Stormwater in the Desert: Unveiling Metal Pollutants in Climate-Intensified Flooding in the United Arab Emirates
Abstract
1. Introduction
2. Materials and Methodology
2.1. Sampling of Stormwater
2.2. Metal Analysis
2.3. Statistical Analysis
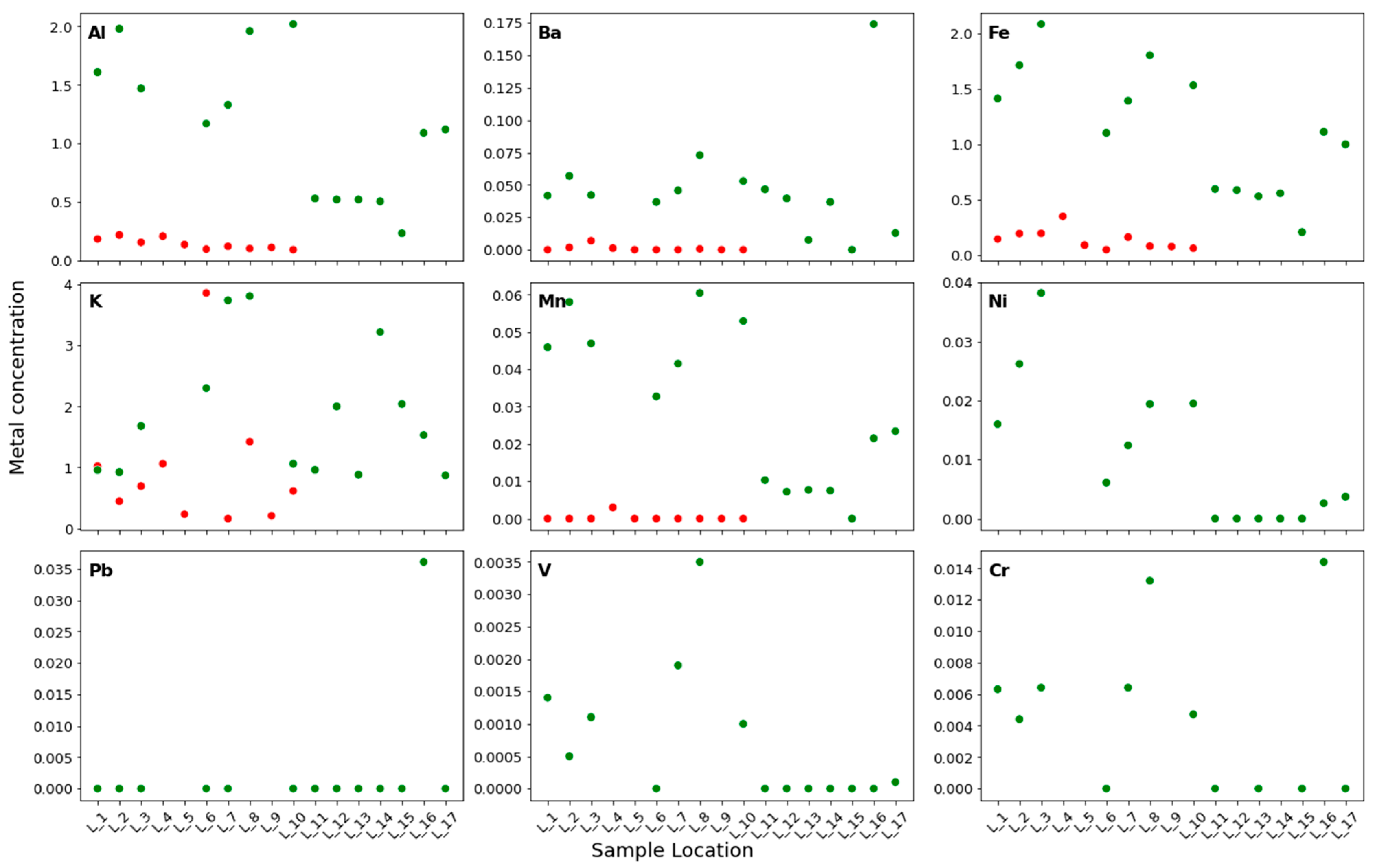
3. Results and Discussion
3.1. Distribution of Metals in Stormwater
3.2. Comparison Between the First and Second Sampling Campaigns
3.3. Stormwater Fate and Management in Arid Regions
4. Conclusions
Supplementary Materials
Author Contributions
Funding
Data Availability Statement
Conflicts of Interest
References
- Biswal, B.K.; Vijayaraghavan, K.; Tsen-Tieng, D.L.; Balasubramanian, R. Biochar-based bioretention systems for removal of chemical and microbial pollutants from stormwater: A critical review. J. Hazard. Mater. 2022, 422, 126886. [Google Scholar] [CrossRef]
- Miino, M.C.; Raček, J.; Chorazy, T.; Hlavínek, P. Conventional and non-conventional adsorbents for reducing dissolved heavy metal pollution in runoff from roads: A systematic review and meta-analysis. Environ. Nanotechnol. Monit. Manag. 2023, 21, 100907. [Google Scholar]
- Bialik, O.M.; Bookman, R.; Elyashiv, H.; Marietou, A.; Saar, R.; Rivlin, T.; Antler, G. Tropical storm-induced disturbance of deep-water porewater profiles, Gulf of Aqaba. Mar. Geol. 2022, 453, 106926. [Google Scholar] [CrossRef]
- Behrouz, M.S.; Yazdi, M.N.; Sample, D.J.; Scott, D.; Owen, J.S., Jr. What are the relevant sources and factors affecting event mean concentrations (EMCs) of nutrients and sediment in stormwater? Sci. Total Environ. 2022, 828, 154368. [Google Scholar] [CrossRef]
- Regier, P.J.; González-Pinzón, R.; Van Horn, D.J.; Reale, J.K.; Nichols, J.; Khandewal, A. Water quality impacts of urban and non-urban arid-land runoff on the Rio Grande. Sci. Total Environ. 2020, 729, 138443. [Google Scholar] [CrossRef]
- Sharvelle, S.; Dozier, A.; Arabi, M.; Reichel, B. A geospatially-enabled web tool for urban water demand forecasting and assessment of alternative urban water management strategies. Environ. Model. Softw. 2017, 97, 213–228. [Google Scholar] [CrossRef]
- Gordon, B.L.; Quesnel, K.J.; Abs, R.; Ajami, N.K. A case-study based framework for assessing the multi-sector performance of green infrastructure. J. Environ. Manag. 2018, 223, 371–384. [Google Scholar] [CrossRef] [PubMed]
- Pitt, R.; Clark, S.; Johnson, P.D.; Morquecho, R.; Gill, S.; Pratap, M. High level treatment of stormwater heavy metals. In Critical Transitions in Water and Environmental Resources Management; American Society of Civil Engineers: Reston, VA, USA, 2004; pp. 1–10. [Google Scholar]
- Gosset, A.; Durrieu, C.; Barbe, P.; Bazin, C.; Bayard, R. Microalgal whole-cell biomarkers as sensitive tools for fast toxicity and pollution monitoring of urban wet weather discharges. Chemosphere 2019, 217, 522–533. [Google Scholar] [CrossRef] [PubMed]
- US Environmental Protection Agency (USEPA). Risk Assessment Guidance for Superfund, Volume I, Human Health Evaluation Manual (Part A); Environmental Protection Agency: Washington, DC, USA, 1989. [Google Scholar]
- Forbes. At Least 20 Dead in UAE and Oman After Record Rainfall Causes Severe Flooding. 2024. Available online: https://www.forbes.com/sites/siladityaray/2024/04/17/record-rainfall-causes-severe-flooding-and-at-least-18-deaths-in-uae-and-oman/?sh=746a78cf2ae5 (accessed on 19 April 2024).
- Guardian. Desert City of Dubai Floods as Heaviest Rainfall in 75 Years Hits UAE. 2024. Available online: https://www.theguardian.com/world/2024/apr/17/dubai-floods-uae-rainfall-weather-forecast (accessed on 19 April 2024).
- Yang, W.; Wang, Z.; Hua, P.; Zhang, J.; Krebs, P. Impact of green infrastructure on the mitigation of road-deposited sediment induced stormwater pollution. Sci. Total Environ. 2021, 770, 145294. [Google Scholar] [CrossRef]
- Aga, D.S.; Samara, F.; Dronjak, L.; Kanan, S.; Mortula, M.M.; Vahapoglu, L. Rising Water, Rising Risks: The Hidden Dangers of Emerging Contaminants in Climate-Intensified Storms. ACS EST Water 2024, 4, 2785–2788. [Google Scholar] [CrossRef]
- Available online: https://en.climate-data.org/asia/united-arab-emirates/dubai/dubai-385/ (accessed on 1 April 2025).
- NPR. 2024. Available online: https://www.npr.org/2024/04/17/1245236005/record-rain-united-arab-emirates (accessed on 1 July 2024).
- Eaton, A.D.; Franson, M.A.H. (Eds.) Standard Methods for the Examination of Water and Wastewater, 21st ed.; APHA: Washington, DC, USA, 2005. [Google Scholar]
- Bocianowski, J.; Wronska-Pilarek, D.; Krysztofiak-Kaniewska, A.; Matusiak, K.; Wiatrowska, B. Comparison of pearson’s and spearman’s correlation coefficients for selected traits of Pinus sylvestris L. Biom. Lett. 2024, 61, 115–135. [Google Scholar] [CrossRef]
- Fay, M.P.; Proschan, M.A. Wilcoxon-Mann-Whitney or T-Test? On Assumptions for Hypothesis Tests and Multiple Interpretations of Decision Rules. Stat. Surv. 2010, 4, 1–39. [Google Scholar] [CrossRef]
- Shahid, S.A.; Abdelfattah, M.A.; Taha, F.K. (Eds.) Developments in Soil Salinity Assessment and Reclamation: Innovative Thinking and Use of Marginal Soil and Water Resources in Irrigated Agriculture; Springer Science & Business Media: New York, NY, USA, 2013. [Google Scholar]
- Göbel, P.; Dierkes, C.; Coldewey, W.G. Storm water runoff concentration matrix for urban areas. J. Contam. Hydrol. 2007, 91, 26–42. [Google Scholar] [CrossRef]
- Weerasundara, L.; Magana-Arachchi, D.N.; Ziyath, A.M.; Goonetilleke, A.; Vithanage, M. Health risk assessment of heavy metals in atmospheric deposition in a congested city environment in a developing country: Kandy City, Sri Lanka. J. Environ. Manag. 2018, 220, 198–206. [Google Scholar] [CrossRef] [PubMed]
- O’Sharkey, K.; Meng, Q.; Mitra, S.; Paik, S.A.; Liu, J.; Shen, J.; Ritz, B. Associations between brake and tire wear-related PM2.5 metal components, particulate oxidative stress potential, and autism spectrum disorder in Southern California. Environ. Int. 2024, 185, 108573. [Google Scholar] [CrossRef]
- Semerjian, L.; Adeniji, A.O.; Shanableh, A.; Semreen, M.H.; Mousa, M.; Abass, K.; Okoh, A. Assessment of elemental chemistry, spatial distribution, and potential risks of road-deposited dusts in Sharjah, United Arab Emirates. Heliyon 2024, 10, e29088. [Google Scholar] [CrossRef]
- Jafarzadeh, A.; Matta, A.; Moghadam, S.V.; Vadde, K.K.; Dessouky, S.; Hutchinson, J.; Kapoor, V. Assessing the removal of heavy metals and polycyclic aromatic hydrocarbons and occurrence of metal resistance genes and antibiotic resistance genes in a stormwater bioretention system. Chemosphere 2024, 364, 143043. [Google Scholar] [CrossRef] [PubMed]
- Li, W.; Shen, Z.; Tian, T.; Liu, R.; Qiu, J. Temporal variation of heavy metal pollution in urban stormwater runoff. Front. Environ. Sci. Eng. 2012, 6, 692–700. [Google Scholar] [CrossRef]
- Che, W.; Liu, Y.; Li, J. Urban rainwater quality and pollution control at home and abroad. Water Wastewater Eng. 2003, 29, 38–42. [Google Scholar]
- Kayhanian, M.; Singh, A.; Suverkropp, C.; Borroum, S. Impact of annual average daily traffic on highway runoff pollutant concentrations. J. Environ. Eng. 2003, 129, 975–980. [Google Scholar] [CrossRef]
- Hu, A.; Li, Z.; Zhang, S.; Liu, J.; Chen, J. Progress of the research of urban road rainwater runoff quality. Geomat. World 2010, 36, 123–127. [Google Scholar]
- Pagotto, C.; Legret, M.; Cloirec, P.L. Comparison of the hydraulic behaviour and the quality of highway runoff water according to the type of pavement. Water Res. 2000, 34, 4446–4452. [Google Scholar] [CrossRef]
- Gnecco, I.; Berretta, C.; Lanza, L.G.; La Barbera, P. Stormwater pollution in the urban environment of Genoa, Italy. Atmos. Res. 2005, 77, 60–73. [Google Scholar] [CrossRef]
- Zakharova, J.; Pouran, H.; Bridgeman, J.; Wheatley, A.; Arif, M. Understanding metal concentration and speciation in motorway runoff. Environ. Technol. 2022, 43, 1732–1744. [Google Scholar] [CrossRef]
- Chen, H.; Wu, D.; Wang, Q.; Fang, L.; Wang, Y.; Zhan, C.; Zhang, J.; Zhang, S.; Cao, J.; Qi, S.; et al. The predominant sources of heavy metals in different types of fugitive dust determined by principal component analysis (PCA) and positive matrix factorization (PMF) modeling in Southeast Hubei: A typical mining and metallurgy area in Central China. Int. J. Environ. Res. Public Health 2022, 19, 13227. [Google Scholar] [CrossRef]
- Saeedi, M.; Li, L.Y.; Salmanzadeh, M. Heavy metals and polycyclic aromatic hydrocarbons: Pollution and ecological risk assessment in street dust of Tehran. J. Hazard. Mater. 2012, 227–228, 9–17. [Google Scholar] [CrossRef] [PubMed]
- Soltani, N.; Keshavarzi, B.; Moore, F.; Tavakol, T.; Lahijanzadeh, A.R.; Jaafarzadeh, N.; Kermani, M. Ecological and human health hazards of heavy metals and polycyclic aromatic hydrocarbons (PAHs) in road dust of Isfahan metropolis, Iran. Sci. Total Environ. 2015, 505, 712–723. [Google Scholar] [CrossRef]
- Dong, B.; Zhang, R.; Gan, Y.; Cai, L.; Freidenreich, A.; Wang, K.; Guo, T.; Wang, H. Multiple methods for the identification of heavy metal sources in cropland soils from a resource-based region. Sci. Total Environ. 2019, 651, 3127–3138. [Google Scholar] [CrossRef]
- Bai, Y.; Zhang, Y.; Liu, X.; Wang, Y. The spatial distribution and source apportionment of heavy metals in soil of Shizuishan, China. Environ. Earth Sci. 2023, 82, 494. [Google Scholar] [CrossRef]
- Alizada, N.; Malik, S.; Muzaffar, S.B. Bioaccumulation of heavy metals in tissues of Indian anchovy (Stolephorus indicus) from the UAE coast, Arabian Gulf. Mar. Pollut. Bull. 2020, 154, 111033. [Google Scholar] [CrossRef] [PubMed]
- Sakson, G.; Brzezinska, A.; Zawilski, M. Emission of heavy metals from an urban catchment into receiving water and possibility of its limitation on the example of Lodz city. Environ. Monit. Assess. 2018, 190, 281. [Google Scholar] [CrossRef] [PubMed]
- Yu, J.; Yu, H.; Xu, L. Performance evaluation of various stormwater best management practices. Environ. Sci. Pollut. Res. 2013, 20, 6160–6171. [Google Scholar] [CrossRef] [PubMed]
- Reddy, K.R.; Xie, T.; Dastgheibi, S. Mixed-media filter system for removal of multiple contaminants from urban stormwater: Large-scale laboratory testing. J. Hazard. Toxic Radioact. Waste 2014, 18, 04014011. [Google Scholar] [CrossRef]
- Anderson, B.S.; Phillips, B.M.; Voorhees, J.P.; Siegler, K.; Tjeerdema, R. Bioswales reduce contaminants associated with toxicity in urban stormwater. Environ. Toxicol. Chem. 2016, 35, 3124–3134. [Google Scholar] [CrossRef]
- Gautam, M.R.; Acharya, K.; Stone, M. Best management practices for stormwater management in the desert southwest. J. Contemp. Water Res. Educ. 2010, 146, 39–49. [Google Scholar] [CrossRef]
- Shafiquzzaman, M.; Haider, H.; Ghazaw, Y.M.; Alharbi, F.; AlSaleem, S.; Almoshaogeh, M. Evaluation of a low-cost ceramic filter for sustainable reuse of urban stormwater in arid environments. Water 2020, 12, 460. [Google Scholar] [CrossRef]






| Variable | Statistic | p-Value | Higher Campaign | Campaign 1 Median ± SE | Campaign 2 Median ± SE |
|---|---|---|---|---|---|
| Al | 0 | 4.69 × 10−5 * | 2 | 0.13 ± 0.01 | 1.1450 ± 0.16 |
| Ba | 7 | 2.11 × 10−4 * | 2 | 0.00 ± 0.00 | 0.0419 ± 0.01 |
| Fe | 1 | 6.05 × 10−5 * | 2 | 0.12 ± 0.03 | 1.1050 ± 0.15 |
| K | 30.5 | 2.24 × 10−2 * | 2 | 0.65 ± 0.35 | 1.6050 ± 0.28 |
| Mn | 5.5 | 1.00 × 10−4 * | 2 | 0.00 ± 0.00 | 0.02805 ± 0.01 |
| City | Zn (mg/L) | Pb (mg/L) | Cu (mg/L) | Cd (mg/L) | Fe (mg/L) | References |
|---|---|---|---|---|---|---|
| Paris | 0.55 | 0.133 | 0.061 | 0.0006 | - | [27] |
| California | - | 0.017 | - | 0.0094 | - | [28] |
| Los Angeles | 0.506 | 0.033 | 0.931 | 0.0025 | - | [29] |
| Nantes, France | 0.32 | 0.057 | 0.036 | 0.0013 | - | [30] |
| Genoa | 0.081 | 0.013 | 0.019 | - | - | [31] |
| United Kingdom | 0.029 | - | 0.013 | - | 0.111 | [32] |
Disclaimer/Publisher’s Note: The statements, opinions and data contained in all publications are solely those of the individual author(s) and contributor(s) and not of MDPI and/or the editor(s). MDPI and/or the editor(s) disclaim responsibility for any injury to people or property resulting from any ideas, methods, instructions or products referred to in the content. |
© 2025 by the authors. Licensee MDPI, Basel, Switzerland. This article is an open access article distributed under the terms and conditions of the Creative Commons Attribution (CC BY) license (https://creativecommons.org/licenses/by/4.0/).
Share and Cite
Dronjak, L.; Kanan, S.; Ali, T.; Mortula, M.M.; Mohammed, A.; Ramos, J.N.; Aga, D.S.; Samara, F. Stormwater in the Desert: Unveiling Metal Pollutants in Climate-Intensified Flooding in the United Arab Emirates. Water 2025, 17, 2457. https://doi.org/10.3390/w17162457
Dronjak L, Kanan S, Ali T, Mortula MM, Mohammed A, Ramos JN, Aga DS, Samara F. Stormwater in the Desert: Unveiling Metal Pollutants in Climate-Intensified Flooding in the United Arab Emirates. Water. 2025; 17(16):2457. https://doi.org/10.3390/w17162457
Chicago/Turabian StyleDronjak, Lara, Sofian Kanan, Tarig Ali, Md Maruf Mortula, Areej Mohammed, Jonathan Navarro Ramos, Diana S. Aga, and Fatin Samara. 2025. "Stormwater in the Desert: Unveiling Metal Pollutants in Climate-Intensified Flooding in the United Arab Emirates" Water 17, no. 16: 2457. https://doi.org/10.3390/w17162457
APA StyleDronjak, L., Kanan, S., Ali, T., Mortula, M. M., Mohammed, A., Ramos, J. N., Aga, D. S., & Samara, F. (2025). Stormwater in the Desert: Unveiling Metal Pollutants in Climate-Intensified Flooding in the United Arab Emirates. Water, 17(16), 2457. https://doi.org/10.3390/w17162457

