Effects of Erosion Control Works: Case Study–Reservoir Celije, Rasina River Basin, the Zapadna Morava River (Serbia)
Abstract
1. Introduction
2. Materials and Methods
2.1. Study Area
2.2. Methodology
3. Results
3.1. Analisys of Performed Erosion Control Works (ECW) in the Study Area
3.1.1. Transverse Structures in Torrential Streams (Check Dams)
3.1.2. Biological Works
3.2. Land Use before and after ECW
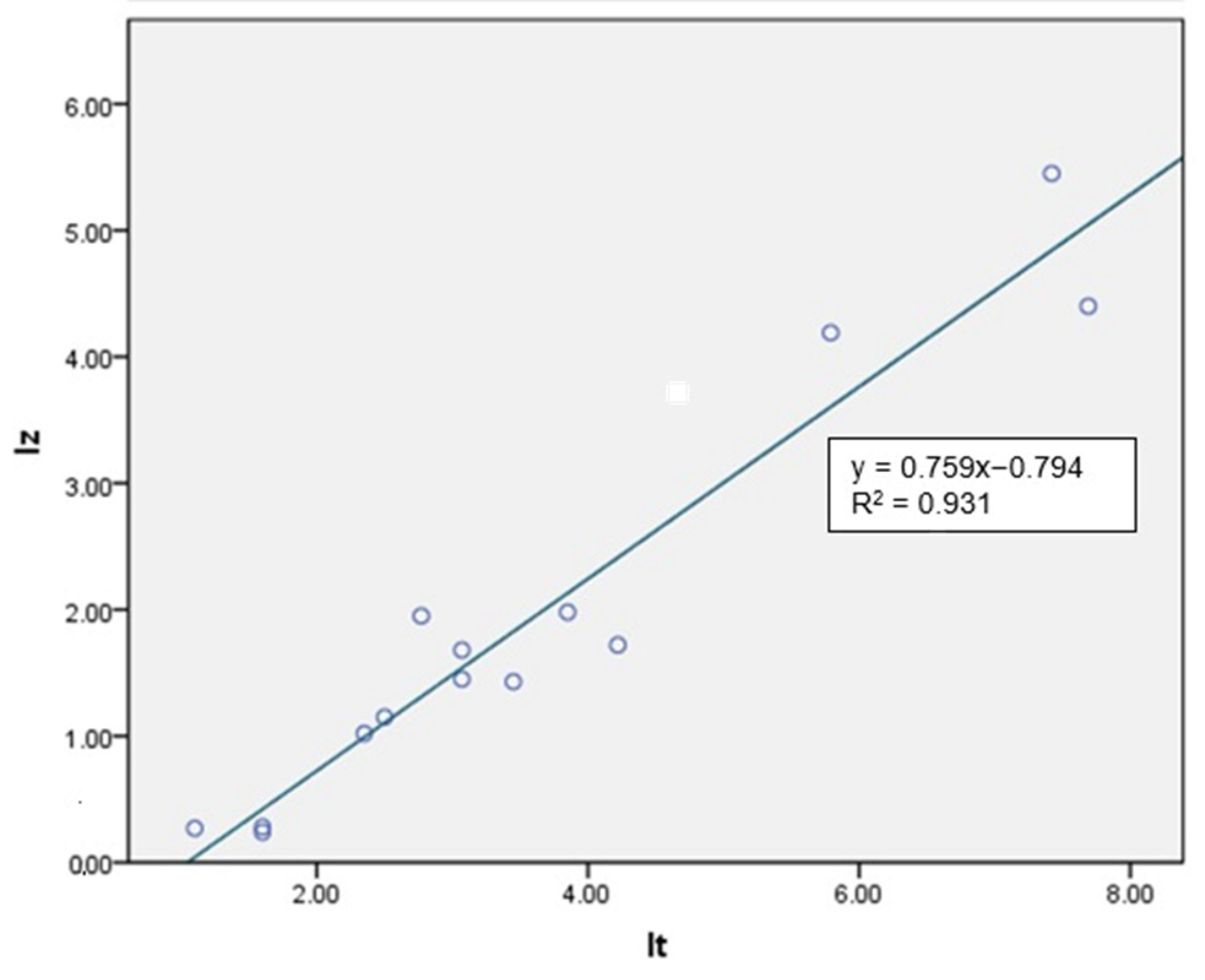
3.3. Spatial Distribution of Erosion Coefficient (Z), Specific Annual Gross Erosion (W) and Specific Sediment Transport (G) before and after ECW
4. Discussion
5. Conclusions
Author Contributions
Funding
Data Availability Statement
Acknowledgments
Conflicts of Interest
References
- Panagos, P.; Borrelli, P.; Poesen, J.; Ballabio, C.; Lugato, E.; Meusburger, K.; Montanarella, L.; Alewell, C. The new assessment of soil loss by water erosion in Europe. Environ. Sci. Policy 2015, 54, 438–447. [Google Scholar] [CrossRef]
- Borrelli, P.; Robinson, D.A.; Panagos, P.; Lugato, E.; Yang, J.E.; Alewell, C.; Wuepper, D.; Montanarella, L.; Ballabio, C. Land use and climate change impacts on global soil erosion by water (2015–2070). Proc. Natl. Acad. Sci. USA 2020, 117, 21994–22001. [Google Scholar] [CrossRef] [PubMed]
- Li, Z.; Fang, H. Impacts of climate change on water erosion: A review. Earth Sci. Rev. 2016, 163, 94–117. [Google Scholar] [CrossRef]
- Manojlović, S.; Sibinović, M.; Srejić, T.; Novković, I.; Milošević, M.V.; Gatarić, D.; Carević, I.; Batoćanin, N. Factors Controlling the Change of Soil Erosion Intensity in Mountain Watersheds in Serbia. Front. Environ. Sci. 2022, 10, 888901. [Google Scholar] [CrossRef]
- Ristić, R.; Radić, B.; Vasiljević, N.; Nikić, Z. Land use change for flood protection—A prospective study for the restoration of the river Jelašnica watershed. Bull. Fac. For. 2011, 103, 115–130. [Google Scholar] [CrossRef]
- Ristić, R.; Kostadinov, S.; Abolmasov, B.; Dragićević, S.; Trivan, G.; Radić, B.; Trifunović, M.; Radosavljević, Z. Torrential floods and town and country planning in Serbia. Nat. Hazards Earth Syst. Sci. 2012, 12, 23–35. [Google Scholar] [CrossRef]
- Juško, V.; Sedmák, R.; Kúdela, P. Siltation of Small Water Reservoir under Climate Change: A Case Study from Forested Mountain Landscape ofWestern Carpathians, Slovakia. Water 2022, 14, 2606. [Google Scholar] [CrossRef]
- Kostadinov, S.; Dragovic, N.; Zlatic, M.; Todosijevic, M. Erosion control works and the intensity of soil erosion in the upper part of the river Toplica drainage basin. IOP Conf. Ser. Earth Environ. Sci. 2008, 4, 012040. [Google Scholar] [CrossRef]
- Kostadinov, S.; Milovanović, I.; Dragovic, N.; Todosijevic, M. Soil erosion in the drenage basin of the river Rasina upstream of the reservoir Celije. In Proceedings of the International Scientific Conference Forest Ecosystems and Climate Changes, Belgrade, Serbia, 9–10 March 2010; Volume 1, pp. 237–242, ISBN 978-86-80439-22-8. [Google Scholar]
- Obialor, C.A.; Okeke, O.C.; Onunkwo, A.A.; Fagorite, V.I.; Ehujuo, N.N. Reservoir sedimentation: Causes, effects and mitigation. Int. J. Adv. Acad. Res. 2019, 5, 92–109. [Google Scholar]
- Drobnjak, A.; Zlatanović, N.; Milovanović, I.; Čotrić, J. Comparative Analysis of Methods for Estimation of Reservoir Siltation Intensity at the Gvozdac Lake Reservoir in Serbia. In Proceedings of the IWA 6th Eastern European Young Water Professionals Conference, East Meets West, Istanbul, Turkey, 28–30 May 2014; pp. 88–92. [Google Scholar]
- Dutta, S. Soil erosion, sediment yield and sedimentation of reservoir: A review. Model. Earth Syst. Environ. 2016, 2, 123. [Google Scholar] [CrossRef]
- Starks, P.J.; Moriasi, D.N.; Fortuna, A.-M. GIS-Based RUSLE Reservoir Sedimentation Estimates: Temporally Variable C-Factors, Sediment Delivery Ratio, and Adjustment for Stream Channel and Bank Sediment Sources. Land 2023, 12, 1913. [Google Scholar] [CrossRef]
- Irie, M.; Kotegawa, H.; Kawachi, A.; Ouni, H.; Tarhouni, J. Modeling of Sediment Transportation in Ichkeul Lake for the Estimation of the Influence of the Constructions of the Reservoirs in the Upper Streams. Water 2022, 14, 1984. [Google Scholar] [CrossRef]
- Ayele, G.T.; Kuriqi, A.; Jemberrie, M.A.; Saia, S.M.; Seka, A.M.; Teshale, E.Z.; Daba, M.H.; Ahmad Bhat, S.; Demissie, S.S.; Jeong, J.; et al. Sediment Yield and Reservoir Sedimentation in Highly Dynamic Watersheds: The Case of Koga Reservoir, Ethiopia. Water 2021, 13, 3374. [Google Scholar] [CrossRef]
- Ferreira, M.E.A.; Zanoni, D.A.; Carvalho, G.A.; Anache, J.A.A.; Oliveira, P.T.S.; Sobrinho, T.A. Fingerprinting Sediment Origin of the Silting Process of Urban Reservoirs. Sustainability 2023, 15, 1745. [Google Scholar] [CrossRef]
- Bufalini, M.; Materazzi, M.; Martinello, C.; Rotigliano, E.; Pambianchi, G.; Tromboni, M.; Paniccià, M. Soil Erosion and Deposition Rate Inside an Artificial Reservoir in Central Italy: Bathymetry versus RUSLE and Morphometry. Land 2022, 11, 1924. [Google Scholar] [CrossRef]
- Landwehr, T.; Kantoush, S.A.; Nohara, D.; Sumi, T.; Pahl-Wostl, C. Demonstration of the impacts of anti-sedimentation techniques on Japanese reservoir siltation via mass data ANN analysis. J. Hydroinformatics 2022, 24, 223–242. [Google Scholar] [CrossRef]
- Morris, G.L. Classification of Management Alternatives to Combat Reservoir Sedimentation. Water 2020, 12, 861. [Google Scholar] [CrossRef]
- Kostadinov, S. Erosion and torrent control in Serbia: Hundred years of experiences. In Proceedings of the International Conference: Erosion and Torrent Control as a Factor in Sustainable River Basin Management, Belgrade, Serbia, 25–27 September 2007. [Google Scholar]
- Kostadinov, S.; Marković, S. Soil erosion and effects of erosion control works in the torrential watersheds in south-east Serbia. In Erosion and Sediment Yield: Global and Regional Perspectives; Walling, D.E., Webb, B.W., Eds.; IAHS Press: Walingford, UK, 1996; pp. 321–332. ISSN 0144-7815. [Google Scholar]
- Bhat, S.A.; Dar, M.U.D.; Meena, R.S. Soil Erosion and Management Strategies. In Sustainable Management of Soil and Environment; Meena, R.S., Kumar, S., Bohra, J.S., Jat, M.L., Eds.; Springer Nature Singapore Pte Ltd.: Singapore, 2019; pp. 73–122. [Google Scholar] [CrossRef]
- Kostadinov, S.; Braunović, S.; Dragićević, S.; Zlatić, M.; Dragović, N.; Rakonjac, N. Effects of Erosion Control Works: Case Study-Grdelica Gorge, the South Morava River (Serbia). Water 2018, 10, 1094. [Google Scholar] [CrossRef]
- Srejić, T.; Manojlović, S.; Sibinović, M.; Bajat, B.; Novković, I.; Milošević, M.V.; Carević, I.; Todosijević, M.; Sedlak, M.G. Agricultural Land Use Changes as a Driving Force of Soil Erosion in the Velika Morava River Basin, Serbia. Agriculture 2023, 13, 778. [Google Scholar] [CrossRef]
- Perović, V.; Kadović, R.; Djurdjević, V.; Braunović, S.; Cakmak, D.; Mitrović, M.; Pavlovic, P. Effects of changes in climate and land use on soil erosion: A case study of the Vranjska Valley, Serbia. Reg. Environ. Chang. 2019, 19, 1035–1046. [Google Scholar] [CrossRef]
- Potić, I.; Ćurčić, N.; Radovanović, M.; Stanojević, G.; Malinović-Milićević, S.; Yamashkin, S.; Yamashkin, A. Estimation of soil erosion dynamics using remote sensing and swat in Kopaonik National Park, Serbia. J. Geogr. Inst. “Jovan Cvijic” SASA 2021, 71, 231–247. [Google Scholar] [CrossRef]
- Kostadinov, S.; Zlatic, M.; Dragicevic, S.; Novkovic, I.; Košanin, O.; Borisavljevic, A.; Lakicevic, M.; Mladan, D. Antropogenic Influence on Erosion Intensity Changes in Rasina River Watershed Area upstream from Ćelije Water Reservoir, Central Serbia. Fresenius Environ. Bull. 2014, 23, 254–263. [Google Scholar]
- Milovanovic, I.; Cotric, J.; Stefanovic, M. Analysis of the impact of applied antierosion works on reducing siltation in the reservoir “Celije”. Forum Geogr. S.C.G.P.M. 2011, 849–855. [Google Scholar]
- Blinkov, I.; Trendafilov, A. Effects of Erosion Control Work in Some Torrents in the Republic of Macedonia. In Proceedings of the Conference on Water Observation and Information System for Decision Support, BALWOIS 2004, Ohrid, North Macedonia, 25–29 May 2004. [Google Scholar]
- Karásek, P.; Kučera, J.; Szturc, J.; Podhrázská, J.; Konečná, J. Causes of Water Erosion and Benefits of Antierosion Measures in Model Locality Starovice—Hustopeče (South Moravia Region, Czech Republic). J. Ecol. Eng. 2019, 20, 95–105. [Google Scholar] [CrossRef]
- Minervino Amodio, A.; Gioia, D.; Danese, M.; Masini, N.; Sabia, C.A. Land-Use Change Effects on Soil Erosion: The Case of Roman “Via Herculia” (Southern Italy)—Combining Historical Maps, Aerial Images and Soil Erosion Model. Sustainability 2023, 15, 9479. [Google Scholar] [CrossRef]
- Panagos, P.; Borrelli, P.; Meusburger, K.; Van der Zanden, E.H.; Poesen, J.; Alewell, C. Modelling the effect of support practices (P-factor) on the reduction of soil erosion by water at European Scale. Environ. Sci. Policy 2015, 51, 23–34. [Google Scholar] [CrossRef]
- Xu, Y.; Yang, X.; Xu, G.; Fu, J.; Cai, S.; Mu, X.; Zhou, T.; Zhang, W.; Chen, J.; Li, L.; et al. Assessment of Integrated Soil and Water Conservation Practices on Soil Erosion Risk in a Typical Red-Beds Watershed in South China. Water 2023, 15, 2613. [Google Scholar] [CrossRef]
- Kostadinov, S.; Dragović, N.; Zlatić, M.; Todosijević, M. Natural effect of classical check dams in the torrents of the river Toplica drainage basin. Fresenius Environ. Bull. 2011, 20, 1102–1108. [Google Scholar]
- Braunovic, S. Effects of Erosion Control Works on the State of Erosion in Grdelicka Klisura and Vranjska Kotlina. Ph.D. Thesis, University of Belgrade, Belgrade, Serbia, 4 October 2013. (In Serbian). [Google Scholar]
- Radonjic, J. Hydrologic and Psamologic Effects of Erosion Control Works on the Torrential Sub-Basina of the South Morava. Ph.D. Thesis, University of Belgrade, Belgrade, Serbia, 2018. (In Serbian). [Google Scholar]
- Todosijević, M. Effects of Transversal Structures in the Torrents of Drina River Drainage Basin in the Sector of Loznica–Bacevci. Master’s Thesis, Faculty of Forestry, University of Belgrade, Belgrade, Serbia, 2005. (In Serbian). [Google Scholar]
- Velojić, M. Research of Transversal Structures Effects in the Torrents of Nisava River Drainage Basin. Master’s Thesis, Faculty of Forestry, University of Belgrade, Belgrade, Serbia, 2000. (In Serbian). [Google Scholar]
- Kostadinov, S. Analisys of the Effects of Classical and Filtration Check Dams in the Torrents of Serbia. In Proceedings of the XXVI IECA Conference, Atlanta, Georgia, 28 February–3 March 1995; pp. 111–124. [Google Scholar]
- Republic Hydrometeorological Service of Serbia. Available online: https://www.hidmet.gov.rs/ciril/meteorologija/klimatologija_godisnjaci.php (accessed on 15 August 2023).
- Statistical Office of Republic of Serbia. 2022 Census of Population. Available online: https://popis2022.stat.gov.rs/sr-Latn (accessed on 4 September 2023).
- Borrelli, P.; Alewell, C.; Alvarez, P.; Anache, J.A.A.; Baartman, J.; Ballabio, C.; Bezak, N.; Biddoccu, M.; Cerdà, A.; Chalise, D.; et al. Soil erosion modelling: A global review and statistical analysis. Sci. Total Environ. 2021, 780, 146494. [Google Scholar] [CrossRef]
- De Vente, J.; Poesen, J. Predicting soil erosion and sediment yield at the basin scale: Scale issues and semi-quantitative models. Earth-Sci. Rev. 2005, 71, 95–125. [Google Scholar] [CrossRef]
- De Vente, J.; Poesen, J.; Verstraeten, G.; Govers, G.; Vanmaercke, M.; Van Rompaey, A.; Arabkhedri, M.; Boix-Fayos, C. Predicting soil erosion and sediment yield at regional scales: Where do we stand? Earth-Sci. Rev. 2013, 127, 16–29. [Google Scholar] [CrossRef]
- Elbadaoui, K.; Mansour, S.; Ikirri, M.; Abdelrahman, K.; Abu-Alam, T.; Abioui, M. Integrating Erosion Potential Model (EPM) and PAP/RAC Guidelines for Water Erosion Mapping and Detection of Vulnerable Areas in the Toudgha River Watershed of the Central High Atlas, Morocco. Land 2023, 12, 837. [Google Scholar] [CrossRef]
- Karydas, C.G.; Panagos, P.; Gitas, I.Z. A classification of water erosion models according to their geospatial characteristics. Int. J. Digit. Earth 2014, 7, 229–250. [Google Scholar] [CrossRef]
- Bosco, C.; de Rigo, D.; Dewitte, O.; Poesen, J.; Panagos, P. Modelling soil erosion at European scale: Towards harmonization and reproducibility. Nat. Hazards Earth Syst. Sci. 2015, 15, 225–245. [Google Scholar] [CrossRef]
- Efthimiou, N.; Lykoudi, E.; Karavitis, C. Comparative analysis of sediment yield estimations using different empirical soil erosion models. Hydrol. Sci. J. 2017, 62, 2674–2694. [Google Scholar] [CrossRef]
- Gavrilovic, S. A method for estimating the average annual quantity of sediments according to the potency of erosion. Bull. Fac. For. 1962, 26, 151–168. [Google Scholar]
- Gavrilovic, S. Modern ways of calculating the torrential sediment and erosion mapping. In Erosion, Torrents and Alluvial Deposits; Yugoslav Committee for International Hydrological Decade: Belgrade, Serbia, 1970; pp. 85–100. [Google Scholar]
- Gavrilovic, Z. Use of an Empirical Method Erosion Potential Method for Calculating Sediment Production and Transportation in Unstudied or Torrential Streams. In Proceedings of the International Conference on River Regime, Hydraulics Research Limited. Wallingford, Oxon, UK, 18–20 May 1988; pp. 411–422. [Google Scholar]
- Gavrilović, S. Engineering of Torrents and Erosion. J. Constr. Spec. 1972, 1–292. Available online: https://www.scribd.com/document/342564267/Slobodan-Gavrilovic-Inzenjering-o-Bujicnim-Tokovima-i-Eroziji (accessed on 11 February 2024). (In Serbian).
- Milanesi, L.; Pilotti, M.; Clerici, A.; Gavrilovic, Z. Application of an improved version of the Erosion Potential Method in Alpine areas. Ital. J. Eng. Geol. Environ. 2015, 15, 17–30. [Google Scholar] [CrossRef]
- Tadić, E.; Šljuka, A. Erosion Intensity Assessment Using Erosion Potential Method and Geographic Information Systems: A Case Study of Beocin Municipality, Serbia. Res. Rev. Dep. Geogr. Tour. Hotel. Manag. 2018, 47, 32–43. [Google Scholar] [CrossRef]
- Blinkov, I. An approach for conversion of erosion data produced by EPM method in weight measure. In Challenges: Sustainable Land Management-Climate Change; Zlatic, M., Kostadinov, S., Eds.; Advance in Geoecology; Catena Verlag: Reiskirchen, Germany, 2014; Volume 43, pp. 109–119. ISBN 978-3-923381-61-6. [Google Scholar]
- Dragicevic, N.; Karleusa, B.; Ozanic, N. Modification of Erosion Potential Method Using Climate and Land Cover Parameters, Geomatics. Nat. Hazards Risk 2018, 9, 1085–1105. [Google Scholar] [CrossRef]
- Dragičević, N.; Karleuša, B.; Ožanić, N. Erosion Potential Method (Gavrilović Method) Sensitivity Analysis. Soil Water Res. 2017, 12, 51–59. [Google Scholar] [CrossRef]
- Tošić, R.; Dragičević, S.; Lovrić, N. Assessment of soil erosion and sediment yield changes using erosion potential model-case study: Republic of Srpska (BiH). Carpathian J. Earth Environ. Sci. 2012, 7, 147–154. [Google Scholar]
- Bezak, N.; Borrelli, P.; Mikoš, M.; Auflič, M.J.; Panagos, P. Towards multi-model soil erosion modelling: An evaluation of the erosion potential method (EPM) for global soil erosion assessments. Catena 2024, 234, 107596. [Google Scholar] [CrossRef]
- Marko, O.; Gjipalaj, J.; Profka, D.; Shkodrani, N. Soil erosion estimation using Erosion Potential Method in the Vjosa River Basin, Albania. AIMS Environ. Sci. 2023, 10, 191–205. [Google Scholar] [CrossRef]
- Ennaji, N.; Ouakhir, H.; Halouan, S.; Abahrour, M. Assessment of soil erosion rate using the EPM model: Case of Ouaoumana basin, Middle Atlas, Morocco. IOP Conf. Ser. Earth Environ. Sci. 2022, 1090, 012004. [Google Scholar] [CrossRef]
- Ahmed, A.; Adil, D.; Hasna, B.; Elbachir, A.; Lazaar, R. Using EPM Model and GIS for estimation of soil erosion in Souss Basin, Morocco. Turk. J. Agric.-Food Sci. Technol. 2019, 7, 1228–1232. [Google Scholar] [CrossRef]
- Dominici, R.; Larosa, S.; Viscomi, A.; Mao, L.; De Rosa, R.; Cianflone, G. Yield Erosion Sediment (YES): A PyQGIS Plug-In for the Sediments Production Calculation Based on the Erosion Potential Method. Geosciences 2020, 10, 324. [Google Scholar] [CrossRef]
- Ali, S.; Al-Umary, F.A.; Salar, S.G.; Al-Ansari, N.; Knutsson, S. GIS Based Soil Erosion Estimation Using EPM Method, Garmiyan Area, Kurdistan Region, Iraq. J. Civ. Eng. Archit. 2016, 10, 291–308. [Google Scholar] [CrossRef]
- Zeghmar, A.; Marouf, N.; Mokhtari, E. Assessment of soil erosion using the GIS-based erosion potential method in the Kebir Rhumel Watershed, Northeast Algeria. J. Water Land Dev. 2022, 52, 133–144. [Google Scholar] [CrossRef]
- Sakuno, N.R.R.; Guiçardi, A.C.F.; Spalevic, V.; Avanzi, J.C.; Silva, M.L.N.; Mincato, R.L. Adaptation and application of the erosion potential method for tropical soils. Rev. Ciência Agronômica 2020, 51, e20186545. [Google Scholar] [CrossRef]
- Zlatanović, N.; Drobnjak, A.; Milovanović, I.; Puzović, R. Application of open source GIS algorithms for erosion mapping. In Proceedings of the YUinfo 2015 Conference, 21st Conference and Exhibition, Brus, Serbia, 8–11 March 2015; pp. 131–134, ISBN 978-86-85525-15-5. [Google Scholar]
- Kostadinov, S. Torrents and Soil Erosion; University of Belgrade, Faculty of Forestry: Belgrade, Serbia, 2008; pp. 1–505. (In Serbian) [Google Scholar]
- Gocić, M.; Dragićević, S.; Radivojević, A.; Martić Bursać, N.; Stričević, L.; Đorđević, M. Changes in Soil Erosion Intensity Caused by Land Use and Demographic Changes in the Jablanica River Basin, Serbia. Agriculture 2020, 10, 345. [Google Scholar] [CrossRef]
- Spalevic, V.; Barovic, G.; Vujacic, D.; Curovic, M.; Behzadfar, M.; Djurovic, N.; Dudic, B.; Billi, P. The Impact of Land Use Changes on Soil Erosion in the River Basin of Miocki Potok, Montenegro. Water 2020, 12, 2973. [Google Scholar] [CrossRef]
- Nikolic, G.; Spalevic, V.; Curovic, M.; Khaledi Darvishan, A.; Skataric, G.; Pajic, M.; Kavian, A.; Tanaskovik, V. Variability of Soil Erosion Intensity Due to Vegetation Cover Changes: Case Study of Orahovacka Rijeka, Montenegro. Not. Bot. Horti Agrobot. Cluj-Napoca 2018, 47, 237–248. [Google Scholar] [CrossRef]
- Kastridis, A.; Kamperidou, V. Influence of land use changes on alluviation of Volvi Lake wetland (North Greece). Soil Water Res. 2015, 10, 121–129. [Google Scholar] [CrossRef]
- Mongil-Manso, J.; Navarro-Hevia, J.; San Martín, R. Impact of Land Use Change and Afforestation on Soil Properties in a Mediterranean Mountain Area of Central Spain. Land 2022, 11, 1043. [Google Scholar] [CrossRef]
- Vopravil, J.; Formánek, P.; Heěmanovská, D.; Khel, T.; Jacko, K. The impact of agricultural land afforestation on soil water content in Central Bohemia. J. For. Sci. 2021, 67, 512. [Google Scholar] [CrossRef]
- Ozsahin, E.; Duru, U.; Eroglu, I. Land Use and Land Cover Changes (LULCC), a Key to Understand Soil Erosion Intensities in the Maritsa Basin. Water 2018, 10, 335. [Google Scholar] [CrossRef]
- Prashanth, M.; Kumar, A.; Dhar, S.; Verma, O.; Rai, S.K.; Kouser, B. Land use/land cover change and its implication on soil erosion in an ecologically sensitive Himachal Himalayan watershed, Northern India. Front. For. Glob. Chang. 2023, 6, 1124677. [Google Scholar] [CrossRef]
- Ebabu, K.; Tsunekawa, A.; Haregeweyn, N.; Adgo, E.; Meshesha, D.T.; Aklog, D.; Masunaga, T.; Tsubo, M.; Sultan, D.; Fenta, A.A.; et al. Effects of land use and sustainable land management practices on runoff and soil loss in the Upper Blue Nile basin, Ethiopia. Sci. Total Environ. 2019, 648, 1462–1475. [Google Scholar] [CrossRef] [PubMed]
- Cheng, J.; Zhang, X.; Jia, M.; Su, Q.; Kong, D.; Zhang, Y. Integrated Use of GIS and USLE Models for LULC Change Analysis and Soil Erosion Risk Assessment in the Hulan River Basin, Northeastern China. Water 2024, 16, 241. [Google Scholar] [CrossRef]
- Weng, X.; Zhang, B.; Zhu, J.; Wang, D.; Qiu, J. Assessing Land Use and Climate Change Impacts on Soil Erosion Caused by Water in China. Sustainability 2023, 15, 7865. [Google Scholar] [CrossRef]
- Lucas-Borja, M.E.; Antonio-Zema, D. Check dam uses for soil conservation and erosion control: A worldwide review. In Proceedings of the EGU General Assembly 2023, Vienna, Austria, 24–28 April 2023. EGU23-17109. [Google Scholar] [CrossRef]
- Shi, P.; Yu, Y.; Bai, L.; Ren, Z.; Yu, K.; Xiao, L.; Yan, H.; Zhang, Y. Water and Soil Conservation by Check Dam Construction. In Check Dam Construction for Sustainable Watershed Management and Planning; Li, Z., Li, P., Yu, Y., Shi, P., Piton, G., Eds.; Wiley: Hoboken, NJ, USA, 2022. [Google Scholar] [CrossRef]
- Abbasi, N.A.; Xu, X.; Lucas-Borja, M.E.; Dang, W.; Liu, B. The use of check dams in watershed management projects: Examples from around the world. Sci. Total Environ. 2019, 676, 683–691. [Google Scholar] [CrossRef] [PubMed]
- Borja, P.; Molina, A.; Govers, G.; Vanacker, V. Check dams and afforestation reducing sediment mobilization in active gully systems in the Andean mountains. Catena 2018, 165, 42–53. [Google Scholar] [CrossRef]
- Abedini, M.; Said, M.A.M.; Ahmad, F. Effectiveness of Check Dam to control soil erosion in a tropical catchment (The Ulu Kinta Basin). Catena 2012, 97, 63–70. [Google Scholar] [CrossRef]
- Wang, Z.; Chen, Z.; Yu, S.; Zhang, Q.; Wang, Y.; Hao, J. Erosion-control mechanism of sediment check dams on the Loess Plateau. Int. J. Sediment Res. 2021, 36, 668–677. [Google Scholar] [CrossRef]
- Piton, G. Sediment Transport Control by Check Dams and Open Check Dams in Alpine Torrents. Earth Sciences. Ph.D. Thesis, Université Grenoble Alpes, Saint-Martin-d’Hères, France, 2016. Available online: https://theses.hal.science/tel-02603609v3 (accessed on 25 January 2024).
- Margiorou, S.; Kastridis, A.; Sapountzis, M. Pre/Post-Fire Soil Erosion and Evaluation of Check-Dams Effectiveness in Mediterranean Suburban Catchments Based on Field Measurements and Modeling. Land 2022, 11, 1705. [Google Scholar] [CrossRef]
- Hartman, B.D.; Bookhagen, B.; Chadwick, O.A. The effects of check dams and other erosion control structures on the restoration of Andean bofedal ecosystems. Restor. Ecol. 2016, 24, 761–772. [Google Scholar] [CrossRef]
- Yuan, S.; Li, Z.; Li, P.; Xu, G.; Gao, H.; Xiao, L.; Wang, F.; Wang, T. Influence of Check Dams on Flood and Erosion Dynamic Processes of a Small Watershed in the Loss Plateau. Water 2019, 11, 834. [Google Scholar] [CrossRef]
- Zhang, Z.; Chai, J.; Li, Z.; Chen, L.; Yu, K.; Yang, Z.; Zhang, X.; Zhao, Y. Effect of Check Dam on Sediment Load Under Vegetation Restoration in the Hekou-Longmen Region of the Yellow River. Front. Environ. Sci. 2022, 9, 823604. [Google Scholar] [CrossRef]
- Vuković, A.J.; Vujadinović, M.P.; Rendulić, S.M.; Đurđević, V.S.; Ruml, M.M.; Babić, V.P.; Popović, D.P. Global Warming Impact On Climate Change In Serbia For The Period 1961–2100. Therm. Sci. 2018, 22 Pt A, 2267–2280. [Google Scholar] [CrossRef]











| Parameter | Mark | Value | Unit |
|---|---|---|---|
| Watershed area | A | 609.15 | km2 |
| Perimeter | O | 184.47 | km |
| River length | L | 69.95 | km |
| Watershed length | Ls | 49.39 | km |
| Peak point of the watershed | Hmax | 1936 | m |
| Confluence point of the watershed | Hmin | 239 | m |
| Mean slope of the riverbed | Iu | 1.62 | % |
| Mean slope of terrain | Isr | 34.65 | % |
| Mean altitude | Hsr | 695 | m |
| Mean altitude difference | D | 447 | m |
| Meteorological Stations | Coordinates | Elevation | Average Annual Temperature | Average Annual Rainfall | |
|---|---|---|---|---|---|
| X | Y | ||||
| m a.s.l. | °C | mm | |||
| Kruševac | 7,528,274.36 | 4,824,754.19 | 166 | 12.4 | 738 |
| Brus | 7,502,705.92 | 4,804,323.12 | 426 | 10.6 | 822 |
| Blace | 7,524,339.64 | 4,795,099.41 | 425 | 10.6 | 651 |
| Goč | 7,487,890.04 | 4,822,849.21 | 990 | 8.3 | 978 |
| Kopaonik | 7,484,294.00 | 4,793,337.00 | 1710 | 4.2 | 1035 |
| Jastrebac | 7,528,303.00 | 4,814,539.00 | 256 | 11.6 | 884 |
| Additional Info | X Description—Soil Protection | X |
| Before implementation of anti-erosion measures | Completely bare, uncultivable land (bare land) | 1.00 |
| Arable land with plowing up or down hill | 1.00 | |
| Orchards and vineyards, without ground vegetation | 0.70 | |
| Mountain pastures and drylands | 0.60 | |
| Meadows, fields and similar agricultural crops | 0.40 | |
| Degraded forests and thickets with eroded soil | 0.60 | |
| Forests and thickets with good structure and vegetation | 0.05 | |
| After implementation of anti-erosion measures | Plows with contour plowing (isohypsis direction) | 0.60 |
| Arable land well cared for and protected by mulching | 0.50 | |
| Contour strip cultivation with crop rotation (fields) | 0.45 | |
| Contour orchards and vineyards | 0.30 | |
| Terracing of arable land, terraces and tiers | 0.35 | |
| Weeding of bare land and melioration of pastures and drylands | 0.30 | |
| Construction of contour trenches of medium density | ||
| Retardation waterways and micro-accumulations | 0.25 | |
| Afforestation with construction of tiers | 0.10 | |
| Channel regulation, dam construction and channelization | 0.70 | |
| Y Description—Soil Erodibility | Y | |
| Sand, gravel and loose soils | 2.00 | |
| Loess, tuffs, salt marshes, steppe soils | 1.60 | |
| Disintegrated limestones and marls | 1.20 | |
| Serpentines, red sandstones, flysch deposits | 1.10 | |
| Podzol soils and alike; decomposed shales: micaschist, gneiss slates, clay slates | 1.00 | |
| Core limestones and shales, red rocks and humus-silicate soils | 0.90 | |
| Cambisol and mountain lands | 0.80 | |
| Vertisol, humogley and wetlands | 0.60 | |
| Chernozem and alluvial soils of good structure | 0.50 | |
| Bare compact eruptives (volcanic origin) | 0.25 | |
| φ Description—Type and Extent of Erosion and Slumps | φ | |
| Watershed completely under gully erosion and primordial processes | 1.00 | |
| About 80% of the watershed is under furrow and gully erosion | 0.90 | |
| About 50% of the watershed is under furrow and gully erosion | 0.80 | |
| The entire watershed is subject to surface erosion | 0.70 | |
| The entire watershed is under surface erosion, without deep processes | 0.60 | |
| Land with 50% of the area covered by surface erosion | 0.50 | |
| Land with 20% of the area covered by surface erosion | 0.30 | |
| No visible signs of erosion, minor slips and slides in watercourses | 0.20 | |
| Erosion Category | Erosion Intensity | Range of Z | Range of W (m3/km−2/year−1) |
|---|---|---|---|
| I | Excessive Erosion | 1.01–1.50 | >3000 |
| II | Intensive Erosion | 0.71–1.00 | 1200–3000 |
| III | Medium Erosion | 0.41–0.70 | 800–1200 |
| IV | Weak Erosion | 0.21–0.40 | 400–800 |
| V | Very Weak Erosion | 0.01–0.020 | 100–400 |
| River Basin | No | It | Iz | Iz/It | hk | m | W | |
|---|---|---|---|---|---|---|---|---|
| % | % | m | m | m3 | ||||
| 1 | Blatasnica River | 1 | 1.6 | 0.28 | 0.18 | 4.0 | 19.5 | 11,818.18 |
| 2 | 2 | 1.6 | 0.24 | 0.15 | 3.0 | 25.0 | 8272.06 | |
| 3 | 3 | 1.1 | 0.27 | 0.25 | 2.5 | 28.0 | 10,542.17 | |
| 4 | Popovacka River | 1 | 3.45 | 1.43 | 0.41 | 1.5 | 14.5 | 807.55 |
| 5 | Zunjska River | 1 | 2.77 | 1.95 | 0.70 | 2.0 | 47.0 | 11,463.41 |
| 6 | 2 | 3.07 | 1.68 | 0.55 | 3.0 | 35.0 | 11,330.94 | |
| 7 | 3 | 3.07 | 1.45 | 0.47 | 3.0 | 22.0 | 6111.11 | |
| 8 | 4 | 4.22 | 1.72 | 0.41 | 5.0 | 44.0 | 22,000.00 | |
| 9 | Koznicka River | 1 | 5.79 | 4.19 | 0.72 | 4.0 | 48.0 | 24,000.00 |
| 10 | 2 | 7.69 | 4.40 | 0.57 | 5.5 | 19.0 | 8734.80 | |
| 11 | 3 | 7.42 | 5.45 | 0.73 | 3.0 | 22.0 | 5025.38 | |
| 12 | Zagrza | 1 | 2.35 | 1.02 | 0.43 | 3.0 | 14.0 | 4736.84 |
| 13 | 2 | 2.50 | 1.15 | 0.46 | 3.5 | 15.0 | 6805.56 | |
| 14 | Rasina River | 1 | 3.85 | 1.98 | 0.51 | 2.5 | 21.5 | 3592.91 |
| Year | 1968 | 2022 | ||
|---|---|---|---|---|
| Land Use | Area km2 | % | Area km2 | % |
| Forests | 201.35 | 33.05 | 384.19 | 63.07 |
| Barren land | 6.15 | 1.01 | 1.88 | 0.31 |
| Degraded forests | 97.25 | 15.96 | 54.55 | 8.96 |
| Meadows and pastures | 163.45 | 26.84 | 66.80 | 10.97 |
| Arable lands | 115.27 | 18.92 | 83.96 | 13.78 |
| Settlements | 25.68 | 4.22 | 14.53 | 2.38 |
| Reservoir | - | - | 3.25 | 0.53 |
| Total | 609.15 | 100 | 609.15 | 100 |
| Year | 1968 | 2022 | ||
|---|---|---|---|---|
| Erosion Category | Area km2 | % | Area km2 | % |
| Excessive Erosion | 54.74 | 8.99 | 0.03 | 0.00 |
| Intensive Erosion | 173.96 | 28.56 | 3.26 | 0.54 |
| Medium Erosion | 191.4 | 31.42 | 145.09 | 23.82 |
| Weak Erosion | 189.05 | 31.04 | 418.27 | 68.66 |
| Very Weak Erosion | - | - | 42.50 | 6.98 |
| Total | 609.15 | 100 | 609.15 | 100 |
| Specific Annual Gross Erosion | Specific Sediment Transport | ||
|---|---|---|---|
| m3/km−2/year−1 | m3/km−2/year−1 | ||
| 1968 | 2022 | 1968 | 2022 |
| 1189.12 | 554.20 | 540.18 | 253.55 |
| Total Annual Gross Erosion | Total Sediment Transport | ||
|---|---|---|---|
| m3/year | m3/year | ||
| 1968 | 2022 | 1968 | 2022 |
| 724,351.84 | 337,589.51 | 329,052.69 | 154,450.81 |
Disclaimer/Publisher’s Note: The statements, opinions and data contained in all publications are solely those of the individual author(s) and contributor(s) and not of MDPI and/or the editor(s). MDPI and/or the editor(s) disclaim responsibility for any injury to people or property resulting from any ideas, methods, instructions or products referred to in the content. |
© 2024 by the authors. Licensee MDPI, Basel, Switzerland. This article is an open access article distributed under the terms and conditions of the Creative Commons Attribution (CC BY) license (https://creativecommons.org/licenses/by/4.0/).
Share and Cite
Stefanović, I.; Ristić, R.; Dragović, N.; Stefanović, M.; Živanović, N.; Čotrić, J. Effects of Erosion Control Works: Case Study–Reservoir Celije, Rasina River Basin, the Zapadna Morava River (Serbia). Water 2024, 16, 855. https://doi.org/10.3390/w16060855
Stefanović I, Ristić R, Dragović N, Stefanović M, Živanović N, Čotrić J. Effects of Erosion Control Works: Case Study–Reservoir Celije, Rasina River Basin, the Zapadna Morava River (Serbia). Water. 2024; 16(6):855. https://doi.org/10.3390/w16060855
Chicago/Turabian StyleStefanović, Irina, Ratko Ristić, Nada Dragović, Milutin Stefanović, Nada Živanović, and Jelena Čotrić. 2024. "Effects of Erosion Control Works: Case Study–Reservoir Celije, Rasina River Basin, the Zapadna Morava River (Serbia)" Water 16, no. 6: 855. https://doi.org/10.3390/w16060855
APA StyleStefanović, I., Ristić, R., Dragović, N., Stefanović, M., Živanović, N., & Čotrić, J. (2024). Effects of Erosion Control Works: Case Study–Reservoir Celije, Rasina River Basin, the Zapadna Morava River (Serbia). Water, 16(6), 855. https://doi.org/10.3390/w16060855

