Water Surface Temperature Dynamics of the Three Largest Ice-Contact Lakes in the Patagonia Icefield over the Last 20 Years
Abstract
1. Introduction
- (i)
- Generate a complete record of ice-contact LSWT based on MODIS 8-day temperature products.
- (ii)
- Analyze the LSWT spatial characteristics and trends of ice-contact lakes in relation to glaciers.
- (iii)
- Analyze the cooling effect of calving events on ice-contact LSWT for Glacier Upsala, which experiences the most frequent calving events.
2. Study Area
2.1. Ice-Contact Lakes
2.2. Non-Ice-Contact Lakes
3. Materials and Methods
3.1. Lake Area and Glacier Terminus Time Series
3.2. LSWT Derived from MODIS Data
3.3. In Situ Lake Temperature, Air Temperature Data, and LSWT Validation
3.4. Calving Events of Lake Argentino
4. Results
4.1. Ice-Contact Lake and Glacier Dynamics
4.2. Annual and Seasonal LSWT Pattern
4.3. LSWT Trend Between 2002 and 2022
5. Discussion
5.1. Glaciers’ and Other Possible Factors’ Impact on Ice-Contact LSWT
5.2. Calving Events’ Impact on Ice-Contact LSWT
5.3. Ice-Contact LSWT Impact on Glacier
6. Conclusions
Author Contributions
Funding
Data Availability Statement
Acknowledgments
Conflicts of Interest
References
- Abdel Jaber, W.; Rott, H.; Floricioiu, D.; Wuite, J.; Miranda, N. Heterogeneous Spatial and Temporal Pattern of Surface Elevation Change and Mass Balance of the Patagonian Ice Fields between 2000 and 2016. Cryosphere 2019, 13, 2511–2535. [Google Scholar] [CrossRef]
- Davies, B.J.; Glasser, N.F. Accelerating Shrinkage of Patagonian Glaciers from the Little Ice Age (~AD 1870) to 2011. J. Glaciol. 2012, 58, 1063–1084. [Google Scholar] [CrossRef]
- Hugonnet, R.; McNabb, R.; Berthier, E.; Menounos, B.; Nuth, C.; Girod, L.; Farinotti, D.; Huss, M.; Dussaillant, I.; Brun, F.; et al. Accelerated Global Glacier Mass Loss in the Early Twenty-First Century. Nature 2021, 592, 726–731. [Google Scholar] [CrossRef] [PubMed]
- Aniya, M.; Sato, H.; Naruse, R.; Skvarca, P.; Casassa, G. Recent Glacier Variations in the Southern Patagonia Icefield, South America. Arct. Alp. Res. 1997, 29, 1–12. [Google Scholar] [CrossRef]
- Lopez, P.; Chevallier, P.; Favier, V.; Pouyaud, B.; Ordenes, F.; Oerlemans, J. A Regional View of Fluctuations in Glacier Length in Southern South America. Glob. Planet. Change 2010, 71, 85–108. [Google Scholar] [CrossRef]
- Rignot, E.; Rivera, A.; Casassa, G. Contribution of the Patagonia Icefields of South America to Sea Level Rise. Science 2003, 302, 434–437. [Google Scholar] [CrossRef]
- Wilson, R.; Glasser, N.F.; Reynolds, J.M.; Harrison, S.; Anacona, P.I.; Schaefer, M.; Shannon, S. Glacial Lakes of the Central and Patagonian Andes. Glob. Planet. Change 2018, 162, 275–291. [Google Scholar] [CrossRef]
- Mallalieu, J.; Carrivick, J.L.; Quincey, D.J.; Raby, C.L. Ice-Marginal Lakes Associated with Enhanced Recession of the Greenland Ice Sheet. Glob. Planet. Change 2021, 202, 103503. [Google Scholar] [CrossRef]
- Chen, F.; Zhang, M.; Guo, H.; Allen, S.; Kargel, J.S.; Haritashya, U.K.; Watson, C.S. Annual 30 m Dataset for Glacial Lakes in High Mountain Asia from 2008 to 2017. Earth Syst. Sci. Data 2021, 13, 741–766. [Google Scholar] [CrossRef]
- Carrivick, J.L.; Sutherland, J.L.; Huss, M.; Purdie, H.; Stringer, C.D.; Grimes, M.; James, W.H.M.; Lorrey, A.M. Coincident Evolution of Glaciers and Ice-Marginal Proglacial Lakes across the Southern Alps, New Zealand: Past, Present and Future. Glob. Planet. Change 2022, 211, 103792. [Google Scholar] [CrossRef]
- Hanshaw, M.N.; Bookhagen, B. Glacial Areas, Lake Areas, and Snow Lines from 1975 to 2012: Status of the Cordillera Vilcanota, Including the Quelccaya Ice Cap, Northern Central Andes, Peru. Cryosphere 2014, 8, 359–376. [Google Scholar] [CrossRef]
- Truffer, M.; Motyka, R.J. Where Glaciers Meet Water: Subaqueous Melt and Its Relevance to Glaciers in Various Settings. Rev. Geophys. 2016, 54, 220–239. [Google Scholar] [CrossRef]
- Sutherland, J.L.; Carrivick, J.L.; Gandy, N.; Shulmeister, J.; Quincey, D.J.; Cornford, S.L. Proglacial Lakes Control Glacier Geometry and Behavior During Recession. Geophys. Res. Lett. 2020, 47, e2020GL088865. [Google Scholar] [CrossRef]
- Dye, A.; Bryant, R.; Dodd, E.; Falcini, F.; Rippin, D.M. Warm Arctic Proglacial Lakes in the ASTER Surface Temperature Product. Remote Sens. 2021, 13, 2987. [Google Scholar] [CrossRef]
- Röhl, K. Thermo-Erosional Notch Development at Fresh-Water-Calving Tasman Glacier, New Zealand. J. Glaciol. 2006, 52, 203–213. [Google Scholar] [CrossRef]
- Dye, A.; Bryant, R.; Falcini, F.; Mallalieu, J.; Dimbleby, M.; Beckwith, M.; Rippin, D.; Kirchner, N. Warm Proglacial Lake Temperatures and Thermal Undercutting Drives Rapid Retreat of an Arctic Glacier. EGUsphere, 2024; submitted. [Google Scholar]
- Watson, C.S.; Kargel, J.S.; Shugar, D.H.; Haritashya, U.K.; Schiassi, E.; Furfaro, R. Mass Loss From Calving in Himalayan Proglacial Lakes. Front. Earth Sci. 2020, 7, 342. [Google Scholar] [CrossRef]
- Sugiyama, S.; Minowa, M.; Sakakibara, D.; Skvarca, P.; Sawagaki, T.; Ohashi, Y.; Naito, N.; Chikita, K. Thermal Structure of Proglacial Lakes in Patagonia. JGR Earth Surf. 2016, 121, 2270–2286. [Google Scholar] [CrossRef]
- Sugiyama, S.; Minowa, M.; Schaefer, M. Underwater Ice Terrace Observed at the Front of Glaciar Grey, a Freshwater Calving Glacier in Patagonia. Geophys. Res. Lett. 2019, 46, 2602–2609. [Google Scholar] [CrossRef]
- Minowa, M.; Sugiyama, S.; Sakakibara, D.; Skvarca, P. Seasonal Variations in Ice-Front Position Controlled by Frontal Ablation at Glaciar Perito Moreno, the Southern Patagonia Icefield. Front. Earth Sci. 2017, 5, 1. [Google Scholar] [CrossRef]
- Pelto, B.M.; Browning, B.; Bird, L.; Moyer, A.N.; Moore, R.D. Lake Surface and Downstream River Temperature Response to the Retreat of a Lake-terminating Glacier. Hydrol. Process. 2024, 38, e15150. [Google Scholar] [CrossRef]
- Garreaud, R.; Lopez, P.; Minvielle, M.; Rojas, M. Large-Scale Control on the Patagonian Climate. J. Clim. 2013, 26, 215–230. [Google Scholar] [CrossRef]
- Schneider, C.; Glaser, M.; Kilian, R.; Santana, A.; Butorovic, N.; Casassa, G. Weather Observations Across the Southern Andes at 53°S. Phys. Geogr. 2003, 24, 97–119. [Google Scholar] [CrossRef]
- Villalba, R.; Veblen, T.T.; Ogden, J. Climatic Influences on the Growth of Subalpine Trees in the Colorado Front Range. Ecology 1994, 75, 1450–1462. [Google Scholar] [CrossRef]
- Van Wyk De Vries, M.; Ito, E.; Shapley, M.; Brignone, G.; Romero, M.; Wickert, A.D.; Miller, L.H.; MacGregor, K.R. Physical Limnology and Sediment Dynamics of Lago Argentino, the World’s Largest Ice-Contact Lake. JGR Earth Surf. 2022, 127, e2022JF006598. [Google Scholar] [CrossRef]
- Minowa, M.; Schaefer, M.; Skvarca, P. Effects of Topography on Dynamics and Mass Loss of Lake-Terminating Glaciers in Southern Patagonia. J. Glaciol. 2023, 69, 1580–1597. [Google Scholar] [CrossRef]
- Restelli, F.B.; Lozano, J.G.; Bran, D.M.; Bunicontro, S.; Lodolo, E.; Tassone, A.A.; Vilas, J.F. Submerged Imprint of Glacier Dynamics in the NW Sector of Lago Viedma (Southern Patagonia, Argentina). J Quat. Sci. 2024, 39, 765–780. [Google Scholar] [CrossRef]
- Casassa, G.; Brecher, H.; Rivera, A.; Aniya, M. A Century-Long Recession Record of Glaciar O’Higgins, Chilean Patagonia. Ann. Glaciol. 1997, 24, 106–110. [Google Scholar] [CrossRef]
- Schaefer, M.; Casassa, G.; Loriaux, T. Simulating the Retreat of the Freshwater Calving Glacier O’Higgins, Patagonia, Using a FLow Line Model. Geophys. Res. Abstr. 2011, 13, EGU2011-12379. [Google Scholar]
- Bell, C.M. Quaternary Lacustrine Braid Deltas on Lake General Carrera in Southern Chile. AndGeo 2009, 36, 51–65. [Google Scholar] [CrossRef]
- Sugden, D.E.; McCulloch, R.D.; Bory, A.J.-M.; Hein, A.S. Influence of Patagonian Glaciers on Antarctic Dust Deposition during the Last Glacial Period. Nat. Geosci 2009, 2, 281–285. [Google Scholar] [CrossRef]
- Quade, J.; Kaplan, M.R. Lake-Level Stratigraphy and Geochronology Revisited at Lago (Lake) Cardiel, Argentina, and Changes in the Southern Hemispheric Westerlies over the Last 25 Ka. Quat. Sci. Rev. 2017, 177, 173–188. [Google Scholar] [CrossRef]
- Wang, X.; Guo, X.; Yang, C.; Liu, Q.; Wei, J.; Zhang, Y.; Liu, S.; Zhang, Y.; Jiang, Z.; Tang, Z. Glacial Lake Inventory of High-Mountain Asia in 1990 and 2018 Derived from Landsat Images. Earth Syst. Sci. Data 2020, 12, 2169–2182. [Google Scholar] [CrossRef]
- Wulder, M.A.; Roy, D.P.; Radeloff, V.C.; Loveland, T.R.; Anderson, M.C.; Johnson, D.M.; Healey, S.; Zhu, Z.; Scambos, T.A.; Pahlevan, N.; et al. Fifty Years of Landsat Science and Impacts. Remote Sens. Environ. 2022, 280, 113195. [Google Scholar] [CrossRef]
- Sheng, Y.; Song, C.; Wang, J.; Lyons, E.A.; Knox, B.R.; Cox, J.S.; Gao, F. Representative Lake Water Extent Mapping at Continental Scales Using Multi-Temporal Landsat-8 Imagery. Remote Sens. Environ. 2016, 185, 129–141. [Google Scholar] [CrossRef]
- Wood, J.L.; Harrison, S.; Wilson, R.; Emmer, A.; Yarleque, C.; Glasser, N.F.; Torres, J.C.; Caballero, A.; Araujo, J.; Bennett, G.L.; et al. Contemporary Glacial Lakes in the Peruvian Andes. Glob. Planet. Change 2021, 204, 103574. [Google Scholar] [CrossRef]
- Rick, B.; McGrath, D.; Armstrong, W.; McCoy, S.W. Dam Type and Lake Location Characterize Ice-Marginal Lake Area Change in Alaska and NW Canada between 1984 and 2019. Cryosphere 2022, 16, 297–314. [Google Scholar] [CrossRef]
- Messager, M.L.; Lehner, B.; Grill, G.; Nedeva, I.; Schmitt, O. Estimating the Volume and Age of Water Stored in Global Lakes Using a Geo-Statistical Approach. Nat. Commun. 2016, 7, 13603. [Google Scholar] [CrossRef]
- Eleftheriou, D.; Kiachidis, K.; Kalmintzis, G.; Kalea, A.; Bantasis, C.; Koumadoraki, P.; Spathara, M.E.; Tsolaki, A.; Tzampazidou, M.I.; Gemitzi, A. Determination of Annual and Seasonal Daytime and Nighttime Trends of MODIS LST over Greece—Climate Change Implications. Sci. Total Environ. 2018, 616–617, 937–947. [Google Scholar] [CrossRef]
- Zhang, Y.; Xu, M.; Chen, H.; Adams, J. Global Pattern of NPP to GPP Ratio Derived from MODIS Data: Effects of Ecosystem Type, Geographical Location and Climate. Glob. Ecol. Biogeogr. 2009, 18, 280–290. [Google Scholar] [CrossRef]
- Haroon, M.A.; Zhang, J.; Yao, F. Drought Monitoring and Performance Evaluation of MODIS-Based Drought Severity Index (DSI) over Pakistan. Nat. Hazards 2016, 84, 1349–1366. [Google Scholar] [CrossRef]
- Wan, Z. New Refinements and Validation of the Collection-6 MODIS Land-Surface Temperature/Emissivity Product. Remote Sens. Environ. 2014, 140, 36–45. [Google Scholar] [CrossRef]
- Wood, S.N. Generalized Additive Models: An Introduction with R, 2nd ed.; Chapman and Hall/CRC: New York, NY, USA, 2017. [Google Scholar]
- Korver, M.C.; Lehner, B.; Cardille, J.A.; Carrea, L. Surface Water Temperature Observations and Ice Phenology Estimations for 1.4 Million Lakes Globally. Remote Sens. Environ. 2024, 308, 114164. [Google Scholar] [CrossRef]
- Zhang, T.; Zhou, Y.; Zhu, Z.; Li, X.; Asrar, G.R. A Global Seamless 1 Km Resolution Daily Land Surface Temperature Dataset (2003–2020). Earth Syst. Sci. Data 2022, 14, 651–664. [Google Scholar] [CrossRef]
- Zhang, G.; Yao, T.; Xie, H.; Qin, J.; Ye, Q.; Dai, Y.; Guo, R. Estimating Surface Temperature Changes of Lakes in the Tibetan Plateau Using MODIS LST Data. JGR Atmos. 2014, 119, 8552–8567. [Google Scholar] [CrossRef]
- Chavula, G.; Brezonik, P.; Thenkabail, P.; Johnson, T.; Bauer, M. Estimating the Surface Temperature of Lake Malawi Using AVHRR and MODIS Satellite Imagery. Phys. Chem. Earth Parts A/B/C 2009, 34, 749–754. [Google Scholar] [CrossRef]
- Lavigne, T.; Liu, C. Validity of Global Fog-Day Trends Indicated by the Global Surface Summary of the Day (GSOD) Data Set. JGR Atmos. 2022, 127, e2021JD035881. [Google Scholar] [CrossRef]
- How, P.; Messerli, A.; Mätzler, E.; Santoro, M.; Wiesmann, A.; Caduff, R.; Langley, K.; Bojesen, M.H.; Paul, F.; Kääb, A.; et al. Greenland-Wide Inventory of Ice Marginal Lakes Using a Multi-Method Approach. Sci. Rep. 2021, 11, 4481. [Google Scholar] [CrossRef]
- Loriaux, T.; Casassa, G. Evolution of Glacial Lakes from the Northern Patagonia Icefield and Terrestrial Water Storage in a Sea-Level Rise Context. Glob. Planet. Change 2013, 102, 33–40. [Google Scholar] [CrossRef]
- Lannutti, E.; Lenzano, M.G.; Vacaflor, P.; Rivera, A.; Moragues, S.; Gentile, M.; Lenzano, L. Ice Thickness Distribution and Stability of Three Large Freshwater Calving Glaciers on the Eastern Side of the Southern Patagonian Icefield. Cold Reg. Sci. Technol. 2024, 221, 104158. [Google Scholar] [CrossRef]
- Bird, L.A.; Moyer, A.N.; Moore, R.D.; Koppes, M.N. Hydrology and Thermal Regime of an Ice-contact Proglacial Lake: Implications for Stream Temperature and Lake Evaporation. Hydrol. Process. 2022, 36, e14566. [Google Scholar] [CrossRef]
- Warren, C.R.; Kirkbride, M.P. Temperature and Bathymetry of Ice-contact Lakes in Mount Cook National Park, New Zealand. N. Z. J. Geol. Geophys. 1998, 41, 133–143. [Google Scholar] [CrossRef]
- Sugiyama, S.; Minowa, M.; Fukamachi, Y.; Hata, S.; Yamamoto, Y.; Sauter, T.; Schneider, C.; Schaefer, M. Subglacial Discharge Controls Seasonal Variations in the Thermal Structure of a Glacial Lake in Patagonia. Nat. Commun. 2021, 12, 6301. [Google Scholar] [CrossRef]
- Minowa, M.; Schaefer, M.; Sugiyama, S.; Sakakibara, D.; Skvarca, P. Frontal Ablation and Mass Loss of the Patagonian Icefields. Earth Planet. Sci. Lett. 2021, 561, 116811. [Google Scholar] [CrossRef]
- Thackeray, C.W.; Hall, A. An Emergent Constraint on Future Arctic Sea-Ice Albedo Feedback. Nat. Clim. Change 2019, 9, 972–978. [Google Scholar] [CrossRef]
- Rantanen, M.; Karpechko, A.Y.; Lipponen, A.; Nordling, K.; Hyvärinen, O.; Ruosteenoja, K.; Vihma, T.; Laaksonen, A. The Arctic Has Warmed Nearly Four Times Faster than the Globe since 1979. Commun Earth Environ. 2022, 3, 168. [Google Scholar] [CrossRef]
- Woolway, R.I.; Jennings, E.; Shatwell, T.; Golub, M.; Pierson, D.C.; Maberly, S.C. Lake Heatwaves under Climate Change. Nature 2021, 589, 402–407. [Google Scholar] [CrossRef]
- Sakakibara, D.; Sugiyama, S.; Sawagaki, T.; Marinsek, S.; Skvarca, P. Rapid Retreat, Acceleration and Thinning of Glaciar Upsala, Southern Patagonia Icefield, Initiated in 2008. Ann. Glaciol. 2013, 54, 131–138. [Google Scholar] [CrossRef]
- Warren, C.R.; Greene, D.R.; Glasser, N.F. Glaciar Upsala, Patagonia: Rapid Calving Retreat in Fresh Water. Ann. Glaciol. 1995, 21, 311–316. [Google Scholar] [CrossRef]
- Mallalieu, J.; Carrivick, J.L.; Quincey, D.J.; Smith, M.W. Calving Seasonality Associated with Melt-Undercutting and Lake Ice Cover. Geophys. Res. Lett. 2020, 47, e2019GL086561. [Google Scholar] [CrossRef]
- Rignot, E.; Fenty, I.; Xu, Y.; Cai, C.; Kemp, C. Undercutting of Marine-terminating Glaciers in West Greenland. Geophys. Res. Lett. 2015, 42, 5909–5917. [Google Scholar] [CrossRef] [PubMed]












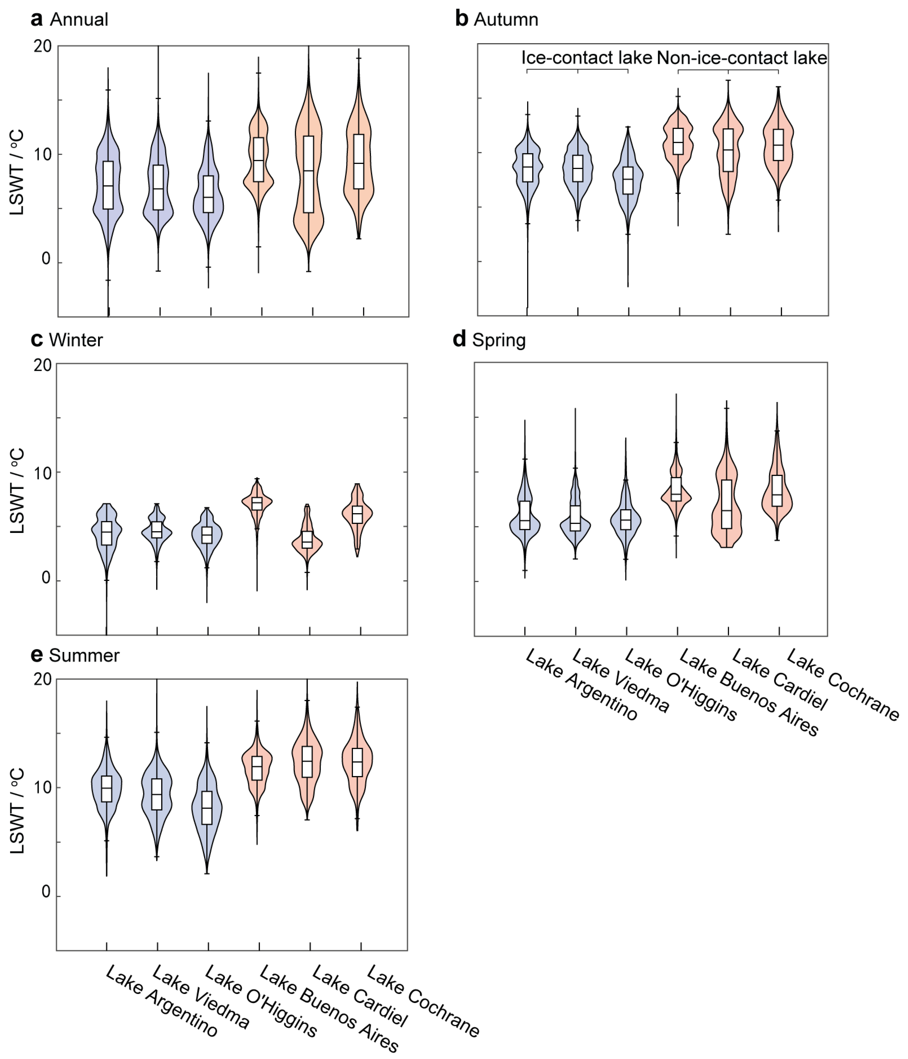
| Ice-Contact Lake | Mean LSWT (°C) | Median LSWT (°C) | LSWT Standard Deviation (°C) | |
|---|---|---|---|---|
| Annual | Lake Argentino | 7.16 | 7.09 | 0.74 |
| Lake Viedma | 7.04 | 7.04 | 0.62 | |
| Lake O’Higgins | 6.35 | 6.81 | 0.87 | |
| Autumn | Lake Argentino | 8.53 | 8.67 | 0.94 |
| Lake Viedma | 8.52 | 8.55 | 0.72 | |
| Lake O’Higgins | 7.47 | 7.55 | 1.08 | |
| Winter | Lake Argentino | 4.33 | 4.49 | 0.78 |
| Lake Viedma | 4.60 | 4.51 | 0.32 | |
| Lake O’Higgins | 4.17 | 4.21 | 0.66 | |
| Spring | Lake Argentino | 6.03 | 5.55 | 0.73 |
| Lake Viedma | 5.08 | 5.31 | 0.60 | |
| Lake O’Higgins | 5.76 | 5.61 | 0.77 | |
| Summer | Lake Argentino | 9.90 | 9.95 | 1.24 |
| Lake Viedma | 9.34 | 9.37 | 1.46 | |
| Lake O’Higgins | 8.12 | 8.11 | 1.38 |
Disclaimer/Publisher’s Note: The statements, opinions and data contained in all publications are solely those of the individual author(s) and contributor(s) and not of MDPI and/or the editor(s). MDPI and/or the editor(s) disclaim responsibility for any injury to people or property resulting from any ideas, methods, instructions or products referred to in the content. |
© 2025 by the authors. Licensee MDPI, Basel, Switzerland. This article is an open access article distributed under the terms and conditions of the Creative Commons Attribution (CC BY) license (https://creativecommons.org/licenses/by/4.0/).
Share and Cite
Zhao, S.; Sun, H.; Cheng, J.; Zhang, G. Water Surface Temperature Dynamics of the Three Largest Ice-Contact Lakes in the Patagonia Icefield over the Last 20 Years. Water 2025, 17, 385. https://doi.org/10.3390/w17030385
Zhao S, Sun H, Cheng J, Zhang G. Water Surface Temperature Dynamics of the Three Largest Ice-Contact Lakes in the Patagonia Icefield over the Last 20 Years. Water. 2025; 17(3):385. https://doi.org/10.3390/w17030385
Chicago/Turabian StyleZhao, Shaochun, Hongyan Sun, Jie Cheng, and Guoqing Zhang. 2025. "Water Surface Temperature Dynamics of the Three Largest Ice-Contact Lakes in the Patagonia Icefield over the Last 20 Years" Water 17, no. 3: 385. https://doi.org/10.3390/w17030385
APA StyleZhao, S., Sun, H., Cheng, J., & Zhang, G. (2025). Water Surface Temperature Dynamics of the Three Largest Ice-Contact Lakes in the Patagonia Icefield over the Last 20 Years. Water, 17(3), 385. https://doi.org/10.3390/w17030385

