Exploring the Impact of Land Use Scales on Water Quality Based on the Random Forest Model: A Case Study of the Shaying River Basin, China
Abstract
1. Introduction
2. Materials and Methods
2.1. Study Area
2.2. Data Sources
2.3. Methodology
2.3.1. Water Quality Assessment Method
2.3.2. Random Forest Model
2.3.3. Spatial Analysis Method
2.3.4. Statistical Analysis Method
3. Results
3.1. Water Quality Characteristics
3.1.1. Spatio-Temporal Characteristics of the Water Quality Indicators
3.1.2. Spatio-Temporal Characteristics of the WQI
3.2. Optimal Spatial Scale
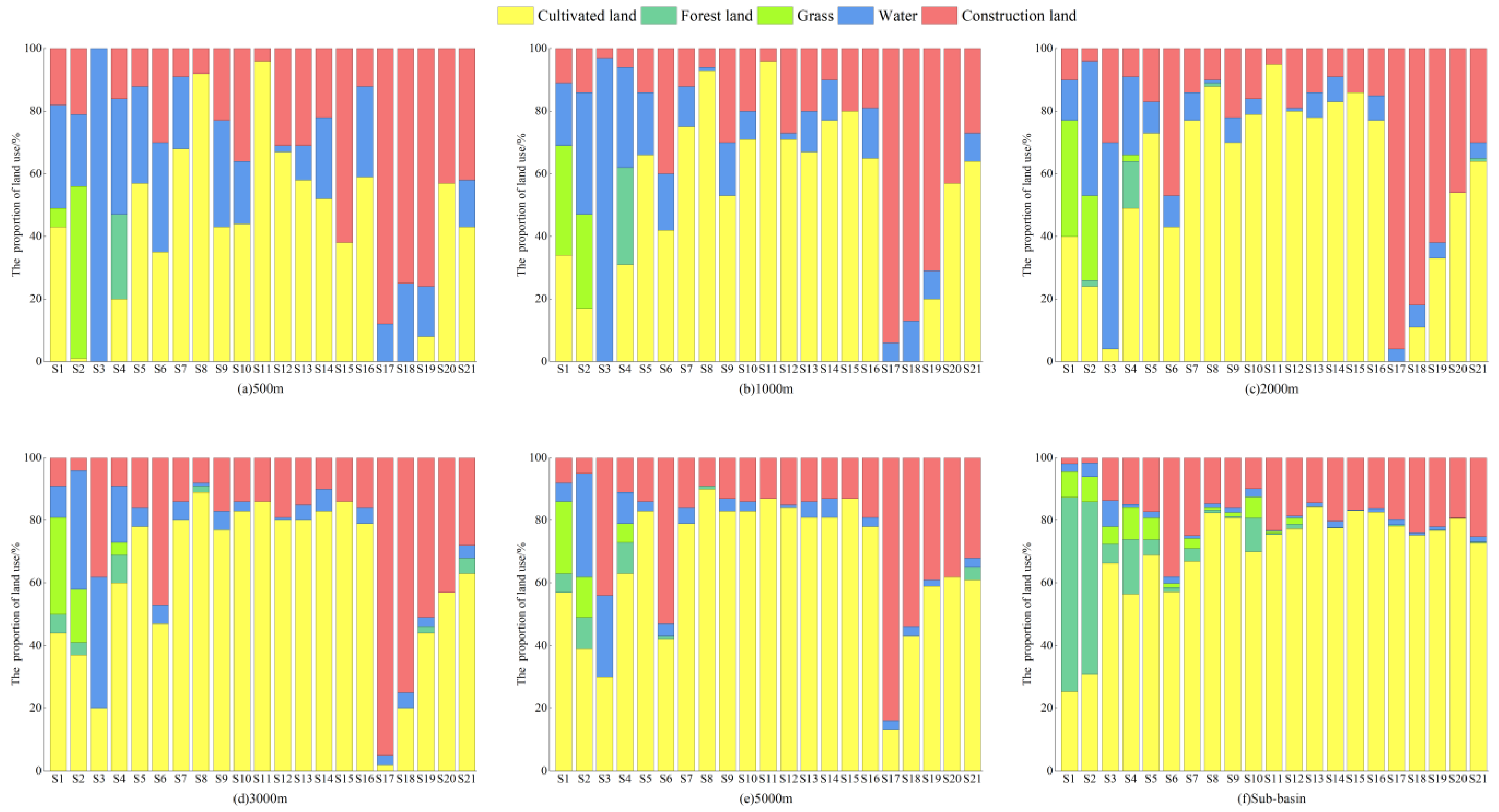
3.2.1. Land Use Characteristics at Different Scales
3.2.2. Determination of the Optimal Buffer
3.3. Results of the Optimal PLSR Model
4. Discussion
4.1. Drivers of Water Quality Changes
4.2. Rationality of Buffer Zone Delineation
4.3. Management Advice
5. Conclusions
- (1)
 - Water quality indicators in the basin exhibit pronounced seasonal variations. The quality is poorer during the flood season compared to the non-flood season, with a gradual deterioration from upstream to downstream. This suggests that the hydrological period and location at the river flow significantly influence the water quality. Enhancing water environment management at controlled sample sites is recommended. According to Random Forest screening, the key water quality indicators are DO, NH3-N, TP, and Tur for the flood season and NH3-N, CODMn, and EC for the non-flood season.
 - (2)
 - The Shaying River Basin’s land use is primarily composed of cultivated and construction lands. The redundancy analysis results indicate that the land use at the sub-basin buffer scale most effectively explains water quality changes in both seasons, making it the optimal scale for assessing land use impacts on basin water quality.
 - (3)
 - The optimal PLSR model findings highlight that cultivated land, construction land, and grasslands significantly impact river water quality. The optimal PLSR model for the non-flood season demonstrates superior predictive and explanatory abilities. Most water quality indicators show a positive correlation with cultivated and construction lands, while forest land, water, and grasslands correlate positively with DO and negatively with other indicators.
 
Supplementary Materials
Author Contributions
Funding
Data Availability Statement
Conflicts of Interest
References
- Peng, S.; Li, S. Scale relationship between landscape pattern and water quality in different pollution source areas: A case study of the Fuxian Lake watershed, China. Ecol. Indic. 2021, 121, 107136. [Google Scholar] [CrossRef]
 - Xu, S.; Li, S.-L.; Zhong, J.; Li, C. Spatial scale effects of the variable relationships between landscape pattern and water quality: Example from an agricultural karst river basin, Southwestern China. Agric. Ecosyst. Environ. 2020, 300, 106999. [Google Scholar] [CrossRef]
 - Naderian, D.; Noori, R.; Heggy, E.; Bateni, S.M.; Bhattarai, R.; Nohegar, A.; Sharma, S. A water quality database for global lakes. Resour. Conserv. Recycl. 2024, 202, 107401. [Google Scholar] [CrossRef]
 - Boretti, A.; Rosa, L. Reassessing the projections of the world water development report. NPJ Clean Water 2019, 2, 15. [Google Scholar] [CrossRef]
 - Liu, Y.; Li, H.; Cui, G.; Cao, Y. Water quality attribution and simulation of non-point source pollution load flux in the Hulan River basin. Sci. Rep. 2020, 10, 3012. [Google Scholar] [CrossRef] [PubMed]
 - Wang, W.; Liu, X.; Wang, Y.; Guo, X.; Lu, S. Analysis of point source pollution and water environmental quality variation trends in the Nansi Lake basin from 2002 to 2012. Environ. Sci. Pollut. Res. 2016, 23, 4886–4897. [Google Scholar] [CrossRef]
 - Wan, H.; Xu, R.; Zhang, M.; Cai, Y.; Li, J.; Shen, X. A novel model for water quality prediction caused by non-point sources pollution based on deep learning and feature extraction methods. J. Hydrol. 2022, 612, 128081. [Google Scholar] [CrossRef]
 - Wang, S.; Wang, Y.; Wang, Y.; Wang, Z. Assessment of influencing factors on non-point source pollution critical source areas in an agricultural watershed. Ecol. Indic. 2022, 141, 109084. [Google Scholar] [CrossRef]
 - Gu, Q.; Hu, H.; Ma, L.; Sheng, L.; Yang, S.; Zhang, X.; Zhang, M.; Zheng, K.; Chen, L. Characterizing the spatial variations of the relationship between land use and surface water quality using self-organizing map approach. Ecol. Indic. 2019, 102, 633–643. [Google Scholar] [CrossRef]
 - de Oliveira, L.M.; Maillard, P.; de Andrade Pinto, E.J. Application of a land cover pollution index to model non-point pollution sources in a Brazilian watershed. Catena 2017, 150, 124–132. [Google Scholar] [CrossRef]
 - Xu, G.; Li, P.; Lu, K.; Tantai, Z.; Zhang, J.; Ren, Z.; Wang, X.; Yu, K.; Shi, P.; Cheng, Y. Seasonal changes in water quality and its main influencing factors in the Dan River basin. Catena 2019, 173, 131–140. [Google Scholar] [CrossRef]
 - Ding, J.; Jiang, Y.; Liu, Q.; Hou, Z.; Liao, J.; Fu, L.; Peng, Q. Influences of the land use pattern on water quality in low-order streams of the Dongjiang River basin, China: A multi-scale analysis. Sci. Total Environ. 2016, 551, 205–216. [Google Scholar] [CrossRef] [PubMed]
 - Yang, Z.; Zou, L.; Xia, J.; Qiao, Y.; Bai, F.; Wang, Q.; Cai, D. Spatiotemporal variation characteristics and source identification of water pollution: Insights from urban water system. Ecol. Indic. 2022, 139, 108892. [Google Scholar] [CrossRef]
 - Li, K.; Chi, G.; Wang, L.; Xie, Y.; Wang, X.; Fan, Z. Identifying the critical riparian buffer zone with the strongest linkage between landscape characteristics and surface water quality. Ecol. Indic. 2018, 93, 741–752. [Google Scholar] [CrossRef]
 - Nafi’Shehab, Z.; Jamil, N.R.; Aris, A.Z.; Shafie, N.S. Spatial variation impact of landscape patterns and land use on water quality across an urbanized watershed in Bentong, Malaysia. Ecol. Indic. 2021, 122, 107254. [Google Scholar]
 - Li, Y.; Yen, H.; Lei, Q.; Qiu, W.; Luo, J.; Lindsey, S.; Qin, L.; Zhai, L.; Wang, H.; Wu, S. Impact of human activities on phosphorus flows on an early eutrophic plateau: A case study in Southwest China. Sci. Total Environ. 2020, 714, 136851. [Google Scholar] [CrossRef] [PubMed]
 - Duan, M.; Du, X.; Peng, W.; Jiang, C.; Zhang, S.; Ding, Y. Quantitative assessment of background pollutants using a modified method in data-poor regions. Environ. Monit. Assess. 2020, 192, 160. [Google Scholar] [CrossRef]
 - Wu, J.; Lu, J. Spatial scale effects of landscape metrics on stream water quality and their seasonal changes. Water Res. 2021, 191, 116811. [Google Scholar] [CrossRef]
 - Xu, Q.; Wang, P.; Shu, W.; Ding, M.; Zhang, H. Influence of landscape structures on river water quality at multiple spatial scales: A case study of the Yuan river watershed, China. Ecol. Indic. 2021, 121, 107226. [Google Scholar] [CrossRef]
 - Deng, X. Influence of water body area on water quality in the southern Jiangsu Plain, eastern China. J. Clean. Prod. 2020, 254, 120136. [Google Scholar] [CrossRef]
 - Zhang, J.; Li, S.; Dong, R.; Jiang, C.; Ni, M. Influences of land use metrics at multi-spatial scales on seasonal water quality: A case study of river systems in the Three Gorges Reservoir Area, China. J. Clean. Prod. 2019, 206, 76–85. [Google Scholar] [CrossRef]
 - Shi, P.; Zhang, Y.; Li, Z.; Li, P.; Xu, G. Influence of land use and land cover patterns on seasonal water quality at multi-spatial scales. Catena 2017, 151, 182–190. [Google Scholar] [CrossRef]
 - Wang, Y.-B.; Junaid, M.; Deng, J.-Y.; Tang, Q.-P.; Luo, L.; Xie, Z.-Y.; Pei, D.-S. Effects of land-use patterns on seasonal water quality at multiple spatial scales in the Jialing River, Chongqing, China. Catena 2024, 234, 107646. [Google Scholar] [CrossRef]
 - Xu, J.; Liu, R.; Ni, M.; Zhang, J.; Ji, Q.; Xiao, Z. Seasonal variations of water quality response to land use metrics at multi-spatial scales in the Yangtze River basin. Environ. Sci. Pollut. Res. 2021, 28, 37172–37181. [Google Scholar] [CrossRef]
 - Li, H.-H.; Huang, Y.-M.; Guo, W.; Hou, H.-Y.; Fan, M.-Y.; Qi, X.-P.; Jia, P.-H.; Guo, Q.-B. Influence of land use and land cover patterns on water quality at different spatio-temporal scales in Hehuang Valley. Huan Jing Ke Xue = Huanjing Kexue 2022, 43, 4042–4053. [Google Scholar] [PubMed]
 - Wang, S.; Xu, Y.; Wang, D.; Gao, B.; Lu, M.; Wang, Q. Effects of industry structures on water quality in different urbanized regions using an improved entropy-weighted matter-elementmethodology. Environ. Sci. Pollut. Res. 2020, 27, 7549–7558. [Google Scholar] [CrossRef] [PubMed]
 - Kändler, M.; Blechinger, K.; Seidler, C.; Pavlů, V.; Šanda, M.; Dostál, T.; Krása, J.; Vitvar, T.; Štich, M. Impact of land use on water quality in the upper Nisa catchment in the Czech Republic and in Germany. Sci. Total Environ. 2017, 586, 1316–1325. [Google Scholar] [CrossRef] [PubMed]
 - Yang, H.; Wang, G.; Wang, L.; Zheng, B. Impact of land use changes on water quality in headwaters of the Three Gorges Reservoir. Environ. Sci. Pollut. Res. 2016, 23, 11448–11460. [Google Scholar] [CrossRef] [PubMed]
 - Yan, T.; Bai, J.; Arsenio, T.; Liu, J.; Shen, Z. Future climate change impacts on streamflow and nitrogen exports based on CMIP5 projection in the Miyun Reservoir Basin, China. Ecohydrol. Hydrobiol. 2019, 19, 266–278. [Google Scholar] [CrossRef]
 - Messina, N.J.; Couture, R.-M.; Norton, S.A.; Birkel, S.D.; Amirbahman, A. Modeling response of water quality parameters to land-use and climate change in a temperate, mesotrophic lake. Sci. Total Environ. 2020, 713, 136549. [Google Scholar] [CrossRef] [PubMed]
 - Marmontel, C.V.F.; Lucas-Borja, M.E.; Rodrigues, V.A.; Zema, D.A. Effects of land use and sampling distance on water quality in tropical headwater springs (Pimenta creek, São Paulo State, Brazil). Sci. Total Environ. 2018, 622, 690–701. [Google Scholar] [CrossRef]
 - Luo, Z.; Shao, Q.; Zuo, Q.; Cui, Y. Impact of land use and urbanization on river water quality and ecology in a dam dominated basin. J. Hydrol. 2020, 584, 124655. [Google Scholar] [CrossRef]
 - Mahdian, M.; Hosseinzadeh, M.; Siadatmousavi, S.; Chalipa, Z.; Delavar, M.; Guo, M.; Abolfathi, S.; Noori, R. Modelling impacts of climate change and anthropogenic activities on inflows and sediment loads of wetlands: Case study of the Anzali wetland. Sci. Rep. 2023, 13, 5399. [Google Scholar] [CrossRef]
 - Wang, M.; Wang, Y.; Li, Y.; Liu, X.; Liu, J.; Wu, J. Natural and anthropogenic determinants of riverine phosphorus concentration and loading variability in subtropical agricultural catchments. Agric. Ecosyst. Environ. 2020, 287, 106713. [Google Scholar] [CrossRef]
 - Meng, C.; Liu, H.; Li, Y.; Wang, Y.; Li, X.; Shen, J.; Gong, D.; Zhang, M.; Wu, J. Landscape patterns of catchment and land-use regulate legacy phosphorus releases in subtropical mixed agricultural and woodland catchments. Sci. Total Environ. 2022, 804, 150055. [Google Scholar] [CrossRef] [PubMed]
 - Ma, B.; Wu, C.; Jia, X.; Zhang, Y.; Zhou, Z. Predicting Water Quality using Partial Least Squares Regression of Land Use and Morphology (Danjiangkou Reservoir, China). J. Hydrol. 2023, 129828. [Google Scholar] [CrossRef]
 - Li, N.; Xu, J.; Yin, W.; Chen, Q.; Wang, J.; Shi, Z. Effect of local watershed landscapes on the nitrogen and phosphorus concentrations in the waterbodies of reservoir bays. Sci. Total Environ. 2020, 716, 137132. [Google Scholar] [CrossRef] [PubMed]
 - Luo, Z.; Zhang, S.; Liu, H.; Wang, L.; Wang, S.; Wang, L. Assessment of multiple dam-and sluice-induced alterations in hydrologic regime and ecological flow. J. Hydrol. 2023, 617, 128960. [Google Scholar] [CrossRef]
 - Wang, L.; Han, X.; Zhang, Y.; Zhang, Q.; Wan, X.; Liang, T.; Song, H.; Bolan, N.; Shaheen, S.M.; White, J.R. Impacts of land uses on spatio-temporal variations of seasonal water quality in a regulated river basin, Huai River, China. Sci. Total Environ. 2023, 857, 159584. [Google Scholar] [CrossRef] [PubMed]
 - Dou, M.; Yu, L.; Jin, M. Study on relationship between box dimension and connectivity of river system in Huaihe River Basin. J. Hydraul. Eng 2019, 50, 670–678. [Google Scholar]
 - Ding, T.-T.; Du, S.-L.; Huang, Z.-Y.; Wang, Z.-J.; Zhang, J.; Zhang, Y.-H.; Liu, S.-S.; He, L.-S. Water quality criteria and ecological risk assessment for ammonia in the Shaying River Basin, China. Ecotoxicol. Environ. Saf. 2021, 215, 112141. [Google Scholar] [CrossRef]
 - Hao, M.; Zuo, Q.; Li, J.; Shi, S.; Li, B.; Zhao, X. A comprehensive exploration on distribution, risk assessment, and source quantification of heavy metals in the multi-media environment from Shaying River Basin, China. Ecotoxicol. Environ. Saf. 2022, 231, 113190. [Google Scholar] [CrossRef]
 - He, B.; He, J.; Wang, L.; Zhang, X.; Bi, E. Effect of hydrogeological conditions and surface loads on shallow groundwater nitrate pollution in the Shaying River Basin: Based on least squares surface fitting model. Water Res. 2019, 163, 114880. [Google Scholar] [CrossRef] [PubMed]
 - Tian, Y.; Jiang, Y.; Liu, Q.; Dong, M.; Xu, D.; Liu, Y.; Xu, X. Using a water quality index to assess the water quality of the upper and middle streams of the Luanhe River, northern China. Sci. Total Environ. 2019, 667, 142–151. [Google Scholar] [CrossRef] [PubMed]
 - Wu, Z.; Wang, X.; Chen, Y.; Cai, Y.; Deng, J. Assessing river water quality using water quality index in Lake Taihu Basin, China. Sci. Total Environ. 2018, 612, 914–922. [Google Scholar] [CrossRef] [PubMed]
 - GB 3838-2002; Environmental Quality Standards for Surface Water. State Environmental Protection Administration of China; Standards Press of China: Beijing, China, 2002.
 - Pesce, S.F.; Wunderlin, D.A. Use of water quality indices to verify the impact of Córdoba City (Argentina) on Suquía River. Water Res. 2000, 34, 2915–2926. [Google Scholar] [CrossRef]
 - Breiman, L. Random forests. Mach. Learn. 2001, 45, 5–32. [Google Scholar] [CrossRef]
 - Chen, K.; Chen, H.; Zhou, C.; Huang, Y.; Qi, X.; Shen, R.; Liu, F.; Zuo, M.; Zou, X.; Wang, J. Comparative analysis of surface water quality prediction performance and identification of key water parameters using different machine learning models based on big data. Water Res. 2020, 171, 115454. [Google Scholar] [CrossRef] [PubMed]
 - Fang, X.; Li, X.; Zhang, Y.; Zhao, Y.; Qian, J.; Hao, C.; Zhou, J.; Wu, Y. Random forest-based understanding and predicting of the impacts of anthropogenic nutrient inputs on the water quality of a tropical lagoon. Environ. Res. Lett. 2021, 16, 055003. [Google Scholar] [CrossRef]
 - Wang, F.; Wang, Y.; Zhang, K.; Hu, M.; Weng, Q.; Zhang, H. Spatial heterogeneity modeling of water quality based on random forest regression and model interpretation. Environ. Res. 2021, 202, 111660. [Google Scholar] [CrossRef]
 - Wang, H.; Xiong, X.; Wang, K.; Li, X.; Hu, H.; Li, Q.; Yin, H.; Wu, C. The effects of land use on water quality of alpine rivers: A case study in Qilian Mountain, China. Sci. Total Environ. 2023, 875, 162696. [Google Scholar] [CrossRef]
 - Wen, J.-W.; Wang, P.; Huang, G.-X.; Zhang, H.; Nie, M.-H.; Ding, M.-J.; She, Y.-Y. Influence of Land Use Structure and Spatial Pattern on Water Quality of Small and Medium-sized Rivers in Poyang Lake Basin. Huan Jing Ke Xue = Huanjing Kexue 2023, 44, 6728–6743. [Google Scholar]
 - Shen, Z.; Hou, X.; Li, W.; Aini, G.; Chen, L.; Gong, Y. Impact of landscape pattern at multiple spatial scales on water quality: A case study in a typical urbanised watershed in China. Ecol. Indic. 2015, 48, 417–427. [Google Scholar] [CrossRef]
 - Wu, J.; Jin, Y.; Hao, Y.; Lu, J. Identification of the control factors affecting water quality variation at multi-spatial scales in a headwater watershed. Environ. Sci. Pollut. Res. 2021, 28, 11129–11141. [Google Scholar] [CrossRef]
 - Cheng, P.; Meng, F.; Wang, Y.; Zhang, L.; Yang, Q.; Jiang, M. The impacts of land use patterns on water quality in a trans-boundary river basin in northeast China based on eco-functional regionalization. Int. J. Environ. Res. Public Health 2018, 15, 1872. [Google Scholar] [CrossRef] [PubMed]
 - Huang, J.; Huang, Y.; Zhang, Z. Coupled effects of natural and anthropogenic controls on seasonal and spatial variations of river water quality during baseflow in a coastal watershed of Southeast China. PLoS ONE 2014, 9, e91528. [Google Scholar] [CrossRef] [PubMed]
 - Pan, B.; Han, X.; Chen, Y.; Wang, L.; Zheng, X. Determination of key parameters in water quality monitoring of the most sediment-laden Yellow River based on water quality index. Process Saf. Environ. Prot. 2022, 164, 249–259. [Google Scholar] [CrossRef]
 - Salmasi, F.; Abraham, J.; Salmasi, A. Effect of stepped spillways on increasing dissolved oxygen in water, an experimental study. J. Environ. Manag. 2021, 299, 113600. [Google Scholar] [CrossRef] [PubMed]
 - Wu, T.; Wang, S.; Su, B.; Wu, H.; Wang, G. Understanding the water quality change of the Yilong Lake based on comprehensive assessment methods. Ecol. Indic. 2021, 126, 107714. [Google Scholar] [CrossRef]
 - Dong, B.; Qin, T.; Wang, Y.; Zhao, Y.; Liu, S.; Feng, J.; Li, C.; Zhang, X. Spatiotemporal variation of nitrogen and phosphorus and its main influencing factors in Huangshui River basin. Environ. Monit. Assess. 2021, 193, 292. [Google Scholar] [CrossRef] [PubMed]
 - Jiang, Q.; Wang, B.; Jin, G.; Tang, H.; Xu, J.; Zhu, X. The response patterns of riverbank to the components carried by different pollution sources in the river: Experiments and models. J. Hydrol. 2023, 617, 128903. [Google Scholar] [CrossRef]
 - Lunt, J.; Smee, D.L. Turbidity alters estuarine biodiversity and species composition. ICES J. Mar. Sci. 2020, 77, 379–387. [Google Scholar] [CrossRef]
 - Wang, C.; Zhang, H.; Lei, P.; Xin, X.; Zhang, A.; Yin, W. Evidence on the causes of the rising levels of CODMn along the middle route of the South-to-North Diversion Project in China: The role of algal dissolved organic matter. J. Environ. Sci. 2022, 113, 281–290. [Google Scholar] [CrossRef]
 - Wu, J.; Zeng, S.; Yang, L.; Ren, Y.; Xia, J. Spatiotemporal characteristics of the water quality and its multiscale relationship with land use in the Yangtze River Basin. Remote Sens. 2021, 13, 3309. [Google Scholar] [CrossRef]
 - Ahmadianfar, I.; Jamei, M.; Chu, X. A novel hybrid wavelet-locally weighted linear regression (W-LWLR) model for electrical conductivity (EC) prediction in surface water. J. Contam. Hydrol. 2020, 232, 103641. [Google Scholar] [CrossRef] [PubMed]
 - de Mello, K.; Valente, R.A.; Randhir, T.O.; dos Santos, A.C.A.; Vettorazzi, C.A. Effects of land use and land cover on water quality of low-order streams in Southeastern Brazil: Watershed versus riparian zone. Catena 2018, 167, 130–138. [Google Scholar] [CrossRef]
 - Rodrigues, V.; Estrany, J.; Ranzini, M.; de Cicco, V.; Martín-Benito, J.M.T.; Hedo, J.; Lucas-Borja, M.E. Effects of land use and seasonality on stream water quality in a small tropical catchment: The headwater of Córrego Água Limpa, São Paulo (Brazil). Sci. Total Environ. 2018, 622, 1553–1561. [Google Scholar] [CrossRef] [PubMed]
 - Zhang, J.; Li, S.; Jiang, C. Effects of land use on water quality in a River Basin (Daning) of the Three Gorges Reservoir Area, China: Watershed versus riparian zone. Ecol. Indic. 2020, 113, 106226. [Google Scholar] [CrossRef]
 - Li, X.; Zhang, W.; Zhao, C.; Li, H.; Shi, R. Nitrogen interception and fate in vegetated ditches using the isotope tracer method: A simulation study in northern China. Agric. Water Manag. 2020, 228, 105893. [Google Scholar] [CrossRef]
 - Wang, R.; Wang, Q.; Dong, L.; Zhang, J. Cleaner agricultural production in drinking-water source areas for the control of non-point source pollution in China. J. Environ. Manag. 2021, 285, 112096. [Google Scholar] [CrossRef]
 






| Water Quality Indicators | Weights (Pi) | Standardized Factors (Ci) | ||||||||||
|---|---|---|---|---|---|---|---|---|---|---|---|---|
| 100 | 90 | 80 | 70 | 60 | 50 | 40 | 30 | 20 | 10 | 0 | ||
| WT (°C) | 1 | 16–21 | 15–16 | 14–15 | 12–14 | 10–12 | 5–10 | 0–5 | −2–0 | −4–−2 | −6–−4 | <−6 | 
| 21–22 | 22–24 | 24–26 | 26–28 | 28–30 | 30–32 | 32–36 | 36–40 | 36–40 | >45 | |||
| pH | 1 | 7 | 7–8 | 8–8.5 | 8.5–9 | 6.5–7 | 6–6.5 | 5–6 | 4–5 | 3–4 | 2–3 | 1–2 | 
| 9–9.5 | 9.5–10 | 10–11 | 11–12 | 12–13 | 13–14 | |||||||
| DO (mg/L) | 4 | ≥7.5 | >7 | >6.5 | >6 | >5 | >4 | >3.5 | >3 | >2 | ≥1 | <1 | 
| CODMn (mg/L) | 3 | <1 | <2 | <3 | <4 | <6 | <8 | <10 | <12 | <14 | ≤15 | >15 | 
| NH3-N (mg/L) | 3 | <0.01 | <0.05 | <0.1 | <0.2 | <0.3 | <0.4 | <0.5 | <0.75 | <1 | ≤1.25 | >1.25 | 
| TP (mg/L) | 1 | <0.01 | <0.02 | <0.05 | <0.1 | <0.15 | <0.2 | <0.25 | <0.3 | <0.35 | ≤0.4 | >0.4 | 
| EC (μs/cm) | 2 | <750 | <1000 | <1250 | <1500 | <2000 | <2500 | <3000 | <5000 | <8000 | >12,000 | |
| Tur (NTU) | 2 | <5 | <10 | <15 | <20 | <25 | <30 | <40 | <60 | <80 | ≤100 | >100 | 
| WQI | Mean ± Variance | p-Value | |
|---|---|---|---|
| Flood Season | Non-Flood Season | ||
| WT (°C) | 27.40 ± 2.06 | 13.97 ± 5.38 | <0.001 | 
| pH | 7.91 ± 0.39 | 8.06 ± 0.34 | 0.002 | 
| DO (mg/L) | 6.76 ± 2.21 | 10.33 ± 2.16 | <0.001 | 
| CODMn (mg/L) | 4.92 ± 1.57 | 4.05 ± 1.57 | <0.001 | 
| NH3-N (mg/L) | 0.31 ± 0.31 | 0.23 ± 0.21 | 0.021 | 
| TP (mg/L) | 0.12 ± 0.08 | 0.07 ± 0.05 | <0.001 | 
| EC (μs/cm) | 660.41 ± 282.06 | 799.73 ± 308.61 | <0.001 | 
| Tur (NTU) | 47.25 ± 52.50 | 20.32 ± 31.35 | <0.001 | 
| Period | Buffer Range | Explained Variation (%) | Pseudo-F | p | 
|---|---|---|---|---|
| Flood season | 500 m | 41.2 | 2.8 | 0.006 | 
| 1000 m | 35.2 | 2.2 | 0.05 | |
| 2000 m | 31.8 | 1.9 | 0.092 | |
| 3000 m | 31.5 | 1.8 | 0.1 | |
| 5000 m | 24.2 | 1.3 | 0.282 | |
| sub-basin | 47.6 | 3.6 | 0.008 | |
| Non-flood season | 500 m | 39.4 | 2.6 | 0.036 | 
| 1000 m | 39% | 2.6 | 0.038 | |
| 2000 m | 36.8 | 2.3 | 0.05 | |
| 3000 m | 37.1 | 2.4 | 0.048 | |
| 5000 m | 34 | 2.1 | 0.072 | |
| sub-basin | 52.5 | 4.4 | 0.006 | 
| Period | Water Quality Indicators | R2 | Q2 | Scores | 
|---|---|---|---|---|
| Flood season | DO | 0.797 | 0.611 | 2 | 
| NH3-N | 0.758 | 0.742 | 1 | |
| TP | 0.717 | 0.652 | 1 | |
| Tur | 0.858 | 0.624 | 2 | |
| Non-flood season | NH3-N | 0.912 | 0.874 | 2 | 
| CODMn | 0.907 | 0.841 | 3 | |
| EC | 0.928 | 0.883 | 2 | 
| Period | Water Quality Indicators | Cultivated Land | Forest Land | Grass | Water | Construction Land | 
|---|---|---|---|---|---|---|
| Flood season | DO | −0.018 | 0.071 | 0.073 | 0.53 | −0.4 | 
| NH3-N | 0.204 | −0.195 | −0.229 | −0.149 | 0.183 | |
| TP | 0.213 | −0.189 | −0.245 | −0.183 | 0.168 | |
| Tur | 0.335 | −0.19 | −0.247 | −0.31 | −0.049 | |
| Non-flood season | NH3-N | 0.073 | −0.037 | −0.387 | −0.468 | 0.238 | 
| CODMn | 0.276 | −0.272 | 0.085 | −0.502 | 0.226 | |
| EC | 0.171 | −0.128 | −0.245 | −0.434 | 0.168 | 
Disclaimer/Publisher’s Note: The statements, opinions and data contained in all publications are solely those of the individual author(s) and contributor(s) and not of MDPI and/or the editor(s). MDPI and/or the editor(s) disclaim responsibility for any injury to people or property resulting from any ideas, methods, instructions or products referred to in the content.  | 
© 2024 by the authors. Licensee MDPI, Basel, Switzerland. This article is an open access article distributed under the terms and conditions of the Creative Commons Attribution (CC BY) license (https://creativecommons.org/licenses/by/4.0/).
Share and Cite
Weng, M.; Zhang, X.; Li, P.; Liu, H.; Liu, Q.; Wang, Y. Exploring the Impact of Land Use Scales on Water Quality Based on the Random Forest Model: A Case Study of the Shaying River Basin, China. Water 2024, 16, 420. https://doi.org/10.3390/w16030420
Weng M, Zhang X, Li P, Liu H, Liu Q, Wang Y. Exploring the Impact of Land Use Scales on Water Quality Based on the Random Forest Model: A Case Study of the Shaying River Basin, China. Water. 2024; 16(3):420. https://doi.org/10.3390/w16030420
Chicago/Turabian StyleWeng, Maofeng, Xinyu Zhang, Pujian Li, Hongxue Liu, Qiuyu Liu, and Yao Wang. 2024. "Exploring the Impact of Land Use Scales on Water Quality Based on the Random Forest Model: A Case Study of the Shaying River Basin, China" Water 16, no. 3: 420. https://doi.org/10.3390/w16030420
APA StyleWeng, M., Zhang, X., Li, P., Liu, H., Liu, Q., & Wang, Y. (2024). Exploring the Impact of Land Use Scales on Water Quality Based on the Random Forest Model: A Case Study of the Shaying River Basin, China. Water, 16(3), 420. https://doi.org/10.3390/w16030420
        
