Unraveling the Characteristics of the Inter-Station Daily Rainfall Field in the Plain Regions of Eastern China Under Monsoon Climate
Abstract
1. Introduction
2. Materials and Methods
2.1. Study Area and Data
2.2. Pearson’s Production Moment Correlation
2.3. The Multi-Site Linear Interpolation Model
3. Results
3.1. The Impact of Time Scale and Distance on Rainfall Correlation
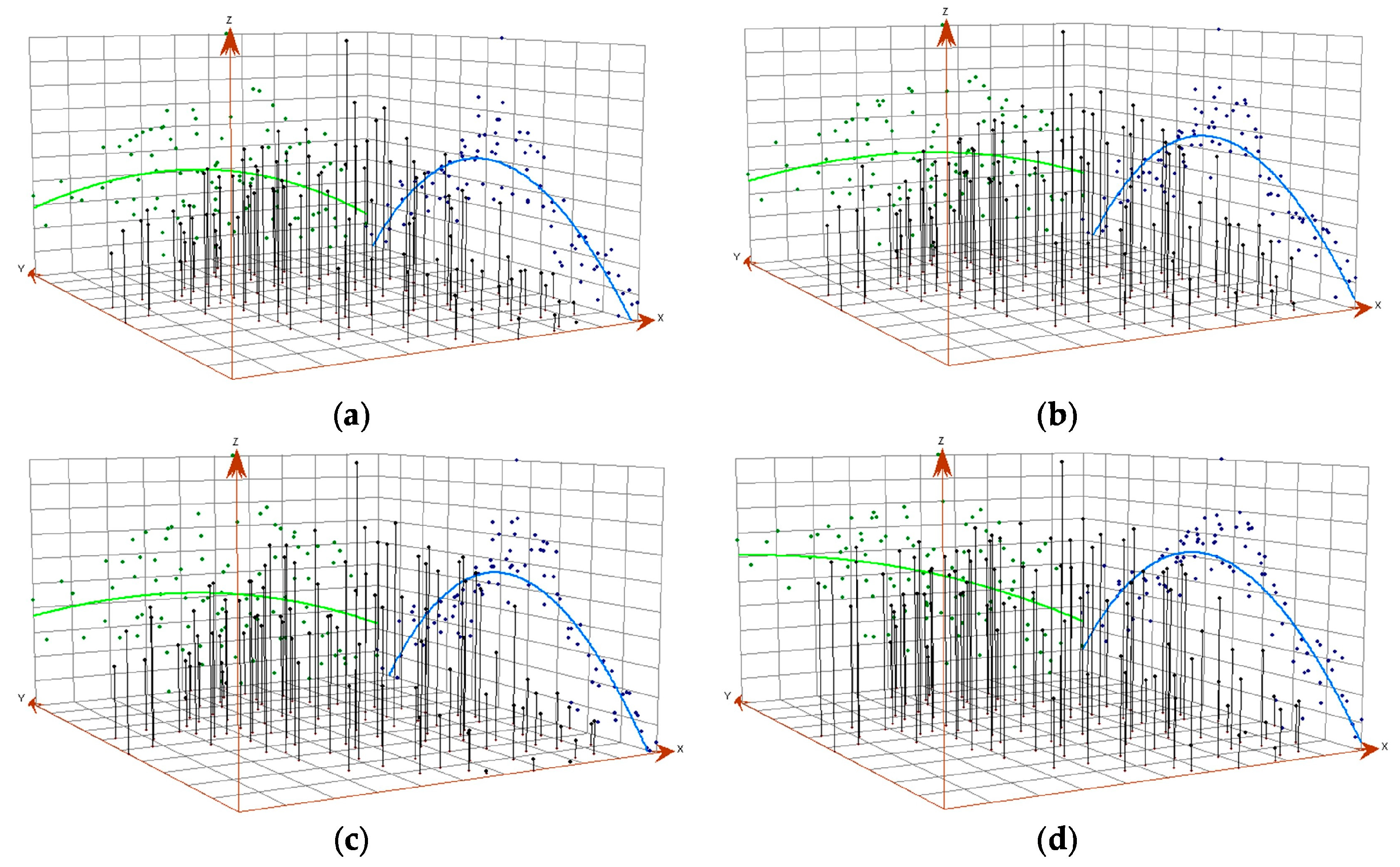
3.2. Spatial Anisotropy of the Correlation Field
3.3. Character of the Correlation Filed in Wet Season
4. Discussion
5. Conclusions
Author Contributions
Funding
Data Availability Statement
Conflicts of Interest
References
- Hwang, Y.; Clark, M.; Rajagopalan, B.; Leavesley, G. Spatial interpolation schemes of daily precipitation for hydrologic modeling. Stoch. Environ. Res. Risk Assess. 2012, 26, 295–320. [Google Scholar] [CrossRef]
- Xu, W.; Zou, Y.; Zhang, G.; Linderman, M. A comparison among spatial interpolation techniques for daily rainfall data in Sichuan province, China. Int. J. Climatol. 2015, 35, 2898–2907. [Google Scholar] [CrossRef]
- Elumalai, V.; Brindha, K.; Sithole, B.; Lakshmanan, E. Spatial interpolation methods and geostatistics for mapping groundwater contamination in a coastal area. Environ. Sci. Pollut. Res. 2017, 24, 11601–11617. [Google Scholar] [CrossRef]
- Yeh, H.C.; Chen, Y.C.; Wei, C.; Chen, R.H. Entropy and kriging approach to rainfall network design. Paddy Water Env. 2011, 9, 343–355. [Google Scholar] [CrossRef]
- Wang, Y.; Liu, X.; Liu, R.; Zhang, Z. Research Progress on Spatiotemporal Interpolation Methods for Meteorological Elements. Water 2024, 16, 818. [Google Scholar] [CrossRef]
- Fassnacht, S.R.; Dressler, K.S.; Bales, R.C. Snow water equivalent interpolation for the Colorado River Basin from snow telemetry (SNOTEL) data. Water Resour. Res. 2003, 39, 1208. [Google Scholar] [CrossRef]
- Garcia, M.; Peters-Lidard, C.D.; Goodrich, D.C. Spatial interpolation of precipitation in a dense gauge network for monsoon storm events in the southwestern United States. Water Resour. Res. 2008, 44, 387–400. [Google Scholar] [CrossRef]
- Li, X.; Heap, A.D. A review of comparative studies of spatial interpolation methods in environmental sciences. Environ. Model. Softw. 2014, 51, 1–12. [Google Scholar]
- Song, L.; Tian, Y.; Wu, L.; Zhang, H. On Comparison of Spatial Interpolation Methods of Daily Rainfall Data: A Case Study of Shenzhen. J. Geo-Inf. Sci. 2008, 10, 566–572. [Google Scholar]
- Chen, D.; Ou, T.; Gong, L.; Xu, C.-Y.; Li, W.; Ho, C.-H.; Qian, W. Spatial interpolation of daily precipitation in China: 1951–2005. Adv. Atmos. Sci. 2010, 27, 1221–1232. [Google Scholar] [CrossRef]
- Karakaya, N.; Demirtaş, N. A comparison of interpolation techniques for predicting groundwater levels in urban areas. Hydrol. Res. 2022, 53, 94–106. [Google Scholar]
- Das, M.; Hazra, A.; Sarkar, A.; Bhattacharya, S.; Banik, P. Comparison of spatial interpolation methods for estimation of weekly rainfall in West Bengal, India. Mausam 2017, 68, 41–50. [Google Scholar] [CrossRef]
- Hendrick, R.L.; Comer, G.H. Space variations of precipitation and implications for raingage network design. J. Hydrol. 1970, 10, 151–163. [Google Scholar] [CrossRef]
- Stol, P.T. The relative efficiency of the density of rain-gage networks. J. Hydrol. 1972, 15, 193–208. [Google Scholar] [CrossRef]
- Jackson, I.J. Inter-station rainfall correlation under tropical conditions. CATENA 1973, 1, 235–256. [Google Scholar] [CrossRef]
- Jackson, I.J. Local differences in the patterns of variability of tropical rainfall: Some characteristics and implications. J. Hydrol. 1978, 38, 273–287. [Google Scholar] [CrossRef]
- Sharon, D. Correlation Analysis of the Jordan Valey Rainfall Field. Mon. Weather Rev. 2009, 107, 1042–1047. [Google Scholar] [CrossRef]
- Baldassare, B.; Kottegoda, N.T. Identification and calibration of spatial correlation patterns of rainfall. J. Hydrol. 1995, 165, 311–348. [Google Scholar]
- Sumner, G.N. The use of correlation linkages in the assessment of daily rainfall patterns. J. Hydrol. 1983, 66, 169–181. [Google Scholar] [CrossRef]
- Trinugroho, M.W.; Arif, S.S.; Susanto, S.; Nugroho, B.D.A.; Prabowo, A. Changes in Rainfall Pattern in Bengawan Solo Sub-Watershed. Sains Tanah J. Soil Sci. Agroclimatol. 2022, 19, 249–260. [Google Scholar] [CrossRef]
- Ding, Y.; Chan, J. The East Asian summer monsoon: An overview. Meteorol. Atmos. Phys. 2005, 89, 117–142. [Google Scholar]
- Chen, J.; Lu, D. Division of monsoon climatic regions in China. J. Beijing For. Univ. 1981, 4, 1–8. [Google Scholar]
- Berndtsson, R. On the use of cross-correlation analysis in studies of patterns of rainfall variability. J. Hydrol. 1987, 93, 113–134. [Google Scholar] [CrossRef]
- Bonell, M.; Sumner, G. Autumn and winter daily precipitation areas in Wales, 1982–1983 to 1986–1987. Int. J. Climatol. 1992, 12, 77–102. [Google Scholar] [CrossRef]
- Habib, E.; Krajewski, W.F.; Ciach, G.J. Estimation of rainfall interstation correlation. J. Hydrometeorol. 2001, 2, 621–629. [Google Scholar] [CrossRef]
- Ciach, G.J.; Krajewski, W.F. Analysis and modeling of spatial correlation structure in small-scale rainfall in Central Oklahoma. Adv. Water Resour. 2006, 29, 1450–1463. [Google Scholar] [CrossRef]
- Bekas, G.K.; Alexakis, D.E.; Gamvroula, D.E. Forecasting discharge rate and chloride content of karstic spring water by applying the Levenberg-Marquardt algorithm. Environ. Earth Sci. 2021, 80, 404. [Google Scholar] [CrossRef]
- Lourakis, M.I.A. A brief description of the Levenberg-Marquardt algorithm implemented by levmar. Found. Res. Technol. 2005, 4, 1–6. [Google Scholar]
- Baigorria, G.A.; Jones, J.W.; O‘Brien, J.J. Understanding rainfall spatial variability in southeast USA at different timescales. Int. J. Climatol. 2010, 27, 749–760. [Google Scholar] [CrossRef]
- Dzotsi, K.A.; Matyas, C.J.; Jones, J.W.; Baigorria, G.; Hoogenboom, G. Understanding high resolution space-time variability of rainfall in southwest Georgia, United States. Int. J. Climatol. A J. R. Meteorol. Soc. 2014, 34, 3188–3203. [Google Scholar] [CrossRef]






| Time Scale | 1 d | 3 d | 7 d | 15 d |
|---|---|---|---|---|
| mean | 0.555 | 0.652 | 0.723 | 0.799 |
| standard derivation | 0.163 | 0.142 | 0.117 | 0.089 |
| coefficient of variation | 0.294 | 0.218 | 0.162 | 0.112 |
| minimum | 0.176 | 0.257 | 0.410 | 0.534 |
Disclaimer/Publisher’s Note: The statements, opinions and data contained in all publications are solely those of the individual author(s) and contributor(s) and not of MDPI and/or the editor(s). MDPI and/or the editor(s) disclaim responsibility for any injury to people or property resulting from any ideas, methods, instructions or products referred to in the content. |
© 2025 by the authors. Licensee MDPI, Basel, Switzerland. This article is an open access article distributed under the terms and conditions of the Creative Commons Attribution (CC BY) license (https://creativecommons.org/licenses/by/4.0/).
Share and Cite
Yan, Z.; Li, C.; Hu, Y. Unraveling the Characteristics of the Inter-Station Daily Rainfall Field in the Plain Regions of Eastern China Under Monsoon Climate. Water 2025, 17, 654. https://doi.org/10.3390/w17050654
Yan Z, Li C, Hu Y. Unraveling the Characteristics of the Inter-Station Daily Rainfall Field in the Plain Regions of Eastern China Under Monsoon Climate. Water. 2025; 17(5):654. https://doi.org/10.3390/w17050654
Chicago/Turabian StyleYan, Zhongyue, Changyan Li, and Yangcheng Hu. 2025. "Unraveling the Characteristics of the Inter-Station Daily Rainfall Field in the Plain Regions of Eastern China Under Monsoon Climate" Water 17, no. 5: 654. https://doi.org/10.3390/w17050654
APA StyleYan, Z., Li, C., & Hu, Y. (2025). Unraveling the Characteristics of the Inter-Station Daily Rainfall Field in the Plain Regions of Eastern China Under Monsoon Climate. Water, 17(5), 654. https://doi.org/10.3390/w17050654

