Lake Water Composition in Oceanic Islands: Insights from REE Content and 87Sr/86Sr Isotopic Ratio
Abstract
1. Introduction
2. Geological and Hydrological Setting
2.1. Geological Setting
2.2. Hydrological Setting
| Island | Lake | Alt. | Basin Area | Surf. Area | Max. Depth | Volume | Residence Time | Geol. Setting |
|---|---|---|---|---|---|---|---|---|
| M | km2 | m | m3 | years | ||||
| São Miguel | Congro | 420 | 0.34 | 0.040 | 22.0 | ~5.8 × 105 | 7.3 | maar |
| Santiago | 364 | 0.80 | 0.250 | 33.0 | ~5.3 × 106 | 24.5 | maar | |
| Sete Cidades Azul | 261 | 3.580 | 29.5 | ~47.4 × 106 | 2.4 | Caldera | ||
| Sete Cidades Verde | 0.810 | 24.5 | ~10.6 × 106 | 3.0 | Caldera | |||
| Fogo | 580 | 5.04 | 1.530 | 31.6 | ~23.4 × 106 | 5.8 | Caldera | |
| Furnas | 280 | 12.2 | 1.870 | 15 | ~14.0 × 106 | 1.2 | Caldera | |
| Pico | Capitão | 781 | 0.15 | 0.024 | 4.9 | ~5.4 × 104 | 1.9 | Td |
| Caiado | 802 | 0.19 | 0.058 | 6.9 | ~1.5 × 105 | 3.8 | Ud | |
| Terceira | Algar do Carvão | 500 | 0.19 | 0.0003 | 8.2 | ~1.5 × 105 | n.a. | Lava cave |
| Graciosa | Furna do Enxofre | 92 | 0.15 | 0.012 | 9.3 | ~5.4 × 104 | n.a. | Lava cave |
| Flores | Comprida | 530 | 0.50 | 0.058 | 17.3 | ~4.5 × 105 | 1.7 | maar |
| Negra | 540 | 0.29 | 0.130 | 119.0 | ~9.1 × 106 | 17.0 | maar | |
| Funda | 365 | 3.14 | 0.369 | 35.7 | ~7.9 × 106 | 2.7 | maar | |
| Corvo | Caldeirão East | 398 | 0.97 | 0.081 | 1.9 | ~9.0 × 104 | n.a. | Caldera |
| Caldeirão West | 392 | 2.31 | 0.124 | 2.8 | ~16.3 × 104 | n.a. | Caldera | |
3. Materials and Methods
4. Results and Discussion
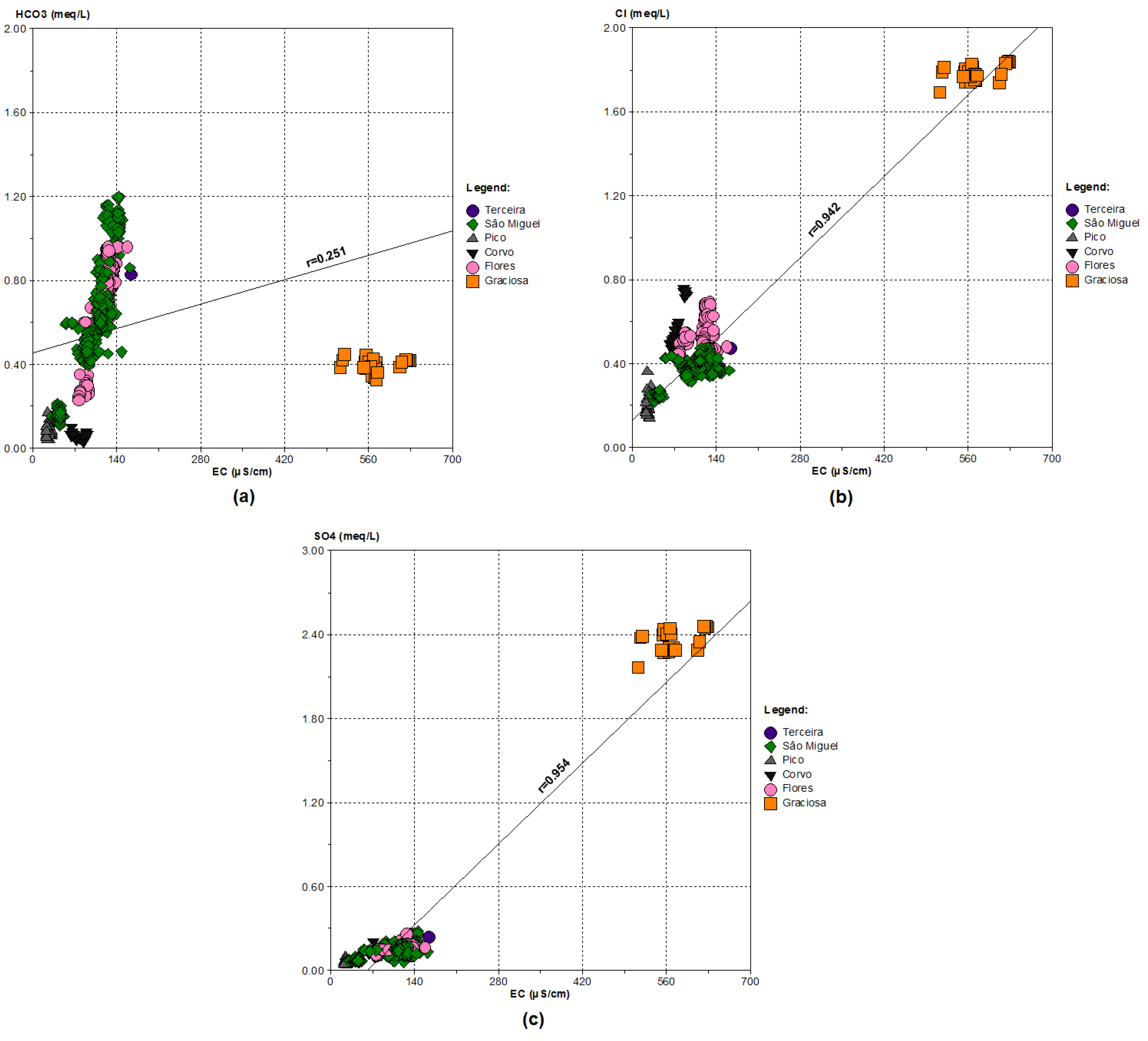
4.1. General Hydrogeochemistry
4.2. 87Sr/86Sr Isotopic Ratio


4.3. Rare Earth Elements Composition

5. Conclusions
Author Contributions
Funding
Data Availability Statement
Acknowledgments
Conflicts of Interest
Appendix A
| Island | Lake | Statistical Parameter | T | pH | EC | CO2 | HCO3 | Cl | SO4 | Na | K | Mg | Ca |
|---|---|---|---|---|---|---|---|---|---|---|---|---|---|
| °C | µS cm−1 | mg L−1 | |||||||||||
| Corvo | Caldeirão East | Max | 27.49 | 8.24 | 90.44 | 2.60 | 4.88 | 25.92 | 9.91 | 16.66 | 0.60 | 1.60 | 1.53 |
| Min | 12.83 | 6.80 | 63.18 | 1.50 | 2.44 | 17.44 | 4.71 | 8.62 | 0.40 | 0.90 | 0.68 | ||
| Mean | 19.00 | 7.54 | 75.88 | 1.97 | 3.76 | 20.76 | 6.73 | 12.14 | 0.51 | 1.16 | 1.07 | ||
| ±SD | 5.56 | 0.49 | 9.39 | 0.37 | 0.86 | 3.27 | 1.32 | 3.03 | 0.06 | 0.25 | 0.24 | ||
| Median | 17.78 | 7.52 | 73.63 | 1.95 | 3.97 | 19.76 | 6.91 | 12.00 | 0.52 | 1.09 | 1.14 | ||
| Caldeirão West | Max | 26.56 | 8.67 | 88.85 | 2.10 | 6.10 | 26.96 | 8.27 | 17.65 | 1.18 | 1.60 | 1.54 | |
| Min | 12.16 | 7.09 | 63.62 | 1.40 | 1.83 | 16.73 | 4.76 | 7.62 | 0.38 | 0.96 | 0.57 | ||
| Mean | 17.78 | 7.86 | 73.90 | 1.76 | 3.75 | 20.57 | 6.53 | 11.58 | 0.61 | 1.28 | 1.02 | ||
| ±SD | 4.67 | 0.46 | 9.88 | 0.22 | 1.17 | 3.93 | 0.90 | 3.62 | 0.25 | 0.23 | 0.36 | ||
| Median | 17.20 | 7.80 | 70.18 | 1.75 | 3.97 | 19.12 | 6.58 | 9.99 | 0.52 | 1.35 | 0.97 | ||
| Flores | Funda | Max | 24.69 | 10.46 | 135.62 | 14.40 | 56.79 | 24.51 | 10.30 | 13.38 | 1.91 | 3.79 | 6.64 |
| Min | 12.90 | 7.55 | 85.32 | 0.50 | 36.48 | 16.18 | 4.80 | 9.88 | 1.25 | 2.83 | 4.96 | ||
| Mean | 14.75 | 8.48 | 119.39 | 4.71 | 43.66 | 20.00 | 6.93 | 11.78 | 1.49 | 3.23 | 5.73 | ||
| ±SD | 2.68 | 0.71 | 9.44 | 4.28 | 5.27 | 2.51 | 1.08 | 0.70 | 0.16 | 0.25 | 0.37 | ||
| Median | 13.45 | 8.25 | 119.29 | 2.50 | 43.31 | 19.27 | 7.32 | 11.78 | 1.52 | 3.18 | 5.77 | ||
| Negra | Max | 22.85 | 10.22 | 156.90 | 9.60 | 58.56 | 17.30 | 12.59 | 13.95 | 1.53 | 4.03 | 7.71 | |
| Min | 12.27 | 7.30 | 115.10 | 0.80 | 37.82 | 15.34 | 6.69 | 9.82 | 0.54 | 3.04 | 5.61 | ||
| Mean | 13.96 | 8.42 | 127.32 | 3.92 | 50.09 | 16.42 | 7.75 | 11.67 | 1.13 | 3.62 | 6.81 | ||
| ±SD | 2.19 | 0.68 | 5.40 | 2.05 | 5.13 | 0.35 | 0.75 | 0.78 | 0.32 | 0.27 | 0.35 | ||
| Median | 12.99 | 8.25 | 125.77 | 3.60 | 51.85 | 16.41 | 7.64 | 11.58 | 1.23 | 3.73 | 6.78 | ||
| Comprida | Max | 22.80 | 8.76 | 93.47 | 8.00 | 21.53 | 19.33 | 7.31 | 11.15 | 2.32 | 2.32 | 2.56 | |
| Min | 12.15 | 7.05 | 76.52 | 0.60 | 13.91 | 15.57 | 4.94 | 7.74 | 0.76 | 1.77 | 2.03 | ||
| Mean | 15.46 | 7.88 | 83.09 | 1.99 | 16.78 | 17.24 | 6.14 | 9.52 | 1.26 | 2.06 | 2.25 | ||
| ±SD | 3.26 | 0.45 | 6.31 | 1.61 | 2.13 | 1.48 | 0.65 | 0.90 | 0.67 | 0.17 | 0.16 | ||
| Median | 14.73 | 7.93 | 79.09 | 1.75 | 16.38 | 16.87 | 6.19 | 9.59 | 0.86 | 2.03 | 2.25 | ||
| Pico | Capitão | Max | 25.7 | 8.76 | 28 | 4.7 | 6.71 | 9.80 | 4.02 | 6.59 | 0.59 | 1.53 | 1.23 |
| Min | 11.9 | 6.69 | 22 | 1.2 | 3.05 | 4.86 | 2.06 | 1.66 | 0.12 | 0.38 | 0.38 | ||
| Mean | 16.5 | 7.70 | 25 | 2.3 | 4.85 | 6.44 | 2.57 | 3.24 | 0.36 | 0.73 | 0.68 | ||
| ±SD | 4.7 | 0.61 | 2 | 0.8 | 1.14 | 1.45 | 0.46 | 1.10 | 0.16 | 0.31 | 0.22 | ||
| Median | 15.7 | 7.40 | 25 | 2.2 | 4.88 | 5.84 | 2.48 | 3.17 | 0.32 | 0.60 | 0.67 | ||
| Caiado | Max | 22.6 | 8.06 | 31 | 2.3 | 10.37 | 12.85 | 4.66 | 7.29 | 0.42 | 1.03 | 0.83 | |
| Min | 12.0 | 6.98 | 24 | 0.9 | 2.44 | 6.21 | 1.85 | 1.86 | 0.07 | 0.37 | 0.25 | ||
| Mean | 15.3 | 7.55 | 27 | 1.7 | 5.07 | 7.49 | 2.44 | 3.13 | 0.16 | 0.66 | 0.47 | ||
| ±SD | 4.2 | 0.36 | 2 | 0.4 | 2.17 | 1.68 | 0.69 | 1.25 | 0.08 | 0.23 | 0.14 | ||
| Median | 12.3 | 7.69 | 26 | 1.8 | 4.27 | 6.83 | 2.11 | 2.96 | 0.14 | 0.55 | 0.45 | ||
| Terceira | Algar do Carvão | Max | 12.86 | 9.54 | 162.50 | 53.00 | 57.95 | 16.80 | 12.42 | 26.51 | 2.59 | 0.65 | 1.66 |
| Min | 11.00 | 8.09 | 113.01 | 0.30 | 46.97 | 13.42 | 8.28 | 20.45 | 2.15 | 0.07 | 0.61 | ||
| Mean | 12.06 | 8.74 | 129.86 | 28.88 | 51.32 | 14.48 | 10.65 | 23.89 | 2.30 | 0.33 | 1.00 | ||
| ±SD | 0.30 | 0.35 | 9.23 | 14.16 | 2.87 | 0.60 | 1.24 | 1.61 | 0.10 | 0.15 | 0.25 | ||
| Median | 12.07 | 8.66 | 130.34 | 27.00 | 50.63 | 14.50 | 10.79 | 24.28 | 2.31 | 0.37 | 0.98 | ||
| Graciosa | Furna do Enxofre | Max | 16.06 | 6.97 | 628.62 | 163.10 | 27.33 | 65.24 | 118.12 | 40.65 | 6.05 | 28.60 | 51.90 |
| Min | 14.02 | 6.04 | 511.93 | 15.10 | 20.07 | 60.05 | 104.12 | 34.71 | 2.79 | 23.86 | 24.80 | ||
| Mean | 15.09 | 6.57 | 572.77 | 75.68 | 24.21 | 63.25 | 112.94 | 38.36 | 4.11 | 26.43 | 36.60 | ||
| ±SD | 0.69 | 0.29 | 34.42 | 42.92 | 1.95 | 1.35 | 3.90 | 1.61 | 0.83 | 1.38 | 8.18 | ||
| Median | 15.21 | 6.64 | 567.47 | 64.20 | 24.89 | 63.14 | 112.96 | 38.20 | 4.03 | 26.64 | 38.17 | ||
| São Miguel | Furnas P1 | Max | 22.50 | 8.72 | 145.43 | 13.30 | 69.54 | 13.55 | 10.31 | 19.06 | 9.94 | 2.39 | 4.03 |
| Min | 14.12 | 7.09 | 116.60 | 0.30 | 54.84 | 12.15 | 8.21 | 15.20 | 4.41 | 1.72 | 2.75 | ||
| Mean | 18.38 | 7.81 | 132.82 | 3.77 | 63.61 | 12.99 | 9.29 | 17.10 | 6.78 | 2.18 | 3.32 | ||
| ±SD | 2.95 | 0.44 | 7.17 | 2.96 | 4.69 | 0.43 | 0.49 | 1.11 | 1.80 | 0.23 | 0.44 | ||
| Median | 18.80 | 7.91 | 132.98 | 2.70 | 65.27 | 13.15 | 9.28 | 16.97 | 6.73 | 2.26 | 3.22 | ||
| Furnas P2 | Max | 23.05 | 9.44 | 149.91 | 9.00 | 73.20 | 13.66 | 10.29 | 25.46 | 11.68 | 2.38 | 4.22 | |
| Min | 12.75 | 6.73 | 131.42 | 1.70 | 52.03 | 12.46 | 8.23 | 15.06 | 4.21 | 1.54 | 2.72 | ||
| Mean | 18.10 | 8.37 | 139.75 | 3.79 | 63.64 | 13.15 | 9.17 | 16.84 | 6.66 | 2.15 | 3.41 | ||
| ±SD | 3.10 | 0.70 | 4.65 | 1.74 | 6.41 | 0.38 | 0.55 | 1.91 | 1.68 | 0.25 | 0.54 | ||
| Median | 18.00 | 8.46 | 141.65 | 3.55 | 65.88 | 13.24 | 9.29 | 16.48 | 6.69 | 2.28 | 3.43 | ||
| Furnas P3 | Max | 22.75 | 9.65 | 145.79 | 3.80 | 70.76 | 14.03 | 13.30 | 17.68 | 13.05 | 2.32 | 4.02 | |
| Min | 14.13 | 7.74 | 121.65 | 0.40 | 51.24 | 12.29 | 7.77 | 15.50 | 3.57 | 1.72 | 2.73 | ||
| Mean | 18.75 | 8.67 | 137.38 | 1.99 | 62.14 | 12.84 | 9.30 | 16.57 | 6.88 | 2.09 | 3.49 | ||
| ±SD | 3.47 | 0.45 | 8.30 | 0.85 | 6.32 | 0.41 | 1.52 | 0.62 | 2.31 | 0.24 | 0.51 | ||
| Median | 19.03 | 8.64 | 138.30 | 1.90 | 64.05 | 12.80 | 8.80 | 16.82 | 6.65 | 2.23 | 3.82 | ||
| Congro | Max | 22.5 | 10.3 | 161.0 | 13.2 | 60.4 | 13.1 | 9.8 | 12.0 | 7.6 | 2.1 | 4.8 | |
| Min | 13.8 | 6.9 | 87.2 | 1.6 | 24.0 | 11.0 | 4.5 | 8.6 | 4.6 | 1.2 | 1.5 | ||
| Mean | 16.6 | 7.9 | 100.4 | 4.8 | 30.8 | 12.3 | 7.5 | 10.6 | 5.6 | 1.7 | 2.3 | ||
| ±SD | 2.6 | 0.8 | 17.3 | 2.4 | 7.3 | 0.4 | 1.8 | 1.0 | 0.8 | 0.3 | 0.8 | ||
| Median | 16.0 | 7.8 | 92.9 | 4.2 | 28.8 | 12.3 | 8.7 | 10.9 | 5.4 | 1.8 | 2.1 | ||
| Fogo P1 | Max | 19.48 | 8.80 | 51.55 | 2.70 | 11.59 | 9.70 | 5.18 | 5.19 | 1.67 | 0.80 | 0.96 | |
| Min | 13.26 | 6.93 | 30.66 | 0.40 | 7.93 | 7.80 | 0.18 | 3.79 | 1.19 | 0.45 | 0.37 | ||
| Mean | 15.84 | 7.70 | 43.11 | 1.54 | 9.23 | 8.82 | 1.31 | 4.46 | 1.38 | 0.58 | 0.60 | ||
| ±SD | 2.49 | 0.59 | 4.37 | 0.51 | 0.95 | 0.36 | 1.63 | 0.34 | 0.15 | 0.10 | 0.19 | ||
| Median | 16.12 | 7.74 | 44.94 | 1.45 | 9.15 | 8.89 | 0.74 | 4.47 | 1.35 | 0.56 | 0.56 | ||
| Fogo P2 | Max | 19.03 | 8.65 | 46.89 | 10.00 | 12.81 | 9.55 | 4.60 | 6.74 | 1.32 | 0.99 | 0.60 | |
| Min | 13.17 | 6.26 | 39.55 | 0.30 | 8.11 | 8.27 | 2.59 | 3.49 | 1.13 | 0.45 | 0.30 | ||
| Mean | 15.04 | 7.60 | 44.09 | 2.04 | 9.87 | 8.89 | 3.47 | 4.84 | 1.20 | 0.75 | 0.42 | ||
| ±SD | 1.88 | 0.53 | 1.89 | 1.50 | 1.24 | 0.23 | 0.40 | 0.78 | 0.05 | 0.17 | 0.08 | ||
| Median | 13.77 | 7.72 | 44.71 | 1.70 | 9.76 | 8.92 | 3.40 | 4.73 | 1.19 | 0.78 | 0.40 | ||
| Fogo P3 | Max | 19.21 | 8.23 | 47.70 | 2.60 | 10.98 | 9.41 | 3.59 | 6.42 | 1.70 | 0.80 | 0.54 | |
| Min | 13.36 | 7.07 | 41.37 | 0.50 | 6.71 | 8.54 | 3.12 | 3.92 | 1.16 | 0.45 | 0.32 | ||
| Mean | 15.19 | 7.64 | 44.85 | 1.57 | 8.85 | 8.86 | 3.26 | 4.82 | 1.30 | 0.56 | 0.44 | ||
| ±SD | 2.36 | 0.30 | 1.45 | 0.54 | 1.01 | 0.25 | 0.12 | 0.68 | 0.14 | 0.11 | 0.07 | ||
| Median | 13.65 | 7.68 | 45.25 | 1.60 | 8.72 | 8.81 | 3.24 | 4.60 | 1.27 | 0.52 | 0.45 | ||
| Santiago | Max | 21.8 | 9.9 | 139.1 | 7.6 | 54.9 | 16.8 | 10.0 | 20.7 | 3.7 | 1.1 | 2.1 | |
| Min | 12.9 | 7.4 | 105.3 | 0.9 | 33.6 | 12.2 | 4.9 | 12.9 | 1.8 | 0.5 | 1.0 | ||
| Mean | 15.2 | 8.2 | 119.6 | 3.1 | 43.0 | 14.4 | 7.2 | 17.7 | 2.2 | 0.9 | 1.4 | ||
| ±SD | 2.5 | 0.6 | 6.7 | 1.9 | 4.4 | 0.7 | 1.4 | 2.3 | 0.3 | 0.2 | 0.2 | ||
| Median | 14.1 | 8.1 | 121.0 | 2.6 | 42.7 | 14.5 | 7.5 | 18.6 | 2.1 | 0.9 | 1.4 | ||
| Azul P1 | Max | 23.22 | 9.82 | 94.75 | 2.10 | 33.55 | 14.89 | 7.32 | 14.85 | 2.99 | 1.47 | 1.97 | |
| Min | 14.58 | 7.57 | 72.29 | 0.40 | 25.62 | 13.10 | 6.08 | 12.12 | 2.36 | 1.01 | 1.64 | ||
| Mean | 19.03 | 8.37 | 86.36 | 1.23 | 29.06 | 13.74 | 6.60 | 13.22 | 2.67 | 1.19 | 1.78 | ||
| ±SD | 3.58 | 0.65 | 6.05 | 0.49 | 2.22 | 0.55 | 0.47 | 0.83 | 0.16 | 0.14 | 0.10 | ||
| Median | 21.69 | 8.49 | 85.80 | 1.20 | 28.98 | 13.70 | 6.49 | 13.06 | 2.65 | 1.16 | 1.80 | ||
| Azul P2 | Max | 22.63 | 9.59 | 122.51 | 16.60 | 57.95 | 14.74 | 4.02 | 15.53 | 3.27 | 1.84 | 2.79 | |
| Min | 15.06 | 7.44 | 85.35 | 0.20 | 24.40 | 12.95 | 0.12 | 11.09 | 2.40 | 0.96 | 1.69 | ||
| Mean | 17.85 | 8.22 | 95.25 | 3.27 | 30.60 | 13.65 | 0.96 | 12.80 | 2.58 | 1.44 | 1.89 | ||
| ±SD | 2.68 | 0.57 | 6.64 | 3.22 | 6.35 | 0.38 | 0.95 | 0.88 | 0.15 | 0.27 | 0.21 | ||
| Median | 17.36 | 8.22 | 92.75 | 2.45 | 28.67 | 13.75 | 0.78 | 12.71 | 2.55 | 1.40 | 1.82 | ||
| Verde P1 | Max | 22.28 | 10.46 | 142.44 | 14.50 | 62.83 | 16.20 | 7.43 | 18.86 | 3.70 | 1.66 | 3.03 | |
| Min | 14.80 | 7.34 | 53.85 | 0.80 | 34.77 | 14.61 | 5.46 | 16.17 | 2.03 | 0.82 | 1.96 | ||
| Mean | 16.92 | 8.52 | 109.81 | 3.92 | 40.20 | 15.17 | 6.82 | 17.39 | 2.32 | 1.12 | 2.28 | ||
| ±SD | 2.57 | 0.98 | 18.35 | 3.14 | 6.02 | 0.35 | 0.46 | 0.72 | 0.26 | 0.31 | 0.23 | ||
| Median | 15.87 | 8.40 | 112.78 | 2.75 | 37.73 | 15.20 | 6.98 | 17.17 | 2.28 | 0.97 | 2.22 | ||
| Verde P2 | Max | 22.24 | 10.41 | 123.98 | 2.20 | 39.65 | 16.77 | 8.16 | 18.98 | 2.90 | 0.99 | 2.54 | |
| Min | 14.94 | 8.48 | 102.19 | 2.00 | 34.16 | 14.61 | 6.96 | 16.08 | 1.74 | 0.74 | 2.04 | ||
| Mean | 18.71 | 9.37 | 114.54 | 2.10 | 36.83 | 15.61 | 7.41 | 17.66 | 2.20 | 0.89 | 2.19 | ||
| ±SD | 3.04 | 0.65 | 5.73 | 0.10 | 1.95 | 0.83 | 0.45 | 1.09 | 0.33 | 0.08 | 0.16 | ||
| Median | 17.71 | 9.55 | 114.28 | 2.10 | 36.91 | 15.60 | 7.23 | 17.87 | 2.13 | 0.91 | 2.15 | ||
| Azores | All | Max | 27.49 | 10.46 | 628.62 | 163.10 | 73.20 | 65.24 | 118.12 | 40.65 | 13.05 | 28.60 | 51.90 |
| Min | 11.00 | 6.04 | 22.17 | 0.20 | 1.83 | 4.86 | 1.85 | 1.66 | 0.07 | 0.07 | 0.25 | ||
| Mean | 16.02 | 8.11 | 113.80 | 6.72 | 33.59 | 15.71 | 10.22 | 13.04 | 2.45 | 2.55 | 3.86 | ||
| ±SD | 3.28 | 0.78 | 93.40 | 17.19 | 18.92 | 9.76 | 19.53 | 7.03 | 2.02 | 4.64 | 6.70 | ||
| Median | 15.16 | 8.06 | 112.71 | 2.20 | 36.42 | 14.24 | 6.99 | 12.19 | 1.99 | 1.44 | 2.08 | ||
Appendix B

Appendix C

Appendix D
| Island | Lake | Depth | δ18O | δ2H | δ13C-DIC | 87Sr/86Sr |
|---|---|---|---|---|---|---|
| ‰ | ||||||
| Corvo | Caldeirão East | Surface | −4.22 | −17.6 | −22.11 | n.d. |
| Bottom | −4.17 | −17.4 | −21.85 | 0.707744 | ||
| Caldeirão West | Surface | −3.89 | −18.1 | −22.77 | n.d. | |
| Bottom | −4.03 | −17.1 | −23.42 | 0.707846 | ||
| Flores | Funda | Surface | −3.20 | −11 | −13.32 | n.d. |
| Bottom | −3.25 | −11 | −13.43 | 0.704587 | ||
| Negra | Surface | −3.33 | −12 | −14.86 | n.d. | |
| Bottom | −1.03 | −9.2 | −19.86 | 0.704294 | ||
| Comprida | Surface | −2.74 | −12.7 | −21.05 | n.d. | |
| Bottom | −3.73 | −13.9 | −23.61 | 0.705787 | ||
| Pico | Capitão | Surface | −3.85 | −16.1 | −23.66 | n.d. |
| Bottom | −4.05 | −17.3 | −25.02 | 0.707846 | ||
| Caiado | Surface | −3.69 | −14.7 | −22.04 | n.d. | |
| Bottom | −3.85 | −15.1 | −23.20 | 0.707459 | ||
| Terceira | Algar do Carvão | Surface | −3.26 | −12.4 | −9.98 | n.d. |
| Bottom | −3.74 | −13.7 | −9.74 | 0.705636 | ||
| Graciosa | Furna do Enxofre | Surface | −3.48 | −13 | 0.65 | n.d. |
| Bottom | −3.39 | −12.5 | −0.21 | 0.705058 | ||
| São Miguel | Furnas P1 | Bottom | −2.69 | −9.7 | −7.96 | 0.705994 |
| Furnas P2 | Surface | −2.60 | −9.6 | −9.10 | n.d. | |
| Bottom | −2.66 | −9.6 | −12.69 | 0.706033 | ||
| Furnas P3 | Surface | −2.79 | −10.1 | −10.74 | n.d. | |
| Bottom | −2.67 | −10.2 | −11.18 | 0.706023 | ||
| Congro | Surface | −2.47 | −10.5 | −25.61 | n.d. | |
| Bottom | −2.32 | −8.1 | −7.21 | 0.706905 | ||
| Fogo P1 | Surface | −2.13 | −6.9 | −14.73 | n.d. | |
| Bottom | −2.31 | −8.5 | −14.70 | 0.708862 | ||
| Fogo P2 | Surface | −2.45 | −9.3 | −15.00 | n.d. | |
| Bottom | −2.32 | −8.8 | −20.57 | 0.709194 | ||
| Santiago | Surface | −2.20 | −7.9 | −28.10 | n.d. | |
| Bottom | −2.25 | −7.1 | −25.53 | 0.707443 | ||
| Azul P1 | Surface | −0.59 | 0.9 | −11.46 | n.d. | |
| Bottom | −0.52 | 0.9 | −17.46 | 0.707817 | ||
| Azul P2 | Surface | −0.63 | 0.6 | −12.88 | n.d. | |
| Bottom | −0.59 | 0.4 | −14.72 | 0.705977 | ||
| Verde P1 | Bottom | −1.47 | −5.2 | −12.30 | n.d. | |
| Surface | −1.26 | −2.3 | −17.53 | 0.705987 | ||
| Verde P2 | Surface | −1.61 | −4.6 | −13.66 | n.d. | |
| Bottom | −1.46 | −3.5 | −15.84 | 0.706477 | ||
Appendix E
| Lake | La | Ce | Pr | Nd | Sm | Eu | Gd | Tb | Dy | Ho | Er | Tm | Yb | Lu | ∑REE | Eu/Eu* |
|---|---|---|---|---|---|---|---|---|---|---|---|---|---|---|---|---|
| µg L−1 | ||||||||||||||||
| Summer | ||||||||||||||||
| Caldeirão West | 0.298 | 0.585 | 0.050 | 0.212 | 0.040 | 0.009 | 0.044 | 0.006 | 0.033 | 0.006 | 0.017 | 0.002 | 0.014 | 0.003 | 1.32 | 0.65 |
| Caldeirão East | 1.560 | 2.180 | 0.302 | 1.190 | 0.205 | 0.024 | 0.215 | 0.031 | 0.192 | 0.040 | 0.123 | 0.017 | 0.109 | 0.017 | 6.21 | 0.35 |
| Comprida | 0.279 | 0.542 | 0.048 | 0.180 | 0.036 | 0.009 | 0.037 | 0.005 | 0.025 | 0.005 | 0.014 | 0.002 | 0.013 | 0.002 | 1.20 | 0.75 |
| Funda | 2.200 | 3.180 | 0.465 | 1.870 | 0.336 | 0.030 | 0.365 | 0.050 | 0.299 | 0.061 | 0.170 | 0.023 | 0.143 | 0.02 | 9.21 | 0.26 |
| Negra | 0.630 | 1.120 | 0.144 | 0.547 | 0.099 | 0.015 | 0.098 | 0.014 | 0.081 | 0.017 | 0.052 | 0.008 | 0.047 | 0.007 | 2.88 | 0.46 |
| Caiado | 2.080 | 3.650 | 0.450 | 1.850 | 0.334 | 0.058 | 0.407 | 0.055 | 0.316 | 0.064 | 0.178 | 0.023 | 0.140 | 0.02 | 9.63 | 0.48 |
| Capitão | 0.163 | 0.374 | 0.034 | 0.140 | 0.031 | 0.007 | 0.030 | 0.004 | 0.022 | 0.004 | 0.011 | 0.002 | 0.009 | 0.002 | 0.83 | 0.69 |
| F.Enxofre | 0.381 | 0.594 | 0.058 | 0.247 | 0.046 | 0.009 | 0.052 | 0.007 | 0.036 | 0.007 | 0.020 | 0.003 | 0.017 | 0.003 | 1.48 | 0.56 |
| Algar do Carvão | 1.620 | 4.350 | 0.366 | 1.440 | 0.305 | 0.040 | 0.353 | 0.052 | 0.321 | 0.069 | 0.194 | 0.027 | 0.164 | 0.024 | 9.33 | 0.37 |
| Congro | 1.650 | 2.310 | 0.266 | 0.960 | 0.191 | 0.290 | 0.206 | 0.021 | 0.111 | 0.022 | 0.061 | 0.008 | 0.051 | 0.007 | 6.15 | 4.45 |
| Fogo P1 | 0.715 | 1.020 | 0.128 | 0.496 | 0.083 | 0.011 | 0.094 | 0.012 | 0.065 | 0.012 | 0.035 | 0.005 | 0.030 | 0.005 | 2.71 | 0.38 |
| Fogo P2 | 1.150 | 1.480 | 0.213 | 0.839 | 0.152 | 0.014 | 0.170 | 0.023 | 0.146 | 0.030 | 0.085 | 0.011 | 0.068 | 0.011 | 4.39 | 0.27 |
| Santiago | 1.280 | 1.980 | 0.202 | 0.827 | 0.145 | 0.013 | 0.207 | 0.028 | 0.179 | 0.038 | 0.108 | 0.015 | 0.084 | 0.012 | 5.12 | 0.23 |
| Furnas P1 | 0.485 | 1.030 | 0.125 | 0.526 | 0.104 | 0.014 | 0.098 | 0.013 | 0.064 | 0.012 | 0.033 | 0.004 | 0.025 | 0.004 | 2.54 | 0.42 |
| Furnas P2 | 1.210 | 2.450 | 0.298 | 1.270 | 0.255 | 0.028 | 0.246 | 0.032 | 0.183 | 0.033 | 0.085 | 0.011 | 0.066 | 0.01 | 6.18 | 0.34 |
| Azul P1 | 0.387 | 0.716 | 0.080 | 0.361 | 0.074 | 0.016 | 0.078 | 0.010 | 0.057 | 0.011 | 0.029 | 0.004 | 0.025 | 0.005 | 1.85 | 0.64 |
| Azul P2 | 0.668 | 0.974 | 0.120 | 0.439 | 0.073 | 0.014 | 0.083 | 0.010 | 0.058 | 0.012 | 0.034 | 0.005 | 0.031 | 0.003 | 2.53 | 0.55 |
| Verde P1 | 0.489 | 0.739 | 0.075 | 0.313 | 0.058 | 0.009 | 0.065 | 0.008 | 0.052 | 0.011 | 0.030 | 0.004 | 0.025 | 0.004 | 1.88 | 0.45 |
| Verde P2 | 2.030 | 2.670 | 0.347 | 1.330 | 0.229 | 0.024 | 0.270 | 0.039 | 0.234 | 0.050 | 0.152 | 0.020 | 0.137 | 0.019 | 7.55 | 0.29 |
| Winter | ||||||||||||||||
| Caldeirão West | 0.254 | 0.460 | 0.044 | 0.162 | 0.030 | 0.011 | 0.031 | 0.004 | 0.022 | 0.004 | 0.013 | 0.002 | 0.011 | 0.001 | 1.05 | 1.09 |
| Caldeirão East | 0.457 | 0.667 | 0.084 | 0.290 | 0.052 | 0.007 | 0.063 | 0.008 | 0.046 | 0.009 | 0.027 | 0.003 | 0.022 | 0.003 | 1.74 | 0.37 |
| Comprida | 0.775 | 1.200 | 0.101 | 0.381 | 0.066 | 0.022 | 0.085 | 0.010 | 0.054 | 0.011 | 0.034 | 0.004 | 0.028 | 0.004 | 2.78 | 0.90 |
| Funda | 0.403 | 0.527 | 0.047 | 0.162 | 0.027 | 0.008 | 0.033 | 0.004 | 0.019 | 0.004 | 0.013 | 0.002 | 0.011 | 0.002 | 1.26 | 0.82 |
| Negra | 0.275 | 0.433 | 0.051 | 0.210 | 0.041 | 0.010 | 0.048 | 0.007 | 0.038 | 0.008 | 0.021 | 0.003 | 0.012 | 0.002 | 1.16 | 0.69 |
| Caiado | 0.587 | 0.981 | 0.122 | 0.484 | 0.098 | 0.014 | 0.112 | 0.015 | 0.086 | 0.016 | 0.043 | 0.005 | 0.032 | 0.005 | 2.60 | 0.41 |
| Capitão | 1.040 | 1.760 | 0.223 | 0.854 | 0.150 | 0.018 | 0.155 | 0.020 | 0.113 | 0.021 | 0.059 | 0.007 | 0.045 | 0.007 | 4.47 | 0.36 |
| F.Enxofre | 3.260 | 5.350 | 0.545 | 2.200 | 0.397 | 0.041 | 0.534 | 0.073 | 0.455 | 0.098 | 0.284 | 0.038 | 0.225 | 0.035 | 13.54 | 0.27 |
| Algar do Carvão | 1.410 | 3.610 | 0.292 | 1.120 | 0.241 | 0.041 | 0.293 | 0.043 | 0.277 | 0.058 | 0.165 | 0.023 | 0.137 | 0.02 | 7.73 | 0.47 |
| Congro | 1.060 | 1.310 | 0.202 | 0.739 | 0.123 | 0.010 | 0.125 | 0.018 | 0.098 | 0.019 | 0.056 | 0.007 | 0.049 | 0.007 | 3.82 | 0.24 |
| Fogo P1 | 0.743 | 1.140 | 0.111 | 0.417 | 0.074 | 0.018 | 0.080 | 0.010 | 0.054 | 0.010 | 0.030 | 0.004 | 0.027 | 0.004 | 2.72 | 0.71 |
| Fogo P2 | 1.330 | 1.590 | 0.245 | 1.040 | 0.192 | 0.017 | 0.235 | 0.033 | 0.185 | 0.038 | 0.103 | 0.013 | 0.073 | 0.011 | 5.11 | 0.24 |
| Santiago | 0.920 | 1.160 | 0.176 | 0.676 | 0.113 | 0.011 | 0.111 | 0.014 | 0.077 | 0.016 | 0.047 | 0.007 | 0.039 | 0.006 | 3.37 | 0.30 |
| Furnas P1 | 0.890 | 1.500 | 0.165 | 0.698 | 0.113 | 0.011 | 0.155 | 0.022 | 0.132 | 0.028 | 0.081 | 0.010 | 0.060 | 0.009 | 3.87 | 0.25 |
| Furnas P2 | 0.645 | 0.765 | 0.118 | 0.430 | 0.070 | 0.008 | 0.066 | 0.008 | 0.042 | 0.008 | 0.023 | 0.003 | 0.018 | 0.003 | 2.21 | 0.35 |
| Azul P1 | 0.670 | 1.090 | 0.114 | 0.428 | 0.069 | 0.010 | 0.075 | 0.010 | 0.052 | 0.011 | 0.030 | 0.004 | 0.026 | 0.004 | 2.59 | 0.42 |
| Azul P2 | 0.525 | 0.851 | 0.089 | 0.354 | 0.063 | 0.009 | 0.071 | 0.009 | 0.048 | 0.010 | 0.028 | 0.004 | 0.023 | 0.004 | 2.09 | 0.41 |
| Verde P1 | 1.710 | 3.510 | 0.452 | 1.780 | 0.339 | 0.037 | 0.326 | 0.043 | 0.234 | 0.043 | 0.121 | 0.016 | 0.103 | 0.014 | 8.73 | 0.34 |
| Verde P2 | 0.203 | 0.270 | 0.037 | 0.154 | 0.031 | 0.008 | 0.036 | 0.005 | 0.034 | 0.009 | 0.028 | 0.004 | 0.024 | 0.004 | 0.85 | 0.73 |
| Sediments (mg L−1) | ||||||||||||||||
| Caldeirão West | 33.50 | 83.40 | 7.32 | 30.50 | 5.67 | 1.79 | 4.86 | 0.73 | 4.13 | 0.76 | 1.88 | 0.26 | 1.65 | 0.23 | 176.68 | 1.02 |
| Caldeirão East | 35.30 | 94.00 | 7.77 | 31.60 | 5.93 | 1.96 | 5.12 | 0.79 | 4.28 | 0.80 | 1.98 | 0.28 | 1.74 | 0.23 | 191.78 | 1.06 |
| Comprida | 32.70 | 65.70 | 6.80 | 27.70 | 4.76 | 1.41 | 4.16 | 0.61 | 3.39 | 0.67 | 1.70 | 0.24 | 1.48 | 0.21 | 151.53 | 0.95 |
| Funda | 25.10 | 54.80 | 5.44 | 19.80 | 3.59 | 1.06 | 3.06 | 0.43 | 2.50 | 0.45 | 1.25 | 0.16 | 1.03 | 0.16 | 118.83 | 0.95 |
| Negra | 7.26 | 13.80 | 1.48 | 5.98 | 1.23 | 0.32 | 0.92 | 0.12 | 0.63 | 0.14 | 0.37 | 0.06 | 0.46 | 0.06 | 32.84 | 0.89 |
| Caiado | 30.30 | 83.60 | 10.20 | 44.40 | 9.50 | 3.25 | 8.74 | 1.31 | 7.50 | 1.38 | 3.52 | 0.50 | 3.09 | 0.44 | 207.73 | 1.07 |
| Capitão | 25.30 | 69.50 | 7.66 | 33.80 | 7.06 | 2.30 | 6.48 | 0.99 | 5.81 | 1.10 | 2.73 | 0.39 | 2.44 | 0.33 | 165.89 | 1.02 |
| F.Enxofre | 27.50 | 52.60 | 6.63 | 27.50 | 5.69 | 1.78 | 5.57 | 0.83 | 4.43 | 0.86 | 2.31 | 0.31 | 2.10 | 0.31 | 138.42 | 0.96 |
| Algar do Carvão | 87.60 | 148.00 | 22.30 | 86.80 | 20.50 | 2.76 | 21.90 | 3.55 | 24.10 | 5.49 | 15.70 | 2.24 | 14.20 | 1.87 | 457.01 | 0.40 |
| Congro | 62.30 | 126.00 | 12.60 | 43.00 | 7.03 | 0.62 | 5.71 | 0.83 | 5.02 | 0.89 | 2.43 | 0.35 | 2.27 | 0.32 | 269.36 | 0.29 |
| Fogo | 159.00 | 300.00 | 32.10 | 104.00 | 16.30 | 1.09 | 12.60 | 2.03 | 11.70 | 2.27 | 6.04 | 0.91 | 5.87 | 0.88 | 654.79 | 0.22 |
| Santiago | 66.00 | 138.00 | 13.60 | 47.90 | 8.13 | 1.44 | 6.50 | 0.95 | 5.48 | 1.12 | 3.07 | 0.44 | 2.82 | 0.41 | 295.86 | 0.59 |
| Furnas P1 | 151.00 | 296.00 | 31.50 | 104.00 | 16.10 | 1.38 | 12.60 | 1.99 | 11.30 | 2.21 | 5.94 | 0.86 | 5.54 | 0.79 | 641.21 | 0.29 |
| Furnas P2 | 144.00 | 284.00 | 28.90 | 96.70 | 16.10 | 1.27 | 12.40 | 1.80 | 10.50 | 2.03 | 5.83 | 0.78 | 5.04 | 0.69 | 610.04 | 0.27 |
| Azul P1 | 128.00 | 252.00 | 27.00 | 92.00 | 15.20 | 2.86 | 12.30 | 1.91 | 11.10 | 2.07 | 5.94 | 0.86 | 5.56 | 0.77 | 557.57 | 0.62 |
| Verde P1 | 64.60 | 126.00 | 13.10 | 44.60 | 7.32 | 1.29 | 5.55 | 0.91 | 5.28 | 0.98 | 2.80 | 0.38 | 2.57 | 0.38 | 275.76 | 0.60 |
References
- Hutchinson, G.E. A Treatise on Limnology, Vol. 1, Geography, Physics, and Chemistry; John Wiley & Sons: New York, NY, USA, 1957; p. 1015. [Google Scholar]
- Wetzel, R.G. Limnology: Lake and River Ecosystems, 3rd ed.; Academic Press: San Diego, CA, USA, 2001; p. 1006. [Google Scholar]
- Meybeck, M. Global distribution of lakes. In Physics and Chemistry of Lakes; Lerman, A., Imboden, D.M., Gat, J.R., Eds.; Springer: Berlin, Germany, 1995; pp. 1–35. [Google Scholar]
- Berner, E.K.; Berber, R.A. Global Environment: Water, Air and Geochemical Cycles, 2nd ed.; Princeton University Press: Princeton, NJ, USA, 2012; p. 444. [Google Scholar]
- Christenson, B.; Németh, K.; Rouwet, D.; Tassi, F.; Vandemeulebrouck, J.; Varekamp, J.C. Volcanic Lakes. In Volcanic Lakes; Advances in, Volcanology; Rouwet, D., Christenson, B., Tassi, F., Vandemeulebrouck, J., Eds.; Springer: Heidelberg, Germany, 2015; pp. 1–20. [Google Scholar]
- Varekamp, J.C. The Chemical Composition and Evolution of Volcanic Lakes in Volcanic Lakes; Advances in Volcanology; Rouwet, D., Christenson, B., Tassi, F., Vandemeulebrouck, J., Eds.; Springer: Berlin, Germany, 2015. [Google Scholar]
- Peralta-Guevara, D.E.; Quispe-Quispe, Y.; PalominoMalpartida, Y.G.; Aronés-Medina, E.G.; Correa-Cuba, O.; Aróstegui León, E.; Carhuarupay-Molleda, Y.F.; Alzamora-Flores, H.; Licapa Redolfo, R.; Pumallihua Ramos, M.; et al. A High Andean Lake: A Current Look at Anthropogenic Activities and Water Quality. Water 2025, 17, 1182. [Google Scholar] [CrossRef]
- Smith, V.H. Eutrophication of Freshwater and Coastal Marine Ecosystems: A Global Problem. Environ. Sci. Pollut. Res. 2003, 10, 126–139. [Google Scholar] [CrossRef]
- Marchetto, A.; Mosello, R.; Psenner, R.; Bendetta, G.; Boggero, A.; Tait, D.; Tartari, G.A. Factors affecting water chemistry of alpine lakes. Aquat. Sci. 1995, 57, 81–89. [Google Scholar] [CrossRef]
- Anshumali, A.L.R. Seasonal variation in the major ion chemistry of Pandoh Lake, Mandi District, Himachal Pradesh, India. Appl. Geochem. 2007, 22, 1736–1747. [Google Scholar] [CrossRef]
- Dugan, H.A.; Summers, J.C.; Skaff, N.K.; Krivak-Tetley, F.E.; Doubek, J.P.; Burke, S.M.; Bartlett, S.L.; Arvola, L.; Jarjanazi, H.; Korponai, J.; et al. Long-term chloride concentrations in North American and European freshwater lakes. Sci. Data 2017, 4, 170101. [Google Scholar] [CrossRef] [PubMed]
- Tao, Y.; Yuan, Z.; Fengchang, W.; Wei, M. Six-Decade Change in Water Chemistry of Large Freshwater Lake Taihu, China. Environ. Sci. Technol. 2013, 47, 9093–9101. [Google Scholar] [CrossRef]
- Andrade, C.; Cruz, J.V.; Viveiros, F.; Moreno, L.; Ferreira, L.; Coutinho, R. Hydrogeochemical evolution and characterization study in volcanic lakes of the Azores archipelago (Portugal). Appl. Geochem. 2024, 164, 105933. [Google Scholar] [CrossRef]
- Tornimbeni, O.; Rogora, M. An Evaluation of Trace Metals in High-Altitude Lakes of the Central Alps: Present Levels, Origins and Possible Speciation in Relation to pH Values. Water Air Soil Pollut. 2012, 223, 1895–1909. [Google Scholar] [CrossRef]
- Moiseenko, T.I.; Skjelkvåle, B.L.; Gashkina, N.A.; Shalabodov, A.D.; Khoroshavin, V.Y. Water chemistry in small lakes along a transect from boreal to arid ecoregions in European Russia: Effects of air pollution and climate change. Appl. Geochem. 2013, 28, 69–79. [Google Scholar] [CrossRef]
- Salmon, S.U.; Hipsey, M.R.; Wake, G.W.; Ivey, G.N.; Oldham, C.E. Quantifying lake water quality evolution: Coupled geochemistry, hydrodynamics, and aquatic ecology in an acidic pit lake. Environ. Sci. Technol. 2017, 51, 9864–9875. [Google Scholar] [CrossRef]
- Santolaria, Z.; Arruebo, T.; Pardo, A.; Rodríguez-Casals, C.; Matesanz, J.M.; Lanaja, F.J.; Urieta, J.S. Natural and anthropic effects on hydrochemistry and major and trace elements in the water mass of a Spanish Pyrenean glacial lake set. Environ. Monit. Assess. 2017, 189, 324. [Google Scholar] [CrossRef] [PubMed]
- Liu, Y.; Wang, J.; Ren, Z.; Wang, H. Geochemical signatures of water bodies and sources in the Qinghai Lake area, China. Appl. Ecol. Environ. Res. 2019, 17, 8667–8678. [Google Scholar] [CrossRef]
- Sojka, M.; Choinski, A.; Ptak, M.; Siepak, M. The Variability of Lake Water Chemistry in the Bory Tucholskie National Park (Northern Poland). Water 2020, 12, 394. [Google Scholar] [CrossRef]
- Meier, S.D.; Atekwana, E.A.; Molwalefhe, L.; Atekwana, E.A. Processes that control water chemistry and stable isotopic composition during the refilling of Lake Ngami in semiarid northwest Botswana. J. Hydrol. 2015, 527, 420–432. [Google Scholar] [CrossRef]
- Meredith, K.T.; Saunders, K.M.; McDonough, L.K.; McGeoch, M. Hydrochemical and isotopic baselines for understanding hydrological processes across Macquarie Island. Sci. Rep. 2022, 12, 21266. [Google Scholar] [CrossRef]
- Zhang, Y.; Wang, S.; Xu, W.; Zhang, B.; Yi, L.; Lu, X. Geochemical Characteristics and Their Environmental Implications for the Water Regime of Hulun Lake, Inner Mongolia, China. Water 2022, 14, 3696. [Google Scholar] [CrossRef]
- Slukovskii, Z.; Dauvalter, V.; Guzeva, A.; Denisov, D.; Cherepanov, A.; Siroezhko, E. The Hydrochemistry and Recent Sediment Geochemistry of Small Lakes of Murmansk, Arctic Zone of Russia. Water 2020, 12, 1130. [Google Scholar] [CrossRef]
- Mimba, M.E.; Judem, W.M.; Fils, S.C.N.; Numanami, N.; Nforba, M.T.; Ohba, T.; Aka, F.T.; Suh, C.E. Geochemical Behavior of REE in Stream Water and Sediments in the Gold-Bearing Lom Basin Cameroon: Implications for Provenance and Depo-sitional Environment. Aquat. Geochem. 2020, 26, 53–70. [Google Scholar] [CrossRef]
- Playà, E.; Cendón, D.I.; Travé, A.; Chivas, A.R.; García, A. Non-marine evaporites with both inherited marine and continental signatures: The Gulf of Carpentaria, Australia, at ~70 ka. Sediment. Geol. 2007, 201, 267–285. [Google Scholar] [CrossRef]
- Leybourne, M.I.; Johannesson, K.H. Rare earth elements (REE) and yttrium in stream waters, stream sediments, and Fe–Mn oxyhydroxides: Fractionation, speciation, and controls over REE+ Y patterns in the surface environment. Geochim. Cosmochim. Acta 2008, 72, 5962–5983. [Google Scholar] [CrossRef]
- Johannesson, K.H.; Stetzenbach, K.J.; Hodge, V.F. Rare earth elements as geochemical tracers of regional groundwater mixing. Geochim. Cosmochim. Acta 1997, 61, 3605–3618. [Google Scholar] [CrossRef]
- Dia, A.; Gruau, G.; Olivié-Lauquet, G.; Riou, C.; Molénat, J.; Curmi, P. The distribution of rare earth elements in groundwaters: Assessing the role of source-rock composition, redox changes and colloidal particles. Geochem. Cosmochim. Acta 2000, 64, 4131–4151. [Google Scholar] [CrossRef]
- Möller, P.; Dulski, P.; Bau, M.; Knappe, A.; Pekdeger, A.; Jarmersted, C.S. Anthropogenic gadolinium as a conservative tracer in hydrogeology. J. Geochem. Explor. 2000, 69–70, 409–414. [Google Scholar] [CrossRef]
- Tang, J.; Johannesson, K.H. Rare earth element concentrations, speciation, and fractionation along groundwater fow paths; the Carrizo Sand (Texas) and Upper Floridan aquifers. In Rare Earth Elements in Groundwater Flow Systems; Johannesson, K.J., Ed.; Springer: Berlin, Germany, 2005; pp. 223–251. [Google Scholar]
- Pereto, C.; Coynel, A.; Lerat-Hardy, A.; Gourves, P.Y.; Schäfer, J.; Baudrimont, M. Corbicula fluminea: A sentinel species for urban Rare Earth Elements origin. Sci. Total Environ. 2020, 732, 138552. [Google Scholar] [CrossRef] [PubMed]
- Larsen, W.; Liu, X.M.; Riveros-Iregui, D.A. Rare earth element behavior in springs and streams on a basaltic Island: San Cristóbal, Galápagos. Appl. Geochem. 2021, 131, 105004. [Google Scholar] [CrossRef]
- Tang, J.; Johannesson, K.H. Speciation of rare earth elements in natural terrestrial waters: Assessing the role of dissolved organic matter from the modeling approach. Geochim. Cosmochim. Acta 2003, 67, 2321–2339. [Google Scholar] [CrossRef]
- Johannesson, K.H.; Lyons, W.B.; Bird, D.A. Rare earth element concentrations and speciation in alkaline lakes from the western USA. Geophys. Res. Lett. 1994, 21, 773–776. [Google Scholar] [CrossRef]
- Ojiambo, S.B.; Lyons, W.B.; Welch, K.A.; Poredac, R.J.; Johannesson, K.H. Strontium isotopes and rare earth elements as tracers of groundwater–lake water interactions, Lake Naivasha, Kenya. Appl. Geochem. 2003, 18, 1789–1805. [Google Scholar] [CrossRef]
- Traore, M.; He, Y.; Wang, Y.; Gong, A.; Qiu, L.; Bai, Y.; Liu, Y.; Zhang, M.; Chen, Y.; Huang, X. Research progress on the content and distribution of rare earth elements in rivers and lakes in China. Mar. Pollut. Bull. 2023, 191, 114916. [Google Scholar] [CrossRef]
- Kreismann, T.; Bau, M. Rare earth elements in alkaline Lake Neusiedl, Austria, and the use of gadolinium microcontamination as water source tracer. Appl. Geochem. 2023, 159, 105792. [Google Scholar] [CrossRef]
- Zhang, P.; Zhang, Z.; Liang, L.; Li, L.; Cao, C.; Edwards, R.L. Provenance Indication of Rare Earth Elements in Lake Particulates from Environmentally Sensitive Regions. Water 2023, 15, 3700. [Google Scholar] [CrossRef]
- Junqueira, T.; Stetson, N.B.; Richardson, V.; Leybourne, M.I.; Vriens, B. Rare earth element distribution patterns in Lakes Huron, Erie, and Ontario. J. Hydrol. 2024, 629, 130652. [Google Scholar] [CrossRef]
- Morton-Bermea, O.; Armienta, M.A.; Ramos, S. Rare-earth element distribution in water from El Chichón Volcano Crater Lake, Chiapas Mexico. Geofísica Int. 2010, 49, 43–54. [Google Scholar] [CrossRef]
- Négrel, P.; Fouillac, C.; Brach, M. A strontium isotopic study of mineral and surface waters from the Cézallier (Massif Central, France): Implications for mixing processes in areas of disseminated emergences of mineral waters. Chem. Geol. 1997, 135, 89–101. [Google Scholar] [CrossRef]
- Shand, P.; Darbyshire, D.P.F.; Love, A.J.; Edmunds, W.M. Sr isotopes in natural waters: Applications to source characterisation and water-rock interaction in contrasting landscapes. Appl. Geochem. 2009, 24, 574–586. [Google Scholar] [CrossRef]
- Marques, J.M.; Carreira, P.M.; Goff, F.; Eggenkamp, H.G.M.; Antunes da Silva, M. Input of 87Sr/86Sr ratios and Sr geochemical signatures to update knowledge on thermal and mineral waters flow paths in fractured rocks (N-Portugal). Appl. Geochem. 2012, 27, 1471–1481. [Google Scholar] [CrossRef]
- Capo, R.C.; Stewart, B.W.; Chadwick, O.A. Strontium isotopes as tracers of ecosystem processes: Theory and methods. Geoderma 1998, 82, 197–225. [Google Scholar] [CrossRef]
- Lyons, W.B.; Nezat, C.A.; Benson, L.V.; Bullen, T.D.; Graham, E.Y.; Kidd, J.; Welch, K.A.; Thomas, J.M.Z. Strontium Isotopic Signatures of the Streams and Lakes of Taylor Valley, Southern Victoria Land, Antarctica: Chemical Weathering in a Polar Climate. Aquat. Geochem. 2002, 8, 75–95. [Google Scholar] [CrossRef]
- Demonterova, E.I.; Ivanov, A.V.; Sklyarov, E.V.; Pashkova, G.V.; Klementiev, A.M.; Tyagun, M.L.; Vanin, V.A.; Vologina, E.G.; Yakhnenko, A.S.; Yakhnenko, M.S.; et al. 87Sr/86Sr of Lake Baikal: Evidence for rapid homogenization of water. Appl. Geochem. 2022, 144, 105420. [Google Scholar] [CrossRef]
- Pacheco, J.M.; Ferreira, T.; Queiroz, G.; Wallenstein, N.; Coutinho, R.; Cruz, J.V.; Pimentel, A.; Silva, R.; Gaspar, J.L.; Goulart, C. Notas sobre a geologia do arquipélago dos Açores. In Geologia de Portugal; Dias, R., Araújo, A., Terrinha, P., Kullberg, J.C., Eds.; Escolar Editora: Lisboa, Portugal, 2013; pp. 595–690. (In Portuguese) [Google Scholar]
- Carmo, R.; Madeira, J.; Ferreira, T.; Queiroz, G.; Hipólito, A. Volcano-tectonic structures of São Miguel Island, Azores. In Volcanic Geology of São Miguel Island (Azores Archipelago); Gaspar, J.L., Guest, J.E., Duncan, A.M., Barriga, F.J.A.S., Chester, D.K., Eds.; The Geological Society Memoirs; Geological Society: London, UK, 2015; Volume 44, pp. 65–86. [Google Scholar]
- Gaspar, J.L.; Queiroz, G.; Ferreira, T.; Medeiros, A.R.; Goulart, C.; Medeiros, J. Earthquakes and volcanic eruptions in the Azores region: Geodynamic implications from major historical events and instrumental seismicity. In Volcanic Geology of São Miguel Island (Azores Archipelago); Gaspar, J.L., Guest, J.E., Duncan, A.M., Barriga, F.J.A.S., Chester, D.K., Eds.; The Geological Society Memoirs; Geological Society: London, UK, 2015; Volume 44, pp. 33–49. [Google Scholar]
- Gaspar, J.L.; Queiroz, G.; Pacheco, J.M.; Ferreira, T.; Wallenstein, N.; Almeida, M.H.; Coutinho, R. Basaltic lava balloons produced during the 1998–2001 Serreta submarine ridge eruption (Azores). In Explosive Subaqueous Volcanism; White, J.D.L., Smellie, J.L., Clague, D.A., Eds.; Geophysical Monograph 140; American Geophysical Union: Washington, DC, USA, 2003; pp. 205–212. [Google Scholar]
- Madureira, P.; Rosa, C.; Marques, A.F.; Silva, P.; Moreira, M.; Hamelin, C.; Relvas, J.; Lourenço, N.; Conceição, P.; De Abreu, M.P.; et al. The 1998–2001 submarine lava balloon eruption at the Serreta ridge (Azores archipelago): Constraints from volcanic facies architecture, isotope geochemistry and magnetic data. J. Volcanol. Geotherm. Res. 2017, 329, 13–29. [Google Scholar] [CrossRef][Green Version]
- Sibrant, A.L.; Hildenbrand, A.; Marques, F.O.; Costa, A.C. Volcano-tectonic evolution of the SantaMaria Island (Azores): Implications for palaeostress evolution at the western Eurasia-Nubia late boundary. J. Volcanol. Geotherm. Res. 2015, 291, 49–62. [Google Scholar] [CrossRef]
- Serralheiro, A.; Madeira, J. Stratigraphy and geochronology of Santa Maria island (Azores). In Livro de Homenagem a Carlos Romariz; Seção de Geologia Económica e Aplicada, Departamento de Geologia da Faculdade de Ciências de Lisboa: Lisboa, Portugal, 1990; pp. 357–376. [Google Scholar]
- Madeira, J. Estudos de Neotectónica nas Ilhas do Faial, Pico e S. Jorge: Uma Contribuição Para o Conhecimento da Junção Tripla dos Açores. Ph.D. Thesis, University of Lisboa, Lisboa, Portugal, 1998. [Google Scholar]
- Nunes, J.C. A Actividade Vulcânica na Ilha do Pico do Plistocénico Superior ao Holocénico: Mecanismo Eruptivo e Hazard Vulcânico. Ph.D. Thesis, University of the Azores, Ponta Delgada, Portugal, 1999. (In Portuguese with English Abstract). [Google Scholar]
- França, Z. Origem e Evolução Petrológica e Geoquímica do Vulcanismo da Ilha do Pico. Ph.D. Thesis, University of the Azores, Ponta Delgada, Portugal, 2000. (In Portuguese with English Abstract). [Google Scholar]
- Mourisseau, M. Les Eruptions Hydromagmatiques et Les Xenolites Associes: Signification Geothermique. Exemples de Flores et de Faial (Açores). Ph.D. Thesis, Université de Paris XI, Orsay, France, 1987. [Google Scholar]
- Gaspar, J.L. Ilha Graciosa (Açores). História Vulcanológica e Avaliação do Hazard. Ph.D. Thesis, University of the Azores, Ponta Delgada, Portugal, 1996. (In Portuguese with English Abstract). [Google Scholar]
- Azevedo, J.M. Geologia e Hidrogeologia da Ilha das Flores (Açores—Portugal). Ph.D. Thesis, University of Coimbra, Coimbra, Portugal, 1998. [Google Scholar]
- Cole, P.D.; Guest, J.E.; Queiroz, G.; Wallenstein, N.; Duncan, A.M.; Pacheco, J.; Gaspar, J.L.; Ferreira, T. Styles of Volcanism and Volcanic Hazards on Furnas Volcano, São Miguel, Azores. J. Volcanol. Geotherm. Res. 1999, 92, 39–54. [Google Scholar] [CrossRef]
- Guest, J.E.; Gaspar, J.L.; Cole, P.; Queiroz, G.; Duncan, A.M.; Wallenstein, N.; Ferreira, T.; Pacheco, J.M. Volcanic Geology of Furnas Volcano, São Miguel, Açores. J. Volcanol. Geotherm. Res. 1999, 92, 1–29. [Google Scholar] [CrossRef]
- Queiroz, G.; Pacheco, J.M.; Gaspar, J.L.; Aspinall, W.P.; Guest, J.E.; Ferreira, T. The last 5000 years of activity at Sete Cidades volcano (São Miguel Island, Azores): Implications for hazard assessment. J. Volcanol. Geotherm. Res. 2008, 178, 562–573. [Google Scholar] [CrossRef]
- Gaspar, J.L.; Guest, J.E.; Queiroz, G.; Pacheco, J.M.; Pimentel, A.; Gomes, A.; Marques, R.; Felpeto, A.; Ferreira, T.; Wallenstein, N. Eruptive frequency and volcanic hazards zonation in São Miguel Island, Azores. In Volcanic Geology of São Miguel Island (Azores Archipelago); Gaspar, J.L., Guest, J.E., Duncan, A.M., Barriga, F.J.A.S., Chester, D.K., Eds.; The Geological Society Memoirs; Geological Society: London, UK, 2015; Volume 44, pp. 155–166. [Google Scholar]
- Abdel-Monen, A.; Fernandez, L.; Boone, G. K/Ar ages from the eastern Azores group (Santa Maria, São Miguel and the Formigas Islands). Lithos 1975, 4, 247–254. [Google Scholar] [CrossRef]
- Chovelon, P. Évolution Volcanotectonique des Iles de Faial et de Pico, Archipel des Açores—Atlantique Nord. Ph.D. Thesis, Université Paris-Sud, Paris, France, 1982. [Google Scholar]
- Booth, B.; Croasdale, R.; Walker, G. A quantitative study of five thousand years of volcanism on São Miguel Azores. Philos. Trans. R. Soc. Lond. 1978, 288, 271–319. [Google Scholar]
- Moore, R.B. Geology of Three Late Quaternary Stratovolcanoes on São Miguel, Azores; US Geological Survey Bulletin 1900: Washington, DC, USA, 1991. [Google Scholar]
- Queiroz, G. Vulcão das Sete Cidades (S.Miguel, Açores)—História Eruptiva e Avaliação do Hazard. Ph.D. Thesis, University of the Azores, Ponta Delgada, Portugal, 1998. (In Portuguese with English Abstract). [Google Scholar]
- Wallenstein, N.; Duncan, A.M.; Guest, J.E.; Almeida, M.H. Eruptive history of Fogo Volcano, São Miguel, Azores. In Volcanic Geology of São Miguel Island (Azores Archipelago); Gaspar, J.L., Guest, J.E., Duncan, A.M., Barriga, F.J.A.S., Chester, D.K., Eds.; The Geological Society Memoirs; Geological Society: London, UK, 2015; Volume 44, pp. 105–123. [Google Scholar]
- Dias, J.L.F. Geologia e Tectónica da Ilha do Corvo (Açores-Portugal): Contributos Para o Ordenamento do Espaço Físico. Master’s Thesis, Universidade de Coimbra, Coimbra, Portugal, 2001. [Google Scholar]
- França, Z.; Cruz, J.V.; Nunes, J.C.; Forjaz, V.H. Geologia dos Açores: Uma perspetiva actual. Açoreana 2003, 10, 11–140. (In Portuguese) [Google Scholar]
- Melo, C.S.; Ramalho, R.S.; Quartau, R.; Hipólito, A.; Gil, A.; Borges, P.A.; Cardigos, F.; Ávila, S.P.; Madeira, J.; Gaspar, J.L. Genesis and morphological evolution of coastal talus-platforms (fajãs) with lagoons: The case study of the newly-formed Fajã dos Milagres (Corvo Island, Azores). Geomorphology 2018, 310, 138–152. [Google Scholar] [CrossRef]
- Larrea, P.; França, Z.; Lago, M.; Widom, E.; Galé, C.; Ubide, T. Magmatic processes and the role of antecrysts in the genesis of Corvo Island (Azores Archipelago, Portugal). J. Pet. 2013, 54, 769–793. [Google Scholar] [CrossRef]
- Sáez, A.; Hernández, A.; Pimentel, A.; Andrade, M.; Bao, R.; Raposeiro, P.M.; Gonçalves, V.; Benavente, M.; Pla-Rabes, S.; Ramalho, R.; et al. Westerlies migrations and volcanic records over the past 4000 years from the Azores lacustrine sequences. Exploring correlations and impacts on Western Europe. Glob. Planet. Change 2025, 246, 104698. [Google Scholar] [CrossRef]
- Moore, R.; Rubin, M. Radiocarbon dates for lava flows and pyroclastic deposits on São Miguel, Azores. Radiocarbon 1991, 33, 151–164. [Google Scholar] [CrossRef]
- Conte, E.; Widomchiodini, E.; Kuentz, D.; França, Z. 14C and U-series disequilibria age constraints from recent eruptions at Sete Cidades volcano, Azores. J. Volcanol. Geotherm. Res. 2019, 373, 167–178. [Google Scholar] [CrossRef]
- Andrade, M.; Pimentel, A.; Ramalho, R.; Kutterolf, S.; Hernández, A. The recent volcanism of Flores Island (Azores): Stratigraphy and eruptive history of Funda Volcanic System. J. Volcanol. Geotherm. Res. 2022, 432, 107706. [Google Scholar] [CrossRef]
- Andrade, M.; Ramalho, R.; Pimentel, A.; Kutterolf, S.; Hernández, A. The recent volcanism of Flores Island (Azores), Part II: Stratigraphy and eruptive history of the Comprida Volcanic System. J. Volcanol. Geotherm. Res. 2023, 438, 107806. [Google Scholar] [CrossRef]
- Drotrh-Inag. Plano Regional da Água; Relatório Técnico (Regional Water Plan); Report Drotrh-Inag: Ponta Delgada, Portugal, 2001. (In Portuguese) [Google Scholar]
- Andrade, C.; Viveiros, F.; Cruz, J.V.; Coutinho, R.; Silva, C. Estimation of the CO2 flux from Furnas volcanic lake (São Miguel, Azores). J. Volcanol. Geotherm. Res. 2016, 315, 51–64. [Google Scholar] [CrossRef]
- Andrade, C.; Viveiros, F.; Cruz, J.V.; Branco, R.; Moreno, L.; Silva, C.; Coutinho, R.; Pacheco, J. Diffuse CO2 flux emission in two maar crater lakes from São Miguel (Azores, Portugal). J. Volcanol. Geotherm. Res. 2019, 369, 188–202. [Google Scholar] [CrossRef]
- Andrade, C.; Cruz, J.V.; Viveiros, F.; Coutinho, R. CO2 flux from volcanic lakes in the western group of the Azores archipelago (Portugal). Water 2019, 11, 599. [Google Scholar] [CrossRef]
- Andrade, C.; Cruz, J.V.; Viveiros, F.; Branco, R.; Coutinho, R. CO2 degassing from Pico Island (Azores, Portugal) volcanic lakes. Limnologica 2019, 76, 72–81. [Google Scholar] [CrossRef]
- Andrade, C.; Viveiros, F.; Cruz, J.V.; Coutinho, R.; Branco, R. CO2 flux from two lakes in volcanic caves in the Azores (Portugal). Appl. Geochem. 2019, 102, 218–228. [Google Scholar] [CrossRef]
- Andrade, C.; Cruz, J.V.; Viveiros, F.; Coutinho, R. CO2 emissions from Fogo intracaldeira volcanic lakes (São Miguel Island, Azores): A tool for volcanic monitoring. J. Volcanol. Geotherm. Res. 2020, 400, 106915. [Google Scholar] [CrossRef]
- Andrade, C.; Cruz, J.V.; Viveiros, F.; Coutinho, R. Diffuse CO2 emissions from Sete Cidades volcanic lake (São Miguel Island, Azores): Influence of eutrophication processes. Environ. Pollut. 2020, 268, 115624. [Google Scholar] [CrossRef] [PubMed]
- Cruz, J.V.; Pacheco, D.; Porteiro, J.; Cymbron, R.; Mendes, S.; Malcata, A.; Andrade, C. Sete Cidades and Furnas lake eutrophication (São Miguel, Azores): Analysis of long-term monitoring data and remediation measures. Sci. Total Environ. 2015, 520, 168–186. [Google Scholar] [CrossRef] [PubMed]
- Pacheco, D.; Malcata, A.; Mendes, S.; Cruz, J.V.; Gaspar, J.L. Monitorização da Qualidade da Água das Lagoas de São Miguel; Comparação de Resultados entre 2004 e 2008; SRAM: Ponta Delgada, Portugal, 2010. (In Portuguese) [Google Scholar]
- Cruz, J.V.; Antunes, P.; França, Z.; Nunes, J.C.; Amaral, C. Volcanic lakes from the Azores archipelago (Portugal): Geological setting and geochemical characterization. J. Volcanol. Geotherm. Res. 2006, 156, 135–157. [Google Scholar] [CrossRef]
- Porteiro, J. Lagoas dos Açores: Elementos de Suporte ao Planeamento Integrado. Ph.D. Thesis, University of the Azores, Ponta Delgada, Portugal, 2000. (In Portuguese). [Google Scholar]
- Drotrh. Plano de Gestão da Região Hidrográfica dos Açores—RH9; Versão Para Consulta Pública (Azores River Basin Management Plan); Report Drotrh: Ponta Delgada, Portugal, 2021. (In Portuguese) [Google Scholar]
- Martini, M.; Giannini, L.; Prati, F.; Tassi, F.; Capaccioni, B.; Iozzelli, P. Chemical characters of crater lakes in the Azores and Italy: The anomaly of Lake Albano. Geochem. J. 1994, 28, 173–184. [Google Scholar] [CrossRef]
- Antunes, P. Estudo Hidrogeoquímico e Vulcanológico de Lagos no Arquipélago dos Açores: Aplicações Para a Mitigação de Riscos Naturais. Ph.D. Thesis, University of the Azores, Ponta Delgada, Portugal, 1993. (In Portuguese with English Abstract). [Google Scholar]
- Andrade, C.; Viveiros, F.; Cruz, J.V.; Coutinho, R. Global carbon dioxide output of volcanic lakes in the Azores archipelago, Portugal. J. Geochem. Explor. 2021, 229, 106835. [Google Scholar] [CrossRef]
- Santos, M.; Pacheco, D.; Santana, A.F.; Muelle, H. Cyanobacteria blooms in Sete Cidades lake (São Miguel Island—Azores). Algol. Stud. 2005, 117, 393–406. [Google Scholar]
- Cruz, J.V.; Pacheco, D.; Cymbron, R.; Mendes, S. Monitoring of the groundwater chemical status in the Azores archipelago (Portugal) in the context of the EU Water Framework Directive. Environ. Earth Sci. 2010, 61, 173–186. [Google Scholar] [CrossRef]
- Cruz, J.V.; Silva, M.; Dias, M.I.; Prudêncio, M.I. Groundwater composition and pollution due to agricultural practices at Sete Cidades volcano (Azores, Portugal). Appl. Geochem. 2013, 29, 162–173. [Google Scholar] [CrossRef]
- Santos, M.; Rodrigues, A.; Santana, F.; Sobral, P. O Controlo da Eutrofização nas Lagoas de S. Miguel—Açores. Parte I, A Lagoa das Sete Cidades; Report Dcea/Unl: Lisboa, Portugal, 1991. (In Portuguese) [Google Scholar]
- Santos, M.; Rodrigues, A.; Santana, F.; Sobral, P. O Controlo da Eutrofização nas Lagoas de S. Miguel—Açores. Parte II, A Lagoa das Furnas; Report Dcea/Unl: Lisboa, Portugal, 1991. (In Portuguese) [Google Scholar]
- Martins, G.; Ribeiro, D.; Pacheco, D.; Cruz, J.V.; Cunha, R.; Gonçalves, V.; Nogueira, R.; Brito, A.G. Prospective scenarios for water quality and ecological status in Lake Sete Cidades (Portugal): The integration of mathematical modeling in decision processes. Appl. Geochem. 2008, 23, 2171–2181. [Google Scholar] [CrossRef]
- Pacheco, D.; Cruz, J.V.; Malcata, A.; Mendes, S. Monitorização da Qualidade da Água das Lagoas de São Miguel; SRAM: Ponta Delgada, Portugal, 2005. (In Portuguese) [Google Scholar]
- Malcata, A.; Pacheco, D.; Cymbron, R. Monitorização da Qualidade da Água das Lagoas de São Miguel, Pico, Flores e Corvo; Comparação de resultados entre 2017 e 2020; SRAAC: Ponta Delgada, Portugal, 2022. (In Portuguese) [Google Scholar]
- Drotrh. Plano Regional da Água; Versão Para Consulta Pública (Azores Regional Water Plan); Report Drotrh: Ponta Delgada, Portugal, 2021. (In Portuguese) [Google Scholar]
- APHA-AWWA-WPCF. Standard Methods for the Examination of Water and Wastewater; American Public Health Association: Washington, DC, USA, 1985. [Google Scholar]
- Clark, I.D.; Fritz, P. Environmental Isotopes in Hydrology; Lewis Publishers: New York, NY, USA, 1997; p. 342. [Google Scholar]
- IAEA. Sampling Procedures for Isotope Hydrology; Water Resources Programe: Vienna, Austria, 2017; pp. 3–6. [Google Scholar]
- Finlay, K.; Vogt, R.J.; Simpson, G.L.; Leavitt, P.R. Seasonality of pCO2 in a hard-water lake of the northern Great Plains: The legacy effects of climate and limnological conditions over 36 years. Limnol. Oceanogr. 2019, 64, S118–S129. [Google Scholar] [CrossRef]
- Engel, F.; Drakare, S.; Weyhenmeyer, G.A. Environmental conditions for phytoplankton influenced carbon dynamics in boreal lakes. Aquat. Sci. 2019, 81, 35. [Google Scholar] [CrossRef]
- Liang, Y.T.; Zhang, Y.Y.; Wang, N.N.; Luo, T.W.; Zhang, Y.; Rivkin, R.B. Estimating primary production of picophytoplankton using the carbon-based ocean productivity model: A preliminary study. Front. Microbiol. 2017, 8, 1926. [Google Scholar] [CrossRef] [PubMed]
- Clark, I. Groundwater Geochemistry and Isotopes; CRC Press, Taylor & Francis Group: Boca Raton, FL, USA, 2015; p. 456. [Google Scholar]
- Cartigny, P.; Harris, J.W.; Javoy, M. Diamond genesis, mantle fractionations and mantle nitrogen content: A study of δ13C–N concentrations in diamonds. Earth Planet. Sci. Lett. 2001, 185, 85–98. [Google Scholar] [CrossRef]
- Négrel, P.; Guerrot, C.; Millor, R. Chemical and strontium isotope characterization of rainwater in France: Influence sources and hydrogeochemical implications. ISO Environ. Health Stud. 2007, 43, 179–196. [Google Scholar] [CrossRef]
- Kanakidou, M. Aerosols in Global Models—Focus on Europe. In Regional Climate Variability and Its Impacts in the Mediterranean Area; Mellouki, A., Ravishankara, A.R., Eds.; Springer: Dordrecht, The Netherlands, 2007; pp. 143–154. [Google Scholar]
- Zhang, X.; Zhuang, G.; Chen, J.; Xue, H. Speciation of the elements and compositions on the surfaces of dust storm particles: The evidence for the coupling of iron with sulfur in aerosol during the long-range transport. Chin. Sci. Bull. 2005, 50, 738–744. [Google Scholar] [CrossRef]
- Vieira, B.J.; Freitas, M.C.; Wolterbek, H.T. Elemental composition of air masses under diferente altitudes in Azores, central north Altantic. J. Radioanal. Nucl. Chem. 2012, 291, 63–69. [Google Scholar] [CrossRef][Green Version]
- Faure, G.; Mensing, T.M. Isotopes, Principles and Applications, 3rd ed.; John Wiley & Sons: New York, NY, USA, 2005; p. 928. [Google Scholar]
- Ferreira, L.; Cruz, J.V.; Viveiros, F.; Durães, N.; Coutinho, R.; Andrade, C.; Santos, J.F.; Acciaioli, M.H. Hydrogeochemistry and strontium isotopic signatures of mineral waters from Furnas and Fogo Volcanoes (São Miguel, Azores). Water 2023, 15, 245. [Google Scholar] [CrossRef]
- Craig, H. Standard for reporting concentrations of deuterium and oxygen-18 in natural waters. Science 1961, 133, 1833–1834. [Google Scholar] [CrossRef]
- Rodrigues, R.J.R. Hidrologia de Ilhas Vulcânicas. Specialist Degree Thesis, Laboratório Nacional de Engenharia Civil, Lisboa, Portugal, 1995. (In Portuguese). [Google Scholar]
- Cruz, J.V. Estudo Hidrogeológico da Ilha do Pico (Açores—Portugal). Ph.D. Thesis, University of the Azores, Ponta Delgada, Portugal, 1996. (In Portuguese with English Abstract). [Google Scholar]
- Varekamp, J.C.; Pasternack, G.B.; Rowe, G.L., Jr. Volcanic lake systematics II. Chemical constraints. J. Volcanol. Geotherm. Res. 2000, 97, 161–179. [Google Scholar] [CrossRef]
- Beier, C.; Turner, S.; Plank, T.; White, W. A preliminary assessment of the symmetry of source composition and melting dynamics across the Azores plume. Geochem. Geophys. Geosystems 2010, 11, 1525–2027. [Google Scholar] [CrossRef]
- Beier, C.; Haase, K.M.; Turner, S.P. Conditions of melting beneath the Azores. Lithos 2012, 144–145, 1–11. [Google Scholar] [CrossRef]
- Beier, C.; Haase, K.M.; Abouchami, W.; Krienitz, M.-S.; Hauff, F. Magma genesis by rifting of oceanic lithosphere above anomalous mantle: Terceira rift, Azores. Geochem. Geophys. Geosystems 2008, 9, Q12013. [Google Scholar] [CrossRef]
- Beier, C.; Stracke, A.; Haase, K.M. The peculiar geochemical signatures of São Miguel (Azores) lavas: Metasomatised or recycled mantle sources? Earth Planet. Sci. Lett. 2007, 259, 189–199. [Google Scholar] [CrossRef]
- Ferreira, L.; Cruz, J.V.; Viveiros, F.; Durães, N.; Coutinho, R.; Andrade, C.; Santos, J.F. Chemical and 87Sr/86Sr signatures of rainwaters at two active central volcanoes in São Miguel (Azores)—First survey. J. Volcanol. Geotherm. Res. 2024, 447, 108033. [Google Scholar] [CrossRef]
- Evensen, N.M.; Hamilton, P.J.; O’nions, R.K. Rate-earth abundances in chondritic meteorites. Geochim. Cosmochim. Acta 1978, 42, 1199–1212. [Google Scholar] [CrossRef]
- Aiuppa, A.; Allard, P.; D’Alessandro, W.; Michel, A.; Parello, F.; Treuil, M.; Valenza, M. Mobility and fluxes of major, minor and trace metals during basalt weathering and groundwater transport at Mt. Etna volcano (Sicily). Geochim. Cosmochim. Acta 2000, 64, 1827–1841. [Google Scholar] [CrossRef]
- Ayers, G. Behaviour of the REE During Water Rock Interaction and Alteration Processes in Volcanic Lake Systems. Master’s Thesis, Utrecht University, Utrecht, The Netherlands, 1996. [Google Scholar]
- Négrel, P.; Guerrot, C.; Cocherie, A.; Azaroual, M.; Brach, M.; Fouillac, C. Rare earth elements, neodymium and strontium isotopic systematics in mineral waters: Evidence from the Massif Central, France. Appl. Geochem. 2000, 15, 1345–1367. [Google Scholar] [CrossRef]
- Randive, K.; Kumar, J.V.; Bhondwe, A.; Lanjewar, S. Understanding the Behaviour of Rare Earth Elements in Minerals and Rocks. Gond. Geol. Mag. 2014, 29, 29–37. [Google Scholar]
- Genske, F.S.; Turner, S.P.; Beier, C.; Schaefer, B.F. The Petrology and Geochemistry of Lavas from the Western Azores Islands of Flores and Corvo. J. Pet. 2012, 53, 1673–1708. [Google Scholar] [CrossRef]
- Pasternack, G.; Varekamp, J.C. Volcanic lake systematics I. Physical constraints. Bull. Volcanol. 1997, 58, 528–538. [Google Scholar] [CrossRef]




Disclaimer/Publisher’s Note: The statements, opinions and data contained in all publications are solely those of the individual author(s) and contributor(s) and not of MDPI and/or the editor(s). MDPI and/or the editor(s) disclaim responsibility for any injury to people or property resulting from any ideas, methods, instructions or products referred to in the content. |
© 2025 by the authors. Licensee MDPI, Basel, Switzerland. This article is an open access article distributed under the terms and conditions of the Creative Commons Attribution (CC BY) license (https://creativecommons.org/licenses/by/4.0/).
Share and Cite
Cruz, J.V.; Andrade, C.; Ferreira, L.; Viveiros, F. Lake Water Composition in Oceanic Islands: Insights from REE Content and 87Sr/86Sr Isotopic Ratio. Water 2025, 17, 1849. https://doi.org/10.3390/w17131849
Cruz JV, Andrade C, Ferreira L, Viveiros F. Lake Water Composition in Oceanic Islands: Insights from REE Content and 87Sr/86Sr Isotopic Ratio. Water. 2025; 17(13):1849. https://doi.org/10.3390/w17131849
Chicago/Turabian StyleCruz, José Virgílio, César Andrade, Letícia Ferreira, and Fátima Viveiros. 2025. "Lake Water Composition in Oceanic Islands: Insights from REE Content and 87Sr/86Sr Isotopic Ratio" Water 17, no. 13: 1849. https://doi.org/10.3390/w17131849
APA StyleCruz, J. V., Andrade, C., Ferreira, L., & Viveiros, F. (2025). Lake Water Composition in Oceanic Islands: Insights from REE Content and 87Sr/86Sr Isotopic Ratio. Water, 17(13), 1849. https://doi.org/10.3390/w17131849

