The Underestimated Role of Small and Micro Wetlands in Enhancing Habitat Quality Amid a High-Intensity Anthropogenic Impact Area
Abstract
1. Introduction
2. Data and Methods
2.1. Study Area
2.2. Data Sources
2.3. Methodology
2.3.1. Habitat Quality Evaluation
2.3.2. Extraction of Small and Micro Wetlands Information
3. Results
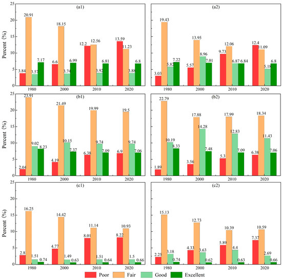
3.1. Habitat Quality Changes in Wuxi City
3.2. Changes in Small and Micro Wetlands
3.3. The Impact of Small and Micro Wetlands on Habitat Quality
4. Discussion
5. Conclusions
Author Contributions
Funding
Data Availability Statement
Conflicts of Interest
References
- Ramsar Convention Secretariat Small Wetlands: Their Importance and Strategies for Effective Conservation; Ramsar Convention on Wetlands: Gland, Switzerland, 2025.
- Shen, X.; Jiang, M.; Lu, X.; Thompson, J.R. Protect and Restore Small Wetlands. Science 2024, 384, 1415. [Google Scholar] [CrossRef]
- Alikhani, S.; Nummi, P.; Ojala, A. Urban Wetlands: A Review on Ecological and Cultural Values. Water 2021, 13, 3301. [Google Scholar] [CrossRef]
- Sofaer, H.R.; Skagen, S.K.; Barsugli, J.J.; Rashford, B.S.; Reese, G.C.; Hoeting, J.A.; Wood, A.W.; Noon, B.R. Projected Wetland Densities under Climate Change: Habitat Loss but Little Geographic Shift in Conservation Strategy. Ecol. Appl. 2016, 26, 1677–1692. [Google Scholar] [CrossRef] [PubMed]
- Zhao, H.; Chen, J.; Chen, X.; Xu, Y.; An, S. Conservation and Management of Small and Micro Wetlands. Wetl. Sci. Manag. 2018, 14, 22–26. [Google Scholar] [CrossRef]
- Cui, L.; Lei, Y.; Zhang, M.; Li, W. Review on small wetlands: Definition, typology and ecological services. Acta Ecol. Sin. 2021, 41, 2077–2085. [Google Scholar] [CrossRef]
- Cohen, M.J.; Creed, I.F.; Alexander, L.C.; Basu, N.; Calhoun, A.J.K.; Craft, C.; D’Amico, E.; DeKeyser, E.S.; Fowler, L.; Golden, H.E.; et al. Do Geographically Isolated Wetlands Influence Landscape Functions? Proc. Natl. Acad. Sci. USA 2015, 113, 1978–1986. [Google Scholar] [CrossRef]
- Richardson, S.J.; Clayton, R.; Rance, B.D.; Broadbent, H.; McGlone, M.S.; Wilmshurst, J.M. Small Wetlands Are Critical for Safeguarding Rare and Threatened Plant Species. Appl. Veg. Sci. 2015, 18, 230–241. [Google Scholar] [CrossRef]
- Deane, D.C.; Fordham, D.A.; He, F.; Bradshaw, C.J.A. Future Extinction Risk of Wetland Plants Is Higher from Individual Patch Loss than Total Area Reduction. Biol. Conserv. 2017, 209, 27–33. [Google Scholar] [CrossRef]
- Semlitsch, R.D.; Bodie, J.R. Are Small, Isolated Wetlands Expendable? Conserv. Biol. 1998, 12, 1129–1133. [Google Scholar] [CrossRef]
- Dodd, C.K., Jr.; Cade, B.S. Movement Patterns and the Conservation of Amphibians Breeding in Small, Temporary Wetlands. Conserv. Biol. 1998, 12, 331–339. [Google Scholar] [CrossRef]
- Braun, D.G.; Clark, V.C. The Benefits of Small Wetlands; Martin County Board of County Commissioners: Martin County, FL, USA, 2017. [Google Scholar]
- Cheng, F.Y.; Basu, N.B. Biogeochemical Hotspots: Role of Small Water Bodies in Landscape Nutrient Processing. Water Resour. Res. 2017, 53, 5038–5056. [Google Scholar] [CrossRef]
- Millar, J.B. Shoreline-Area Ratio as a Factor in Rate of Water Loss from Small Sloughs. J. Hydrol. 1971, 14, 259–284. [Google Scholar] [CrossRef]
- Alberti, M. The Effects of Urban Patterns on Ecosystem Function. Int. Reg. Sci. Rev. 2005, 28, 168–192. [Google Scholar] [CrossRef]
- Seto, K.C.; Reenberg, A.; Boone, C.G.; Fragkias, M.; Haase, D.; Langanke, T.; Marcotullio, P.; Munroe, D.K.; Olah, B.; Simon, D. Urban Land Teleconnections and Sustainability. Proc. Natl. Acad. Sci. USA 2012, 109, 7687–7692. [Google Scholar] [CrossRef]
- Piano, E.; De Wolf, K.; Bona, F.; Bonte, D.; Bowler, D.E.; Isaia, M.; Lens, L.; Merckx, T.; Mertens, D.; van Kerckvoorde, M.; et al. Urbanization Drives Community Shifts towards Thermophilic and Dispersive Species at Local and Landscape Scales. Glob. Change Biol. 2017, 23, 2554–2564. [Google Scholar] [CrossRef]
- Rahimi, L.; Malekmohammadi, B.; Yavari, A.R. Assessing and Modeling the Impacts of Wetland Land Cover Changes on Water Provision and Habitat Quality Ecosystem Services. Nat. Resour. Res. 2020, 29, 3701–3718. [Google Scholar] [CrossRef]
- He, J.; Huang, J.; Li, C. The Evaluation for the Impact of Land Use Change on Habitat Quality: A Joint Contribution of Cellular Automata Scenario Simulation and Habitat Quality Assessment Model. Ecol. Model. 2017, 366, 58–67. [Google Scholar] [CrossRef]
- Hale, R.; Swearer, S.E.; Sievers, M.; Coleman, R. Balancing Biodiversity Outcomes and Pollution Management in Urban Stormwater Treatment Wetlands. J. Environ. Manag. 2019, 233, 302–307. [Google Scholar] [CrossRef]
- Blackwell, M.; Pilgrim, E. Ecosystem Services Delivered by Small-Scale Wetlands. Hydrol. Sci. J.-J. Des. Sci. Hydrol. 2011, 56, 1467–1484. [Google Scholar] [CrossRef]
- Davidson, N. How Much Wetland Has the World Lost? Long-Term and Recent Trends in Global Wetland Area. Mar. Freshw. Res. 2014, 65, 934–941. [Google Scholar] [CrossRef]
- Junk, W.J.; An, S.; Finlayson, C.M.; Gopal, B.; Květ, J.; Mitchell, S.A.; Mitsch, W.J.; Robarts, R.D. Current State of Knowledge Regarding the World’s Wetlands and Their Future under Global Climate Change: A Synthesis. Aquat Sci 2013, 75, 151–167. [Google Scholar] [CrossRef]
- Zhang, J.; Liu, X.; Deng, Y.; Feng, Y.; Zhu, B.; Chu, L.; Zhang, Z. Changing features and influencing factors of small and micro wetlands in Wuxi City. J. Nanjing For. Univ. (Nat. Sci. Ed.) 2024, 48, 27–36. [Google Scholar] [CrossRef]
- Kaplan, G.; Avdan, U. Monthly Analysis of Wetlands Dynamics Using Remote Sensing Data. ISPRS Int. J. Geo-Inf. 2018, 7, 411. [Google Scholar] [CrossRef]
- Rapinel, S.; Fabre, E.; Dufour, S.; Arvor, D.; Mony, C.; Hubert-Moy, L. Mapping Potential, Existing and Efficient Wetlands Using Free Remote Sensing Data. J. Environ. Manag. 2019, 247, 829–839. [Google Scholar] [CrossRef]
- Gallant, A.L. The Challenges of Remote Monitoring of Wetlands. Remote Sens. 2015, 7, 10938–10950. [Google Scholar] [CrossRef]
- Chasmer, L.; Mahoney, C.; Millard, K.; Nelson, K.; Peters, D.; Merchant, M.; Hopkinson, C.; Brisco, B.; Niemann, O.; Montgomery, J.; et al. Remote Sensing of Boreal Wetlands 2: Methods for Evaluating Boreal Wetland Ecosystem State and Drivers of Change. Remote Sens. 2020, 12, 1321. [Google Scholar] [CrossRef]
- Zhang, X.; Wang, G.; Xue, B.; Zhang, M.; Tan, Z. Dynamic Landscapes and the Driving Forces in the Yellow River Delta Wetland Region in the Past Four Decades. Sci. Total Environ. 2021, 787, 147644. [Google Scholar] [CrossRef]
- Guo, M.; Li, J.; Sheng, C.; Xu, J.; Wu, L. A Review of Wetland Remote Sensing. Sensors 2017, 17, 777. [Google Scholar] [CrossRef] [PubMed]
- Chu, L.; Sun, T.; Wang, T.; Li, Z.; Cai, C. Evolution and Prediction of Landscape Pattern and Habitat Quality Based on CA-Markov and InVEST Model in Hubei Section of Three Gorges Reservoir Area (TGRA). Sustainability 2018, 10, 3854. [Google Scholar] [CrossRef]
- Chao Rodríguez, Y.; el Anjoumi, A.; Domínguez Gómez, J.A.; Rodríguez Pérez, D.; Rico, E. Using Landsat Image Time Series to Study a Small Water Body in Northern Spain. Environ. Monit. Assess. 2014, 186, 3511–3522. [Google Scholar] [CrossRef]
- Zhang, J.; Chu, L.; Zhang, Z.; Zhu, B.; Liu, X.; Yang, Q. Evolution of Small and Micro Wetlands and Their Driving Factors in the Yangtze River Delta-A Case Study of Wuxi Area. Remote Sens. 2023, 15, 1152. [Google Scholar] [CrossRef]
- Cavallo, C.; Papa, M.N.; Gargiulo, M.; Palau-Salvador, G.; Vezza, P.; Ruello, G. Continuous Monitoring of the Flooding Dynamics in the Albufera Wetland (Spain) by Landsat-8 and Sentinel-2 Datasets. Remote Sens. 2021, 13, 3525. [Google Scholar] [CrossRef]
- Acharya, T.D.; Subedi, A.; Lee, D.H. Evaluation of Machine Learning Algorithms for Surface Water Extraction in a Landsat 8 Scene of Nepal. Sensors 2019, 19, 2769. [Google Scholar] [CrossRef]
- Rapinel, S.; Hubert-Moy, L.; Clément, B.; Maltby, E. Mapping Wetland Functions Using Earth Observation Data and Multi-Criteria Analysis. Environ. Monit. Assess. 2016, 188, 641. [Google Scholar] [CrossRef]
- Zhou, D.; Gong, H.; Liu, Z. Integrated Ecological Assessment of Biophysical Wetland Habitat in Water Catchments: Linking Hydro-Ecological Modelling with Geo-Information Techniques. Ecol. Model. 2008, 214, 411–420. [Google Scholar] [CrossRef]
- McLaughlin, D.L.; Cohen, M.J. Realizing Ecosystem Services: Wetland Hydrologic Function along a Gradient of Ecosystem Condition. Ecol. Appl. 2013, 23, 1619–1631. [Google Scholar] [CrossRef]
- da Anjinho, P.S.; Barbosa, M.A.G.A.; Mauad, F.F. Evaluation of InVEST’s Water Ecosystem Service Models in a Brazilian Subtropical Basin. Water 2022, 14, 1559. [Google Scholar] [CrossRef]
- Redhead, J.W.; Stratford, C.; Sharps, K.; Jones, L.; Ziv, G.; Clarke, D.; Oliver, T.H.; Bullock, J.M. Empirical Validation of the InVEST Water Yield Ecosystem Service Model at a National Scale. Sci. Total Environ. 2016, 569–570, 1418–1426. [Google Scholar] [CrossRef]
- Posner, S.; Verutes, G.; Koh, I.; Denu, D.; Ricketts, T. Global Use of Ecosystem Service Models. Ecosyst. Serv. 2016, 17, 131–141. [Google Scholar] [CrossRef]
- Wang, B.; Cheng, W. Effects of Land Use/Cover on Regional Habitat Quality under Different Geomorphic Types Based on InVEST Model. Remote Sens. 2022, 14, 1279. [Google Scholar] [CrossRef]
- Wu, L.; Sun, C.; Fan, F. Estimating the Characteristic Spatiotemporal Variation in Habitat Quality Using the InVEST Model—A Case Study from Guangdong–Hong Kong–Macao Greater Bay Area. Remote Sens. 2021, 13, 1008. [Google Scholar] [CrossRef]
- Berta Aneseyee, A.; Noszczyk, T.; Soromessa, T.; Elias, E. The InVEST Habitat Quality Model Associated with Land Use/Cover Changes: A Qualitative Case Study of the Winike Watershed in the Omo-Gibe Basin, Southwest Ethiopia. Remote Sens. 2020, 12, 1103. [Google Scholar] [CrossRef]
- Kim, B.; Lee, J.; Park, J. Role of Small Wetlands on the Regime Shift of Ecological Network in a Wetlandscape. Environ. Res. Commun. 2022, 4, 041006. [Google Scholar] [CrossRef]
- Li, J.; Sun, R.; Xu, L.; Bian, X. Discussion on the Technical Scheme and Result of the Spatial Scope Monitoring of the Wetland in Wuxi. Mod. Surv. Mapp. 2020, 43, 27–30. [Google Scholar]
- Wu, J.; Luo, J.; Zhang, H.; Qin, S.; Yu, M. Projections of Land Use Change and Habitat Quality Assessment by Coupling Climate Change and Development Patterns. Sci. Total Environ. 2022, 847, 157491. [Google Scholar] [CrossRef]
- Tang, F.; Fu, M.; Wang, L.; Zhang, P. Land-Use Change in Changli County, China: Predicting Its Spatio-Temporal Evolution in Habitat Quality. Ecol. Indic. 2020, 117, 106719. [Google Scholar] [CrossRef]
- Zhang, M.; Zhang, F.; Li, X. Evaluation of Habitat Quality Based on InVEST Model: A Case Study of Tongzhou District of Beijing, China. Landsc. Archit. 2020, 27, 95–99. [Google Scholar] [CrossRef]
- Wei, Q.; Abudureheman, M.; Halike, A.; Yao, K.; Yao, L.; Tang, H.; Tuheti, B. Temporal and Spatial Variation Analysis of Habitat Quality on the PLUS-InVEST Model for Ebinur Lake Basin, China. Ecol. Indic. 2022, 145, 109632. [Google Scholar] [CrossRef]
- Zheng, W.; Li, S.; Ke, X.; Li, X.; Zhang, B. The Impacts of Cropland Balance Policy on Habitat Quality in China: A Multiscale Administrative Perspective. J. Environ. Manag. 2022, 323, 116182. [Google Scholar] [CrossRef]
- Zhao, Y.; Qu, Z.; Zhang, Y.; Ao, Y.; Han, L.; Kang, S.; Sun, Y. Effects of Human Activity Intensity on Habitat Quality Based on Nighttime Light Remote Sensing: A Case Study of Northern Shaanxi, China. Sci. Total Environ. 2022, 851, 158037. [Google Scholar] [CrossRef]
- Chen, S.; Jin, Y.; Huang, Y. Spatio-temporal variations of habitat quality and its underlying mechanism in the central region of Yangtze River Delta. Chin. J. Ecol. 2023, 42, 1175–1185. [Google Scholar] [CrossRef]
- Yang, Y. Evolution of Habitat Quality and Association with Land-Use Changes in Mountainous Areas: A Case Study of the Taihang Mountains in Hebei Province, China. Ecol. Indic. 2021, 129, 107967. [Google Scholar] [CrossRef]
- Tornwall, B.M.; Pitt, A.L.; Brown, B.L.; Hawley-Howard, J.; Baldwin, R.F. Diversity Patterns Associated with Varying Dispersal Capabilities as a Function of Spatial and Local Environmental Variables in Small Wetlands in Forested Ecosystems. Forests 2020, 11, 1146. [Google Scholar] [CrossRef]
- Chen, Y.; Wu, L.; Zhang, G.; Tan, Z.; Qiao, S. Quantitative assessment of surface hydrological connectivity in Momoge National Nature Reserve, Northeast China. Chin. J. Appl. Ecol. 2020, 31, 3833–3841. [Google Scholar] [CrossRef]
- Rabbani, G.; Rahman, S.H.; Faulkner, L. Impacts of Climatic Hazards on the Small Wetland Ecosystems (Ponds): Evidence from Some Selected Areas of Coastal Bangladesh. Sustainability 2013, 5, 1510–1521. [Google Scholar] [CrossRef]
- Liu, Y.; Yang, P.; Zhang, S.; Wang, W. Dynamic Identification and Health Assessment of Wetlands in the Middle Reaches of the Yangtze River Basin under Changing Environment. J. Clean. Prod. 2022, 345, 131105. [Google Scholar] [CrossRef]
- Xing, L.; Niu, Z.; Jiao, C.; Zhang, J.; Han, S.; Cheng, G.; Wu, J. A Novel Workflow for Seasonal Wetland Identification Using Bi-Weekly Multiple Remote Sensing Data. Remote Sens. 2022, 14, 1037. [Google Scholar] [CrossRef]
- Tallis, H.; Polasky, S. Mapping and Valuing Ecosystem Services as an Approach for Conservation and Natural-Resource Management. Ann. N. Y. Acad. Sci. 2009, 1162, 265–283. [Google Scholar] [CrossRef]
- Zhang, X.; Liao, L.; Xu, Z.; Zhang, J.; Chi, M.; Lan, S.; Gan, Q. Interactive Effects on Habitat Quality Using InVEST and GeoDetector Models in Wenzhou, China. Land 2022, 11, 630. [Google Scholar] [CrossRef]
- Chen, S.; Liu, X. Spatio-Temporal Variations of Habitat Quality and Its Driving Factors in the Yangtze River Delta Region of China. Glob. Ecol. Conserv. 2024, 52, e02978. [Google Scholar] [CrossRef]
- Zhao, X.; Wang, Y.; He, X.; Liu, X.; Zhang, J.; Deng, Y.; Feng, Y.; Chu, L.; Zhang, Z. Changing features of habitat quality in Wuxi City based on InVEST model. J. Nanjing For. Univ. (Nat. Sci. Ed.) 2024, 48, 165–172. [Google Scholar] [CrossRef]
- Cao, Y.; Wang, C.; Su, Y.; Duan, H.; Wu, X.; Lu, R.; Su, Q.; Wu, Y.; Chu, Z. Study on Spatiotemporal Evolution and Driving Forces of Habitat Quality in the Basin along the Yangtze River in Anhui Province Based on InVEST Model. Land 2023, 12, 1092. [Google Scholar] [CrossRef]
- Bian, C.; Yang, L.; Zhao, X.; Yao, X.; Xiao, L. The Impact of Human Activity Expansion on Habitat Quality in the Yangtze River Basin. Land 2024, 13, 908. [Google Scholar] [CrossRef]
- Mahdianpari, M.; Jafarzadeh, H.; Granger, J.E.; Mohammadimanesh, F.; Brisco, B.; Salehi, B.; Homayouni, S.; Weng, Q. A Large-Scale Change Monitoring of Wetlands Using Time Series Landsat Imagery on Google Earth Engine: A Case Study in Newfoundland. GISci. Remote Sens. 2020, 57, 1102–1124. [Google Scholar] [CrossRef]
- Mao, D.; Wang, M.; Wang, Y.; Jiang, M.; Yuan, W.; Luo, L.; Feng, K.; Wang, D.; Xiang, H.; Ren, Y.; et al. The Trajectory of Wetland Change in China between 1980 and 2020: Hidden Losses and Restoration Effects. Sci. Bull. 2025, 70, 587–596. [Google Scholar] [CrossRef]
- Pal, S.; Sarkar, R.; Saha, T.K. Exploring the Forms of Wetland Modifications and Investigating the Causes in Lower Atreyee River Floodplain Area. Ecol. Inform. 2022, 67, 101494. [Google Scholar] [CrossRef]
- Singh, S.; Bhardwaj, A.; Verma, V.K. Remote Sensing and GIS Based Analysis of Temporal Land Use/Land Cover and Water Quality Changes in Harike Wetland Ecosystem, Punjab, India. J. Environ. Manag. 2020, 262, 110355. [Google Scholar] [CrossRef]
- Jing, L.; Zeng, Q.; He, K.; Liu, P.; Fan, R.; Lu, W.; Lei, G.; Lu, C.; Wen, L. Vegetation Dynamic in a Large Floodplain Wetland: The Effects of Hydroclimatic Regime. Remote Sens. 2023, 15, 2614. [Google Scholar] [CrossRef]
- Rodrigues, I.S.; Hopkinson, C.; Chasmer, L.; MacDonald, R.J.; Bayley, S.E.; Brisco, B. Multi-Decadal Floodplain Classification and Trend Analysis in the Upper Columbia River Valley, British Columbia. Hydrol. Earth Syst. Sci. 2024, 28, 2203–2221. [Google Scholar] [CrossRef]
- Kačergytė, I.; Arlt, D.; Berg, Å.; Żmihorski, M.; Knape, J.; Rosin, Z.M.; Pärt, T. Evaluating Created Wetlands for Bird Diversity and Reproductive Success. Biol. Conserv. 2021, 257, 109084. [Google Scholar] [CrossRef]
- Knight, R.L. Ancillary Benefits and Potential Problems with the Use of Wetlands for Nonpoint Source Pollution Control. Ecol. Eng. 1992, 1, 97–113. [Google Scholar] [CrossRef]
- Shen, W.; Zhang, L.; Ury, E.A.; Li, S.; Xia, B.; Basu, N.B. Restoring Small Water Bodies to Improve Lake and River Water Quality in China. Nat. Commun. 2025, 16, 294. [Google Scholar] [CrossRef] [PubMed]
- Díaz-Pinzón, L.; Sierra, L.; Trillas, F. The Economic Value of Wetlands in Urban Areas: The Benefits in a Developing Country. Sustainability 2022, 14, 8302. [Google Scholar] [CrossRef]
- Pedersen, E.; Weisner, S.E.B.; Johansson, M. Wetland Areas’ Direct Contributions to Residents’ Well-Being Entitle Them to High Cultural Ecosystem Values. Sci. Total Environ. 2019, 646, 1315–1326. [Google Scholar] [CrossRef] [PubMed]













| Year | Data Type | Spatial Resolution (m) | Date of Acquisition | Number of Bands |
|---|---|---|---|---|
| 1985 | Landsat 4/5 (TM) | 30 × 30 | January 1985 | 7 |
| 1990 | Landsat 4/5 (TM) | 30 × 30 | February 1990 | 7 |
| 1995 | Landsat 4/5 (TM) | 30 × 30 | August 1995 | 7 |
| 2000 | Landsat 4/5 (TM) | 30 × 30 | April, June and September 2000 | 7 |
| 2005 | Landsat 4/5 (TM) | 30 × 30 | March 2005 | 7 |
| 2010 | Landsat 4/5 (TM) | 30 × 30 | May, October and December 2010 | 7 |
| 2015 | Landsat 8 (OLI) | 30 × 30 | October 2015 | 9 |
| 2020 | Landsat 8 (OLI) | 30 × 30 | March, May and September 2020 | 9 |
| Land-Use Type | Habitat Suitability | Sensitivity | ||||
|---|---|---|---|---|---|---|
| Farmland | Urban–Rural Construction Land | Unused Land | Highway | Railway | ||
| Farmland | 0.5 | 0.3 | 0.9 | 0.3 | 0.6 | 0.7 |
| Forestry | 0.8 | 0.8 | 0.5 | 0.6 | 0.4 | 0.6 |
| Grassland | 1.0 | 1.0 | 0.5 | 0.9 | 0.5 | 0.8 |
| Water body | 0.9 | 0.9 | 0.7 | 0.5 | 0.4 | 0.7 |
| Urban–rural construction land | 0.1 | 0.5 | 0.3 | 0.3 | 0.5 | 0.5 |
| Unused land | 0.1 | 0.4 | 0.3 | 0.2 | 0.4 | 0.4 |
| Threatening Factor | Maximum Influence Distance (km) | Weight | Decaying Linear Dependence |
|---|---|---|---|
| Farmland | 4 | 0.5 | Linear |
| Urban–rural construction land | 5 | 1.0 | Index |
| Unused land | 4 | 0.8 | Linear |
| Highway | 1 | 0.4 | Linear |
| Railway | 3 | 0.6 | Linear |
| Serial Number | Geographical Coordinate | Image Extraction Area (hm2) | Field Survey Area (hm2) | Difference (hm2) | Error (%) | Location | Schematic Diagram |
|---|---|---|---|---|---|---|---|
| 1 | 31°14′ N, 119°46′ E | 4.76 | 4.83 | −0.07 | −1.45 | Yixing | ![]() |
| 2 | 31°15′ N, 119°50′ E | 2.41 | 2.50 | −0.09 | −3.60 | ![]() | |
| 3 | 31°33′ N, 120°13′ E | 2.93 | 2.98 | −0.05 | −1.68 | Binhu | ![]() |
| 4 | 31°35′ N, 120°6′ E | 4.71 | 4.88 | −0.17 | −3.48 | Huishan | ![]() |
| 5 | 31°33′ N, 120°30′ E | 1.21 | 1.23 | -0.02 | -1.60 | Xishan | ![]() |
| 6 | 31°46′ N, 120°34′ E | 1.85 | 1.94 | −0.09 | −4.64 | Jiangyin | ![]() |
| 7 | 31°52′ N, 120°4′ E | 2.23 | 2.33 | −0.10 | −4.29 | ![]() |
Disclaimer/Publisher’s Note: The statements, opinions and data contained in all publications are solely those of the individual author(s) and contributor(s) and not of MDPI and/or the editor(s). MDPI and/or the editor(s) disclaim responsibility for any injury to people or property resulting from any ideas, methods, instructions or products referred to in the content. |
© 2025 by the authors. Licensee MDPI, Basel, Switzerland. This article is an open access article distributed under the terms and conditions of the Creative Commons Attribution (CC BY) license (https://creativecommons.org/licenses/by/4.0/).
Share and Cite
Wang, W.; Huang, W.; Jiang, S.; Sui, X.; Zhu, B.; Zhang, J.; Zhang, Z. The Underestimated Role of Small and Micro Wetlands in Enhancing Habitat Quality Amid a High-Intensity Anthropogenic Impact Area. Water 2025, 17, 1796. https://doi.org/10.3390/w17121796
Wang W, Huang W, Jiang S, Sui X, Zhu B, Zhang J, Zhang Z. The Underestimated Role of Small and Micro Wetlands in Enhancing Habitat Quality Amid a High-Intensity Anthropogenic Impact Area. Water. 2025; 17(12):1796. https://doi.org/10.3390/w17121796
Chicago/Turabian StyleWang, Wei, Wei Huang, Shanshan Jiang, Xiran Sui, Bin Zhu, Jiamin Zhang, and Zengxin Zhang. 2025. "The Underestimated Role of Small and Micro Wetlands in Enhancing Habitat Quality Amid a High-Intensity Anthropogenic Impact Area" Water 17, no. 12: 1796. https://doi.org/10.3390/w17121796
APA StyleWang, W., Huang, W., Jiang, S., Sui, X., Zhu, B., Zhang, J., & Zhang, Z. (2025). The Underestimated Role of Small and Micro Wetlands in Enhancing Habitat Quality Amid a High-Intensity Anthropogenic Impact Area. Water, 17(12), 1796. https://doi.org/10.3390/w17121796








