Spatial Distribution of Heavy Metals in the Water of Tequesquitengo Lake, Morelos, Mexico, and Their Biosorption by Pectin
Abstract
1. Introduction
2. Materials and Methods
2.1. Study Area and Collection of Water Samples
2.2. Field and Laboratory Analysis of Water Samples
2.3. Data Assessment—Heavy Metal Evaluation Index (HEI)
2.4. Removal Experiments
2.5. Analysis by ATR-FTIR
2.6. Statistical Analysis
3. Results and Discussion
3.1. Physicochemical Parameters
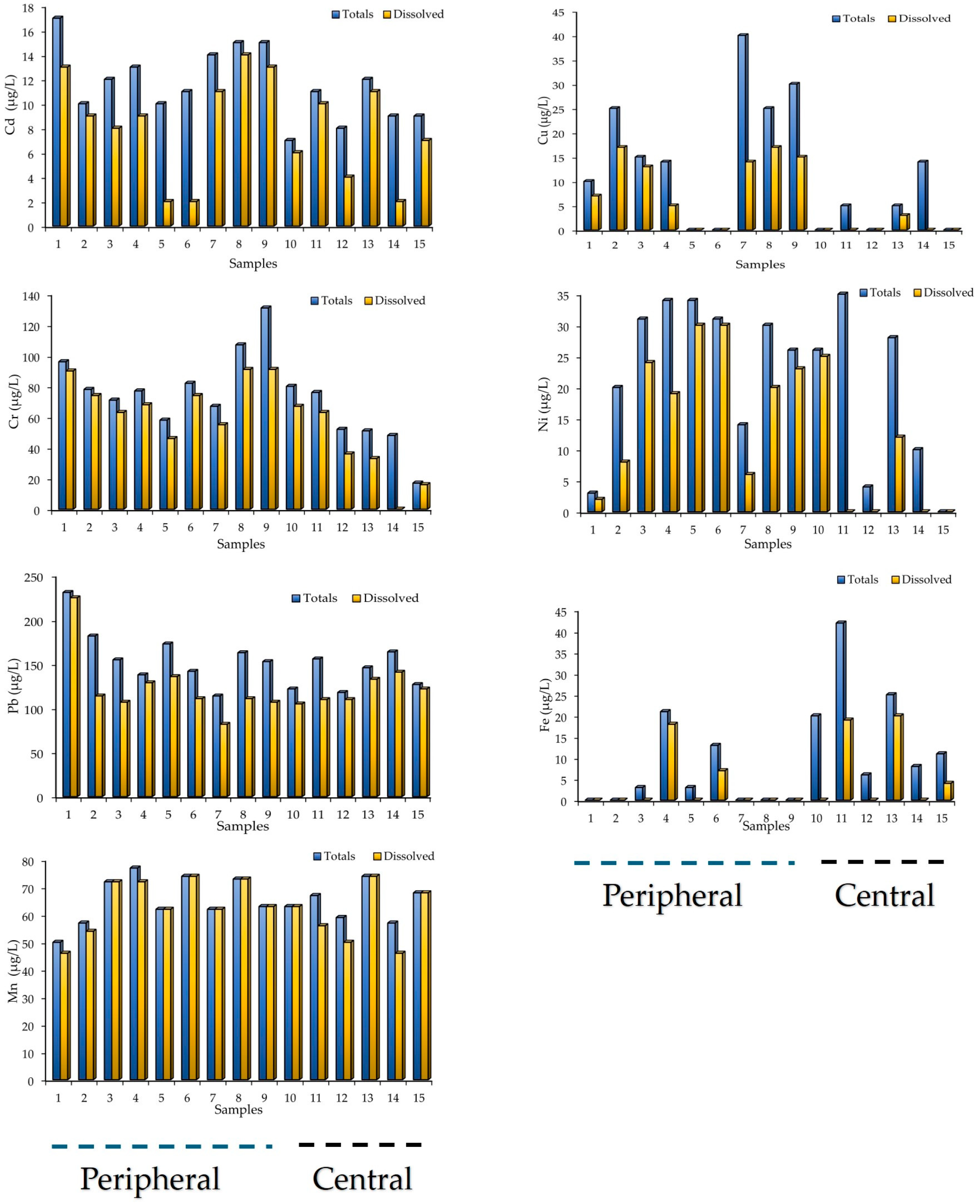
3.2. Heavy Metals (Total and Dissolved)
3.3. Correlation Matrix
3.4. Heavy Metal Evaluation Index (HEI)
3.5. Removal
3.6. ATR-FTIR
4. Conclusions
Author Contributions
Funding
Data Availability Statement
Acknowledgments
Conflicts of Interest
Abbreviations
| HMs | Heavy metals |
| HEI | The metal evaluation index |
| AAS | Atomic Absorption Spectrophotometer |
| FTIR | Fourier Transform Infrared Spectrophotometry |
References
- Viana, J.L.M.; Souza, A.F.; Hernández, A.H.; Elias, L.P.; Eismann, C.E.; Rezende-Filho, A.T.; Barbiero, L.; Menegario, A.A.; Fostier, A.H. In situ arsenic speciation at the soil/water interface of saline-alkaline lakes of the Pantanal, Brazil: A DGT-based approach. Sci. Total Environ. 2022, 804, 150113. [Google Scholar] [CrossRef] [PubMed]
- Hoaghia, M.; Cadar, O.; Moisa, C.; Roman, C.; Kovacs, E. Heavy metals and health risk assessment in vegetables grown in the vicinity of a former non-metallic facility located in Romania. Environ. Sci. Pollut. Res. 2022, 29, 40079–40093. [Google Scholar] [CrossRef] [PubMed]
- Muneer, J.; AlObaid, A.; Ullah, R.; Rehman, K.U.; Erinle, K.O. Appraisal of toxic metals in water, bottom sediments and fish of fresh water lake. J. King Saud. Univ. Sci. 2022, 34, 101685. [Google Scholar] [CrossRef]
- Wurtsbaugh, W.A.; Leavitt, P.R.; Moser, K.A. Effects of a century of mining and industrial production on metal contamination of a model saline ecosystem, Great Salt Lake, Utah. Environ. Pollut. 2020, 266, 115072. [Google Scholar] [CrossRef]
- Barhoumi, B.; Le Menach, K.; Clérandeau, C.; Ameur, W.B.; Budzinski, H.; Driss, M.R.; Cachot, J. Assessment of pollution in the Bizerte lagoon (Tunisia) by the combined use of chemical and biochemical markers in mussels, Mytilus galloprovincialis. Mar. Pollut. Bull. 2014, 84, 379–390. [Google Scholar] [CrossRef]
- Ghribi, F.; Richir, J.; Bejaoui, S.; Boussouf, A.D.; Marengo, M.; El Cafsi, M.; Gobert, S. Trace elements and oxidative stress in the Ark shell Arca noae from a Mediterranean coastal lagoon (Bizerte lagoon, Tunisia): Are there health risks associated with their consumption? Environ. Sci. Pollut. Res. 2020, 27, 15607–145623. [Google Scholar] [CrossRef]
- Helal, U.A.B.; Khalid, R.S.; Khan, U.A.; Abba, S.A. A review Heavy metals contamination in traditional medicinal products. J. Appl. Pharm. 2013, 4, 748–756. [Google Scholar]
- Zhang, C.; Richard, A.; Hao, W.; Liu, C.; Tang, Z. Trace metals in saline waters and brines from China: Implications for tectonic and climatic controls on basin-related mineralization. J. Asian Earth Sci. 2022, 233, 105263. [Google Scholar] [CrossRef]
- Edet, A.E.; Offiong, O.E. Evaluation of water quality pollution indices for heavy metal contamination for monitoring. A case study from Akpabuyo-Odukpani area, Lower cross River Basin (Southeastern Nigeria). GeoJournal 2002, 57, 295–304. [Google Scholar] [CrossRef]
- Li, D.; Yu, R.; Chen, J.; Leng, X.; Zhao, D.; Jia, H.; An, S. Ecological risk of heavy metals in lake sediments of China: A national-scale integrated analysis. J. Clean. Prod. 2022, 334, 130206. [Google Scholar] [CrossRef]
- González-Avilez, E.; Rodríguez-González, F.; Vargas-Solano, S.V.; Osorio-Ruiz, A.; Jonathan, M.P.; Campos-Villegas, L.E. Effect of the concentration of uronic acids in Opuntia mucilage on the removal of heavy metals and water quality of the Yautepec River, Mexico. Arab. J. Chem. 2024, 17, 105636. [Google Scholar] [CrossRef]
- Kuczajowska-Zadrożnaa, M.; Filipkowska, U.; Jóźwiak, T. Adsorption of Cu (II) and Cd (II) from aqueous solutions by chitosan immobilized in alginate beads. J. Environ. Chem. Eng. 2020, 8, 103878. [Google Scholar] [CrossRef]
- Vargas-Solano, S.V.; Rodríguez-González, F.; Martínez-Velarde, R.; Morales-García, S.S.; Jonathan, M.P. Removal of heavy metals present in water from the Yautepec River Morelos México, using Opuntia ficus-indica mucilage. Environ. Adv. 2022, 7, 100160. [Google Scholar] [CrossRef]
- Vecino, X.; Devesa-Rey, R.; Lima, S.D.M.; Moldes, A.B.; Cruz, J.M.; Alcantar, N.A. Evaluation of cactus mucilage biocomposite to remove total arsenic from water. Environ. Technol. Innov. 2016, 6, 69–79. [Google Scholar] [CrossRef]
- Wang, X.; Li, Y.; Dai, T.; He, X.; Chen, M.; Liu, C.; Liang, R.; Chen, J. Preparation of pectin/poly (m-phenylenediamine) microsphere and its application for Pb2+ removal. Carbohydr. Polym. 2021, 260, 117811. [Google Scholar] [CrossRef]
- García-González, C.A.; Alnaief, M.; Smirnova, I. Polysaccharide-based aerogels—Promising biodegradable carriers for drug delivery systems. Carbohydr. Polym. 2011, 86, 1425–1438. [Google Scholar] [CrossRef]
- Kyomugasho, C.; Christiaens, S.; Shpigelman, A.; Van Loey, A.M.; Hendrickx, M.E. FT-IR spectroscopy, a reliable method for routine analysis of the degree of methylesterification of pectin in different fruit- and vegetable-based matrices. Food Chem. 2015, 176, 82–90. [Google Scholar] [CrossRef]
- Gandhi, N.; Sirisha, D.; Sekhar, K.B.C. Biodepollution of paint manufacturing industry waste water containing chromium by using coagulation process. Int. Ref. Res. J. 2013, 4, 110–118. [Google Scholar]
- Shao, Z.; Lu, J.; Ding, J.; Fan, F.; Sun, X.; Li, P.; Fang, Y.; Hu, Q. Novel green chitosan-pectin gel beads for the removal of Cu (II), Cd (II), Hg (II) and Pb (II) from aqueous solution. Int. J. Biol. Macromol. 2021, 176, 217–225. [Google Scholar] [CrossRef]
- Messager, M.; Lehner, B.; Grill, G.; Nedeva, I.; Schmitt, O. Estimating the volume and age of water stored in global lakes using a geo–statistical approach. Nat. Commun. 2016, 7, 13603. [Google Scholar] [CrossRef]
- Martínez-Rodríguez, J.B.; Gutiérrez-Ojeda, C. Why are there level variations in Lake Tequesquitengo? 1. Calibration of a model of the hydrological system. Tecnol. Cienc. Agua 2015, 19, 33–46. [Google Scholar]
- Castellanos-Trujillo, L.; Palacios-Mayorga, S. Contribución al estudio de las aguas del lago de Tequesquitengo, estado de Morelos. Rev. Mex. Cienc. Geol. 1977, 1, 218–224. (In Spanish) [Google Scholar]
- INEGI (Instituto Nacional de Estadística y Geografía). Manantiales en el Estado de Morelos: Inventario y Caracterización Físico-Química; Instituto Nacional de Estadística y Geografía: Aguascalientes, Mexico, 2020. (In Spanish) [Google Scholar]
- CONAGUA (Comisión Nacional del Agua). Estadística del Agua en México. SEMARNAT, 2021. México. Available online: https://www.gob.mx/conagua (accessed on 7 May 2025). (In Spanish).
- SSA (Secretaría de Salud). Norma Oficial Mexicana NOM-230-SSA1-2002, Salud Ambiental, Agua Para Uso y Consumo Humano, Requisitos Sanitarios Que se Deben Cumplir en Los Sistemas de Abastecimiento Públicos y Privados Durante el Manejo del Agua Procedimientos Sanitarios Para el Muestreo. Diario Oficial de la Federación: México. 2005. Available online: https://www.dof.gob.mx/nota_detalle.php?codigo=2081772&fecha=12/07/2005#gsc.tab=0 (accessed on 7 May 2025). (In Spanish).
- ASTM D2035-08; (American Society for Testing and Materials) Standard Practice for Coagulation-Flocculation Jar Test of Water ASTM Annual Book of Standard Edition. ASTM International: West Conshohocken, PA, USA, 2008. (In Spanish)
- CONAGUA (Comisión Nacional del Agua). El Reporte del Clima en México Reporte Anual 2019. Coordinación General del Servicio Meteorológico Nacional de la Comisión Nacional del Agua, México. Available online: https://smn.conagua.gob.mx/tools/DATA/Climatolog%C3%ADa/Diagn%C3%B3stico%20Atmosf%C3%A9rico/Reporte%20del%20Clima%20en%20M%C3%A9xico/Anual2019.pdf (accessed on 7 May 2025). (In Spanish).
- Hernández, D.U.; Tapia Peña, M.I. Ecología del fitoplancton primaveral de superficie en el lago de Tequesquitengo, Morelos, México. Rev. Biol. Trop. 2016, 35, 31–39. (In Spanish) [Google Scholar]
- Chandrasekhar, S.; Sharma, H.; Mohanty, K.K. Dependence of wettability on brine composition in high temperature carbonate rocks. Fuel 2018, 225, 573–587. [Google Scholar] [CrossRef]
- Roldán Pérez, G.; Ramírez Restrepo, J.J. Fundamentos Limnología Neotropical, 2nd ed.; Universidad de Antioquia: Medellín, Colombia, 2008; pp. 49–71. [Google Scholar]
- Retama, I.; Jonathan, M.P.; Roy, P.D.; Rodríguez-Espinosa, P.F.; Nagarajan, R.; Sarkar, S.K.; Morales-García, S.S.; Muñoz-Sevilla, N.P. Metal concentration in sediments from tourist beaches of Huatulco, Oxaca, Mexico: An evaluation of post-Easter week vacation. Environ. Earth Sci. 2016, 75, 375. [Google Scholar] [CrossRef]
- SSA (Secretaría de Salud). Norma Oficial Mexicana NOM 127-SSA1-2021, Agua Para uso y Consumo Humano-Límites Permisibles de la Calidad del Agua; Diario Oficial de la Federación: Mexico City, Mexico, 2022. (In Spanish) [Google Scholar]
- WHO (World Health Organization). Guidelines for Drinking-Water Quality: Fourth Edition Incorporating the First and Second Addenda; World Health Organization: Geneva, Switzerland, 2022. [Google Scholar]
- El-Hak, H.N.G.; El-Din, M.I.S.; Elrayess, R.A. Bioaccumulation of heavy metals and histopathological impact on Mugil cephalus from the North Eastern Region of Manzala Lake, Egypt. Reg. Stud. Mar. Sci. 2021, 45, 101841. [Google Scholar] [CrossRef]
- Galindo Domínguez, R.E.; Bandy, W.L.; Mortera Gutiérrez, C.A.; Ortega Ramírez, J. Geophysical-Archaeological Survey in Lake Tequesquitengo, Morelos, Mexico. Geofís Int. 2013, 52, 261–275. [Google Scholar] [CrossRef]
- Morrison, J.M.; Goldhaber, M.B.; Mills, C.T.; Breit, G.N.; Hooper, R.L.; Holloway, J.M.; Diehl, S.F.; Ranville, J.F. Weathering and transport of chromium and nickel from serpentinites in the Coast Range ophiolite to the Sacramento valley, California, USA. Appl. Geochem. 2015, 61, 72–86. [Google Scholar] [CrossRef]
- Cheng, H.; Zhou, T.; Li, Q.; Lu, L.; Lin, C. Anthropogenic chromium emissions in China from 1990 to 2009. PLoS ONE 2014, 9, e87753. [Google Scholar] [CrossRef]
- Saha, R.; Nandi, R.; Saha, B. Sources and toxicity of hexavalent chromium. J. Coord. Chem. 2011, 64, 1782–1806. [Google Scholar] [CrossRef]
- Nharingo, T.; Zivurawa, M.T.; Guyo, U. Exploring the use of cactus Opuntia ficus indica in the biocoagulation-flocculation of Pb(II) ions from wastewaters. Int. J. Environ. Sci. Technol. 2015, 12, 3791–3802. [Google Scholar] [CrossRef]
- Onditi, M.; Adelodun, A.A.; Changamu, E.O.; Ngila, J.C. Removal of Pb2+ and Cd2+ from drinking water using polysaccharide extract isolated from cactus pads (Opuntia ficus indica). J. Appl. Polym. Sci. 2016, 133, 43913. [Google Scholar] [CrossRef]
- Buttice, A.L.; Stroot, J.M.; Lim, D.M.; Stroot, P.G.; Alcantar, N.A. Removal of sediment and Bacteria from Water Using Green Chemistry. Environ. Sci. Technol. 2010, 44, 3514–3519. [Google Scholar] [CrossRef] [PubMed]
- Castañeda-Figueredo, J.S.; Torralba-Dotor, A.I.; Pérez-Rodríguez, C.C.; Moreno-Bedoya, A.M.; Mosquera-Vivas, C.S. Removal of lead and chromium from solution by organic peels: Effect of particle size and bio-adsorbent. Heliyon 2022, 8, e10275. [Google Scholar] [CrossRef]
- Ehsanpour, S.; Riahi, S.M.; Toghraie, D. Removal of chromium (VI) from aqueous solution using Eggshell/poly pyrrole composite. Alex. Eng. J. 2023, 64, 581–589. [Google Scholar] [CrossRef]
- Zhang, Y.; Zhao, J.; Jiang, Z.; Shan, D.; Lu, Y. Biosorption of Fe(II) and Mn(II) ions from aqueous solution by rice husk ash. BioMed Res. Int. 2014, 2014, 973095. [Google Scholar] [CrossRef]
- Singh, T.L.; Parmar, H.; Kumar, V.A.; Kumar, C.A.; Mondal, P. Removal of manganese from synthetic wastewater by Vetiveria zizanioides. Mat. Today Proc. 2022, 72, 2687–2690. [Google Scholar] [CrossRef]
- Ho, T.L. Hard and Soft Acid and Bases Principle in Organic Chemistry; Academic Press, Inc. (London) LTD.: London, UK, 1977. [Google Scholar]
- Ibarra-Rodriguez, D.; Lizardi-Mendoza, J.; López-Maldonado, E.A.; Oropeza-Guzmán, M.T. Capacity of ’nopal’ pectin as a dual coagulant-flocculant agent for heavy metals removal. Chem. Eng. J. 2017, 323, 19–28. [Google Scholar] [CrossRef]
- Wang, R.; Liang, R.; Dai, T.; Chen, J.; Shuai, X.; Liu, C. Pectin-based adsorbents for heavy metal ions: A review. Trends Food Sci. Technol. 2019, 91, 319–329. [Google Scholar] [CrossRef]
- Feng, N.; Guo, X. Characterization of adsorptive capacity and mechanisms on adsorption of copper, lead and zinc by modified orange peel. Trans. Nonferrous Met. Soc. China 2012, 22, 1224–1231. [Google Scholar] [CrossRef]
- Martínez-Sabando, J.; Coin, F.; Melillo, J.H.; Goyanes, S.; Cerveny, S. A Review of Pectin-Based Material for Applications in Water Treatment. Materials 2023, 16, 2207. [Google Scholar] [CrossRef] [PubMed]
- Gutiérrez, C.; Hansen, H.K.; Hernández, P.; Pinilla, C. Biosorption of cadmium with brown macroalgae. Chemosphere 2015, 138, 164–169. [Google Scholar] [CrossRef] [PubMed]
- Fouda-Mbanga, B.G.; Velempini, T.; Pillay, K.; Tywaby-Ngeva, Z. Heavy metals removal from wastewater and reuse of the metal loaded adsorbents in various applications: A review. Hybrid Adv. 2024, 6, 100193. [Google Scholar] [CrossRef]
- Soliman, E.; Mansour, M.M. Enhancing Soil Organic Carbon Content and Water Retention Using Polyvinyl Alcohol Cross-linked with Chitosan and Pectin. J. Soil Sci. Plant Nutr. 2024, 24, 791–803. [Google Scholar] [CrossRef]
- Suresh Kumar, P.; Ejerssa, W.W.; Wegener, C.C.; Korving, L.; Dugulan, A.I.; Temmink, H.; van Loosdrecht, M.C.M.; Witkamp, G.J. Understanding and improving the reusability of phosphate adsorbents for wastewater effluent polishing. Water Res. 2018, 145, 365–374. [Google Scholar] [CrossRef]
- de Farias, A.B.V.; da Costa, T.B.; da Silva, M.G.C.; Vieira, M.G.A. Cerium recovery from aqueous solutions by bio/adsorption: A review in a circular economy context. J. Clean. Prod. 2021, 326, 129395. [Google Scholar] [CrossRef]






| Samples | Fe | Mn | Cu | Cd | Cr | Ni | Pb | Zn | Co | Hg | As | |
|---|---|---|---|---|---|---|---|---|---|---|---|---|
| Peripheral (n = 9) | 1 | - | 50 | 10 | 17 ** | 96 ** | 3 | 231 ** | - | - | - | - |
| 2 | - | 57 | 25 | 10 ** | 78 ** | 20 | 182 ** | - | 2 | - | - | |
| 3 | 3 | 72 | 15 | 12 ** | 71 ** | 31 | 155 ** | - | - | - | - | |
| 4 | 21 | 77 | 14 | 13 ** | 77 ** | 34 | 138 ** | - | 6 | - | - | |
| 5 | 3 | 62 | - | 10 ** | 58 ** | 34 | 173 ** | - | - | - | - | |
| 6 | 13 | 74 | - | 11 ** | 82 ** | 31 | 142 ** | - | - | - | - | |
| 7 | - | 62 | 40 | 14 ** | 67 ** | 14 | 114 ** | - | - | - | - | |
| 8 | - | 73 | 25 | 15 ** | 107 ** | 20 | 163 ** | 63 * | - | - | - | |
| 9 | - | 63 | 30 | 15 ** | 131 ** | 26 | 153 ** | - | - | - | - | |
| Average | - | 4.4 | 65.6 | 17.6 | 13 ** | 85.2 ** | 24.8 | 161.2 ** | - | - | - | - |
| Central (n = 6) | 10 | 20 | 63 | - | 7 ** | 80 | 26 | 122 ** | - | - | - | - |
| 11 | 42 | 67 | 5 | 11 ** | 76 | 35 | 156 ** | - | 23 | - | - | |
| 12 | 6 | 59 | - | 8 ** | 52 | 4 | 118 ** | - | - | - | - | |
| 13 | 25 | 74 | 5 | 12 ** | 51 | 28 | 146 ** | - | - | - | - | |
| 14 | 8 | 57 | 14 | 9 ** | 48 | 10 | 164 ** | - | - | - | - | |
| 15 | 11 | 68 | - | 9 ** | 17 | - | 127 ** | - | - | - | - | |
| Average | - | 18.6 | 55.7 | 3.7 | 8.7 ** | 48.7 | 14.5 | 123.2 ** | - | - | - | - |
| SSA [30] | - | 300 | 150 | 2000 | 5 | 50 | - | 10 | 5000 | - | 1 | 50 |
| WHO [31] | - | - | 2000 | 3 | 50 | 70 | 10 | 50 | - | 6 | 10 |
| pH | Temperature | Conductivity | Turbidity | Fe | Mn | Cu | Cd | Cr | Ni | Pb | Zn | |
|---|---|---|---|---|---|---|---|---|---|---|---|---|
| Peripheral | ||||||||||||
| pH | 1.00 | |||||||||||
| Temperature | - | 1.00 | ||||||||||
| Conductivity | - | - | 1.00 | |||||||||
| Turbidity | - | - | - | 1.00 | ||||||||
| Fe | - | - | - | - | 1.00 | |||||||
| Mn | 0.73 * | - | - | - | 0.72 * | 1.00 | ||||||
| Cu | - | - | - | - | - | - | 1.00 | |||||
| Cd | - | - | - | - | - | - | - | 1.00 | ||||
| Cr | - | - | - | - | - | - | - | 0.72 * | 1.00 | |||
| Ni | - | - | - | - | - | 0.81 *,† | - | - | - | 1.00 | ||
| Pb | - | - | - | - | - | - | - | - | - | - | 1.00 | |
| Zn | - | - | - | - | - | - | - | - | - | - | - | 1.00 |
| Central | ||||||||||||
| pH | 1.00 | |||||||||||
| Temperature | - | 1.00 | ||||||||||
| Conductivity | - | - | 1.00 | |||||||||
| Turbidity | - | - | - | 1.00 | ||||||||
| Fe | - | - | - | - | 1.00 | |||||||
| Mn | - | - | - | - | - | 1.00 | ||||||
| Cu | 0.92 *,† | 0.85 * | - | - | - | - | 1.00 | |||||
| Cd | - | - | - | - | - | - | - | 1.00 | ||||
| Cr | - | - | - | - | - | - | - | - | 1.00 | |||
| Ni | - | - | - | - | - | - | - | - | 0.85 * | 1.00 | ||
| Pb | - | - | - | - | - | - | 0.86 * | - | - | - | 1.00 | |
| Zn | - | - | - | - | - | - | - | - | - | - | - | 1.00 |
| Samples | pH | Conductivity | Turbidity | ||||
|---|---|---|---|---|---|---|---|
| Before | After | Before | After | Before | After | ||
| Peripheral | 1 | 5.5 | 4.5 | 3488 | 2239 | 4.14 | 5.75 |
| 2 | 5.5 | 3.88 | 3522 | 2555 | 4.9 | 2.33 | |
| 3 | 5.5 | 4.06 | 3527 | 2179 | 4 | 3.18 | |
| 4 | 5.5 | 4.11 | 3594 | 3674 | 5.18 | 0.91 | |
| 5 | 5.5 | 4.1 | 3363 | 3250 | 3.7 | 4.75 | |
| 6 | 5.5 | 4.08 | 3211 | 2872 | 4.29 | 5.12 | |
| 7 | 5.5 | 4.08 | 3356 | 3470 | 3.42 | 3.23 | |
| 8 | 5.5 | 4.1 | 3388 | 3558 | 4.15 | 2.01 | |
| 9 | 5.5 | 4.03 | 3385 | 3588 | 4.31 | 1.82 | |
| Central | 10 | 5.5 | 3.99 | 2911 | 2696 | 7.4 | 3.55 |
| 11 | 5.5 | 3.99 | 3384 | 3661 | 6.8 | 1.72 | |
| 12 | 5.5 | 4.02 | 3162 | 3726 | 4.56 | 4.77 | |
| 13 | 5.5 | 3.93 | 3401 | 3035 | 4.79 | 5.15 | |
| 14 | 5.5 | 4.05 | 3364 | 3019 | 4.48 | 5.04 | |
| 15 | 5.5 | 4.05 | 3454 | 3549 | 7.11 | 4.85 | |
| Samples | Mn | Cd | Cr | Ni | Pb | Others Metal | |
|---|---|---|---|---|---|---|---|
| Peripheral | 1 | 55.0 | 100 | 100 | 100 | 78.4 | 100 |
| 2 | 3.5 | 60.0 | 100 | 90.0 | 69.0 | 0 | |
| 3 | 57.6 | 58.3 | 100 | 100 | 52.3 | 50 | |
| 4 | 98.7 | 100 | 100 | 100 | 100.0 | 100 | |
| 5 | 10.4 | 80.0 | 100 | 100 | 54.6 | 100 | |
| 6 | 48.6 | 86.3. | 100 | 100 | 66.5 | - | |
| 7 | 37.9 | 85.7 | 100 | 100 | 61.8 | 67.5 | |
| 8 | 60.9 | 100 | 100 | 100 | 79.1 | 100 | |
| 9 | 56.34 | 100 | 100 | 100 | 80.4 | 100 | |
| Central | 10 | 100 | 100 | 100 | 100 | 100.0 | 100 |
| 11 | 13.4 | 63.6 | 100 | 98.6 | 58.3 | 22.3 | |
| 12 | 70.3 | 100 | 100 | 100 | 38.6 | 100 | |
| 13 | 33.1 | 37.5 | 100 | 83.9 | 56.5 | 50 | |
| 14 | 36.8 | 100 | 100 | 100 | 70.4 | 50 | |
| 15 | 52.2 | 83.3 | 100 | - | 45.7 | - |
| Samples | Mn | Cd | Cr | Ni | Pb | |
|---|---|---|---|---|---|---|
| Peripheral | 1 | 22.5 | 0 | 0 | 0 | 50 ** |
| 2 | 55 | 4 * | 0 | 2 | 56.5 ** | |
| 3 | 30.5 | 5 ** | 0 | 0 | 74 ** | |
| 4 | 1 | 0 | 0 | 0 | 0 | |
| 5 | 55.5 | 2 | 0 | 0 | 78.5 ** | |
| 6 | 38 | 1.5 | 0 | 0 | 47.5 ** | |
| 7 | 38.5 | 2 | 0 | 0 | 43.5 ** | |
| 8 | 28.5 | 0 | 0 | 0 | 34 ** | |
| 9 | 27.5 | 0 | 0 | 0 | 30 ** | |
| Central | 10 | 0 | 0 | 0 | 0 | 0 |
| 11 | 58 | 4 * | 0 | 0.5 | 65 ** | |
| 12 | 17.5 | 0 | 0 | 0 | 72.5 ** | |
| 13 | 49.5 | 7.5 ** | 0 | 4.5 | 63.5 ** | |
| 14 | 36 | 0 | 0 | 0 | 48.5 ** | |
| 15 | 32.5 | 1.5 | 0 | 0 | 69 ** | |
| SSA [30] | 150 | 5 | 50 | 70 | 10 | |
| WHO [31] | - | 3 | 50 | 70 | 10 |
Disclaimer/Publisher’s Note: The statements, opinions and data contained in all publications are solely those of the individual author(s) and contributor(s) and not of MDPI and/or the editor(s). MDPI and/or the editor(s) disclaim responsibility for any injury to people or property resulting from any ideas, methods, instructions or products referred to in the content. |
© 2025 by the authors. Licensee MDPI, Basel, Switzerland. This article is an open access article distributed under the terms and conditions of the Creative Commons Attribution (CC BY) license (https://creativecommons.org/licenses/by/4.0/).
Share and Cite
Vargas-Solano, S.V.; Lizcano-Delgado, Y.Y.; Rodríguez-González, F.; Saldivar-Calvo, J.A.; Martínez-Velarde, R.; Osorio-Ruiz, A.; Corona Rangel, M.L.; Morales-García, S.S. Spatial Distribution of Heavy Metals in the Water of Tequesquitengo Lake, Morelos, Mexico, and Their Biosorption by Pectin. Water 2025, 17, 2050. https://doi.org/10.3390/w17142050
Vargas-Solano SV, Lizcano-Delgado YY, Rodríguez-González F, Saldivar-Calvo JA, Martínez-Velarde R, Osorio-Ruiz A, Corona Rangel ML, Morales-García SS. Spatial Distribution of Heavy Metals in the Water of Tequesquitengo Lake, Morelos, Mexico, and Their Biosorption by Pectin. Water. 2025; 17(14):2050. https://doi.org/10.3390/w17142050
Chicago/Turabian StyleVargas-Solano, S. Viridiana, Y. Yelitza Lizcano-Delgado, Francisco Rodríguez-González, Julio A. Saldivar-Calvo, Rita Martínez-Velarde, Alex Osorio-Ruiz, María Luisa Corona Rangel, and Sandra S. Morales-García. 2025. "Spatial Distribution of Heavy Metals in the Water of Tequesquitengo Lake, Morelos, Mexico, and Their Biosorption by Pectin" Water 17, no. 14: 2050. https://doi.org/10.3390/w17142050
APA StyleVargas-Solano, S. V., Lizcano-Delgado, Y. Y., Rodríguez-González, F., Saldivar-Calvo, J. A., Martínez-Velarde, R., Osorio-Ruiz, A., Corona Rangel, M. L., & Morales-García, S. S. (2025). Spatial Distribution of Heavy Metals in the Water of Tequesquitengo Lake, Morelos, Mexico, and Their Biosorption by Pectin. Water, 17(14), 2050. https://doi.org/10.3390/w17142050

