Source Apportionment and Health Risk Assessment of Groundwater Potentially Toxic Elements (PTEs) Pollution Characteristics in an Accident Site in Zhangqiu, China
Abstract
1. Introduction
2. Materials and Methods
2.1. Study Area
2.2. Sampling and Analysis
2.3. Groundwater Quality Assessment
2.3.1. Single-Factor Evaluation Method
2.3.2. Nemerow Comprehensive Evaluation Method
2.4. Health Risk Assessment Model
- (1)
- Risk exposure through oral intake route: ADDi, mg (kg × d)−1
- (2)
- Risk exposure of skin contact pathway, ADDd, mg (kg × d)−1
- (3)
- Risk characterization
2.5. Analytical Method of Pollution Source
2.5.1. Correlation Analysis
2.5.2. Principal Component Analysis
2.5.3. Positive Definite Matrix Factorization Model
2.6. Data Analysis and Mapping Tools
3. Results and Discussion
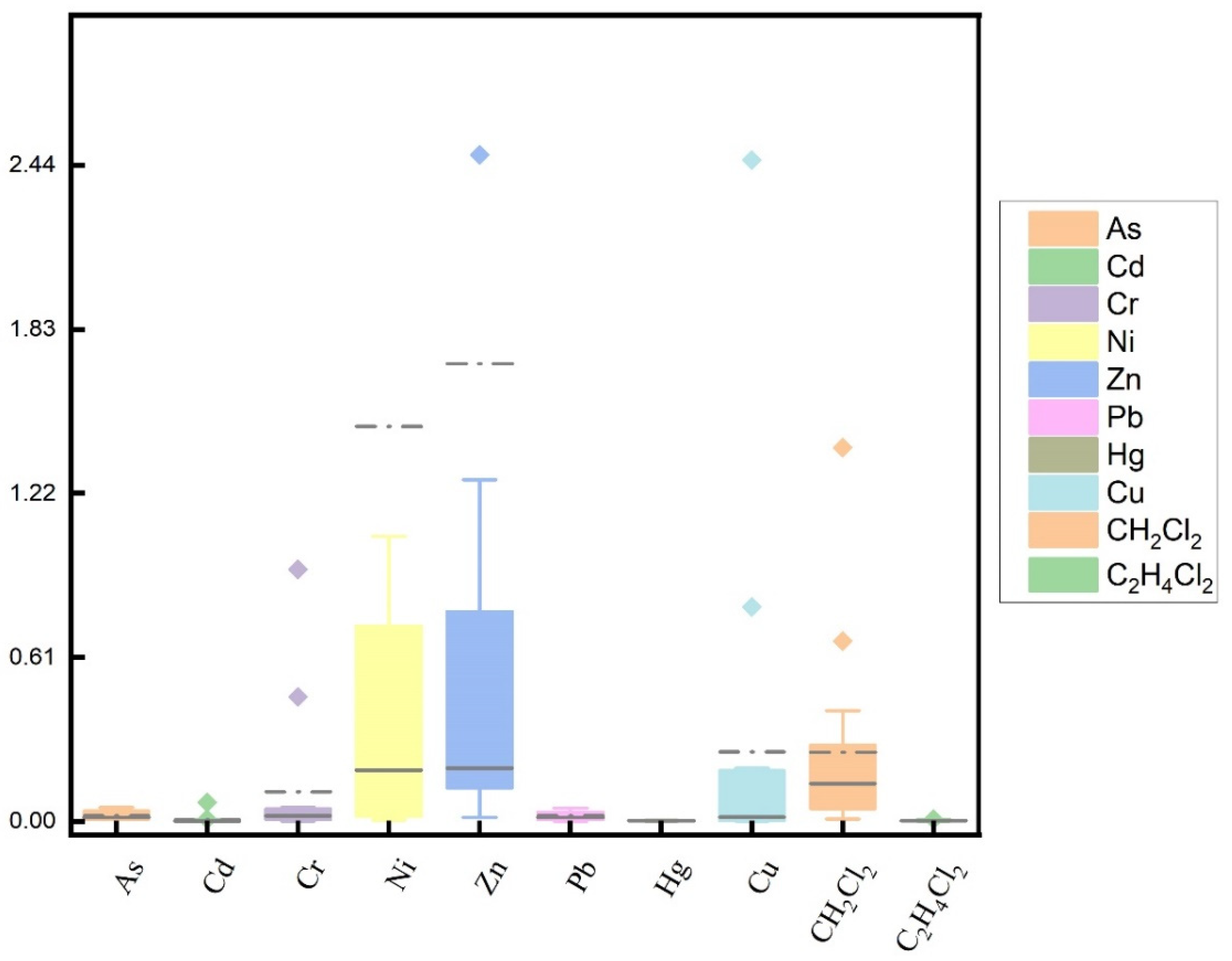
3.1. Levels of Major Parameters
3.2. Groundwater Quality Evaluation Results
3.3. Groundwater Health Risk Assessment
3.4. Source Apportionment of Elements in Groundwater
3.4.1. Correlation Analysis
3.4.2. PCA
3.4.3. PMF
4. Conclusions
Author Contributions
Funding
Data Availability Statement
Conflicts of Interest
References
- 2022 China Water Resources Bulletin. Water Resour. Dev. Manag. 2023, 9, 2. Available online: http://www.mwr.gov.cn/xw/slyw/202306/t20230629_1672395.html (accessed on 10 January 2024).
- Ministry of Ecology and Environment of the People’s Republic of China National Groundwater Pollution Prevention and Control Plan (2011–2020) [EB]. 2011. Available online: https://www.mee.gov.cn/gkml/hbb/bwj/201111/W020111109376922920938.pdf (accessed on 28 October 2011).
- Xiao, H.; Shahab, A.; Li, J.Y.; Xi, B.; Sun, X.; He, H.; Yu, G. Distribution, ecological risk assessment and source identification of heavy metals in surface sediments of Huixian karst wetland, China. Ecotoxicol. Environ. Saf. 2019, 185, 109700. [Google Scholar] [CrossRef]
- Ahmed, S.; Khurshid, S.; Madan, R.; Bassam, A.A.; Naushad, M. Water quality assessment of shallow aquifer based on Canadian Council of Ministers of the environment index and its impact on irrigation of Mathura District, Uttar Pradesh. J. King Saud Univ.-Sci. 2020, 32, 1218–1225. [Google Scholar] [CrossRef]
- Ahmedd, S.; Akhtar, N.; Rahman, A.; Mondal, N.; Khurshid, S.; Sacsh, S.; Khan, M.; Kamboj, V. Evaluating groundwater pollution with emphasizing heavy metal hotspots in an urbanized alluvium watershed of Yamuna River, northern India. Environ. Nanotechnol. Monit. Manag. 2022, 18, 100744. [Google Scholar] [CrossRef]
- Pazand, K.; Khosrvai, D.; Ghaderi, M.R.; Rezvaniyanzadeh, M. Hydrogeochemistry and lead contamination of groundwater in the north part of Esfahan province, Iran. J. Water Health 2018, 16, 622–634. [Google Scholar] [CrossRef]
- Baskaran, P.; Abraham, M. Evaluation of groundwater quality and heavy metal pollution index of the industrial area, Chennai. Phys. Chem. Earth Parts A/B/C 2022, 128, 103259. [Google Scholar] [CrossRef]
- Belkhiri, L.; Mouni, L.; Sheikhy Narany, T.; Tiri, A. Evaluation of potential health risk of heavy metals in groundwater using the integration of indicator kriging and multivariate statistical methods. Ground Water Sustain. Dev. 2017, 4, 12–22. [Google Scholar] [CrossRef]
- Wang, S.; Gu, Y.; Yang, J.; Jiang, Y.; Yu, X.; Zhang, Z.; Wang, J.; Wang, T.; Zhang, Y. Emissions and distribution characteristics of heavy metal in 1000MW near-zero emission coal-fired units. China Environ. Sci. 2022, 42, 2060–2069. [Google Scholar]
- Zhao, L.Y.; Kong, L.H.; Zhao, Z.G.; Zhou, W.; Qiu, J.; Huang, J.; Geng, B.; Yang, M.; Han, X.; Li, Y.; et al. Pollution Characteristics, Source Analysis and Risk Assessment of Heavy Metals in Soil Around a Gold Mine in Jiaodong Peninsula. Geol. China 2023, 1–28. Available online: http://kns.cnki.net/kcms/detail/11.1167.P.20231106.1329.002.html (accessed on 26 February 2024).
- Ljung, K.; Otabbong, E.; Selinus, O. Natural and anthropogenic metal inputs to soils in urban uppsala, sweden. Environ. Geochem. Health 2006, 28, 353–364. [Google Scholar] [CrossRef]
- Huang, R.J.; Cheng, R.; Jing, M.; Yang, L.; Li, Y.; Chen, Q.; Chen, Y.; Yan, J.; Lin, C.; Wu, Y.; et al. Source-specific health risk analysis on particulate trace elements: Coal combustion and traffic emission as major contributors in wintertime Beijing. Environ. Sci. Technol. 2018, 52, 10967–10974. [Google Scholar] [CrossRef]
- Gu, C.; Zhao, Y. Research progress of air pollutant emissions of Chinese coal-fired power plants. J. China Coal Soc. 2022, 1–12. Available online: https://kns.cnki.net/kcms/detail/11.2190.TD.20220816.1038.003.html (accessed on 9 January 2024).
- Xie, T.Y.; Shi, Z.M.; Gao, Y.W.; Tan, L.; Meng, L. Modeling analysis of the characteristics of selenium-rich soil in heavy metal high background area and its impact on main crops. Ecol. Inform. 2021, 66, 101420. [Google Scholar] [CrossRef]
- Wang, J.; Zhang, X.; Chen, A.; Wang, B.; Zhao, Q.; Liu, G.; Xiao, X.; Cao, J. Source analysis and risk evaluation of heavy metal in the river sediment of polymetallic mining area: Taking the Tonglüshan skarn type Cu-Fe-Au deposit as an example, Hubei section of the Yangtze River Basin, China. China Geol. 2022, 5, 649–661. [Google Scholar]
- Outridge, P.M.; Mason, R.P.; Wang, F.; Guerrero, S.; Heimburger, L. Updated global and oceanic mercury budgets for the United Nations global mercury assessment. Environ. Sci. Technol. 2018, 52, 11466–11477. [Google Scholar] [CrossRef]
- Huang, X.; Hu, J.; Qin, F.; Quan, W.; Cao, R.; Fan, M.; Wu, X. Heavy metal pollution and ecological assessment around the Jinsha coal-fired power plant (China). Int. J. Environ. Res. Public Health 2017, 14, 1589. [Google Scholar] [CrossRef]
- Minkina, T.; Konstantinova, E.; Bauer, T.; Mandzhieva, S.; Sushkova, S.; Chaplygin, V.; Burachevskaya, M.; Nazarenko, O.; Kizilkaya, R.; Gülser, C.; et al. Environmental and human health risk assessment of potentially toxic elements in soils around the largest coal-fired power station in Southern Russia. Environ. Geochem. Health 2020, 43, 2285–2300. [Google Scholar] [CrossRef]
- Linnik, V.G.; Minkina, T.M.; Bauer, T.V.; Saceliev, A.; Mandzhieva, S. Geochemical assessment and spatial analysis of heavy metals pollution around coalfired power station. Environ. Geochem. Health 2021, 42, 4087–4100. [Google Scholar] [CrossRef]
- Liu, Z.; Fang, Z.; Ding, X. Heavy metal pollution and health risk assessment of soil in ash yard of coal-fired power plant. Ecol. Environ. 2021, 30, 1916–1922. [Google Scholar] [CrossRef]
- Yang, Z.; Xiao, R.; Chen, Y.; Deng, Y.; Han, C.; Liu, C.; Gao, Z.; Huang, S.; Dai, W. Heavy metal distribution, risk assessment and source analysis of soil around a typical coalfired power plant in South China. Acta Ecol. Sin. 2020, 40, 4823–4835. [Google Scholar]
- Yang, M.; Li, X.; Wang, Y.; Zhang, J. Spatial distribution, source analysis and health risk assessment of heavy metals in surface dust around a coal-fired power plant. J. Arid Land Resour. Environ. 2022, 36, 176–182. [Google Scholar] [CrossRef]
- Che, K.; Chen, C.; Zheng, Q.; Fan, H.; Wei, M.; Luo, P.; Yu, J. Heavy metal emissions from coal-fired power plants and heavy metal pollution characteristics and health risks in surrounding soils. Environ. Sci. 2022, 43, 4578–4589. [Google Scholar] [CrossRef]
- Chen, H.; Wu, W.; Cao, L.; Zhou, X.; Guo, R.; Nie, L.; Shang, W. Source Analysis and Contamination Assessment of Potentially Toxic Element in Soil of Small Watershed in Mountainous Area of Southern Henan, China. Int. J. Environ. Res. Public Health 2022, 19, 13324. [Google Scholar] [CrossRef]
- Han, Y.; Liu, Y.; Wei, S.; Wang, M.; Ding, G.; Song, X.; Shen, D.; Gao, S.; Tang, C.; Ma, G. Source Apportionment and Health Risk Assessment of Heavy Metals in Karst Water from Abandoned Mines in Zhangqiu, China. Water 2023, 15, 3440. [Google Scholar] [CrossRef]
- Gao, D.; Yan, Y.; Yao, R.; Shi, H.; Chen, Q. Spatial analysis and GIS mapping of regional hydrochemistry, groundwater quality, and probabilistic health risk in western Sichuan Basin, southwestern China. Environ. Earth Sci. 2023, 83, 41. [Google Scholar] [CrossRef]
- Cai, X.L.; Cao, J.M.; Zhu, J.S.; Cheng, X. System of Crust-Mantle Ductile Shear Zone in the Continental Lithosphere in China. Earth Sci. Front. 2008, 15, 36–54. [Google Scholar] [CrossRef]
- Elizabeth, J.; Mary, V.; Michelle, L. Effect of Fe(III) on 1,1,2,2-Tetrachloroethane Degradation and Vinyl Chloride Accumulation in Wetland Sediments of the Aberdeen Proving Ground. Bioremediat. J. 2004, 8, 31–45. [Google Scholar] [CrossRef]
- GB/T 14848-2017; Natural Resources and Territory Spatial Planning. Standard for Groundwater Quality. Natural Resources and Territory Spatial Planning: Beijing, China, 2014.
- Li, M.; Zhang, J.; Liang, N.; Lin, L.; Li, Q.; Wen, X. Comparisons of some common methods for water environmental quality assessment. Prog. Geogr. 2012, 31, 617–624. [Google Scholar] [CrossRef]
- Wang, W.; Ji, M.; Su, Y. Reviews of the progress in the research of water quality evaluation and the methods for water quality evaluation. Sci-Tech Inf. Dev. Econ. 2012, 22, 129–131. [Google Scholar]
- Wu, W.H.; Zou, H.; Zhu, G.; Liao, Y.; Pan, H.; Xiao, C.; Fan, J.; Li, L. Characteristics and health risk assessment of heavy metal pollution in groundwater of a mining area. J. Ecol. Rural Environ. 2018, 34, 1027–1033. [Google Scholar]
- USEPA. Risk Assessment Guidance for Superfund Volume I: Human Health Evaluation Muanual (Part E, Supplemental Guidance for Dermal Risk Assessment); USEPA: Washington, DC, USA, 2004.
- Duan, X.L. Research Methods of Exposure Parameters and Their Application in Environmental Health Risk Assessment; Science Press: Beijing, China, 2012. [Google Scholar]
- Liu, B.; Cui, X.; Wang, X.; Hu, Q. Source identification and health risk assessment of heavy metals in groundwater of Yongqing County, Hebei. J. Ecol. Rural. Environ. 2022, 39, 741–749. [Google Scholar] [CrossRef]
- Ma, C.; Zhou, J.; Zeng, Y.; Bai, F.; Yan, Z. Source analysis and health risk assessment of heavy metals in groundwater in the oasis belt of Ruoqiang County, Xinjiang. Acta Sci. Circumstantiae 2023, 43, 266–277. [Google Scholar] [CrossRef]
- Cao, Z.; Gou, J.; Qiu, X.; Zhou, Q.; Wan, Y.; Zhao, Z. Spatial and temporal distribution characteristics and health risk assessment of heavy metals in water of Ningxia section of the Yellow River. Environ. Monit. Manag. Technol. 2022, 34, 33–38. [Google Scholar] [CrossRef]
- An, W.; Sun, L.; Ma, L.; Zhang, S. Assessment of heavy metals and human health risk in surface soils in a legacy land of typical industrial agglomeration area. J. Nat. Sci. Hunan Norm. Univ. 2022, 45, 108–116. [Google Scholar]
- Rao, K.; Tang, T.; Zhang, X.; Wang, M.; Liu, J.; Wu, B.; Wang, P.; Ma, Y. Spatial-temporal dynamics, ecological risk assessment, source identification and interactions with internal nutrients release of heavy metals in surface sediments from a large Chinese shallow lake. Chemosphere 2021, 282, 131041. [Google Scholar] [CrossRef]
- Singaraja, C.; Chidambaram, S.; Srinivasamoorthy, K.; Anandhan, P.; Selvam, S. A study on assessment of credible sources of heavy metal pollution vulnerability in groundwater of thoothukudi districts, Tamilnadu, India. Water Qual. Expo. Health 2015, 7, 459–467. [Google Scholar] [CrossRef]
- Paatero, P.; Tapper, U. Positive matrix factorization: A non-negative factor model with optimal utilization of error estimates of data values. Environmetrics 1994, 5, 111–126. [Google Scholar]
- Wen, C.; Zhu, S.; Li, N.; Luo, X. Source apportionment and risk assessment of metal pollution in natural biofilms and surface water along the Lancang River, China. Sci. Total Environ. 2022, 843, 156977. [Google Scholar] [CrossRef]
- Wang, Z.; Han, R.; Muhammad, A.; Guan, D.; Zama, E.; Li, G. Correlative distribution of DOM and heavy metals in the soils of the Zhangxi watershed in Ningbo city, East of China. Environ. Pollut. 2022, 299, 118811. [Google Scholar]
- Belon, E.; Boisson, M.; Deportes, I.Z.; Eglin, T.K.; Feix, I.; Bispo, A.O.; Galsomies, L.; Leblond, S.; Guellier, C.R. An inventory of trace elements inputs to French agricultural soils. Sci. Total Environ. 2012, 439, 87–95. [Google Scholar] [CrossRef]
- Qu, M.; Wang, Y.; Huang, B.; Zhao, Y. Source apportionment of soil heavy metals using robust absolute principal component scores-robust geographically weighted regression (RAPCS-RGWR) receptor model. Sci. Total Environ. 2018, 626, 203–210. [Google Scholar] [CrossRef]
- Li, J.; Teng, Y.; Wu, J.; Jiang, J.; Huang, Y. Source Apportionment of Soil Heavy Metal in the Middle and Upper Reaches of Le’an River based on PMF Model and Geostatistics. Res. Environ. Sci. 2019, 32, 984–992. [Google Scholar] [CrossRef]
- Jiang, Y. Distribution Characteristics and Environmental Health Risk Assessment of Dissolved Trace Elements in River Flow under the Influence of Human Activities. Ph.D. Thesis, Guizhou University, Guiyang, China, 2021. [Google Scholar] [CrossRef]
- Ye, P.; Abdugheni, A.; Sun, X.; Halidan, A. E Source analysis and pollution assessment of soil heavy metals in the economic belt on the northern slope of Tianshan. China Environ. Sci. 2022, 42, 4704–4712. [Google Scholar] [CrossRef]
- Cai, L.; Ma, J.; Zhou, Y.; Huang, L.; Dou, L.; Zhang, C.; Fu, S. Multivariate Geostatistics and GIS-based Approach to Study the Spatial Distribution and Sources of Heavy Metals in Agricultural Soil in the Pearl River Delta, China. Environ. Sci. 2008, 29, 3496–3502. [Google Scholar] [CrossRef]
- Ma, J.; Shen, Z.; Zhang, P.; Liu, P.; Liu, J.; Sun, J.; Wang, L. Pollution characteristics and source apportionment of heavy metals in farmland soils around the gangue heap of coal mine based on APCS-MLR and PMF receptor model. Environ. Sci. 2023, 44, 2192–2203. [Google Scholar] [CrossRef]
- Zhao, D.; Jiang, C.; Zhao, Q.; Chen, X.; Li, C.; Zheng, L.; Chen, Y. Distribution characteristics and source apportionment of polycyclic aromatic hydrocarbons in groundwater of a coal mining area based on PMF and PCA-APCS-MLR model. Earth Environ. 2022, 50, 721–732. [Google Scholar] [CrossRef]






| Pki | Class of Pollution | Pollution Level |
|---|---|---|
| ≤0 | I | uncontaminated |
| 0~1 | II | light pollution |
| 1~3 | III | moderate pollution |
| 3~6 | IV | more serious pollution. |
| 6~10 | V | heavy pollution |
| >10 | VI | extremely heavy pollution |
| F | Class of Pollution | Pollution Level |
|---|---|---|
| ≤0.8 | I | superior |
| 0.8~2.5 | II | better |
| 2.5~425 | III | good |
| 4.25~7.2 | IV | worse |
| >7.2 | V | range |
| Exposure Pathways | Parameter | Unit | Adults | Children | Reference |
|---|---|---|---|---|---|
| oral ingestion | IR | L × d−1 | 2.54 | 0.92 | [33,34] |
| EF | D × a−1 | 365 | 365 | [35] | |
| ED | a | 30 | 6 | [35,36] | |
| BW | kg | 62.8 | 22 | [33,34] | |
| skin exposure | SA | cm2 | 1.7 × 104 | 8100 | [33,34] |
| EF | D × a−1 | 200 | 200 | [35,37] | |
| ET | H × d−1 | 0.173 | 0.145 | [33,34] | |
| CF | L × cm−3 | 0.001 | 0.001 | [38] | |
| AT (non-carcinogenic) | d | ED × 365 | ED × 365 | [35] | |
| AT (carcinogenic) | d | 74.68 × 365 | 10 × 365 | [35] |
| PTEs | PC cm × h−1 | SF/mg × (kg × d)−1 | RFD/mg × (kg × d)−1 | ||
|---|---|---|---|---|---|
| Oral Ingestion | Skin Exposure | Oral Ingestion | Skin Exposure | ||
| As | 1.8 × 10−3 | 1.5 | 1.5 | 3.0 × 10−4 | 3.0 × 10−4 |
| Cr | 2.0 × 10−3 | 0.501 | 20.0 | 3.0 × 10−3 | 6.0 × 10−5 |
| Cd | 1.0 × 10−3 | 6.1 | 6.1 | 1.0 × 10−3 | 1.0 × 10−5 |
| Ni | 1.0 × 10−4 | - | - | 2.0 × 10−2 | 5.4 × 10−3 |
| Zn | 6.0 × 10−4 | - | - | 3.0 × 10−1 | 1.0 × 10−2 |
| Pb | 4.0 × 10−6 | - | - | 1.4 × 10−3 | 1.4 × 10−3 |
| Hg | 6.0 × 10−4 | - | - | 3.0 × 10−4 | 2.1 × 10−5 |
| Cu | 6.0 × 10−4 | - | - | 4.0 × 10−2 | 1.2 × 10−2 |
| CH2Cl2 | 1.0 × 10−3 | 0.002 | - | 6.0 × 10−3 | - |
| C2H4Cl2 | 1.0 × 10−3 | 0.091 | - | 6.0 × 10−3 | - |
| Index | Detection Limit | Min | Average | Max | Standard Deviation | Coefficient of Variation |
|---|---|---|---|---|---|---|
| pH | - | 3.10 | 6.54 | 7.7 | 1.19 | 0.18 |
| TH (mg × L−1) | 5 | 342.00 | 1235.19 | 2930 | 771.30 | 0.62 |
| TDS (mg × L−1) | 5 | 513.00 | 4471.59 | 34,400 | 8159 | 1.82 |
| COD (mg × L−1) | 0.5 | 0.95 | 70.9 | 504.6 | 153.04 | 2.48 |
| As (mg × L−1) | 0.005 | 0.00 | 0.02 | 0.05 | 0.02 | 0.85 |
| Cd (mg × L−1) | 0.0001 | 0.00 | 0.01 | 0.07 | 0.02 | 2.88 |
| Cr (mg × L−1) | 0.001 | 0.00 | 0.1 | 0.94 | 0.25 | 2.33 |
| Cu (mg × L−1) | 0.001 | 0.00 | 0.24 | 2.46 | 0.62 | 2.48 |
| Hg (mg × L−1) | 0.0005 | 0.00 | 0.00292 | 0.0049 | 0.00126 | 0.43 |
| Ni (mg × L−1) | 0.001 | 0.01 | 1.4 | 18.25 | 3.99 | 2.78 |
| Pb (mg × L−1) | 0.001 | 0.00 | 0.04 | 0.33 | 0.08 | 0.89 |
| Zn (mg × L−1) | 0.005 | 0.01 | 1.57 | 15.24 | 4.02 | 2.48 |
| CH2Cl2 (mg × L−1) | 0.005 | 0.00807 | 0.2808 | 1.39 | 0.35122 | 1.36 |
| C2H4Cl2 (mg × L−1) | 0.0005 | 0.00058 | 0.00283 | 0.00911 | 0.00282 | 0.99 |
| Analysis Index | As | Cd | Cr | Cu | Hg | Ni | Pb | Zn | F |
|---|---|---|---|---|---|---|---|---|---|
| ZQ01 | 10 | 10 | 10 | 10 | 10 | 10 | 10 | 10 | 8.49 |
| ZQ02 | 1 | 3 | 3 | 6 | 10 | 10 | 3 | 3 | 7.88 |
| ZQ03 | 0 | 1 | 0 | 0 | 0 | 6 | 3 | 1 | 7.36 |
| ZQ04 | 1 | 1 | 3 | 1 | 10 | 1 | 3 | 1 | 7.61 |
| ZQ05 | 0 | 0 | 0 | 0 | 0 | 0 | 1 | 0 | 7.33 |
| ZQ06 | 0 | 0 | 0 | 0 | 0 | 1 | 0 | 0 | 7.24 |
| ZQ07 | 1 | 3 | 3 | 6 | 0 | 10 | 1 | 10 | 7.85 |
| ZQ08 | 0 | 1 | 0 | 0 | 10 | 10 | 0 | 1 | 7.62 |
| ZQ09 | 0 | 1 | 0 | 0 | 0 | 10 | 0 | 1 | 7.51 |
| ZQ10 | 0 | 0 | 0 | 0 | 0 | 1 | 0 | 0 | 725 |
| ZQ11 | 0 | 0 | 0 | 0 | 0 | 1 | 0 | 0 | 7.25 |
| ZQ12 | 0 | 3 | 1 | 1 | 10 | 10 | 3 | 1 | 7.59 |
| ZQ13 | 0 | 3 | 1 | 6 | 0 | 10 | 3 | 6 | 7.73 |
| ZQ14 | 0 | 1 | 0 | 0 | 0 | 1 | 0 | 1 | 7.27 |
| ZQ15 | 0 | 3 | 0 | 0 | 0 | 10 | 0 | 1 | 7.59 |
| J1 | 3 | 1 | 10 | 0 | 0 | 10 | 3 | 6 | 7.87 |
| J2 | 0 | 0 | 3 | 1 | 0 | 10 | 0 | 1 | 7.44 |
| J3 | 0 | 0 | 0 | 0 | 0 | 6 | 0 | 1 | 7.30 |
| J4 | 3 | 0 | 3 | 0 | 0 | 10 | 0 | 1 | 7.39 |
| J5 | 0 | 0 | 0 | 0 | 0 | 1 | 0 | 1 | 7.30 |
| J6 | 3 | 3 | 3 | 3 | 0 | 10 | 3 | 6 | 7.72 |
| J7 | 0 | 0 | 6 | 1 | 0 | 6 | 3 | 1 | 7.49 |
| Oral Route | Skin Exposure | Comprehensive Risks | ||||
|---|---|---|---|---|---|---|
| Children | Adults | Children | Adults | Children | Adults | |
| As | 7.85 × 10−4 | 5.08 × 10−4 | 9.88 × 10−7 | 5.81 × 10−7 | 7.86 × 10−4 | 5.09 × 10−4 |
| Cd | 9.20 × 10−4 | 5.96 × 10−4 | 6.44 × 10−7 | 3.78 × 10−7 | 9.21 × 10−4 | 5.96 × 10−4 |
| Cr | 1.39 × 10−3 | 8.97 × 10−4 | 7.74 × 10−5 | 4.54 × 10−5 | 1.46 × 10−3 | 9.42 × 10−4 |
| Cu | 2.71 × 10−7 | 2.62 × 10−7 | 3.79 × 10−10 | 3.32 × 10−10 | 2.71 × 10−7 | 2.62 × 10−7 |
| Hg | 4.10 × 10−7 | 3.96 × 10−7 | 2.46 × 10−9 | 2.16 × 10−9 | 4.12 × 10−7 | 3.99 × 10−7 |
| Ni | 3.07 × 10−6 | 2.97 × 10−6 | 7.96 × 10−10 | 6.98 × 10−10 | 3.07 × 10−6 | 2.97 × 10−6 |
| Pb | 1.33 × 10−6 | 1.29 × 10−6 | 3.72 × 10−12 | 3.27 × 10−12 | 1.33 × 10−6 | 1.29 × 10−6 |
| Zn | 2.37 × 10−7 | 2.30 × 10−7 | 2.99 × 10−9 | 2.62 × 10−9 | 2.40 × 10−7 | 2.32 × 10−7 |
| CH2Cl2 | 1.29 × 10−5 | 8.38 × 10−6 | — | — | 1.29 × 10−5 | 8.35 × 10−6 |
| C2H4Cl2 | 6.46 × 10−6 | 4.18 × 10−6 | — | — | 6.46 × 10−6 | 4.18 × 10−6 |
| HM | F1 | F2 | F3 |
|---|---|---|---|
| As | 0.843 | 0.135 | 0.037 |
| Cd | 0.969 | 0.038 | −0.02 |
| Cr | 0.924 | 0.13 | 0.009 |
| Cu | 0.952 | 0.061 | −0.052 |
| Hg | 0.281 | −0.298 | 0.899 |
| Ni | 0.959 | 0.055 | −0.109 |
| Pb | 0.968 | 0.022 | 0.214 |
| Zn | 0.827 | 0.06 | −0.219 |
| CH2Cl2 | −0.185 | 0.92 | 0.26 |
| C2H4Cl2 | −0.209 | 0.949 | 0.045 |
| Eigenvalue | 6.104 | 1.884 | 0.957 |
| Variance explained rate (%) | 61.045 | 18.838 | 9.572 |
Disclaimer/Publisher’s Note: The statements, opinions and data contained in all publications are solely those of the individual author(s) and contributor(s) and not of MDPI and/or the editor(s). MDPI and/or the editor(s) disclaim responsibility for any injury to people or property resulting from any ideas, methods, instructions or products referred to in the content. |
© 2024 by the authors. Licensee MDPI, Basel, Switzerland. This article is an open access article distributed under the terms and conditions of the Creative Commons Attribution (CC BY) license (https://creativecommons.org/licenses/by/4.0/).
Share and Cite
Wang, M.; Song, X.; Han, Y.; Ding, G.; Zhang, R.; Wei, S.; Gao, S.; Liu, Y. Source Apportionment and Health Risk Assessment of Groundwater Potentially Toxic Elements (PTEs) Pollution Characteristics in an Accident Site in Zhangqiu, China. Water 2024, 16, 768. https://doi.org/10.3390/w16050768
Wang M, Song X, Han Y, Ding G, Zhang R, Wei S, Gao S, Liu Y. Source Apportionment and Health Risk Assessment of Groundwater Potentially Toxic Elements (PTEs) Pollution Characteristics in an Accident Site in Zhangqiu, China. Water. 2024; 16(5):768. https://doi.org/10.3390/w16050768
Chicago/Turabian StyleWang, Min, Xiaoyu Song, Yu Han, Guantao Ding, Ruilin Zhang, Shanming Wei, Shuai Gao, and Yuxiang Liu. 2024. "Source Apportionment and Health Risk Assessment of Groundwater Potentially Toxic Elements (PTEs) Pollution Characteristics in an Accident Site in Zhangqiu, China" Water 16, no. 5: 768. https://doi.org/10.3390/w16050768
APA StyleWang, M., Song, X., Han, Y., Ding, G., Zhang, R., Wei, S., Gao, S., & Liu, Y. (2024). Source Apportionment and Health Risk Assessment of Groundwater Potentially Toxic Elements (PTEs) Pollution Characteristics in an Accident Site in Zhangqiu, China. Water, 16(5), 768. https://doi.org/10.3390/w16050768
