Simulating the Vegetation Gross Primary Productivity by the Biome-BGC Model in the Yellow River Basin of China
Abstract
1. Introduction
2. Materials and Methods
2.1. Study Area
2.2. Dataset
2.2.1. Meteorological Data
2.2.2. Elevation Data
2.2.3. Soil Data
2.2.4. Vegetation Type Data
2.2.5. GPP Product Data
2.3. Methods
2.3.1. Biome-BGC Model
2.3.2. Differential Evolution Algorithm
2.3.3. Simulation of GPP and Regional Adaptability Test
2.3.4. Analysis of Spatiotemporal Change Trend of GPP
3. Results
3.1. The Optimized Parameters of Typical Vegetation Types
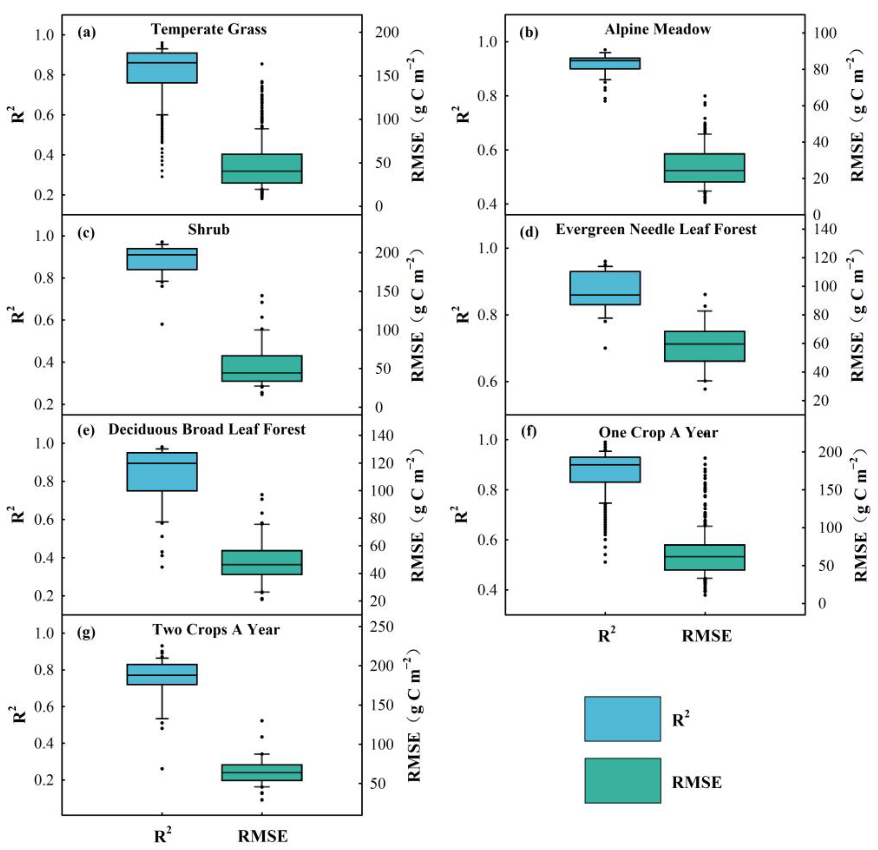
3.2. Calibration and Validation of the Model
3.3. Simulation and Regional Adaptability Test
3.4. Analysis of Spatiotemporal Change Trend of GPP
4. Discussion
4.1. The Effectiveness of the Differential Evolution Optimization Method
4.2. Adaptability of the Model
4.3. Analysis of the Results of GPP Simulations of Typical Vegetation Types
4.4. The Change of GPP Under the Influence of Natural Factors
5. Conclusions
- (1)
- The parameter optimization method of coupling Biome-BGC with the differential evolution (DE) algorithm was used for model parameter calibration and validation. Through validation and the adaptability test, it was demonstrated that the Biome-BGC model had great adaptability and high model accuracy in simulating the gross primary productivity of typical vegetation types in the Yellow River Basin. This model can be applied to carbon flux simulation studies for historical periods in the Yellow River Basin.
- (2)
- From 2000 to 2021, the average gross primary productivity in the Yellow River Basin for the past 22 years was 741.90 g C m−2 y−1, with a range of 681.61 g C m−2 y−1–785.51 g C m−2 y−1. On the whole, the change trend of the GPP was not significant, showing a fluctuating trend. The annual GPP of evergreen needle leaf forests and shrubs showed a significant increasing trend, while the annual GPP of deciduous broad leaf forests and alpine meadows exhibited a significant decreasing trend. On the other hand, the annual GPP variations for crops and temperate grasses were not significant. The annual change in the GPP in the Yellow River Basin showed mainly a single peak change pattern, while only the GPP of one crop a year showed a double peak change pattern.
- (3)
- From 2000 to 2021, the spatial distribution of the annual average GPP in the Yellow River Basin had the following characteristics: The annual average GPP of the Yellow River Basin had a great spatial difference because of different vegetation coverage. The annual average GPP values in the westernmost region were comparatively the lowest among the other areas. Beyond this region, the distribution of the annual average GPP presented a distinct pattern with higher values in the southern parts, lower values in the northern parts, higher values in the eastern and western parts, and lower values in the central area. The GPP in most regions of the Yellow River Basin showed an increasing trend, accounting for approximately 59.91% of the total area.
Author Contributions
Funding
Data Availability Statement
Acknowledgments
Conflicts of Interest
References
- Piao, S.; Yue, C.; Ding, J.; Guo, Z. Perspectives on the role of terrestrial ecosystems in the ‘carbon neutrality’ strategy. Sci. China Earth Sci. 2022, 65, 1178–1186. [Google Scholar] [CrossRef]
- World Meteorological Organization. WMO Greenhouse Gas Bulletin No. 17: The State of Greenhouse Gases in the Atmosphere Based on Global Observations Through 2020; World Meteorological Organization: Geneva, Switzerland, 2021. [Google Scholar]
- Piao, S.; He, Y.; Wang, X.; Chen, F. Estimation of China’s terrestrial ecosystem carbon sink: Methods, progress and prospects. Sci. China Earth Sci. 2022, 65, 641–651. [Google Scholar] [CrossRef]
- Chapin, F.S.; Matson, P.A.; Vitousek, P.M. The Ecosystem Concept. In Principles of Terrestrial Ecosystem Ecology; Springer: New York, NY, USA, 2011; pp. 3–22. [Google Scholar]
- Le Quéré, C.; Andrew, R.M.; Friedlingstein, P.; Sitch, S.; Hauck, J.; Pongratz, J.; Pickers, P.A.; Korsbakken, J.I.; Peters, G.P.; Canadell, J.G.; et al. Global Carbon Budget 2018. Earth Syst. Sci. Data 2018, 10, 2141–2194. [Google Scholar] [CrossRef]
- Shevliakova, E.; Stouffer, R.J.; Malyshev, S.; Krasting, J.P.; Hurtt, G.C.; Pacala, S.W. Historical warming reduced due to enhanced land carbon uptake. Proc. Natl. Acad. Sci. USA 2013, 110, 16730–16735. [Google Scholar] [CrossRef] [PubMed]
- Beer, C.; Reichstein, M.; Tomelleri, E.; Ciais, P.; Jung, M.; Carvalhais, N.; Rödenbeck, C.; Arain, M.A.; Baldocchi, D.; Bonan, G.B.; et al. Terrestrial Gross Carbon Dioxide Uptake: Global Distribution and Covariation with Climate. Science 2010, 329, 834–838. [Google Scholar] [CrossRef]
- Chapin, F.S.; Matson, P.A.; Mooney, H.A.; Vitousek, P.M. Principles of Terrestrial Ecosystem Ecology; Springer: Berlin/Heidelberg, Germany, 2002. [Google Scholar]
- Verma, M.; Friedl, M.A.; Richardson, A.D.; Kiely, G.; Cescatti, A.; Law, B.E.; Wohlfahrt, G.; Gielen, B.; Roupsard, O.; Moors, E.J.; et al. Remote sensing of annual terrestrial gross primary productivity from MODIS: An assessment using the FLUXNET La Thuile data set. Biogeosciences 2014, 11, 2185–2200. [Google Scholar] [CrossRef]
- Bai, J.; Zhang, H.; Sun, R.; Li, X.; Xiao, J.; Wang, Y. Estimation of global GPP from GOME-2 and OCO-2 SIF by considering the dynamic variations of GPP-SIF relationship. Agric. For. Meteorol. 2022, 326, 109180. [Google Scholar] [CrossRef]
- Liu, F.; Wang, C.; Wang, X. Can vegetation index track the interannual variation in gross primary production of temperate deciduous forests? Ecol. Process. 2021, 10, 51. [Google Scholar] [CrossRef]
- Lv, Y.; Liu, J.; He, W.; Zhou, Y.; Nguyen, N.T.; Bi, W.; Wei, X.; Chen, H. How well do light-use efficiency models capture large-scale drought impacts on vegetation productivity compared with data-driven estimates? Ecol. Indic. 2023, 146, 109739. [Google Scholar] [CrossRef]
- Ogutu, B.O.; Dash, J. Assessing the capacity of three production efficiency models in simulating gross carbon uptake across multiple biomes in conterminous USA. Agric. For. Meteorol. 2013, 174–175, 158–169. [Google Scholar] [CrossRef]
- Law, B.; Thornton, P.; Irvine, J.; Anthoni, P.; Van Tuyl, S. Carbon storage and fluxes in ponderosa pine forests at different developmental stages. Glob. Chang. Biol. 2001, 7, 755–777. [Google Scholar] [CrossRef]
- Liu, J.; Chen, J.M.; Cihlar, J.; Park, W.M. A process-based boreal ecosystem productivity simulator using remote sensing inputs. Remote Sens. Environ. 1997, 62, 158–175. [Google Scholar] [CrossRef]
- Running, S.W.; Hunt, E.R. 8—Generalization of a Forest Ecosystem Process Model for Other Biomes, BIOME-BGC, and an Application for Global-Scale Models; Academic Press: Cambridge, MA, USA, 1993. [Google Scholar]
- Sun, Q.; Li, B.; Zhang, T.; Yuan, Y.; Gao, X.; Ge, J.; Li, F.; Zhang, Z. An improved Biome-BGC model for estimating net primary productivity of alpine meadow on the Qinghai-Tibet Plateau. Ecol. Model. 2017, 350, 55–68. [Google Scholar] [CrossRef]
- White, M.A.; Thornton, P.E.; Running, S.W.; Nemani, R.R. Parameterization and Sensitivity Analysis of the BIOME–BGC Terrestrial Ecosystem Model: Net Primary Production Controls. Earth Interact. 2000, 4, 1–85. [Google Scholar] [CrossRef]
- Bai, J.; Chen, X.; Li, L.; Luo, G.; Yu, Q. Quantifying the contributions of agricultural oasis expansion, management practices and climate change to net primary production and evapotranspiration in croplands in arid northwest China. J. Arid. Environ. 2013, 100–101, 31–41. [Google Scholar] [CrossRef]
- Nunes, L.; Gower, S.T.; Peckham, S.D.; Magalhaes, M.; Lopes, D.; Rego, F.C. Estimation of productivity in pine and oak forests in northern Portugal using Biome-BGC. For. Int. J. For. Res. 2014, 88, 200–212. [Google Scholar] [CrossRef]
- Liu, J.; Wu, Z.; Yang, S.; Yang, C. Sensitivity Analysis of Biome-BGC for Gross Primary Production of a Rubber Plantation Ecosystem: A Case Study of Hainan Island, China. Int. J. Environ. Res. Public Health 2022, 19, 14068. [Google Scholar] [CrossRef]
- Schmid, S.; Zierl, B.; Bugmann, H. Analyzing the carbon dynamics of central European forests: Comparison of Biome-BGC simulations with measurements. Reg. Environ. Chang. 2006, 6, 167–180. [Google Scholar] [CrossRef]
- Srinet, R.; Nandy, S.; Patel, N.; Padalia, H.; Watham, T.; Singh, S.K.; Chauhan, P. Simulation of forest carbon fluxes by integrating remote sensing data into biome-BGC model. Ecol. Model. 2023, 475, 110185. [Google Scholar] [CrossRef]
- Running, S.W.; Coughlan, J.C. A general model of forest ecosystem processes for regional applications I. Hydrologic balance, canopy gas exchange and primary production processes. Ecol. Model. 1988, 42, 125–154. [Google Scholar] [CrossRef]
- Ma, S.; Churkina, G.; Wieland, R.; Gessler, A. Optimization and evaluation of the ANTHRO-BGC model for winter crops in Europe. Ecol. Model. 2011, 222, 3662–3679. [Google Scholar] [CrossRef]
- Keller, E.D.; Baisden, W.T.; Timar, L.; Mullan, B.; Clark, A. Grassland production under global change scenarios for New Zealand pastoral agri-culture. Geosci. Model. Dev. 2014, 7, 2359–2391. [Google Scholar] [CrossRef]
- Xue, S.; Jian, H.; Yang, F.; Liu, Q.; Yao, Q. Impact of water-sediment regulation on the concentration and transport of dissolved heavy metals in the middle and lower reaches of the Yellow River. Sci. Total Environ. 2022, 806, 150535. [Google Scholar] [CrossRef]
- Zhang, X.; Liu, K.; Wang, S.; Wu, T.; Li, X.; Wang, J.; Wang, D.; Zhu, H.; Tan, C.; Ji, Y. Spatiotemporal evolution of ecological vulnerability in the Yellow River Basin under ecological restoration initiatives. Ecol. Indic. 2022, 135, 108586. [Google Scholar] [CrossRef]
- Liu, C.; Zhang, X.; Wang, T.; Chen, G.; Zhu, K.; Wang, Q.; Wang, J. Detection of vegetation coverage changes in the Yellow River Basin from 2003 to 2020. Ecol. Indic. 2022, 138, 108818. [Google Scholar] [CrossRef]
- Zhang, Q.; Xu, C.-Y.; Chen, Y.D.; Ren, L. Comparison of evapotranspiration variations between the Yellow River and Pearl River basin, China. Stoch. Environ. Res. Risk Assess. 2011, 25, 139–150. [Google Scholar] [CrossRef]
- Liu, S.; Shao, Q.; Ning, J.; Niu, L.; Zhang, X.; Liu, G.; Huang, H. Remote-Sensing-Based Assessment of the Ecological Restoration Degree and Restoration Potential of Ecosystems in the Upper Yellow River over the Past 20 Years. Remote Sens. 2022, 14, 3550. [Google Scholar] [CrossRef]
- Ran, Y.; Ma, H. 1 km Plant Functional Types Map over China in 2000. Remote Sens. Technol. Appl. 2016, 31, 827–832. [Google Scholar]
- Wu, J.; Gao, X.-J. A gridded daily observation dataset over China region and comparison with the other datasets. Chin. J. Geophys. 2013, 56, 1102–1111. [Google Scholar]
- Hungerford, R.D.; Nemani, R.R.; Running, S.W.; Coughlan, J.C. MTCLIM: A Mountain Microclimate Simulation Model; U.S. Department of Agriculture, Forest Service, Intermountain Forest and Range Experiment Station: Washington, DC, USA, 1989.
- FAO/IIASA/ISRIC/ISSCAS/JRC. Harmonized World Soil Database (Version 1.2); FAO: Rome, Italy; IIASA: Laxenburg, Austria, 2012. [Google Scholar]
- Zhang, Y.; Xiao, X.; Wu, X.; Zhou, S.; Zhang, G.; Qin, Y.; Dong, J. A global moderate resolution dataset of gross primary production of vegetation for 2000–2016. Sci. Data 2017, 4, 170165. [Google Scholar] [CrossRef]
- Running, S.W.; Gower, S.T. FOREST-BGC, A general model of forest ecosystem processes for regional applications. II. Dynamic carbon allocation and nitrogen budgets. Tree Physiol. 1991, 9, 147–160. [Google Scholar] [CrossRef] [PubMed]
- Storn, R.; Price, K. Differential evolution—A simple and efficient heuristic for global optimization over continuous spaces. J. Glob. Optim. 1997, 11, 341–359. [Google Scholar] [CrossRef]
- Slowik, A. Application of an Adaptive Differential Evolution Algorithm with Multiple Trial Vectors to Artificial Neural Network Training. IEEE Trans. Ind. Electron. 2010, 58, 3160–3167. [Google Scholar] [CrossRef]
- Raj, R.; Hamm, N.A.; van der Tol, C.; Stein, A. Variance-based sensitivity analysis of BIOME-BGC for gross and net primary production. Ecol. Model. 2014, 292, 26–36. [Google Scholar] [CrossRef]
- Hunt, N.D.; Gower, S.T.; Nadelhoffer, K.; Lajtha, K.; Townsend, K.; Brye, K.R. Validation of an agroecosystem process model (AGRO-BGC) on annual and per-ennial bioenergy feedstocks. Ecol. Model. 2016, 321, 23–34. [Google Scholar] [CrossRef]
- Li, C.; Sun, H.; Wu, X.; Han, H. Dataset of the net primary production on the Qinghai-Tibetan Plateau using a soil water content improved Biome-BGC model. Data Brief 2019, 27, 104740. [Google Scholar] [CrossRef]
- Wang, Q.; Watanabe, M.; Ouyang, Z. Simulation of water and carbon fluxes using BIOME-BGC model over crops in China. Agric. For. Meteorol. 2005, 131, 209–224. [Google Scholar] [CrossRef]
- Wu, Z.; Li, Q.; Xu, S.; Chen, Q.; Chen, Y. Investigation into climate change effects on carbon and water fluxes, and water use efficiency of the temperate grassland ecosystems in Inner Mongolia of China. Water Supply 2023, 23, 2147–2161. [Google Scholar] [CrossRef]
- Chiesi, M.; Maselli, F.; Moriondo, M.; Fibbi, L.; Bindi, M.; Running, S. Application of BIOME-BGC to simulate Mediterranean forest processes. Ecol. Model. 2007, 206, 179–190. [Google Scholar] [CrossRef]
- Ueyama, M.; Ichii, K.; Hirata, R.; Takagi, K.; Asanuma, J.; Machimura, T.; Nakai, Y.; Ohta, T.; Saigusa, N.; Takahashi, Y.; et al. Simulating carbon and water cycles of larch forests in East Asia by the BIOME-BGC model with AsiaFlux data. Biogeosciences 2010, 7, 959–977. [Google Scholar] [CrossRef]
- Hatch, M.D.; Slack, C. Photosynthesis by sugar-cane leaves. A new carboxylation reaction and the pathway of sugar formation. Biochem. J. 1966, 101, 103–111. [Google Scholar] [CrossRef]
- Sheehy, J.E.; Mitchell, P.L.; Hardy, B. Charting New Pathways to C4 Rice; World Scientific: Singapore, 2008. [Google Scholar]
- Schuler, M.L.; Mantegazza, O.; Weber, A.P. Engineering C4 photosynthesis into C3 chassis in the synthetic biology age. Plant J. 2016, 87, 51–65. [Google Scholar] [CrossRef] [PubMed]
- Falge, E.; Baldocchi, D.; Tenhunen, J.; Aubinet, M.; Bakwin, P.; Berbigier, P.; Bernhofer, C.; Burba, G.; Clement, R.; Davis, K.J.; et al. Seasonality of ecosystem respiration and gross primary production as derived from FLUXNET measurements. Agric. For. Meteorol. 2002, 113, 53–74. [Google Scholar] [CrossRef]
- He, H.; Liu, M.; Xiao, X.; Ren, X.; Zhang, L.; Sun, X.; Yang, Y.; Li, Y.; Zhao, L.; Shi, P.; et al. Large-scale estimation and uncertainty analysis of gross primary production in Tibetan alpine grasslands. J. Geophys. Res. Biogeosci. 2014, 119, 466–486. [Google Scholar] [CrossRef]
- You, Y.; Wang, S.; Ma, Y.; Wang, X.; Liu, W. Improved Modeling of Gross Primary Productivity of Alpine Grasslands on the Tibetan Plateau Using the Biome-BGC Model. Remote Sens. 2019, 11, 1287. [Google Scholar] [CrossRef]
- Zhuang, Q.; He, J.; Lu, Y.; Ji, L.; Xiao, J.; Luo, T. Carbon dynamics of terrestrial ecosystems on the Tibetan Plateau during the 20th century: An analysis with a process-based biogeochemical model. Glob. Ecol. Biogeogr. 2010, 19, 649–662. [Google Scholar] [CrossRef]
- Hinojo-Hinojo, C.; Castellanos, A.E.; Huxman, T.; Rodriguez, J.C.; Vargas, R.; Romo-León, J.R.; Biederman, J.A. Native shrubland and managed buffelgrass savanna in drylands: Impli-cations for ecosystem carbon and water fluxes. Agric. For. Meteorol. 2019, 268, 269–278. [Google Scholar] [CrossRef]







| Parameter | GRA | AM | Shrub | ENF | DBF | Crop1 | Crop2-W | Crop2-M | Units |
|---|---|---|---|---|---|---|---|---|---|
| Year day to start new growth | 130 | 120 | * | * | * | 138 | 60 | 180 | day |
| Year day to end litterfall | 280 | 275 | * | * | * | 283 | 180 | 300 | day |
| Transfer growth period as fraction of growing season | 0.9912 | 0.6201 | 0.6217 | * | 0.0782 | 0.5021 | 0.6623 | 0.7976 | / |
| Litterfall as fraction of growing season | 0.2810 | 0.2959 | 0.6207 | * | 0.8964 | 0.5514 | 0.1985 | 0.2541 | / |
| Annual leaf and fine root turnover fraction | 1 | 1 | 0.8871 | 0.3023 | 1 | 0.4 | 1.0 | 0.1657 | 1 a−1 |
| Annual live wood turnover fraction | 0 | 0 | 0.7 | 0.2528 | 0.7 | 0 | 0 | 0 | 1 a−1 |
| Annual whole-plant mortality fraction | 0.01 | 0.06 | 0.005 | 0.0001 | 0.005 | 0.005 | 0.005 | 0.01 | 1 a−1 |
| Annual fire mortality fraction | 0.005 | 0.05 | 0.005 | 0.0001 | 0.0025 | 0.005 | 0.005 | 0.01 | 1 a−1 |
| New fine root C: new leaf C | 2.1644 | 1.6664 | 5.1482 | 5.6219 | 2.1620 | 0.1 | 1.9773 | 1.1619 | ratio |
| New stem C: new leaf C | 0 | 0 | 0.7497 | 0.5200 | 3.0301 | 0 | 0 | 0 | ratio |
| New live wood C: new total wood C | 0 | 0 | 0.2664 | 0.0867 | 0.1 | 0 | 0 | 0 | ratio |
| New root C: new stem C | 0 | 0 | 0.4017 | 0.3031 | 0.23 | 0 | 0 | 0 | ratio |
| Current growth proportion | 0.6744 | 0.7684 | 0.2370 | 0.5355 | 0.1865 | 0.05 | 0.1059 | 0.5937 | / |
| C:N of leaves | 20.32 | 30.95 | 35.29 | 28.00 | 13.27 | 26.50 | 45.00 | 64.62 | Kg C kg−1 N |
| C:N of leaf litter, after retranslocation | 58.59 | 65.64 | 116.23 | 92.00 | 43.33 | 65.50 | 95.00 | 88.37 | Kg C kg−1 N |
| C:N of fine roots | 74.15 | 72.63 | 63.21 | 100.00 | 43.22 | 80.00 | 120.00 | 120.64 | Kg C kg−1 N |
| C:N of live wood | 0 | 0 | 89.37 | 80.00 | 50.00 | 0 | 0 | 0 | Kg C kg−1 N |
| C:N of dead wood | 0 | 0 | 1003.42 | 729.00 | 442.00 | 0 | 0 | 0 | Kg C kg−1 N |
| Leaf litter labile proportion | 0.39 | 0.39 | 0.38 | 0.32 | 0.39 | 0.37 | 0.68 | 0.68 | DIM |
| Leaf litter cellulose proportion | 0.44 | 0.44 | 0.45 | 0.44 | 0.44 | 0.46 | 0.23 | 0.23 | DIM |
| Leaf litter lignin proportion | 0.17 | 0.17 | 0.17 | 0.24 | 0.17 | 0.17 | 0.09 | 0.09 | DIM |
| Fine root labile proportion | 0.30 | 0.30 | 0.30 | 0.30 | 0.3 | 0.30 | 0.34 | 0.34 | DIM |
| Fine root cellulose proportion | 0.45 | 0.45 | 0.45 | 0.45 | 0.45 | 0.45 | 0.44 | 0.44 | DIM |
| Fine root lignin proportion | 0.25 | 0.25 | 0.25 | 0.25 | 0.25 | 0.25 | 0.22 | 0.22 | DIM |
| Dead wood cellulose proportion | 0.75 | 0.75 | 0.76 | 0.76 | 0.76 | 0.75 | 0.76 | 0.76 | DIM |
| Dead wood lignin proportion | 0.25 | 0.25 | 0.24 | 0.24 | 0.24 | 0.25 | 0.24 | 0.24 | DIM |
| Canopy water interception coefficient | 0.0180 | 0.0227 | 0.0354 | 0.0107 | 0.0164 | 0.001 | 0.0124 | 0.0772 | 1 LAI−1d−1 |
| Canopy light extinction coefficient | 0.4533 | 0.7359 | 0.5720 | 0.4744 | 0.6868 | 0.32 | 0.5431 | 0.4468 | DIM |
| All-sided to projected leaf area ratio | 2 | 2 | 2.3 | 3.4250 | 1.0815 | 0.325 | 2.0 | 2.0 | DIM |
| Canopy average specific leaf area | 30.4374 | 12.9271 | 35.9618 | 20.9445 | 37.6114 | 26.9 | 32.1638 | 25.8928 | m2 kg−1 C |
| Ratio of shaded SLA: sunlit SLA | 2 | 2 | 2 | 2 | 2.3988 | 3.5 | 2.0 | 2.0 | DIM |
| Fraction of leaf N in Rubisco | 0.2637 | 0.2505 | 0.5210 | 0.3035 | 0.0845 | 0.34 | 0.2956 | 0.1937 | DIM |
| Maximum stomatal conductance | 0.0026 | 0.0057 | 0.0018 | 0.0010 | 0.0024 | 0.0081 | 0.0032 | 0.0043 | m s−1 |
| Cuticular conductance | 3.6 × 10−5 | 7.5 × 10−5 | 7.2 × 10−5 | 6 × 10−7 | 1.4 × 10−5 | 1.1 × 10−4 | 8.6 × 10−5 | 7.2 × 10−5 | m s−1 |
| Boundary layer conductance | 0.0758 | 0.0987 | 0.0752 | 0.1083 | 0.0265 | 0.048 | 0.0896 | 0.0370 | m s−1 |
| Leaf water potential: start of conductance reduction | −0.73 | −0.73 | −0.6 | −0.6 | −0.6 | −0.6 | −0.73 | −0.73 | Mpa |
| Leaf water potential: complete conductance reduction | −2.7 | −2.7 | −2.3 | −2.7 | −2.3 | −2.3 | −2.7 | −2.7 | Mpa |
| Vapor pressure deficit: start of conductance reduction | 953.71 | 712.63 | 1184.60 | 980.00 | 930.00 | 930.00 | 930.00 | 930.0 | pa |
| Vapor pressure deficit: complete conductance reduction | 3064.11 | 5647.09 | 2796.75 | 5000.00 | 4100.00 | 4100.00 | 4000.00 | 4000.0 | pa |
| Vegetation Type | R2 | RMSE (g C m−2) |
|---|---|---|
| Temperate Grass | 0.82 | 48.06 |
| Alpine Meadow | 0.92 | 26.57 |
| Shrub | 0.89 | 54.18 |
| Evergreen Needle Leaf Forest | 0.87 | 58.12 |
| Deciduous Broad Leaf Forest | 0.83 | 49.19 |
| One Crop A Year | 0.87 | 66.24 |
| Two Crops A year | 0.75 | 65.56 |
| Yellow River Basin Vegetation | 0.85 | 50.92 |
| Multi-Year Average GPP (g C m−2 y−1) | |||
|---|---|---|---|
| Vegetation Type | Simulation of This Study | Simulation of Other Studies | Reference |
| Temperate Grass | 658.10 | 542.0 | [50] |
| Alpine Meadow | 471.80 | 312.3 461.6 712.0 | [51] [52] [53] |
| Shrub | 869.34 | 744.0–867.0 | [54] |
| Evergreen Needle Leaf Forest | 1715.90 | 1325.0 1319.0–1924.0 | [45] [50] |
| Deciduous Broad Leaf Forest | 1267.77 | 1355.0 1122.0–1507.0 | [45] [50] |
| One Crop A year | 1068.85 | 1101–1396 | [50] |
| Two Crops A year | 1541.31 | 1471 1604 | [50] [43] |
Disclaimer/Publisher’s Note: The statements, opinions and data contained in all publications are solely those of the individual author(s) and contributor(s) and not of MDPI and/or the editor(s). MDPI and/or the editor(s) disclaim responsibility for any injury to people or property resulting from any ideas, methods, instructions or products referred to in the content. |
© 2024 by the authors. Licensee MDPI, Basel, Switzerland. This article is an open access article distributed under the terms and conditions of the Creative Commons Attribution (CC BY) license (https://creativecommons.org/licenses/by/4.0/).
Share and Cite
Jia, L.; Zhang, B. Simulating the Vegetation Gross Primary Productivity by the Biome-BGC Model in the Yellow River Basin of China. Water 2024, 16, 3468. https://doi.org/10.3390/w16233468
Jia L, Zhang B. Simulating the Vegetation Gross Primary Productivity by the Biome-BGC Model in the Yellow River Basin of China. Water. 2024; 16(23):3468. https://doi.org/10.3390/w16233468
Chicago/Turabian StyleJia, Lige, and Bo Zhang. 2024. "Simulating the Vegetation Gross Primary Productivity by the Biome-BGC Model in the Yellow River Basin of China" Water 16, no. 23: 3468. https://doi.org/10.3390/w16233468
APA StyleJia, L., & Zhang, B. (2024). Simulating the Vegetation Gross Primary Productivity by the Biome-BGC Model in the Yellow River Basin of China. Water, 16(23), 3468. https://doi.org/10.3390/w16233468
