Enhancing Pb Adsorption on Crushed Microplastics: Insights into the Environmental Remediation
Abstract
1. Introduction
2. Methods and Materials
2.1. Materials and Chemicals
2.2. Characterization
2.3. Adsorption Experiments
2.4. Approaches to Microplastic Recovery
3. Results and Discussion
3.1. Adsorption Capacity Between Primary MPs and Crushed MPs
3.1.1. Effect of MP Size on Adsorption
3.1.2. Adsorption Kinetics
3.1.3. Adsorption Isotherms
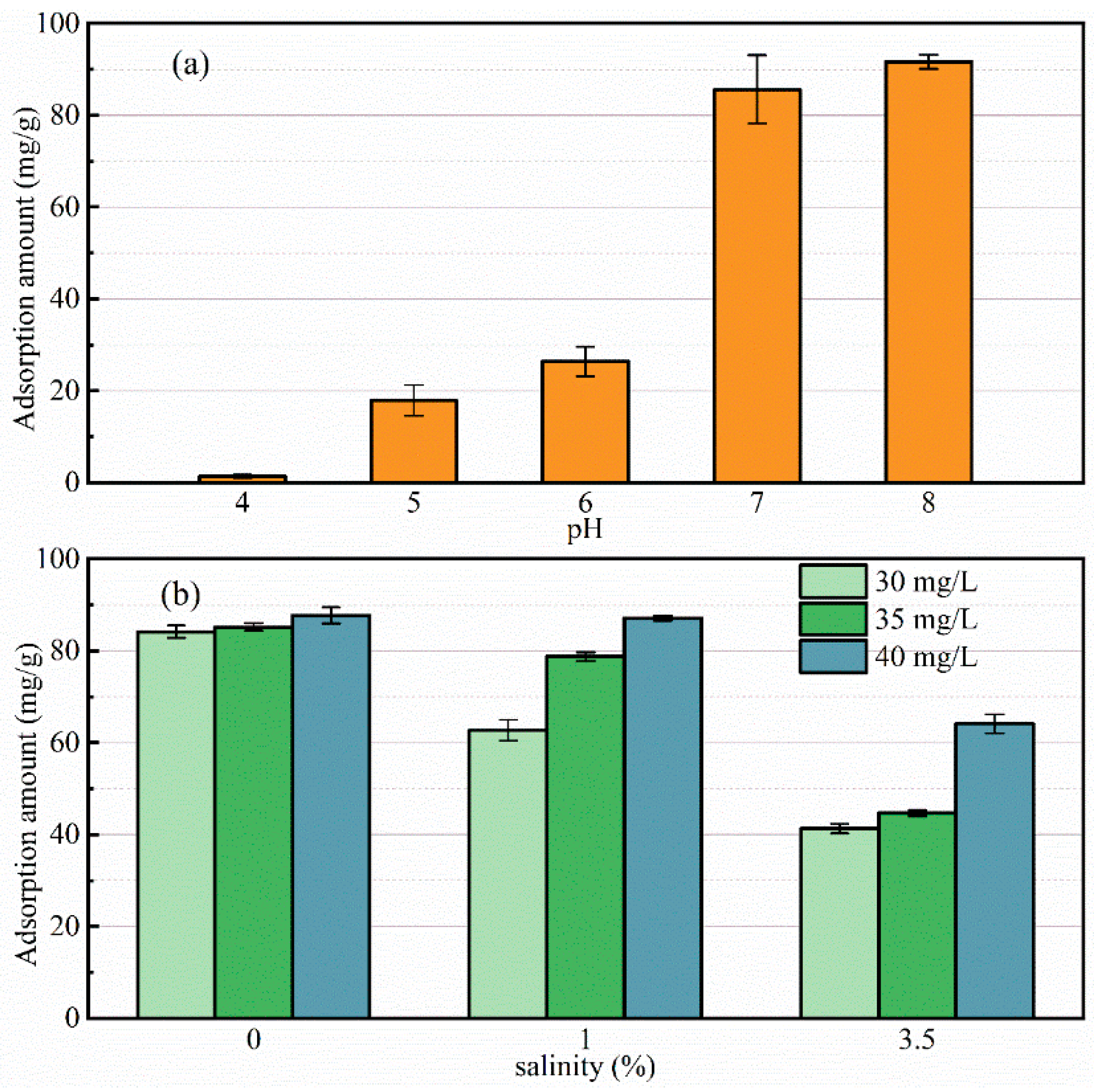
3.1.4. Effect of pH on Adsorption
3.1.5. Effect of Salinity on Adsorption
3.1.6. Effect of MPs Quantity on Adsorption
3.2. Effect of Surface Biofilm on Pb Adsorption by MPs
3.3. MP Recovery
3.3.1. The Effect of Different Masses of Fe3O4 on Microplastic Adsorption
3.3.2. The Effect of Different Adsorption Capacities of MPs on Fe3O4 Adsorption
4. Conclusions
Supplementary Materials
Author Contributions
Funding
Data Availability Statement
Conflicts of Interest
References
- Fei, J.; Xie, H.; Zhao, Y.; Zhou, X.; Sun, H.; Wang, N.; Wang, J.; Yin, X. Transport of degradable/nondegradable and aged microplastics in porous media: Effects of physicochemical factors. Sci. Total Environ. 2022, 851, 158099. [Google Scholar] [CrossRef] [PubMed]
- Ouyang, W.; Zhang, Y.; Wang, L.; Barcelo, D.; Wang, Y.; Lin, C. Seasonal relevance of agricultural diffuse pollutant with microplastic in the bay. J. Hazard. Mater. 2020, 396, 122602. [Google Scholar] [CrossRef] [PubMed]
- Thompson, R.C.; Olsen, Y.; Mitchell, R.P.; Davis, A.; Rowland, S.J.; John, A.W.; McGonigle, D.; Russell, A.E. Lost at sea: Where is all the plastic? Science 2004, 304, 838. [Google Scholar] [CrossRef] [PubMed]
- Fragao, J.; Bessa, F.; Otero, V.; Barbosa, A.; Sobral, P.; Waluda, C.M.; Guimaro, H.R.; Xavier, J.C. Microplastics and other anthropogenic particles in Antarctica: Using penguins as biological samplers. Sci. Total Environ. 2021, 788, 147698. [Google Scholar] [CrossRef] [PubMed]
- Liu, B.; Zhao, S.; Qiu, T.; Cui, Q.; Yang, Y.; Li, L.; Chen, J.; Huang, M.; Zhan, A.; Fang, L. Interaction of microplastics with heavy metals in soil: Mechanisms, influencing factors and biological effects. Sci. Total Environ. 2024, 918, 170281. [Google Scholar] [CrossRef]
- Liu, Q.; Wu, H.; Chen, J.; Guo, B.; Zhao, X.; Lin, H.; Li, W.; Zhao, X.; Lv, S.; Huang, C. Adsorption mechanism of trace heavy metals on microplastics and simulating their effect on microalgae in river. Environ. Res. 2022, 214 Pt 1, 113777. [Google Scholar] [CrossRef]
- Liu, Y.; Zhang, K.; Xu, S.; Yan, M.; Tao, D.; Chen, L.; Wei, Y.; Wu, C.; Liu, G.; Lam, P.K. Heavy metals in the “plastisphere” of marine microplastics: Adsorption mechanisms and composite risk. Gondwana Res. 2022, 108, 171–180. [Google Scholar] [CrossRef]
- Sun, Y.; Cao, L.; Wang, Y.; Chen, W.; Li, Y.; Zhao, X. Sources and distribution of microplastics in the east China sea under a three-dimensional numerical modelling. Environ. Pollut. 2022, 311, 119910. [Google Scholar] [CrossRef]
- Brown, E.; MacDonald, A.; Allen, S.; Allen, D. The potential for a plastic recycling facility to release microplastic pollution and possible filtration remediation effectiveness. J. Hazard. Mater. Adv. 2023, 10, 100309. [Google Scholar] [CrossRef]
- Stapleton, M.J.; Ansari, A.J.; Ahmed, A.; Hai, F.I. Evaluating the generation of microplastics from an unlikely source: The unintentional consequence of the current plastic recycling process. Sci. Total Environ. 2023, 902, 9. [Google Scholar] [CrossRef]
- Green, D.S.; Boots, B.; Sigwart, J.; Jiang, S.; Rocha, C. Effects of conventional and biodegradable microplastics on a marine ecosystem engineer (Arenicola marina) and sediment nutrient cycling. Environ. Pollut. 2016, 208, 426–434. [Google Scholar] [CrossRef] [PubMed]
- Guo, X.; Wang, J. The chemical behaviors of microplastics in marine environment: A review. Mar. Pollut. Bull. 2019, 142, 1–14. [Google Scholar] [CrossRef] [PubMed]
- Lv, M.; Zhang, T.; Ya, H.; Xing, Y.; Wang, X.; Jiang, B. Effects of heavy metals on the adsorption of ciprofloxacin on polyethylene microplastics: Mechanism and toxicity evaluation. Chemosphere 2023, 315, 137745. [Google Scholar] [CrossRef] [PubMed]
- Zhang, H.; Pap, S.; Taggart, M.A.; Boyd, K.G.; James, N.A.; Gibb, S.W. A review of the potential utilisation of plastic waste as adsorbent for removal of hazardous priority contaminants from aqueous environments. Environ. Pollut. 2020, 258, 113698. [Google Scholar] [CrossRef]
- Maršić-Lučić, J.; Lušić, J.; Tutman, P.; Varezić, D.B.; Šiljić, J.; Pribudić, J. Levels of trace metals on microplastic particles in beach sediments of the island of Vis, Adriatic Sea, Croatia. Mar. Pollut. Bull. 2018, 137, 231–236. [Google Scholar] [CrossRef]
- Purwiyanto, A.I.S.; Suteja, Y.; Ningrum, P.S.; Putri, W.A.E.; Agustriani, F.; Cordova, M.R.; Koropitan, A.F. Concentration and adsorption of Pb and Cu in microplastics: Case study in aquatic environment. Mar. Pollut. Bull. 2020, 158, 111380. [Google Scholar] [CrossRef]
- Liu, S.T.; Shi, J.F.; Wang, J.; Dai, Y.X.; Li, H.Y.; Li, J.Y.; Liu, X.H.; Chen, X.C.; Wang, Z.Y.; Zhang, P.P. Interactions Between Microplastics and Heavy Metals in Aquatic Environments: A Review. Front. Microbiol. 2021, 12, 652520. [Google Scholar] [CrossRef]
- Pan, H.; Zhao, X.; Zhou, X.; Yan, H.; Han, X.; Wu, M.; Chen, F. Research progress on the role of biofilm in heavy metals adsorption-desorption characteristics of microplastics: A review. Environ. Pollut. 2023, 336, 122448. [Google Scholar] [CrossRef]
- Shi, X.; Zhang, X.; Gao, W.; Zhang, Y.; He, D. Removal of microplastics from water by magnetic nano-Fe3O4. Sci. Total Environ. 2022, 802, 149838. [Google Scholar] [CrossRef]
- Li, W.; Liu, S.; Huang, K.; Qin, S.; Liang, B.; Wang, J. Preparation of magnetic Janus microparticles for the rapid removal of microplastics from water. Sci. Total Environ. 2023, 903, 166627. [Google Scholar] [CrossRef]
- Abdallah, M.A.M. Trace metal behavior in Mediterranean-climate coastal bay: El-Mex Bay, Egypt and its coastal environment. Glob. J. Environ. Res. 2008, 2, 23–29. [Google Scholar]
- Paul, D. Research on heavy metal pollution of river Ganga: A review. Ann. Agrar. Sci. 2017, 15, 278–286. [Google Scholar] [CrossRef]
- Yang, F.; Hu, X.; Gao, S.; Liu, X.; Zhou, S.; Kong, Y. Enabling synchronous activation of inner-core and mesoporous outer-shell of monodispersed Fe3O4@SiO2 by in-situ implanted MnO to synergistically deliver enhanced catalytic activity. J. Alloys Compd. 2020, 842, 155817. [Google Scholar] [CrossRef]
- Gao, L.; Fu, D.; Zhao, J.; Wu, W.; Wang, Z.; Su, Y.; Peng, L. Microplastics aged in various environmental media exhibited strong sorption to heavy metals in seawater. Mar. Pollut. Bull. 2021, 169, 112480. [Google Scholar] [CrossRef]
- Lang, M.; Yu, X.; Liu, J.; Xia, T.; Wang, T.; Jia, H.; Guo, X. Fenton aging significantly affects the heavy metal adsorption capacity of polystyrene microplastics. Sci. Total Environ. 2020, 722, 137762. [Google Scholar] [CrossRef]
- Liu, S.; Huang, J.; Zhang, W.; Shi, L.; Yi, K.; Zhang, C.; Pang, H.; Li, J.; Li, S. Investigation of the adsorption behavior of Pb(II) onto natural-aged microplastics as affected by salt ions. J. Hazard. Mater. 2022, 431, 128643. [Google Scholar] [CrossRef]
- Li, X.; Mei, Q.; Chen, L.; Zhang, H.; Dong, B.; Dai, X.; He, C.; Zhou, J. Enhancement in adsorption potential of microplastics in sewage sludge for metal pollutants after the wastewater treatment process. Water Res. 2019, 157, 228–237. [Google Scholar] [CrossRef]
- Li, Y.; Zhang, Y.; Su, F.; Wang, Y.; Peng, L.; Liu, D. Adsorption behaviour of microplastics on the heavy metal Cr(VI) before and after ageing. Chemosphere 2022, 302, 134865. [Google Scholar] [CrossRef]
- Ma, J.; Zhao, J.; Zhu, Z.; Li, L.; Yu, F. Effect of microplastic size on the adsorption behavior and mechanism of triclosan on polyvinyl chloride. Environ. Pollut. 2019, 254, 113104. [Google Scholar] [CrossRef]
- Brennecke, D.; Duarte, B.; Paiva, F.; Caçador, I.; Canning-Clode, J. Microplastics as vector for heavy metal contamination from the marine environment. Estuar. Coast. Shelf Sci. 2016, 178, 189–195. [Google Scholar] [CrossRef]
- Wang, F.; Yang, W.; Cheng, P.; Zhang, S.; Zhang, S.; Jiao, W.; Sun, Y. Adsorption characteristics of cadmium onto microplastics from aqueous solutions. Chemosphere 2019, 235, 1073–1080. [Google Scholar] [CrossRef] [PubMed]
- Han, X.; Wang, S.; Yu, X.; Vogt, R.D.; Feng, J.; Zhai, L.; Ma, W.; Zhu, L.; Lu, X. Kinetics and Size Effects on Adsorption of Cu(II), Cr(III), and Pb(II) Onto Polyethylene, Polypropylene, and Polyethylene Terephthalate Microplastic Particles. Front. Mar. Sci. 2021, 8, 785146. [Google Scholar] [CrossRef]
- Zhang, L.; Li, Y.; Wang, W.; Zhang, W.; Zuo, Q.; Abdelkader, A.; Xi, K.; Heynderickx, P.M.; Kim, K.-H. The potential of microplastics as adsorbents of sodium dodecyl benzene sulfonate and chromium in an aqueous environment. Environ. Res. 2021, 197, 111057. [Google Scholar] [CrossRef] [PubMed]
- Gao, F.; Li, J.; Sun, C.; Zhang, L.; Jiang, F.; Cao, W.; Zheng, L. Study on the capability and characteristics of heavy metals enriched on microplastics in marine environment. Mar. Pollut. Bull. 2019, 144, 61–67. [Google Scholar] [CrossRef]
- Shen, M.; Song, B.; Zeng, G.; Zhang, Y.; Teng, F.; Zhou, C. Surfactant changes lead adsorption behaviors and mechanisms on microplastics. Chem. Eng. J. 2021, 405, 126989. [Google Scholar] [CrossRef]
- Fotopoulou, K.N.; Karapanagioti, H.K. Surface properties of beached plastic pellets. Mar. Environ. Res. 2012, 81, 70–77. [Google Scholar] [CrossRef]
- Yin, Y.; Guo, X.; Peng, D. Iron and manganese oxides modified maize straw to remove tylosin from aqueous solutions. Chemosphere 2018, 205, 156–165. [Google Scholar] [CrossRef]
- Hu, B.; Li, Y.; Jiang, L.; Chen, X.; Wang, L.; An, S.; Zhang, F. Influence of microplastics occurrence on the adsorption of 17beta-estradiol in soil. J. Hazard. Mater. 2020, 400, 123325. [Google Scholar] [CrossRef]
- Dong, Y.; Gao, M.; Song, Z.; Qiu, W. As(III) adsorption onto different-sized polystyrene microplastic particles and its mechanism. Chemosphere 2020, 239, 124792. [Google Scholar] [CrossRef]
- Sun, H.; Shi, X.; Mao, J.; Zhu, D. Tetracycline sorption to coal and soil humic acids: An examination of humic structural heterogeneity. Environ. Toxicol. Chem. 2010, 29, 1934–1942. [Google Scholar] [CrossRef]
- Gao, X.; Hassan, I.; Peng, Y.; Huo, S.; Ling, L. Behaviors and influencing factors of heavy metals adsorption onto microplastics: A review. J. Clean. Prod. 2021, 319, 128777. [Google Scholar] [CrossRef]
- Wang, L.; Guo, C.; Qian, Q.; Lang, D.; Wu, R.; Abliz, S.; Wang, W.; Wang, J. Adsorption behavior of UV aged microplastics on the heavy metals Pb(II) and Cu(II) in aqueous solutions. Chemosphere 2023, 313, 137439. [Google Scholar] [CrossRef] [PubMed]
- Lv, X.; Dong, Q.; Zuo, Z.; Liu, Y.; Huang, X.; Wu, W.-M. Microplastics in a municipal wastewater treatment plant: Fate, dynamic distribution, removal efficiencies, and control strategies. J. Clean. Prod. 2019, 225, 579–586. [Google Scholar] [CrossRef]
- Staplevan, M.J.; Ansari, A.J.; Ahmed, A.; Hai, F.I. Effect of embedding a sieving phase into the current plastic recycling process to capture microplastics. J. Water Process Eng. 2024, 66, 106075. [Google Scholar] [CrossRef]











| Experimental Influencing Factors | MP Type | MP Size | Initial Pb Concentration | The Number of MPs | pH | Salinity |
|---|---|---|---|---|---|---|
| MP type | Primary PVC MPs and crushed PVC MPs | 0.5 mm | 30 mg/L | 1 g/L | 7 | 0 |
| MP size | Crushed PVC MPs | 1, 0.5 and 0.2 mm | 30 mg/L | 1 g/L | 7 | 0 |
| Number of MPs | Crushed PVC MPs | 0.2 mm | 30 mg/L | 0.1, 0.5, 1, 1.5 and 2 g/L | 7 | 0 |
| pH | Crushed PVC MPs | 0.2 mm | 30 mg/L | 0.3 g/L | 4, 5, 6, 7 and 8 | 0 |
| Salinity | Crushed PVC MPs | 0.2 mm | 30 mg/L | 0.3 g/L | 7 | 0, 1% and 3.5% |
| Presence of biofilms on MPs | Biofilm-coated and non-coated MPs | 1, 0.5 and 0.2 mm | 30 mg/L | 1 g/L | 7 | 0 |
Disclaimer/Publisher’s Note: The statements, opinions and data contained in all publications are solely those of the individual author(s) and contributor(s) and not of MDPI and/or the editor(s). MDPI and/or the editor(s) disclaim responsibility for any injury to people or property resulting from any ideas, methods, instructions or products referred to in the content. |
© 2024 by the authors. Licensee MDPI, Basel, Switzerland. This article is an open access article distributed under the terms and conditions of the Creative Commons Attribution (CC BY) license (https://creativecommons.org/licenses/by/4.0/).
Share and Cite
Li, S.; Cao, L.; Liu, Q.; Sui, S.; Bian, J.; Zhao, X.; Gao, Y. Enhancing Pb Adsorption on Crushed Microplastics: Insights into the Environmental Remediation. Water 2024, 16, 3541. https://doi.org/10.3390/w16233541
Li S, Cao L, Liu Q, Sui S, Bian J, Zhao X, Gao Y. Enhancing Pb Adsorption on Crushed Microplastics: Insights into the Environmental Remediation. Water. 2024; 16(23):3541. https://doi.org/10.3390/w16233541
Chicago/Turabian StyleLi, Sen, Lu Cao, Qiyuan Liu, Shuting Sui, Jiayin Bian, Xizeng Zhao, and Yun Gao. 2024. "Enhancing Pb Adsorption on Crushed Microplastics: Insights into the Environmental Remediation" Water 16, no. 23: 3541. https://doi.org/10.3390/w16233541
APA StyleLi, S., Cao, L., Liu, Q., Sui, S., Bian, J., Zhao, X., & Gao, Y. (2024). Enhancing Pb Adsorption on Crushed Microplastics: Insights into the Environmental Remediation. Water, 16(23), 3541. https://doi.org/10.3390/w16233541

