Treatment of Wastewater Using a Magnetically Recoverable Ag-Based Photocatalyst
Abstract
1. Introduction
2. Materials and Methods
2.1. Reagents/Chemicals
2.2. Analytical Determinations
2.3. Synthesis of Materials
2.4. Photodegradation Experiments
3. Results and Discussion
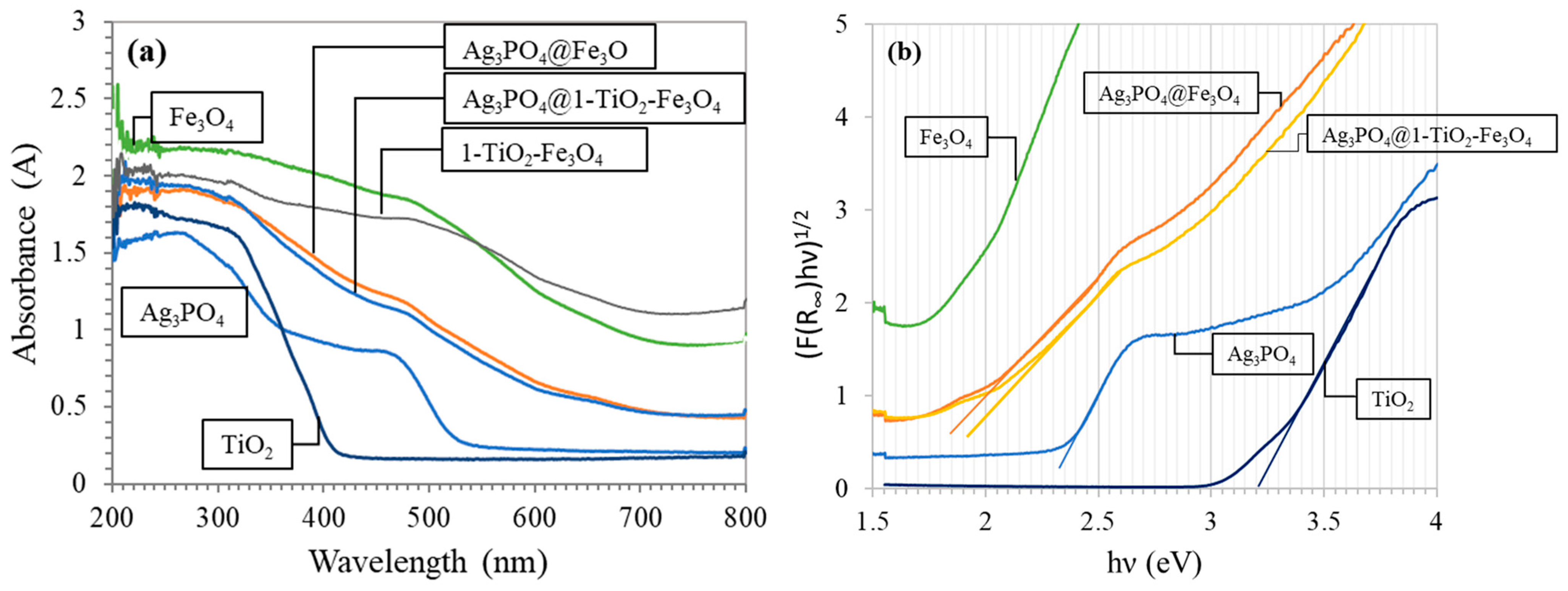
3.1. Characterisation of the Materials
3.2. Photocatalytic Performance
3.2.1. Swimming Pool Maintenance System Wastewater
3.2.2. WWTP Secondary Effluent
3.3. Reuse of the Magnetic Photocatalysts
4. Conclusions
Author Contributions
Funding
Data Availability Statement
Acknowledgments
Conflicts of Interest
References
- Jiang, T.; Wu, W.; Ma, M.; Hu, Y.; Li, R. Occurrence and Distribution of Emerging Contaminants in Wastewater Treatment Plants: A Globally Review over the Past Two Decades. Sci. Total Environ. 2024, 951, 175664. [Google Scholar] [CrossRef] [PubMed]
- Council of the European Community. Council Directive 91/271/EEC of 21 May 1991 Concerning Urban Waste-Water Treatment; L135; EU: Brussels, Belgium, 1991; pp. 0040–0052. [Google Scholar]
- Pereira, L.C.; de Souza, A.O.; Bernardes, M.F.F.; Pazin, M.; Tasso, M.J.; Pereira, P.H.; Dorta, D.J. A Perspective on the Potential Risks of Emerging Contaminants to Human and Environmental Health. Environ. Sci. Pollut. Res. 2015, 22, 13800–13823. [Google Scholar] [CrossRef]
- Lozano, C.; Matallana-Surget, S.; Givens, J.; Nouet, S.; Arbuckle, L.; Lambert, Z.; Lebaron, P. Toxicity of UV Filters on Marine Bacteria: Combined Effects with Damaging Solar Radiation. Sci. Total Environ. 2020, 722, 137803. [Google Scholar] [CrossRef]
- Lee, S.; Ka, Y.; Lee, B.; Lee, I.; Seo, Y.E.; Shin, H.; Kho, Y.; Ji, K. Single and Mixture Toxicity Evaluation of Avobenzone and Homosalate to Male Zebrafish and H295R Cells. Chemosphere 2023, 343, 140271. [Google Scholar] [CrossRef]
- Taheran, M.; Naghdi, M.; Brar, S.K.; Verma, M.; Surampalli, R.Y. Emerging Contaminants: Here Today, There Tomorrow! Environ. Nanotechnol. Monit. Manag. 2018, 10, 122–126. [Google Scholar] [CrossRef]
- Kagle, J.; Porter, A.W.; Murdoch, R.W.; Rivera-Cancel, G.; Hay, A.G. Chapter 3 Biodegradation of Pharmaceutical and Personal Care Products. Adv. Appl. Microbiol. 2009, 67, 65–108. [Google Scholar] [CrossRef]
- The European Parliament and the Council of the European Union. Directive 2013/39/EU of the European Parliament and of the Council of 12 August 2013 Amending Directives 2000/60/EC and 2008/105/EC as Regards Priority Substances in the Field of Water Policy; European Union: Brussels, Belgium, 2013; pp. 1–17. [Google Scholar]
- European Commission. Decision (EU) 2022/1307 of 22 July 2022 Establishing a Watch List of Substances for Union-Wide Monitoring in the Field of Water Policy Pursuant to Directive 2008/105/EC of the European Parliament and of the Council; European Union: Brussels, Belgium, 2022; pp. 117–121. [Google Scholar]
- Torres-Padrón, M.E.; Montesdeoca-Esponda, S.; Santana-Viera, S.; Guedes-Alonso, R.; Herrera-Melián, J.A.; Sosa-Ferrera, Z.; Santana-Rodríguez, J.J. An Update of the Occurrence of Organic Contaminants of Emerging Concern in the Canary Islands (Spain). Water 2020, 12, 2548. [Google Scholar] [CrossRef]
- Liu, Y.; Ohko, Y.; Zhang, R.; Yang, Y.; Zhang, Z. Degradation of Malachite Green on Pd/WO3 Photocatalysts under Simulated Solar Light. J. Hazard. Mater. 2010, 184, 386–391. [Google Scholar] [CrossRef] [PubMed]
- Malato-Rodríguez, S. Solar Detoxification and Disinfection. In Encyclopedia of Energy; Elsevier: Amsterdam, The Netherlands, 2004; pp. 587–596. [Google Scholar] [CrossRef]
- Zhuang, H.; Chen, X.; Xia, J.; Lu, K.; Huang, W.; Liu, X.; Yu, C.; Yang, K. State-of-the-Art Progress in Ag3PO4-Based Photocatalysts: Rational Design, Regulation and Perspective. Appl. Mater. Today 2023, 31, 101742. [Google Scholar] [CrossRef]
- Yi, Z.; Ye, J.; Kikugawa, N.; Kako, T.; Ouyang, S.; Stuart-Williams, H.; Yang, H.; Cao, J.; Luo, W.; Li, Z.; et al. An Orthophosphate Semiconductor with Photooxidation Properties under Visible-Light Irradiation. Nat. Mater. 2010, 9, 559–564. [Google Scholar] [CrossRef]
- Amirulsyafiee, A.; Khan, M.M.; Harunsani, M.H. Ag3PO4 and Ag3PO4–Based Visible Light Active Photocatalysts: Recent Progress, Synthesis, and Photocatalytic Applications. Catal. Commun. 2022, 172, 106556. [Google Scholar] [CrossRef]
- Yu, C.; Chen, X.; Li, N.; Zhang, Y.; Li, S.; Chen, J.; Yao, L.; Lin, K.; Lai, Y.; Deng, X. Ag3PO4-Based Photocatalysts and Their Application in Organic-Polluted Wastewater Treatment. Environ. Sci. Pollut. Res. 2022, 29, 18423–18439. [Google Scholar] [CrossRef]
- Zhang, X.; Yi, G.; Li, P.; Zheng, X.; Shen, X.; Ning, K.; Chen, L.; Zhang, C.; Zhang, Y.; Sun, Q. Construction of Nitrogen Vacant G-C3N4 Nanosheet Supported Ag3PO4 Nanoparticle Z-Scheme Photocatalyst for Improved Visible-Light Photocatalytic Activity. Environ. Sci. Pollut. Res. 2022, 29, 23094–23103. [Google Scholar] [CrossRef]
- Ding, N.; Fei, Q.; Xiao, D.; Zhang, H.; Yin, H.; Yuan, C.; Lv, H.; Gao, P.; Zhang, Y.; Wang, R. Highly Efficient and Recyclable Z-Scheme Heterojunction of Ag3PO4/g-C3N4 Floating Foam for Photocatalytic Inactivation of Harmful Algae under Visible Light. Chemosphere 2023, 317, 137773. [Google Scholar] [CrossRef]
- Zhang, M.; Du, H.; Ji, J.; Li, F.; Lin, Y.C.; Qin, C.; Zhang, Z.; Shen, Y. Highly Efficient Ag3PO4/g-C3N4 Z-Scheme Photocatalyst for Its Enhanced Photocatalytic Performance in Degradation of Rhodamine B and Phenol. Molecules 2021, 26, 2062. [Google Scholar] [CrossRef]
- Sadeghi Farshi, F.; Behnajady, M.A.; Aberoomand Azar, P.; Safekordi, A.A.; Modirshahla, N. A Mechanistic Study on Photocatalytic Activity of Hydrothermally Synthesized Titanium Dioxide Nanowires Decorated by Silver Phosphate. Mater. Sci. Semicond. Process 2022, 142, 106501. [Google Scholar] [CrossRef]
- Gan, W.; Fu, X.; Guo, J.; Zhang, M.; Yu, H.; Ding, C.; Qi, S.; Cao, X.; Sun, Z. Facile Synthesis of Mesoporous Hierarchical TiO2 Micro-Flowers Serving as the Scaffolding of 0D Ag3PO4 Nanoparticles for the Ultra-Fast Degradation of Organic Pollutants. J. Alloys Compd. 2022, 909, 164737. [Google Scholar] [CrossRef]
- Hou, C.; Li, Y.; Niu, M.; Liu, Y.; Kong, X.; Zhang, M.; Wang, L. Construction of an All-Solid-State Z-Scheme Ag@Ag3PO4/TiO2-(F2) Heterostructure with Enhanced Photocatalytic Activity, Photocorrosion Resistance and Mechanism Insight. J. Alloys Compd. 2022, 925, 166765. [Google Scholar] [CrossRef]
- Ma, X.; Li, H.; Wang, Y.; Li, H.; Liu, B.; Yin, S.; Sato, T. Substantial Change in Phenomenon of “Self-Corrosion” on Ag3PO4/TiO2 Compound Photocatalyst. Appl. Catal. B 2014, 158–159, 314–320. [Google Scholar] [CrossRef]
- Li, Y.; Wang, P.; Huang, C.; Yao, W.; Wu, Q.; Xu, Q. Synthesis and Photocatalytic Activity of Ultrafine Ag3PO4 Nanoparticles on Oxygen Vacated TiO2. Appl. Catal. B 2017, 205, 489–497. [Google Scholar] [CrossRef]
- Moeini, Z.; Hoseini, M.; Dehghani, M.; Samaei, M.; Jafari, S.; Taghavi, M.; Azhdarpoor, A. Synthesize of Heterostructure TiO2 by Simultaneous Doping of Double Silver and Phosphate to Degradation of Methylene Blue under Visible Light. Appl. Water Sci. 2024, 14, 39. [Google Scholar] [CrossRef]
- Chen, X.; Dai, Y.; Wang, X. Methods and Mechanism for Improvement of Photocatalytic Activity and Stability of Ag3PO4: A Review. J. Alloys Compd. 2015, 649, 910–932. [Google Scholar] [CrossRef]
- Chen, F.; Yang, Q.; Li, X.; Zeng, G.; Wang, D.; Niu, C.; Zhao, J.; An, H.; Xie, T.; Deng, Y. Hierarchical Assembly of Graphene-Bridged Ag3PO4/Ag/BiVO4 (040) Z-Scheme Photocatalyst: An Efficient, Sustainable and Heterogeneous Catalyst with Enhanced Visible-Light Photoactivity towards Tetracycline Degradation under Visible Light Irradiation. Appl. Catal. B 2017, 200, 330–342. [Google Scholar] [CrossRef]
- Chen, Z.; Li, X.; Xu, Q.; Tao, Z.; Yao, F.; Huang, X.; Wu, Y.; Wang, D.; Jiang, P.; Yang, Q. Three-Dimensional Network Space Ag3PO4/NP-CQDs/RGH for Enhanced Organic Pollutant Photodegradation: Synergetic Photocatalysis Activity/Stability and Effect of Real Water Quality Parameters. Chem. Eng. J. 2020, 390, 124454. [Google Scholar] [CrossRef]
- Luo, C.; Lin, Y.; Zhang, Y.; Zhang, S.; Tong, S.; Wu, S.; Yang, C. S-Scheme Heterojunction between MOFs and Ag3PO4 Leads to Efficient Photodegradation of Antibiotics in Swine Wastewater. Sep. Purif. Technol. 2023, 320, 124052. [Google Scholar] [CrossRef]
- Sharma, A.; Ming, J.; Liu, N.; Sun, X.; Zhu, Y.; Yano, M.; Chen, G.; Yang, Y. Sustainable and Efficient Reduction of Pollutants by Immobilized PEG-P/Ag/Ag2O/Ag3PO4/TiO2 Photocatalyst for Purification of Saline Wastewater. Mar. Pollut. Bull. 2022, 179, 113731. [Google Scholar] [CrossRef]
- Huang, T.Y.; Chen, Y.J.; Lai, C.Y.; Lin, Y.W. Synthesis, Characterization, Enhanced Sunlight Photocatalytic Properties, and Stability of Ag/Ag3PO4 Nanostructure-Sensitized BiPO4. RSC Adv. 2015, 5, 43854–43862. [Google Scholar] [CrossRef]
- Bekele, T. Synthesis and Characterization of CeO2/Ag3PO4 p-n Heterojunction Photocatalyst: Its Photocatalytic Activity for the Degradation of Alizarin Yellow Dye. J. Nanomater. 2023, 2023, 7140181. [Google Scholar] [CrossRef]
- Zhang, D.; Li, Y.; Chen, X.; Li, C.; Dong, L.; Wang, Z. Wide Spectra-Responsive Polypyrrole-Ag3PO4/BiPO4 Co-Coupled TiO2 Nanotube Arrays for Intensified Photoelectrocatalysis Degradation of PFOA. Sep. Purif. Technol. 2022, 287, 120521. [Google Scholar] [CrossRef]
- Santiago, D.E.; Espino-Estévez, M.R.; González, G.V.; Araña, J.; González-Díaz, O.; Doña-Rodríguez, J.M. Photocatalytic Treatment of Water Containing Imazalil Using an Immobilized TiO2 Photoreactor. Appl. Catal. A Gen. 2015, 498, 1–9. [Google Scholar] [CrossRef]
- Chen, Y.; Jin, X. Preparation of Fe3O4@SiO2@BiO1.8·0.04H2O/Ag3PO4 Magnetic Nanocomposite and Its Photocatalytic Performance. Ceram. Int. 2019, 45, 1283–1292. [Google Scholar] [CrossRef]
- Guo, X.; Chen, N.; Feng, C.; Yang, Y.; Zhang, B.; Wang, G.; Zhang, Z. Performance of Magnetically Recoverable Core-Shell Fe3O4@Ag3PO4/AgCl for Photocatalytic Removal of Methylene Blue under Simulated Solar Light. Catal. Commun. 2013, 38, 26–30. [Google Scholar] [CrossRef]
- Jin, H.; Dong, J.; Qu, X. Magnetic Organic Polymer Gel Decorating Ag3PO4 as Z-Scheme Photocatalyst for Water Decontamination. Colloids Surf. A Physicochem. Eng. Asp. 2021, 614, 126160. [Google Scholar] [CrossRef]
- Mousavi, M.; Habibi-Yangjeh, A. Novel Magnetically Separable G-C3N4/Fe3O4/Ag3PO4/Co3O4 Nanocomposites: Visible-Light-Driven Photocatalysts with Highly Enhanced Activity. Adv. Powder Technol. 2017, 28, 1540–1553. [Google Scholar] [CrossRef]
- Shekofteh-Gohari, M.; Habibi-Yangjeh, A. Photosensitization of Fe3O4/ZnO by AgBr and Ag3PO4 to Fabricate Novel Magnetically Recoverable Nanocomposites with Significantly Enhanced Photocatalytic Activity under Visible-Light Irradiation. Ceram. Int. 2016, 42, 15224–15234. [Google Scholar] [CrossRef]
- Xu, J.W.; Gao, Z.D.; Han, K.; Liu, Y.; Song, Y.Y. Synthesis of Magnetically Separable Ag3PO4/TiO2/Fe3O4 heterostructure with Enhanced Photocatalytic Performance under Visible Light for Photoinactivation of Bacteria. ACS Appl. Mater. Interfaces 2014, 6, 15122–15131. [Google Scholar] [CrossRef]
- Wang, C.; Cao, M.; Wang, P.; Ao, Y.; Hou, J.; Qian, J. Preparation of a Magnetic Graphene Oxide-Ag3PO4 Composite Photocatalyst with Enhanced Photocatalytic Activity under Visible Light Irradiation. J. Taiwan Inst. Chem. Eng. 2014, 45, 1080–1086. [Google Scholar] [CrossRef]
- Ji, Z.; Zhao, J.; Shen, X.; Yue, X.; Yuan, A.; Zhou, H.; Yang, J. Construction of Magnetically Separable Ag3PO4/Fe3O4/GO Composites as Recyclable Photocatalysts. Ceram. Int. 2015, 41, 13509–13515. [Google Scholar] [CrossRef]
- Abroshan, E.; Farhadi, S.; Zabardasti, A. Novel Magnetically Separable Ag3PO4/MnFe2O4 Nanocomposite and Its High Photocatalytic Degradation Performance for Organic Dyes under Solar-Light Irradiation. Sol. Energy Mater. Sol. Cells 2018, 178, 154–163. [Google Scholar] [CrossRef]
- Liu, Z.; Feng, H.; Xue, S.; Xie, P.; Li, L.; Hou, X.; Gong, J.; Wei, X.; Huang, J.; Wu, D. The Triple-Component Ag3PO4-CoFe2O4-GO Synthesis and Visible Light Photocatalytic Performance. Appl. Surf. Sci. 2018, 458, 880–892. [Google Scholar] [CrossRef]
- Chen, Y.; Zhu, P.; Duan, M.; Li, J.; Ren, Z.; Wang, P. Fabrication of a Magnetically Separable and Dual Z-Scheme PANI/Ag3PO4/NiFe2O4 Composite with Enhanced Visible-Light Photocatalytic Activity for Organic Pollutant Elimination. Appl. Surf. Sci. 2019, 486, 198–211. [Google Scholar] [CrossRef]
- Mitoraj, D.; Lamdab, U.; Kangwansupamonkon, W.; Pacia, M.; Macyk, W.; Wetchakun, N.; Beranek, R. Revisiting the Problem of Using Methylene Blue as a Model Pollutant in Photocatalysis: The Case of InVO4/BiVO4 Composites. J. Photochem. Photobiol. A Chem. 2018, 366, 103–110. [Google Scholar] [CrossRef]
- Langford, J.I.; Wilson, A.J.C. Scherrer after Sixty Years: A Survey and Some New Results in the Determination of Crystallite Size. J. Appl. Crystallogr. 1978, 11, 102–113. [Google Scholar] [CrossRef]
- Scherrer, P. Bestimmung Der Größe Und Der Inneren Struktur von Kolloidteilchen Mittels Röntgenstrahlen. In Proceedings of the Nachrichten von der Gesellschaft der Wissenschaften zu Göttingen, Mathematisch-Physikalische Klasse; Physikalisches Institut: Göttingen, Germany; 1918; pp. 98–100. [Google Scholar]
- Rivera-Utrilla, J.; Bautista-Toledo, I.; Ferro-Garca, M.A.; Moreno-Castilla, C. Activated Carbon Surface Modifications by Adsorption of Bacteria and Their Effect on Aqueous Lead Adsorption. J. Chem. Technol. Biotechnol. 2001, 76, 1209–1215. [Google Scholar] [CrossRef]
- Makuła, P.; Pacia, M.; Macyk, W. How To Correctly Determine the Band Gap Energy of Modified Semiconductor Photocatalysts Based on UV-Vis Spectra. J. Phys. Chem. Lett. 2018, 9, 6814–6817. [Google Scholar] [CrossRef]
- UNE-EN ISO 9308-3:1999; Calidad del Agua. Detección y Recuento de Escherichia coli y Bacterias Coliformes. Parte 3: Método Mniaturizado (Número Más Probable) para la Detección y Recuento de E. coli en Aguas Superficiales y Aguas Residuales. AENOR: Madrid, Spain, 1999.
- NE-EN ISO 7899-2:2001; Calidad del Agua. Detección y Recuento de Enterococos Intestinales. Parte 2: Método de Filtración de Membrana. AENOR: Madrid, Spain, 2001.
- Cadena-Aizaga, M.I.; Montesdeoca-Esponda, S.; Sosa-Ferrera, Z.; Santana-Rodríguez, J.J. Occurrence and Environmental Hazard of Organic UV Filters in Seawater and Wastewater from Gran Canaria Island (Canary Islands, Spain). Environ. Pollut. 2022, 300, 118843. [Google Scholar] [CrossRef]
- Saywell, L.G.; Cunningham, B.B. Determination of Iron: Colorimetric o-Phenanthroline Method. Ind. Eng. Chem. Anal. Ed. 1937, 9, 67–69. [Google Scholar] [CrossRef]
- UNE-EN ISO 17294; Calidad del Agua. Aplicación de la Espectrometría de Masas con Plasma Acoplado Inductivamente (ICP-MS). AENOR: Madrid, Spain, 2017.
- Massart, R. Preparation of Aqueous Magnetic Liquids in Alkaline and Acidic Media. IEEE Trans. Magn. 1981, 17, 1247–1248. [Google Scholar] [CrossRef]
- ISO 9060:2018; Solar Energy — Specification and Classification of Instruments for Measuring Hemispherical Solar and Direct Solar Radiation. ISO (the International Organization for Standardization): Geneva, Switzerland, 2018.
- Spasiano, D.; Marotta, R.; Malato, S.; Fernandez-Ibañez, P.; Di Somma, I. Solar Photocatalysis: Materials, Reactors, Some Commercial, and Pre-Industrialized Applications. A Comprehensive Approach. Appl. Catal. B 2015, 170–171, 90–123. [Google Scholar] [CrossRef]
- Gražulis, S.; Daš Kevič, A.; Merkys, A.; Chateigner, D.; Lutterotti, L.; Quiró, M.; Serebryanaya, N.R.; Moeck, P.; Downs, R.T.; Le Bail, A. Crystallography Open Database (COD): An Open-Access Collection of Crystal Structures and Platform for World-Wide Collaboration. Nucleic Acids Res. 2012, 40, 420–427. [Google Scholar] [CrossRef]
- Vaitkus, A.; Merkys, A.; Gražulis, S. Validation of the Crystallography Open Database Using the Crystallographic Information Framework. J. Appl. Crystallogr. 2021, 54, 661–672. [Google Scholar] [CrossRef]
- Gražulis, S.; Chateigner, D.; Downs, R.T.; Yokochi, A.F.T.; Quirós, M.; Lutterotti, L.; Manakova, E.; Butkus, J.; Moeck, P.; Le Bail, A. Crystallography Open Database—An Open-Access Collection of Crystal Structures. J. Appl. Crystallogr. 2009, 42, 726–729. [Google Scholar] [CrossRef]
- Downs, R.T.; Hall-Wallace, M. The American Mineralogist Crystal Structure Database. Am. Mineral. 2003, 88, 247–250. [Google Scholar]
- You, M.; Pan, J.; Chi, C.; Wang, B.; Zhao, W.; Song, C.; Zheng, Y.; Li, C. The Visible Light Hydrogen Production of the Z-Scheme Ag3PO4/Ag/g-C3N4 Nanosheets Composites. J. Mater. Sci. 2018, 53, 1978–1986. [Google Scholar] [CrossRef]
- Amaral, R.; Blois, C.; Lunz, J.; Mello, A.; Jardim, P. Physical and Optical Properties of Ag3PO4 Decorated TiO2 Based Nanostructures. J. Solid. State Chem. 2022, 305, 122655. [Google Scholar] [CrossRef]
- Kohzadi, H.; Soleiman-Beigi, M. XPS and Structural Studies of Fe3O4-PTMS-NAS@Cu as a Novel Magnetic Natural Asphalt Base Network and Recoverable Nanocatalyst for the Synthesis of Biaryl Compounds. Sci. Rep. 2021, 11, 24508. [Google Scholar] [CrossRef]
- Devan, R.S.; Thakare, V.P.; Antad, V.V.; Chikate, P.R.; Khare, R.T.; More, M.A.; Dhayal, R.S.; Patil, S.I.; Ma, Y.R.; Schmidt-Mende, L. Nano-Heteroarchitectures of Two-Dimensional MoS2@ One-Dimensional Brookite TiO2 Nanorods: Prominent Electron Emitters for Displays. ACS Omega 2017, 2, 2925–2934. [Google Scholar] [CrossRef]
- Liu, J.J.; Fu, X.L.; Chen, S.F.; Zhu, Y.F. Electronic Structure and Optical Properties of Ag3PO4 Photocatalyst Calculated by Hybrid Density Functional Method. Appl. Phys. Lett. 2011, 99, 191903. [Google Scholar] [CrossRef]
- Saragi, T.; Depi, B.L.; Butarbutar, S.; Permana, B.; Risdiana. The Impact of Synthesis Temperature on Magnetite Nanoparticles Size Synthesized by Co-Precipitation Method. J. Phys. Conf. Ser. 2018, 1013, 012190. [Google Scholar] [CrossRef]
- Li, S.; Zhang, M.; Qu, Z.; Cui, X.; Liu, Z.; Piao, C.; Li, S.; Wang, J.; Song, Y. Fabrication of Highly Active Z-Scheme Ag/g-C3N4-Ag-Ag3PO4 (1 1 0) Photocatalyst Photocatalyst for Visible Light Photocatalytic Degradation of Levofloxacin with Simultaneous Hydrogen Production. Chem. Eng. J. 2020, 382, 122394. [Google Scholar] [CrossRef]
- Laurent, S.; Forge, D.; Port, M.; Roch, A.; Robic, C.; vander Elst, L.; Muller, R.N. Magnetic Iron Oxide Nanoparticles: Synthesis, Stabilization, Vectorization, Physicochemical Characterizations and Biological Applications. Chem. Rev. 2008, 108, 2064–2110. [Google Scholar] [CrossRef]
- Alfredo Reyes Villegas, V.; Isaías De León Ramírez, J.; Hernandez Guevara, E.; Perez Sicairos, S.; Angelica Hurtado Ayala, L.; Landeros Sanchez, B. Synthesis and Characterization of Magnetite Nanoparticles for Photocatalysis of Nitrobenzene. J. Saudi Chem. Soc. 2020, 24, 223–235. [Google Scholar] [CrossRef]
- Peralta, M.E.; Nisticò, R.; Franzoso, F.; Magnacca, G.; Fernandez, L.; Parolo, M.E.; León, E.G.; Carlos, L. Highly Efficient Removal of Heavy Metals from Waters by Magnetic Chitosan-Based Composite. Adsorption 2019, 25, 1337–1347. [Google Scholar] [CrossRef]
- Yang, X.; Cui, H.; Li, Y.; Qin, J.; Zhang, R.; Tang, H. Fabrication of Ag3PO4-Graphene Composites with Highly Efficient and Stable Visible Light Photocatalytic Performance. ACS Catal. 2013, 3, 363–369. [Google Scholar] [CrossRef]
- Yang, Z.-M.; Huang, G.-F.; Huang, W.-Q.; Wei, J.-M.; Yan, X.-G.; Liu, Y.-Y.; Jiao, C.; Wan, Z.; Pan, A. Novel Ag3PO4/CeO2 Composite with High Efficiency and Stability for Photocatalytic Applications. J. Mater. Chem. A 2014, 2, 1750–1756. [Google Scholar] [CrossRef]
- Yin, H.; Cao, Y.; Fan, T.; Zhang, M.; Yao, J.; Li, P.; Chen, S.; Liu, X. In Situ Synthesis of Ag3PO4/C3N5 Z-Scheme Heterojunctions with Enhanced Visible-Light-Responsive Photocatalytic Performance for Antibiotics Removal. Sci. Total Environ. 2021, 754, 141926. [Google Scholar] [CrossRef]
- Cao, W.; An, Y.; Chen, L.; Qi, Z. Visible-Light-Driven Ag2MoO4/Ag3PO4 Composites with Enhanced Photocatalytic Activity. J. Alloys Compd. 2017, 701, 350–357. [Google Scholar] [CrossRef]
- Beydoun, D.; Amal, R.; Low, G.K.-C.; McEvoy, S. Novel Photocatalyst: Titania-Coated Magnetite. Activity and Photodissolution. J. Phys. Chem. B 2000, 104, 4387–4396. [Google Scholar] [CrossRef]
- Taheri, M.E.; Petala, A.; Frontistis, Z.; Mantzavinos, D.; Kondarides, D.I. Fast Photocatalytic Degradation of Bisphenol A by Ag3PO4/TiO2 Composites under Solar Radiation. Catal. Today 2017, 280, 99–107. [Google Scholar] [CrossRef]
- Du, Y.E.; Li, W.; Bai, Y.; Huangfu, Z.; Wang, W.; Chai, R.; Chen, C.; Yang, X.; Feng, Q. Facile Synthesis of TiO2/Ag3PO4 composites with Co-Exposed High-Energy Facets for Efficient Photodegradation of Rhodamine B Solution under Visible Light Irradiation. RSC Adv. 2020, 10, 24555–24569. [Google Scholar] [CrossRef]
- Yao, W.; Zhang, B.; Huang, C.; Ma, C.; Song, X.; Xu, Q. Synthesis and Characterization of High Efficiency and Stable Ag3PO4/TiO2 Visible Light Photocatalyst for the Degradation of Methylene Blue and Rhodamine B Solutions. J. Mater. Chem. 2012, 22, 4050–4055. [Google Scholar] [CrossRef]
- Guo, R.; Xia, X.; Zhang, X.; Li, B.; Zhang, H.; Cheng, X.; Xie, M.; Cheng, Q. Construction of Ag3PO4/TiO2 Nano-Tube Arrays Photoelectrode and Its Enhanced Visible Light Driven Photocatalytic Decomposition of Diclofenac. Sep. Purif. Technol. 2018, 200, 44–50. [Google Scholar] [CrossRef]
- Woo, K.J.; Hye, C.K.; Ki, W.K.; Shin, S.; So, H.K.; Yong, H.P. Antibacterial Activity and Mechanism of Action of the Silver Ion in Staphylococcus aureus and Escherichia coli. Appl. Environ. Microbiol. 2008, 74, 2171–2178. [Google Scholar] [CrossRef]
- Armstrong, D.A.; Huie, R.E.; Koppenol, W.H.; Lymar, S.V.; Merenyi, G.; Neta, P.; Ruscic, B.; Stanbury, D.M.; Steenken, S.; Wardman, P. Standard Electrode Potentials Involving Radicals in Aqueous Solution: Inorganic Radicals (IUPAC Technical Report). Pure Appl. Chem. 2015, 87, 1139–1150. [Google Scholar] [CrossRef]
- Hewer, T.L.R.; Machado, B.C.; Freire, R.S.; Guardani, R. Ag3PO4 Sunlight-Induced Photocatalyst for Degradation of Phenol. RSC Adv. 2014, 4, 34674–34680. [Google Scholar] [CrossRef]
- Rupa, A.V.; Manikandan, D.; Divakar, D.; Sivakumar, T. Effect of Deposition of Ag on TiO2 Nanoparticles on the Photodegradation of Reactive Yellow-17. J. Hazard. Mater. 2007, 147, 906–913. [Google Scholar] [CrossRef]
- Tortella, G.R.; Rubilar, O.; Durán, N.; Diez, M.C.; Martínez, M.; Parada, J.; Seabra, A.B. Silver Nanoparticles: Toxicity in Model Organisms as an Overview of Its Hazard for Human Health and the Environment. J. Hazard. Mater. 2020, 390, 121974. [Google Scholar] [CrossRef]
- Beer, C.; Foldbjerg, R.; Hayashi, Y.; Sutherland, D.S.; Autrup, H. Toxicity of Silver Nanoparticles-Nanoparticle or Silver Ion? Toxicol. Lett. 2012, 208, 286–292. [Google Scholar] [CrossRef]
- World Health Organization. Silver in Drinking-Water Background Document for Development of WHO Guidelines for Drinking-Water Quality; World Health Organization: Geneva, Switzerland, 2021. [Google Scholar]


), dark circle Fe3O4 (
), white triangle TiO2-anatase (
), dark triangle TiO2-rutile (
).
), dark circle Fe3O4 (
), white triangle TiO2-anatase (
), dark triangle TiO2-rutile (
).





), dark square Ag0 (
), dark circle Fe3O4 (
), white triangle TiO2-anatase (
), dark triangle TiO2-rutile (
).
), dark square Ag0 (
), dark circle Fe3O4 (
), white triangle TiO2-anatase (
), dark triangle TiO2-rutile (
).
| Material | Ag3PO4 | TiO2 (Anatase) | TiO2 (Rutile) | Fe3O4 |
|---|---|---|---|---|
| % | % | % | % | |
| Ag3PO4 | 100 | - | - | - |
| Fe3O4 | - | - | - | 100 |
| 1-TiO2-Fe3O4 | - | 29.6 | 2.4 | 68.0 |
| Ag3PO4@1-TiO2-Fe3O4 | 11.7 | 24.2 | 1.7 | 62.4 |
| Ag3PO4@Fe3O4 | 61.6 | - | - | 38.4 |
| TiO2 (Evonik P25) | - | 85.5 | 14.5 | - |
| Material | Eg (eV) | pHPZC | Specific Surface Area (m2·g−1) |
|---|---|---|---|
| Ag3PO4 | 2.36 | 5.1 | 0.80 |
| Fe3O4 | 1.87 | 7.1 | 133.99 |
| Ag3PO4@Fe3O4 | 1.90 | 7.0 | 9.82 |
| Ag3PO4@1-TiO2-Fe3O4 | 2.20 | 6.5 | 8.03 |
| TiO2 | 3.20 | - | 52 |
| Parameter | Swimming Pool Maintenance System Wastewater | WWTP Secondary Effluent |
|---|---|---|
| pH | 6.39 | 6.60 |
| Turbidity (NTU) | 31 | 11.5 |
| COD (mg·L−1) | <5 | 110 |
| Free chlorine (mg·L−1) | <0.3 | <0.3 |
| E. coli (UFC/100 mL) | <1 | - |
| E. faecalis (UFC/100 mL) | <1 | 26 × 103 |
| Material | k, min−1 | % COD Removal | % E. faecalis Removal |
|---|---|---|---|
| Ag3PO4 | 0.0159 | 62.49% | 100% |
| TiO2 | 0.0174 | 65.82% | 7.69% |
| Ag3PO4@ Fe3O4 | 0.0084 | 39.01% | 61.54% |
| Ag3PO4@ Fe3O4-1-TiO2 | 0.0162 | 64.67% | 65.38% |
Disclaimer/Publisher’s Note: The statements, opinions and data contained in all publications are solely those of the individual author(s) and contributor(s) and not of MDPI and/or the editor(s). MDPI and/or the editor(s) disclaim responsibility for any injury to people or property resulting from any ideas, methods, instructions or products referred to in the content. |
© 2025 by the authors. Licensee MDPI, Basel, Switzerland. This article is an open access article distributed under the terms and conditions of the Creative Commons Attribution (CC BY) license (https://creativecommons.org/licenses/by/4.0/).
Share and Cite
Sadhwani Alonso, J.J.; Vaswani Reboso, J.; Santiago, D.E. Treatment of Wastewater Using a Magnetically Recoverable Ag-Based Photocatalyst. Water 2025, 17, 232. https://doi.org/10.3390/w17020232
Sadhwani Alonso JJ, Vaswani Reboso J, Santiago DE. Treatment of Wastewater Using a Magnetically Recoverable Ag-Based Photocatalyst. Water. 2025; 17(2):232. https://doi.org/10.3390/w17020232
Chicago/Turabian StyleSadhwani Alonso, J. Jaime, Jenifer Vaswani Reboso, and Dunia E. Santiago. 2025. "Treatment of Wastewater Using a Magnetically Recoverable Ag-Based Photocatalyst" Water 17, no. 2: 232. https://doi.org/10.3390/w17020232
APA StyleSadhwani Alonso, J. J., Vaswani Reboso, J., & Santiago, D. E. (2025). Treatment of Wastewater Using a Magnetically Recoverable Ag-Based Photocatalyst. Water, 17(2), 232. https://doi.org/10.3390/w17020232
