Organic Pollutants Removal in a Hybrid Constructed Wetland Wastewater Treatment Plant with an Aeration System
Abstract
1. Introduction
2. Materials and Methods
2.1. Characteristics of the Experimental Facility and Test Conditions
2.2. Analytical Methods
2.3. Statistical Analysis
3. Results and Discussion
3.1. Composition of Treated Wastewater
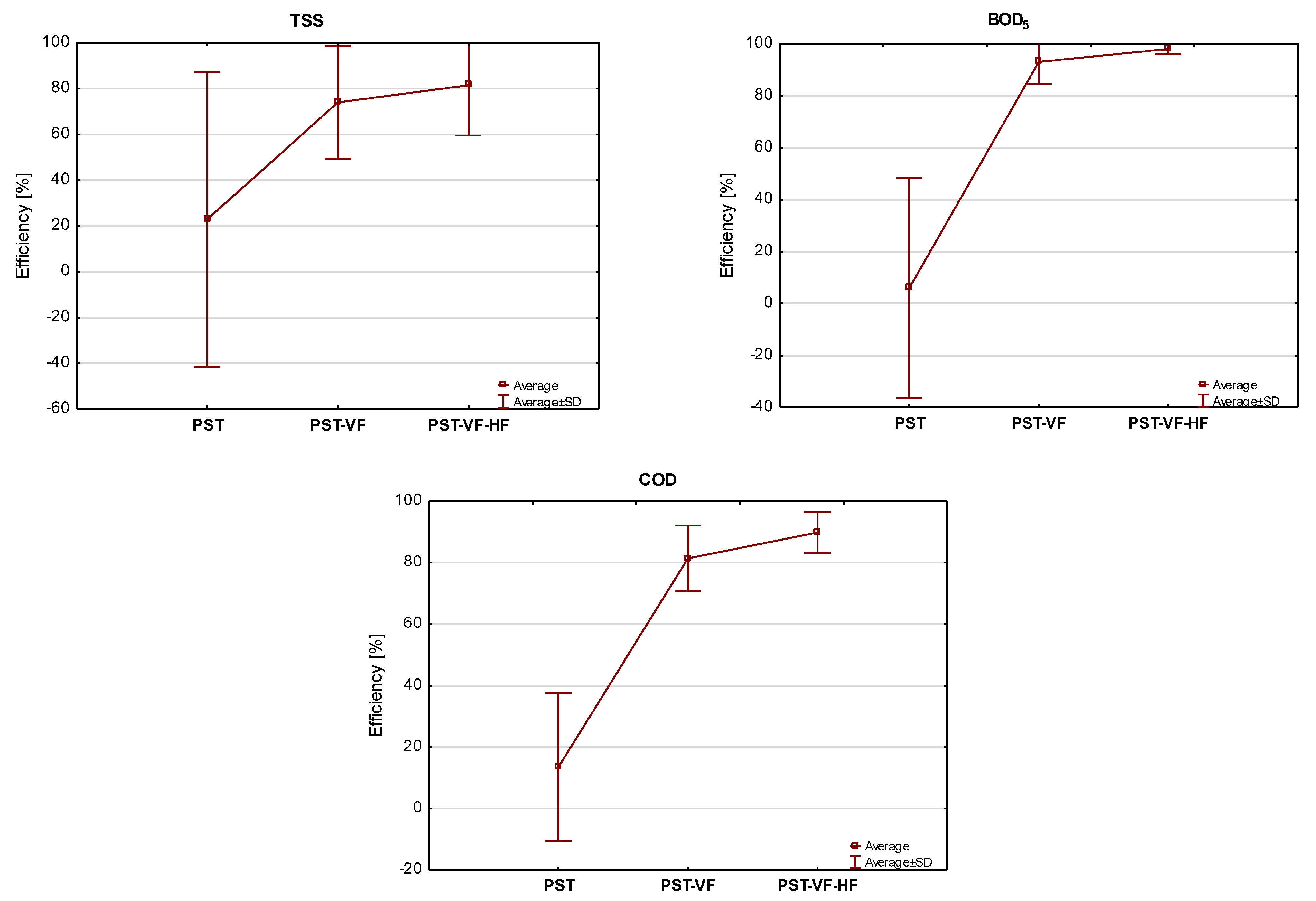
3.2. Efficiency of Pollutant Removal
3.3. Technological Reliability
4. Conclusions
Author Contributions
Funding
Data Availability Statement
Conflicts of Interest
References
- Liu, H.; Hu, Z.; Zhang, J.; Ngo, H.H.; Guo, W.; Liang, S.; Fan, J.; Lu, S.; Wu, H. Optimizations on supply and distribution of dissolved oxygen in constructed wetlands: A review. Bioresour. Technol. 2016, 214, 797–805. [Google Scholar] [CrossRef] [PubMed]
- Kadlec, R.H.; Knight, R.L. Treatment Wetlands; CRC Press LLC: Boca Raton, FL, USA, 1996. [Google Scholar]
- Saeed, T.; Sun, G. A review on nitrogen and organics removal mechanisms in subsurface flow constructed wetlands: Dependency on environmental parameters, operating conditions and supporting media. J. Environ. Manag. 2012, 112, 429–448. [Google Scholar] [CrossRef] [PubMed]
- Wu, H.; Zhang, J.; Ngo, H.H.; Guo, W.; Hu, Z.; Liang, S.; Fan, J.; Liu, H. A review on the sustainability of constructed wetlands for wastewater treatment: Design and operation. Bioresour. Technol. 2015, 175, 594–601. [Google Scholar] [CrossRef] [PubMed]
- Ilyas, H.; Masih, I. The performance of the intensified constructed wetlands for organic matter and nitrogen removal: A review. J. Environ. Manag. 2017, 198, 372–383. [Google Scholar] [CrossRef]
- Masi, F.; Martinuzzi, N. Constructed wetlands for the Mediterranean countries: Hybrid systems for water reuse and sustainable sanitation. Desalination 2007, 215, 44–55. [Google Scholar] [CrossRef]
- Vymazal, J.; Kröpfelová, L. Removal of organics in constructed wetlands with horizontal sub-surface flow: A review of the field experience. Sci. Total Environ. 2009, 407, 3911–3922. [Google Scholar] [CrossRef]
- Ayaz, S.Ç.; Aktaş, Ö.; Akça, L.; Fındık, N. Effluent quality and reuse potential of domestic wastewater treated in a pilot-scale hybrid constructed wetland system. J. Environ. Manag. 2015, 156, 115–120. [Google Scholar] [CrossRef]
- Jóźwiakowski, K.; Marzec, M.; Kowalczyk-Juśko, A.; Gizińska-Górna, M.; Pytka-Woszczyło, A.; Malik, A.; Listosz, A.; Gajewska, M. 25 years of research and experiences about the application of constructed wetlands in southeastern Poland. Ecol. Eng. 2019, 127, 440–453. [Google Scholar] [CrossRef]
- Kataki, S.; Chatterjee, S.; Vairale, M.G.; Dwivedi, S.K.; Gupta, D.K. Constructed wetland, an eco-technology for wastewater treatment: A review on types of wastewater treated and components of the technology (macrophyte, biolfilm and substrate). J. Environ. Manag. 2021, 283, 111986. [Google Scholar] [CrossRef]
- Zhang, X.W.; Hu, Z.; Ngo, H.H.; Zhang, J.; Guo, W.S.; Liang, S.; Xie, H.J. Simultaneous improvement of waste gas purification and nitrogen removal using a novel aerated vertical flow constructed wetland. Water Resour. 2018, 130, 79–87. [Google Scholar] [CrossRef]
- Temel, F.A.; Ozyazici, G.; Uslu, V.R.; Ardali, Y. Full scale subsurface flow constructed wetlands for domestic wastewater treatment: 3 years’ experience. Environ. Prog. Sustain. 2018, 37, 1348–1360. [Google Scholar] [CrossRef]
- Li, X.; Zhu, W.; Meng, G.; Zhang, C.; Guo, R. Efficiency and kinetics of conventional pollutants and tetracyclines removal in integrated vertical-flow constructed wetlands enhanced by aeration. J. Environ. Manag. 2020, 273, 111120. [Google Scholar] [CrossRef] [PubMed]
- Sgroi, M.; Pelissari, C.; Roccaro, P.; Sezerino, P.H.; Garcia, J.; Vagliasindi, F.G.A.; Avila, C. Removal of organic carbon, nitrogen, emerging contaminants and fluorescing organic matter in different constructed wetland configurations. Chem. Eng. J. 2018, 332, 619–627. [Google Scholar] [CrossRef]
- Cui, L.; Ouyang, Y.; Gu, W.; Yang, W.; Xu, O. Evaluation of nutrient removal efficiency and microbial enzyme activity in a baffled subsurface-flow constructed wetland system. Bioresour. Technol. 2013, 146, 656–662. [Google Scholar] [CrossRef] [PubMed]
- Meng, P.; Pei, H.; Hu, W.; Shao, Y.; Li, Z. How to increase microbial degradation in constructed wetlands: Influencing factors and improvement measures. Bioresour. Technol. 2014, 157, 316–326. [Google Scholar] [CrossRef] [PubMed]
- Kadlec, R.H.; Wallace, S.D. Treatment Wetlands, 2nd ed.; CRC Press/Taylor & Francis Group: Boca Raton, FL, USA, 2009; ISBN 9781420012514. [Google Scholar]
- Nivala, J.; Wallace, S.; Headley, T.; Kassa, K.; Brix, H.; van Afferden, M.; Müller, R. Oxygen transfer and consumption in subsurface flow treatment wetlands. Ecol. Eng. 2013, 61, 544–554. [Google Scholar] [CrossRef]
- Lin, C.J.; Chyan, J.M.; Zhuang, W.X.; Vega, F.A.; Mendoza, R.M.O.; Senoro, D.B.; Shiu, R.F.; Liao, C.H.; Huang, D.J. Application of an innovative front aeration and internal recirculation strategy to improve the removal of pollutants in subsurface flow constructed wetlands. J. Environ. Manag. 2020, 256, 109873. [Google Scholar] [CrossRef] [PubMed]
- Li, J.; Zheng, L.; Ye, C.; Ni, B.; Wang, X.; Liu, H. Evaluation of an intermittent-aeration constructed wetland for removing residual organics and nutrients from secondary effluent: Performance and microbial analysis. Bioresour. Technol. 2021, 329, 124897. [Google Scholar] [CrossRef]
- Hu, Y.; Zhao, Y.; Zhao, X.; Kumar, J.L.G. High Rate Nitrogen Removal in an Alum Sludge-Based Intermittent Aeration Constructed Wetland. Environ. Sci. Technol. 2012, 46, 4583–4590. [Google Scholar] [CrossRef]
- Rous, V.; Vymazal, J.; Hnátková, T. Treatment wetlands aeration efficiency: A review. Ecol. Eng. 2019, 136, 62–67. [Google Scholar] [CrossRef]
- Jia, W.; Zhang, J.; Wu, J.; Xie, H.; Zhang, B. Effect of intermittent operation on contaminant removal and plant growth in vertical flow constructed wetlands: A microcosm experiment. Desalination 2010, 262, 202–208. [Google Scholar] [CrossRef]
- Gajewska, M.; Skrzypiec, K.; Jozwiakowski, K.; Bugajski, P. Kinetics of pollutants removal in hybrid treatment wetlands—Case study comparison. Ecol. Eng. 2018, 120, 222–229. [Google Scholar] [CrossRef]
- Sharma, P.K.; Minakshi, D.; Rani, A.; Malaviya, P. Treatment efficiency of vertical flow constructed wetland systems operated under different recirculation rates. Ecol. Eng. 2018, 120, 474–480. [Google Scholar] [CrossRef]
- Zhao, X.; Hu, Y.; Zhao, Y.; Kumar, L. Achieving an extraordinary high organic and hydraulic loadings with good performance via an alternative operation strategy in a multi-stage constructed wetland system. Environ. Sci. Pollut. Res. 2018, 25, 11841–11853. [Google Scholar] [CrossRef] [PubMed]
- Kumar, M.; Singh, R. Performance evaluation of semi continuous vertical flow constructed wetlands (SC-VF-CWs) for municipal wastewater treatment. Bioresour. Technol. 2017, 232, 321–330. [Google Scholar] [CrossRef] [PubMed]
- Liu, X.; Zhang, K.; Fan, L.; Luo, H.; Jiang, M.; Anderson, B.C.; Li, M.; Huang, B.; Yu, L.; He, G.; et al. Intermittent micro-aeration control of methane emissions from an integrated vertical-flow constructed wetland during agricultural domestic wastewater treatment. Environ. Sci. Pollut. Res. 2018, 25, 24426–24444. [Google Scholar] [CrossRef] [PubMed]
- Nguyen, X.C.; Nguyen, D.D.; Loan, N.T.; Chang, S.W. Potential of integrated vertical and horizontal flow constructed wetland with native plants for sewage treatment under different hydraulic loading rates. Water Sci. Technol. 2017, 76, 434–442. [Google Scholar] [CrossRef]
- Murphy, C.; Rajabzadeh, A.R.; Weber, K.P.; Nivala, J.; Wallace, S.D.; Cooper, D.J. Nitrification cessation and recovery in an aerated saturated vertical subsurface flow treatment wetland: Field studies and microscale biofilm modeling. Bioresour. Technol. 2016, 209, 125–132. [Google Scholar] [CrossRef]
- Nivala, J.; Boog, J.; Headley, T.; Aubron, T.; Wallace, S.; Brix, H.; Mothes, S.; van Afferden, M.; Müller, R.A. Side-by-side comparison of 15 pilot-scale conventional and intensified subsurface flow wetlands for treatment of domestic wastewater. Sci. Total Environ. 2019, 658, 1500–1513. [Google Scholar] [CrossRef]
- Pascual, A.; Álvarez, J.A.; de la Varga, D.; Arias, C.A.; Van Oirschot, D.; Kilian, R.; Soto, M. Horizontal flow aerated constructed wetlands for municipal wastewater treatment: The influence of bed depth. Sci. Total Environ. 2023, 908, 168257. [Google Scholar] [CrossRef]
- Aguilar, L.; Gallegos, Á.; Pérez, L.M.; Arias, C.A.; Rubio, R.; Haulani, L.; Raurich, J.R.; Pallarés, M.; de Pablo, J.; Morató, J. Effect of intermittent induced aeration on nitrogen removal and denitrifying-bacterial community structure in Cork and gravel vertical flow pilot-scale treatment wetlands. J. Environ. Sci. Health Part A Toxic/Hazard. Subst. Environ. Eng. 2021, 56, 1121–1130. [Google Scholar] [CrossRef]
- Uggetti, E.; Hughes-Riley, T.; Morris, R.H.; Newton, M.I.; Trabi, C.L.; Hawes, P.; Puigagut, J.; García, J. Intermittent aeration to improve wastewater treatment efficiency in pilot-scale constructed wetland. Sci. Total Environ. 2016, 559, 212–217. [Google Scholar] [CrossRef] [PubMed]
- Xu, W.; Yang, B.; Wang, H.; Wang, S.; Jiao, K.; Zhang, C.; Li, F.; Wang, H. Improving the removal efficiency of nitrogen and organics in vertical-flow constructed wetlands: The correlation of substrate, aeration and microbial activity. Environ. Sci. Pollut. Res. Int. 2022, 30, 21683–21693. [Google Scholar] [CrossRef] [PubMed]
- Jucherski, A.; Nastawny, M.; Walczowski, A.; Jóźwiakowski, K.; Gajewska, M. Assessment of the technological reliability of a hybrid constructed wetland for wastewater treatment in a mountain eco-tourist farm in Poland. Wat. Sci. Technol. 2017, 75, 2649–2658. [Google Scholar] [CrossRef]
- Marzec, M.; Jóźwiakowski, K.; Dębska, A.; Gizińska-Górna, M.; Pytka-Woszczyło, A.; Kowalczyk-Juśko, A.; Listosz, A. The efficiency and reliability of pollutant removal in a hybrid constructed wetland with common reed, manna grass, and Virginia mallow. Water 2018, 10, 1445. [Google Scholar] [CrossRef]
- Marzec, M.; Gizińska-Górna, M.; Jóźwiakowski, K.; Pytka-Woszczyło, A.; Kowalczyk-Juśko, A.; Gajewska, M. The efficiency and reliability of pollutant removal in a hybrid constructed wetland with giant miscanthus and Jerusalem artichoke in Poland. Ecol. Eng. 2019, 127, 23–35. [Google Scholar] [CrossRef]
- Malik, A. Construction and Detailed Design of a Hybrid, Wetland Sewage Treatment Plant with a Daily Capacity of Q = 4.5 m3/d for a School Complex in Poizdów, Kock Commune; Typescript: Lublin, Poland, 2015. (In Polish) [Google Scholar]
- Conley, L.M.; Dick, R.L.; Lion, L.W. An Assesment of the root zone method of wastewater treatment. Res. J. WPCF 1991, 64, 239–247. [Google Scholar]
- PN-74/C-04620/00; Water and Sewage—Sampling—General Provision and Scope of the Standard. ISO: Geneva, Switzerland, 1999. (In Polish)
- PN-EN 25667-2; Water Quality—Sampling—Guidance on Sampling Techniques. ISO: Geneva, Switzerland, 1993. (In Polish)
- PN-EN 1899-1:2002; Water Quality—Determination of Biochemical Oxygen Demand after n Days (BOD)—Part 1: Dilution and Vaccination Method with the Addition of Allythiourea. ISO: Geneva, Switzerland, 2002. (In Polish)
- PN-ISO 15705:2005; Water Quality—Determination of the Chemical Oxygen Demand Index (ST-COD)—Small-Scale Sealed-Tube Method. ISO: Geneva, Switzerland, 2005. (In Polish)
- PN-EN 872:2007; Water Quality—Determination of Suspended Solids—Method by Filtration trough Filters. ISO: Geneva, Switzerland, 2007. (In Polish)
- American Public Health Association (APHA). Standard Methods for Examination of Water and Wastewater, 21st ed.; APHA: Washington, DC, USA, 2005. [Google Scholar]
- Mucha, J. Geostatistical Methods in Documenting Deposits; Department of Mine Geology, AGH Kraków: Warszawa, Poland, 1994. (In Polish) [Google Scholar]
- Cohen, J. Statistical Power Analysis for the Behavioral Sciences; Lawrence Erlbaum Associates: Hillsdale, NJ, USA, 1988. [Google Scholar]
- Bugajski, P.; Wałęga, A.; Kaczor, G. Application of the Weibull reliability analysis of haousehold sewage treatment plant. Gaz Woda I Tech. Sanit. 2012, 2, 56–58. (In Polish) [Google Scholar]
- Regulation of the Minister of Marine Economy and Inland Navigation of 12 July 2019 on Substances Particularly Harmful to the Aquatic Environment and the Conditions to be Met When Introducing Sewage into Waters or into the Ground, as well as When Discharging Rainwater or Meltwater into Waters or Water Facilities (No 2019 Item 1311). Available online: https://isap.sejm.gov.pl/isap.nsf/download.xsp/WDU20190001311/O/D20191311.pdf (accessed on 8 January 2022). (In Polish)
- Andraka, D.; Dzienis, L. Required reliability level of wastewater treatment plants according to European and Polish regulations. Zesz. Nauk. Politech. Białostockiej. Ser. Inżynieria Sr. 2003, 16, 24–28. (In Polish) [Google Scholar]
- Kaczor, G. Concentrations of the pollutants in the sewage drained from the rural sewerage systems in lesser Poland voivodship. Infrastruct. Ecol. Rural. Areas 2009, 9, 97–104. (In Polish) [Google Scholar]
- Nowobilska-Majewska, E.; Bugajski, P. The Analysis of the Amount of Pollutants in Wastewater after Mechanical Treatment in the Aspect of their Susceptibility to Biodegradation in the Treatment Plant in Nowy Targ. J. Ecol. Eng. 2019, 20, 135–143. [Google Scholar] [CrossRef]
- Bugajski, P. Pollution loads for sewage from school buildings in rural areas. Infrastruct. Ecol. Rural. Areas 2010, 14, 137–145. (In Polish) [Google Scholar]
- Cossu, R.; Lai, T.; Sandon, A. Standardization of BOD5/COD ratio as a biological stability index for MSW. Waste Manag. 2012, 32, 1503–1508. [Google Scholar] [CrossRef] [PubMed]
- Jóźwiakowski, K.; Bugajski, P.; Mucha, Z.; Wójcik, W.; Jucherski, A.; Nastawny, A.; Siwiec, T.; Mazur, A.; Obroślak, R.; Gajewska, M. Reliability and efficiency of pollution removal during long-term operation of a one-stage constructed wetland system with horizontal flow. Sep. Purif. Technol. 2017, 187, 60–66. [Google Scholar] [CrossRef]
- Gajewska, M. Wetlands with vertical flow of wastewater. Characteristics of processes and applications. In Monografie’ Komitetu Inżynierii Środowiska; Wydawnictwo PAN: Warszawa, Poland, 2019; Volume 150. (In Polish) [Google Scholar]
- Gajewska, M.; Obarska-Pempkowiak, H. Efficiency of pollutant removal by five multistage constructed wetlands in a temperate climate. Environ. Prot. Eng. 2011, 37, 27–36. [Google Scholar]
- Available online: https://www.takatsuki.co.jp/en/product/about-hiblow/ (accessed on 8 January 2023).
- Siatou, A.; Manali, A.; Gikas, P. Energy Consumption and Internal Distribution in Activated Sludge Wastewater Treatment Plants of Greece. Water 2020, 12, 1204. [Google Scholar] [CrossRef]
- Gu, Y.; Li, Y.; Li, X.; Luo, P.; Wang, H.; Wang, X.; Wu, J.; Li, F. Energy self-sufficient wastewater treatment plants: Feasibilities and challenges. Energy Procedia 2017, 105, 3741–3751. [Google Scholar] [CrossRef]
- García, J.; Rousseau, D.P.L.; Morató, J.; Lesage, E.; Matamoros, V.; Bayona, J.M. Contaminant removal processes in subsurface-flow constructed wetlands: A review. Rev. Environ. Sci. Biotechnol. 2010, 40, 561–661. [Google Scholar] [CrossRef]
- Mitch, W.J.; Gosselink, J.G. Wetlands; Van Nostrand Reinhold Company: New York, NY, USA, 1986. [Google Scholar]
- Demirel, B.; Yenigum, O.; Onay, T.T. Anaerobic treatment of dairy wastewater: A review. Process Biochem. 2005, 40, 2583–2595. [Google Scholar] [CrossRef]
- Gajewska, M.; Obarska-Pempkowiak, H.; Kopeć, Ł. Operation of small wastewater treatment facilities in a scattered settlement. Rocz. Ochr. Śr. 2011, 15, 13. [Google Scholar]
- Vymazal, J. Constructed Wetlands for Wastewater Treatment. Water 2010, 2, 530–549. [Google Scholar] [CrossRef]
- Sharma, P.K.; Inoue, T.; Kato, K.; Ietsugu, H.; Tomita, K.; Nagasawa, T. Potential of hybrid constructed wetland system in treating milking parlor wastewater under cold climatic conditions in northern Hokkaido, Japan. In Proceedings of the 12th International Conference on Wetland Systems for Water Pollution Control, Venice, Italy, 4–8 October 2010; pp. 929–938. [Google Scholar]
- Wu, H.; Fan, J.; Zhang, J.; Ngo, H.H.; Guo, W.; Hu, Z.; Lv, J. Optimization of organics and nitrogen removal in intermittently aerated vertical flow constructed wetlands: Effects of aeration time and aeration rate. Int. Biodeterior. Biodegrad. 2016, 113, 139–145. [Google Scholar] [CrossRef]
- Obarska-Pempkowiak, H.; Gajewska, M.; Wojciechowska, E. Hydrofitowe Oczyszczanie wód i Ścieków; Wydawnictwo Naukowe PWN: Warszawa, Poland, 2010; pp. 35–40. (In Polish) [Google Scholar]
- Zhao, Y.J.; Hui, Z.H.; Chao, X.; Nie, E.; Li, H.J.; He, J.; Zheng, Z. Efficiency of two-stage combinations of subsurface vertical down-flow and up-flow constructed wetland systems for treating variation in influent C/N ratios of domestic wastewater. Ecol. Eng. 2011, 37, 1546–1554. [Google Scholar] [CrossRef]
- Varma, M.; Kumar Gupta, A.; Sarathi Ghosal, P.; Majumder, A. A review on performance of constructed wetlands in tropical and cold climate: Insights of mechanism, role of influencing factors, and system modification in low temperature. Sci. Total Environ. 2021, 755, 142540. [Google Scholar] [CrossRef]
- Jóźwiakowska, K.; Bugajski, P. Influence of the Bed Temperature on the Operational Reliability of a Hybrid Constructed Wetland Wastewater Treatment Plant in South-Western Poland—A Case Study. Sustainability 2023, 15, 11790. [Google Scholar] [CrossRef]












| Parameters | Statistics Indicators | ||||||
|---|---|---|---|---|---|---|---|
| Average | Median | Min | Max | SD | Cv | ||
| Temperature [°C] | S1 | 16.83 | 16.30 | 6.70 | 25.0 | 4.50 | 26.74 |
| S2 | 16.31 | 16.40 | 5.70 | 25.0 | 4.67 | 28.60 | |
| S3 | 15.90 | 15.60 | 4.40 | 25.30 | 5.21 | 32.79 | |
| S4 | 15.93 | 15.80 | 3.90 | 25.20 | 5.62 | 35.27 | |
| pH | S1 | - | 7.20 | 6.57 | 7.90 | - | - |
| S2 | - | 7.52 | 6.43 | 8.60 | - | - | |
| S3 | - | 6.53 | 6.13 | 7.44 | - | - | |
| S4 | - | 6.79 | 6.51 | 7.91 | - | - | |
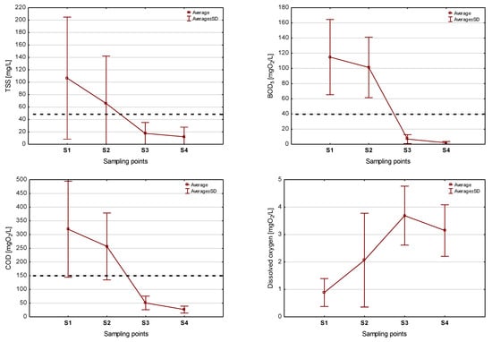
| Dissolved oxygen [mg O2/L] | S1 | 0.88 | 0.86 | 0.09 | 2.09 | 0.51 | 57.22 |
| S2 | 2.06 | 1.41 | 0.10 | 7.47 | 1.71 | 82.73 | |
| S3 | 3.69 | 3.45 | 1.58 | 7.01 | 1.08 | 29.16 | |
| S4 | 3.14 | 3.09 | 1.08 | 6.85 | 0.93 | 29.84 | |
| TSS [mg/L] | S1 | 106.55 | 66.67 | 11.0 | 380.0 | 98.32 | 92.28 |
| S2 | 65.74 | 36.00 | 9.52 | 347.37 | 76.34 | 116.12 | |
| S3 | 17.57 | 13.00 | 1.33 | 88.7 | 17.53 | 99.76 | |
| S4 | 12.08 | 6.0 | 1.42 | 86.0 | 15.53 | 128.57 | |
| BOD5 [mg O2/L] | S1 | 114.86 | 106.50 | 36.50 | 329.0 | 49.49 | 43.09 |
| S2 | 101.25 | 100.0 | 28.50 | 254.0 | 39.83 | 39.34 | |
| S3 | 6.87 | 5.0 | 0.15 | 25.0 | 5.90 | 85.84 | |
| S4 | 1.96 | 1.50 | 0.12 | 9.20 | 1.72 | 87.39 | |
| COD [mg O2/L] | S1 | 319.36 | 279.0 | 135.0 | 949.0 | 174.97 | 54.79 |
| S2 | 256.73 | 231.0 | 106.0 | 964.0 | 121.87 | 47.47 | |
| S3 | 50.68 | 43.0 | 9.81 | 127.0 | 24.91 | 49.15 | |
| S4 | 26.46 | 25.0 | 6.32 | 80.0 | 12.70 | 48.0 | |
| Dependent Samples | Z | p |
|---|---|---|
| DO-S2/DO-S1 | 5.023944 | 0.000001 |
| Correlation | rS | p-Value |
|---|---|---|
| VF TSS/DO-S2 | −0.2491 | 0.1029 |
| VF BOD5/DO-S2 | −0.0445 | 0.7467 |
| VF COD/DO-S2 | 0.0393 | 0.7754 |
| Correlation | rS | p-Value |
|---|---|---|
| TSS effects in VF/Wastewater temperature in S2 | 0.3309 | 0.0282 |
| BOD5 effects in VF/Wastewater temperature in S2 | 0.3899 | 0.0032 |
| COD effects in VF/Wastewater temperature in S2 | 0.2755 | 0.0417 |
| Correlation | rS | p-Value |
|---|---|---|
| VF TSS/Air temperature | 0.3309 | 0.0282 |
| VF BOD5/Air temperature | 0.3899 | 0.0032 |
| VF COD/Air temperature | 0.2755 | 0.0417 |
| HF TSS/Air temperature | −0.1246 | 0.4147 |
| HF BOD5/Air temperature | 0.2147 | 0.1154 |
| HF COD/Air temperature | −0.0124 | 0.9279 |
| VF-HF TSS/Air temperature | 0.2588 | 0.0897 |
| VF-HF BOD5/Air temperature | 0.6537 | 0.0000 |
| VF-HF COD/Air temperature | 0.1919 | 0.1603 |
| Parameter | Parameters of Weibull Distribution | Hollander–Proschan Goodness-Of-Fit Test | |||
|---|---|---|---|---|---|
| θ | c | b | Stat | p | |
| TSS | 1.3818 | 0.9668 | 11.871 | 0.3749 | 0.7077 |
| BOD5 | 0.0636 | 1.2618 | 2.1248 | 0.2493 | 0.8031 |
| COD | 2.7980 | 2.2035 | 29.902 | 0.1264 | 0.8993 |
Disclaimer/Publisher’s Note: The statements, opinions and data contained in all publications are solely those of the individual author(s) and contributor(s) and not of MDPI and/or the editor(s). MDPI and/or the editor(s) disclaim responsibility for any injury to people or property resulting from any ideas, methods, instructions or products referred to in the content. |
© 2024 by the authors. Licensee MDPI, Basel, Switzerland. This article is an open access article distributed under the terms and conditions of the Creative Commons Attribution (CC BY) license (https://creativecommons.org/licenses/by/4.0/).
Share and Cite
Marzec, M.; Listosz, A.; Malik, A.; Kulik, M.; Jóźwiakowski, K. Organic Pollutants Removal in a Hybrid Constructed Wetland Wastewater Treatment Plant with an Aeration System. Water 2024, 16, 947. https://doi.org/10.3390/w16070947
Marzec M, Listosz A, Malik A, Kulik M, Jóźwiakowski K. Organic Pollutants Removal in a Hybrid Constructed Wetland Wastewater Treatment Plant with an Aeration System. Water. 2024; 16(7):947. https://doi.org/10.3390/w16070947
Chicago/Turabian StyleMarzec, Michał, Agnieszka Listosz, Arkadiusz Malik, Mariusz Kulik, and Krzysztof Jóźwiakowski. 2024. "Organic Pollutants Removal in a Hybrid Constructed Wetland Wastewater Treatment Plant with an Aeration System" Water 16, no. 7: 947. https://doi.org/10.3390/w16070947
APA StyleMarzec, M., Listosz, A., Malik, A., Kulik, M., & Jóźwiakowski, K. (2024). Organic Pollutants Removal in a Hybrid Constructed Wetland Wastewater Treatment Plant with an Aeration System. Water, 16(7), 947. https://doi.org/10.3390/w16070947

