.5 | 3.4 ± 0.6 | 1.1 ± 0.2 | 0.7 ± 0.1 |
| CACY | 312.5 ± 182.7 | 2.5 ± 1.2 | 0.8 ± 0.5 | 0.9 ± 0.1 |
| MUD | 507.3 ± 125.2 | 3.8 ± 0.4 | 1.3 ± 0.2 | 0.8 ± 0.0 |
| SAND | 540.0 ± 268.9 | 3.4 ± 0.5 | 1.1 ± 0.1 | 0.7 ± 0.1 |
| WI-IR | 862.5 ± 280.9 | 4.4 ± 0.8 | 1.6 ± 0.3 | 0.9 ± 0.0 |
| DOCKS | 228.6 ± 80.4 | 1.4 ± 0.2 | 0.3 ± 0.2 | 0.7 ± 0.1 |
| Source | Df | SS | MS | F | p | ECV (%) | |
|---|---|---|---|---|---|---|---|
| Density (ind./m2) | |||||||
| Habitat | 6 | 3190.3 | 531.71 | 3.94 | 0.0005 | 17.06 | |
| Period | 4 | 1505.2 | 376.31 | 2.78 | 0.0244 | 11.55 | |
| Period × Habitat | 19 | 5001.2 | 263.22 | 1.95 | 0.0076 | 15.23 | |
| Res | 518 | 69,896 | 134.93 | 56.14 | |||
| Species richness (S) | Df | SS | MS | F | p | ||
| Habitat | 6 | 7832.5 | 10,305.4 | 5.11 | 0.0001 | 17.42 | |
| Period | 4 | 8138.6 | 2034.7 | 7.97 | 0.0001 | 19.7 | |
| Period × Habitat | 19 | 10,438 | 549.36 | 2.15 | 0.0016 | 14.45 | |
| Res | 132,120 | 255.05 | 48.40 | ||||
| Shannon Index (H’) | Df | SS | MS | F | p | ||
| Habitat | 6 | 8354.2 | 1392.4 | 4.97 | 0.0005 | 19.59 | |
| Period | 4 | 3019.9 | 754.98 | 2.42 | 0.0428 | 11.46 | |
| Period × Habitat | 10,954 | 576.55 | 1.85 | 0.0197 | 15.48 | ||
| Res | 19 | 130,570 | 310.89 | 53.63 | |||
| Pairwise Test | Density (ind./m2) | Species richness (S) | Shannon Index (H’) | ||||
| Habitat × Period | t | p | t | p | t | p | |
| CA | |||||||
| 2002–2007 vs. 2018 | 1.92 | 0.0521 | 5.64 | 0.0001 | 3.77 | 0.0001 | |
| 2002–2007 vs. 2019 | 2.16 | 0.028 | 2.56 | 0.0099 | |||
| 2017 vs. 2018 | 3.44 | 0.001 | 3.38 | 0.0015 | |||
| 2018 vs. 2019 | 2.79 | 0.0049 | 3.83 | 0.0001 | 2.05 | 0.0371 | |
| CACY | |||||||
| 2002–2007 vs. 2019 | 1.46 | 0.014 | |||||
| 2019 vs. 1980s | 3.27 | 0.003 | 4.06 | 0.0003 | |||
| CY | |||||||
| 2002–2007 vs. 2017 | 2.13 | 0.035 | 3.01 | 0.0037 | 3.08 | 0.0033 | |
| 2002–2007 vs. 2018 | 2.24 | 0.029 | |||||
| 2002–2007 vs. 1980s | 2.18 | 0.034 | |||||
| 2017 vs. 2019 | 2.13 | 0.048 | 3.10 | 0.0078 | |||
| 2017 vs. 1980s | 2.94 | 0.0138 | |||||
| MUD | |||||||
| 2002–2007 vs. 2017 | 2.14 | 0.012 | |||||
| 2002–2007 vs. 2018 | 1.66 | 0.053 | |||||
| 2017 vs. 2018 | 3.04 | 0.0028 | 4.38 | 0.0001 | 3.44 | 0.0001 | |
| 2018 vs. 2019 | 2.08 | 0.003 | 2.20 | 0.024 | |||
| SAND | |||||||
| 2017 vs. 2018 | 3.04 | 0.012 | |||||
| 2017 vs. 2019 | 2.33 | 0.043 | |||||
| WI-IR | |||||||
| 2002–2007 vs. 2017 | 2.67 | 0.008 | |||||
| 2002–2007 vs. 2018 | 2.26 | 0.0238 | |||||
| 2002–2007 vs. 2019 | 2.53 | 0.021 | |||||
| 2002–2007 vs. 1980s | 2.92 | 0.009 | |||||
| 2017 vs. 2018 | 4.17 | 0.0001 | 3.68 | 0.0002 | |||
| 2017 vs. 2019 | 2 en | 0.024 | 4.53 | 0.0001 | |||
| 2017 vs. 1980s | 3.14 | 0.002 | 5.08 | 0.0001 | 1.79 | 0.0571 | |
| 2018 vs. 1980s | 1.75 | 0.048 | 1.89 | 0.057 | |||
| 2019 vs. 1980s | 2.51 | 0.02 | 2.08 | 0.046 | |||
| DOCKS | |||||||
| 2017 vs. 2018 | 2.09 | 0.048 | |||||
| 2017 vs. 2019 | 2.14 | 0.037 | |||||
| 2018 vs. 1980s | 2.38 | 0.038 | |||||
Disclaimer/Publisher’s Note: The statements, opinions and data contained in all publications are solely those of the individual author(s) and contributor(s) and not of MDPI and/or the editor(s). MDPI and/or the editor(s) disclaim responsibility for any injury to people or property resulting from any ideas, methods, instructions or products referred to in the content. |
© 2025 by the authors. Licensee MDPI, Basel, Switzerland. This article is an open access article distributed under the terms and conditions of the Creative Commons Attribution (CC BY) license (https://creativecommons.org/licenses/by/4.0/).
Share and Cite
Sánchez-Fernández, O.; Marcos, C.; Puerta, P.; Sala-Mirete, A.; Pérez-Ruzafa, A. Spatial and Temporal Scales of Variability of Mollusks in a Strongly Threatened Mediterranean Coastal Lagoon (Mar Menor, Murcia, Spain). Water 2025, 17, 657. https://doi.org/10.3390/w17050657
Sánchez-Fernández O, Marcos C, Puerta P, Sala-Mirete A, Pérez-Ruzafa A. Spatial and Temporal Scales of Variability of Mollusks in a Strongly Threatened Mediterranean Coastal Lagoon (Mar Menor, Murcia, Spain). Water. 2025; 17(5):657. https://doi.org/10.3390/w17050657
Chicago/Turabian StyleSánchez-Fernández, Olga, Concepción Marcos, Patricia Puerta, Antonio Sala-Mirete, and Angel Pérez-Ruzafa. 2025. "Spatial and Temporal Scales of Variability of Mollusks in a Strongly Threatened Mediterranean Coastal Lagoon (Mar Menor, Murcia, Spain)" Water 17, no. 5: 657. https://doi.org/10.3390/w17050657
APA StyleSánchez-Fernández, O., Marcos, C., Puerta, P., Sala-Mirete, A., & Pérez-Ruzafa, A. (2025). Spatial and Temporal Scales of Variability of Mollusks in a Strongly Threatened Mediterranean Coastal Lagoon (Mar Menor, Murcia, Spain). Water, 17(5), 657. https://doi.org/10.3390/w17050657

