Fine-Resolution Wetland Mapping in the Yellow River Basin Using Sentinel-1/2 Data via Zoning-Based Random Forest with Remote Sensing Feature Preferences
Abstract
1. Introduction
2. Materials and Methods
2.1. Study Area
2.2. Dataset
2.2.1. Remote Sensing Images
2.2.2. Sample Data
2.2.3. Auxiliary Data
2.3. Methods
2.3.1. Features Extraction
2.3.2. The Method of Analyzing Separability between Wetland Sub-Categories
2.3.3. Importance of Remote Sensing Classification Features
2.3.4. Wetland Classification in the YRB
2.3.5. Accuracy Assessment of YRB Wetland Classification Results
3. Results
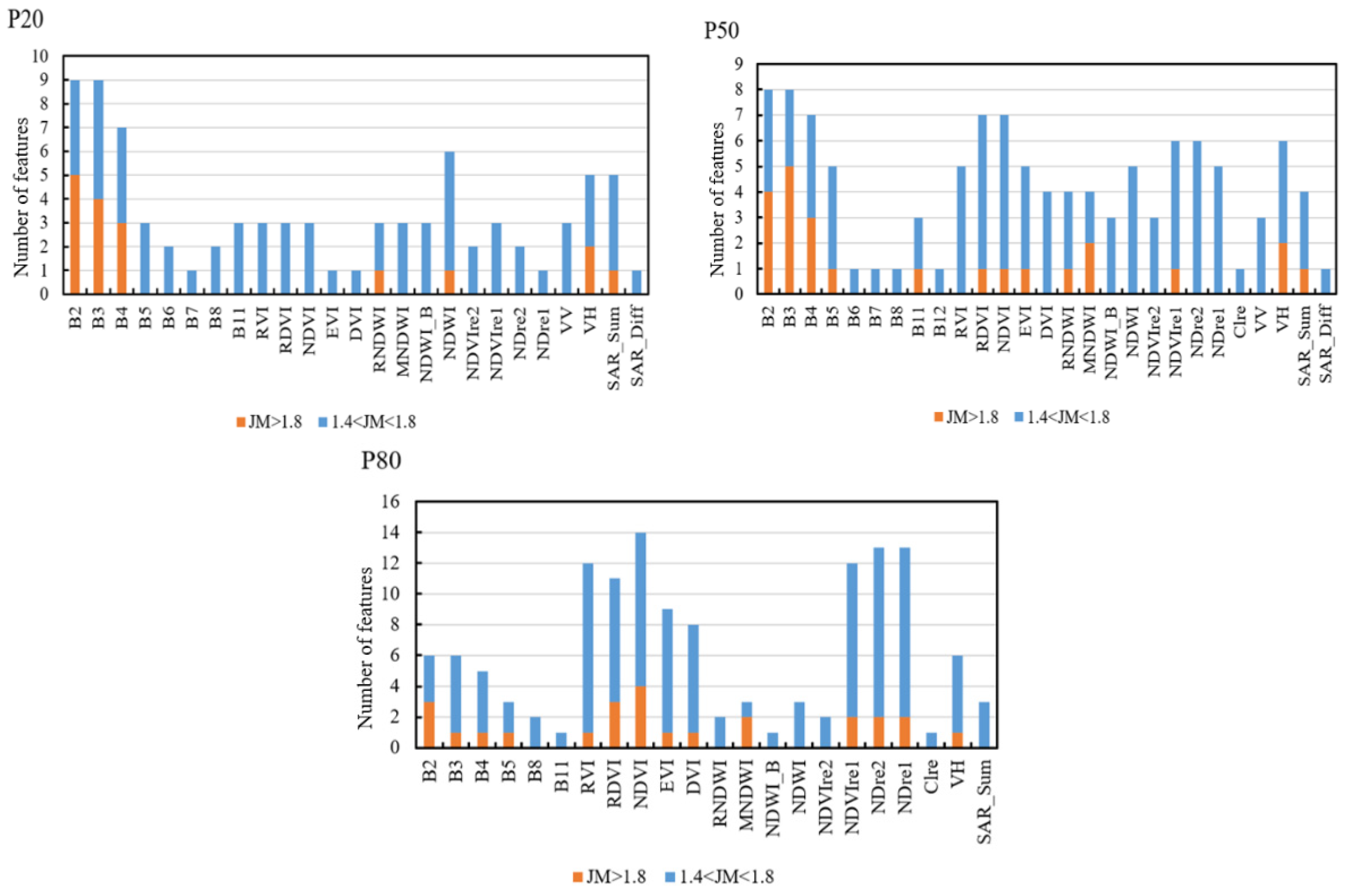
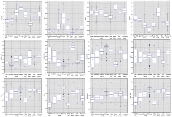
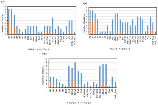
3.1. Selection of Remote Sensing Features for Wetlands
3.1.1. Separability of Wetland Sub-Categories Characterized by Different Features
3.1.2. Jeffries–Matusita (JM) Distances between Pairs of Wetland Sub-Categories
3.1.3. Variable Importance Measures of the RF Model and the Overall Accuracy of Different Feature Combinations
3.2. Accuracy Assessment of the YRB Wetland Classification Results
3.3. Spatial Pattern of Different Wetland Sub-Categories in the YRB
4. Discussion
4.1. Intercomparison between Wetlands in This Study and Existing Products
4.2. Limitations and Future Improvements
5. Conclusions
Author Contributions
Funding
Data Availability Statement
Conflicts of Interest
Appendix A
| Wetland Types | JM > 1.8 | Wetland Types | JM > 1.8 | Wetland Types | JM > 1.8 |
|---|---|---|---|---|---|
| Paddy rice and water body | MNDWI_P50 | Water body and swamp | NDVIre1_P80 | B5_P50 | |
| RNDWI_P50 | NDre2_P80 | VH_P50 | |||
| B11_P50 | EVI_P80 | B2_P20 | |||
| RNDWI_P20 | MNDWI_P80 | B3_P20 | |||
| MNDWI_P80 | NDre1_P80 | B4_P20 | |||
| RDVI_P80 | DVI_P80 | VH_P20 | |||
| Paddy rice and swamp | B2_P50 | VH_P80 | NDWI_P20 | ||
| B3_P50 | Seasonal marsh and tidal flat | B2_P50 | B2_P80 | ||
| B2_P20 | B3_P50 | Swamp and tidal flat | B3_P80 | ||
| B2_P80 | B4_P50 | B4_P80 | |||
| Water body and seasonal marsh | NDVI_P80 | B2_P20 | NDVI_P80 | ||
| Water body and swamp | VH_P50 | B3_P20 | NDre1_P80 | ||
| SAR_Sum_P50 | B4_P20 | NDVIre1_P80 | |||
| NDVI_P50 | NDVI_P80 | B5_P80 | |||
| RDVI_P50 | Swamp and floodplain | B4_P50 | RDVI_P80 | ||
| NDVIre1_P50 | B3_P50 | NDre2_P80 | |||
| MNDWI_P50 | B3_P20 | RVI_P80 | |||
| EVI_P50 | B4_P20 | Swamp and salt marsh | B2_P50 | ||
| SAR_Sum_P20 | B2_P20 | B3_P50 | |||
| VH_P20 | Swamp and tidal flat | B2_P50 | B2_P20 | ||
| NDVI_P80 | B3_P50 | B3_P20 | |||
| RDVI_P80 | B4_P50 | B2_P80 |
| Wetland Types | 1.4 < JM < 1.8 | Wetland Types | 1.4 < JM < 1.8 | Wetland Types | 1.4 < JM < 1.8 |
|---|---|---|---|---|---|
| Paddy rice and seasonal marsh | B2_P50 | Water body and salt marsh | EVI_P50 | Seasonal marsh and floodplain | B4_P50 |
| Paddy rice and floodplain | NDVI_P80 | NDVI_P50 | B3_P50 | ||
| NDre2_P80 | DVI_P50 | B4_P20 | |||
| NDre1_P80 | RNDWI_P50 | B3_P20 | |||
| EVI_P80 | NDVIre2_P50 | NDVI_P80 | |||
| RDVI_P80 | VV_P50 | NDre2_P80 | |||
| NDVIre1_P80 | NDWI_P50 | NDre1_P80 | |||
| DVI_P80 | NDre2_P50 | NDVIre1_P80 | |||
| Paddy rice and tidal flat | VH_P50 | SAR_Sum_P20 | Permanent marsh and floodplain | NDWI_B_P20 | |
| NDWI_P20 | RVI_P20 | B4_P20 | |||
| B2_P20 | B11_P20 | NDWI_B_P50 | |||
| B3_P20 | NDVIre1_P20 | Permanent marsh & Swamp | VH_P20 | ||
| NDVI_P80 | VV_P20 | LSWI_P20 | |||
| RDVI_P80 | NDVI_P20 | SAR_Sum_P20 | |||
| NDre1_P80 | RDVI_P20 | Floodplain & Salt marsh | NDWI_B_P20 | ||
| DVI_P80 | MNDWI_P20 | Tidal flat and salt marsh | VH_P50 | ||
| EVI_P80 | VH_P20 | B3_P50 | |||
| NDre2_P80 | RNDWI_P20 | B3_P20 | |||
| NDVIre1_P80 | NDVIre2_P20 | VH_P20 | |||
| RVI_P80 | NDre2_P20 | B2_P20 | |||
| VH_P80 | NDre1_P20 | VH_P80 | |||
| B8_P80 | B8_P20 | B3_P80 | |||
| Water body and permanent marsh | NDVI_P50 | MNDWI_P80 | NDre1_P80 | ||
| NDVI_P80 | VH_P80 | NDre2_P80 | |||
| NDre2_P80 | EVI_P80 | NDVI_P80 | |||
| RDVI_P80 | RDVI_P80 | NDVIre1_P80 | |||
| NDVIre1_P80 | NDre2_P80 | RVI_P80 | |||
| NDre1_P80 | NDVIre1_P80 | EVI_P80 | |||
| RVI_P80 | NDVI_P80 | RDVI_P80 | |||
| Water body and salt marsh | MNDWI_P50 | DVI_P80 | Permanent marsh & Salt marsh | B4_P50 | |
| VH_P50 | NDWI_P80 | B2_P50 | |||
| SAR_Sum_P50 | SAR_Sum_P80 | B3_P50 | |||
| B11_P50 | NDre1_P80 | NDWI_B_P50 | |||
| RDVI_P50 | RVI_P80 | B4_P20 | |||
| RVI_P50 | Seasonal marsh and salt marsh | B2_P50 | B3_P20 | ||
| NDVIre1_P50 | B2_P20 | B2_P20 |
References
- Niu, Z.; Zhang, H.; Wang, X.; Yao, W.; Zhou, D.; Zhao, K.; Zhao, H.; Li, N.; Huang, H.; Li, C.; et al. Mapping Wetland Changes in China between 1978 and 2008. Chin. Sci. Bull. 2012, 57, 2813–2823. [Google Scholar] [CrossRef]
- Xu, P.; Herold, M.; Tsendbazar, N.-E.; Clevers, J.G.P.W. Towards a Comprehensive and Consistent Global Aquatic Land Cover Characterization Framework Addressing Multiple User Needs. Remote Sens. Environ. 2020, 250, 112034. [Google Scholar] [CrossRef]
- Hu, S.; Niu, Z.; Chen, Y.; Li, L.; Zhang, H. Global Wetlands: Potential Distribution, Wetland Loss, and Status. Sci. Total Environ. 2017, 586, 319–327. [Google Scholar] [CrossRef]
- Qiu, Z.; Mao, D.; Xiang, H.; Du, B.; Wang, Z. Patterns and Changes of Wetlands in the Yellow River Basin for 5 Periods. Wetl. Sci. 2021, 19, 518–526. [Google Scholar] [CrossRef]
- Li, Z.; He, W.; Cheng, M.; Hu, J.; Yang, G.; Zhang, H. SinoLC-1: The First 1-meter Resolution National-Scale Land-Cover Map of China Created with a Deep Learning Framework and Open-Access Data. Earth Syst. Sci. Data 2023, 15, 4749–4780. [Google Scholar] [CrossRef]
- Zhang, L.; Gong, Z.N.; Wang, Q.W.; Jin, D.; Wang, X. Wetland Mapping of Yellow River Delta Wetlands Based on Multi-Feature Optimization of Sentinel-2 Images. J. Remote Sens. 2019, 23, 313–326. [Google Scholar] [CrossRef]
- Huo, X.; Niu, Z.; Zhang, B.; Liu, L.; Li, X. Remote Sensing Feature Selection for Alpine Wetland Classification. Natl. Remote Sens. Bull. 2023, 27, 1045–1060. [Google Scholar] [CrossRef]
- Hu, Y.; Tian, B.; Yuan, L.; Li, X.; Huang, Y.; Shi, R.; Jiang, X.; Wang, L.; Sun, C. Mapping Coastal Salt Marshes in China Using Time Series of Sentinel-1 SAR. ISPRS J. Photogramm. Remote Sens. 2021, 173, 122–134. [Google Scholar] [CrossRef]
- Peng, Y.; Zhang, Y.; Lin, L.; Jin, K. An Analysis of Changes in Wetland Distribution Patterns in the Yellow River Basin. Wetl. Sci. Manag. 2022, 18, 4–9. [Google Scholar] [CrossRef]
- Huang, H.; Wang, J.; Liu, C.; Liang, L.; Li, C.; Gong, P. The Migration of Training Samples towards Dynamic Global Land Cover Mapping. ISPRS J. Photogramm. Remote Sens. 2020, 161, 27–36. [Google Scholar] [CrossRef]
- Li, A.; Song, K.; Chen, S.; Mu, Y.; Xu, Z.; Zeng, Q. Mapping African Wetlands for 2020 Using Multiple Spectral, Geo-Ecological Features and Google Earth Engine. ISPRS J. Photogramm. Remote Sens. 2022, 193, 252–268. [Google Scholar] [CrossRef]
- Gorelick, N.; Hancher, M.; Dixon, M.; Ilyushchenko, S.; Thau, D.; Moore, R. Google Earth Engine: Planetary-Scale Geospatial Analysis for Everyone. Remote Sens. Environ. 2017, 202, 18–27. [Google Scholar] [CrossRef]
- Niu, Z.; Gong, P.; Cheng, X.; Guo, J.; Wang, L.; Huang, H.; Shen, S.; Wu, Y.; Wang, X.; Wang, X.; et al. Geographical Characteristics of China’s Wetlands Derived from Remotely Sensed Data. Sci. China D Earth Sci. (Internet) 2009, 52, 723–738. [Google Scholar] [CrossRef]
- Chen, Y.; Niu, Z.; Hu, S.; Zhang, H. Dynamic Monitoring of Dongting Lake Wetland Using Time-Series MODIS Imagery. J. Hydraul. Eng. 2016, 47, 1093–1104. [Google Scholar] [CrossRef]
- Yan, X.; Niu, Z. Classification Feature Optimization for Global Wetlands Mapping. IEEE J. Sel. Top. Appl. Earth Obs. Remote Sens. 2024, 17, 8058–8072. [Google Scholar] [CrossRef]
- Niculescu, S.; Boissonnat, J.-B.; Lardeux, C.; Roberts, D.; Hanganu, J.; Billey, A.; Constantinescu, A.; Doroftei, M. Synergy of High-Resolution Radar and Optical Images Satellite for Identification and Mapping of Wetland Macrophytes on the Danube Delta. Remote Sens. 2020, 12, 2188. [Google Scholar] [CrossRef]
- Rodriguez-Galiano, V.F.; Ghimire, B.; Rogan, J.; Chica-Olmo, M.; Rigol-Sanchez, J.P. An Assessment of the Effectiveness of a Random Forest Classifier for Land-Cover Classification. ISPRS J. Photogramm. Remote Sens. 2012, 67, 93–104. [Google Scholar] [CrossRef]
- Thanh Noi, P.; Kappas, M. Comparison of Random Forest, k-Nearest Neighbor, and Support Vector Machine Classifiers for Land Cover Classification Using Sentinel-2 Imagery. Sensors 2018, 18, 18. [Google Scholar] [CrossRef]
- McCarthy, M.J.; Radabaugh, K.R.; Moyer, R.P.; Muller-Karger, F.E. Enabling Efficient, Large-Scale High-Spatial Resolution Wetland Mapping Using Satellites. Remote Sens. Environ. 2018, 208, 189–201. [Google Scholar] [CrossRef]
- Gislason, P.O.; Benediktsson, J.A.; Sveinsson, J.R. Random Forests for Land Cover Classification. Pattern Recognit. Lett. 2006, 27, 294–300. [Google Scholar] [CrossRef]
- Mahdianpari, M.; Salehi, B.; Mohammadimanesh, F.; Motagh, M. Random Forest Wetland Classification Using ALOS-2 L-Band, RADARSAT-2 C-Band, and TerraSAR-X Imagery. ISPRS J. Photogramm. Remote Sens. 2017, 130, 13–31. [Google Scholar] [CrossRef]
- Belgiu, M.; Drăguţ, L. Random Forest in Remote Sensing: A Review of Applications and Future Directions. ISPRS J. Photogramm. Remote Sens. 2016, 114, 24–31. [Google Scholar] [CrossRef]
- Dronova, I. Object-Based Image Analysis in Wetland Research: A Review. Remote Sens. 2015, 7, 6380–6413. [Google Scholar] [CrossRef]
- Feng, K.; Mao, D.; Qiu, Z.; Zhao, Y.; Wang, Z. Can Time-Series Sentinel Images Be Used to Properly Identify Wetland Plant Communities? GISci. Remote Sens. 2022, 59, 2202–2216. [Google Scholar] [CrossRef]
- Dabboor, M.; Howell, S.; Shokr, M.; Yackel, J. The Jeffries–Matusita Distance for the Case of Complex Wishart Distribution as a Separability Criterion for Fully Polarimetric SAR Data. Int. J. Remote Sens. 2014, 35, 6859–6873. [Google Scholar] [CrossRef]
- Yan, X.; Niu, Z. Reliability Evaluation and Migration of Wetland Samples. IEEE J. Sel. Top. Appl. Earth Obs. Remote Sens. 2021, 14, 8089–8099. [Google Scholar] [CrossRef]
- Zhang, H.K.; Roy, D.P. Using the 500 m MODIS Land Cover Product to Derive a Consistent Continental Scale 30 m Landsat Land Cover Classification. Remote Sens. Environ. 2017, 197, 15–34. [Google Scholar] [CrossRef]
- Hansen, M.C.; Egorov, A.; Roy, D.P.; Potapov, P.; Ju, J.; Turubanova, S.; Kommareddy, I.; Loveland, T.R. Continuous Fields of Land Cover for the Conterminous United States Using Landsat Data: First Results from the Web-Enabled Landsat Data (WELD) Project. Remote Sens. Lett. 2011, 2, 279–288. [Google Scholar] [CrossRef]
- Xin, Z.; Xu, J.; Zheng, W. Spatiotemporal Variations of Vegetation Cover on the Chinese Loess Plateau (1981–2006): Impacts of Climate Changes and Human Activities. Sci. China Ser. D Earth Sci. 2008, 51, 67–78. [Google Scholar] [CrossRef]
- Fu, H.; Wang, R.; Wang, X. Analysis of Spatiotemporal Variations and Driving Forces of NDVI in the Yellow River Basin during 1999–2018. Res. Soil Water Conserv. 2022, 29, 145–153. [Google Scholar] [CrossRef]
- McVicar, T.R.; Li, L.; Van Niel, T.G.; Zhang, L.; Li, R.; Yang, Q.; Zhang, X.; Mu, X.; Wen, Z.; Liu, W.; et al. Developing a Decision Support Tool for China’s Re-Vegetation Program: Simulating Regional Impacts of Afforestation on Average Annual Streamflow in the Loess Plateau. For. Ecol. Manag. 2007, 251, 65–81. [Google Scholar] [CrossRef]
- Guo, Y.; Zhang, L.; He, Y.; Cao, S.; Li, H.; Ran, L.; Ding, Y.; Filonchyk, M. LSTM Time Series NDVI Prediction Method Incorporating Climate Elements: A Case Study of Yellow River Basin, China. J. Hydrol. 2024, 629, 130518. [Google Scholar] [CrossRef]
- Xie, S.; Liu, L.; Yang, J. Time-Series Model-Adjusted Percentile Features: Improved Percentile Features for Land-Cover Classification Based on Landsat Data. Remote Sens. 2020, 12, 3091. [Google Scholar] [CrossRef]
- Lehner, B.; Döll, P. Development and Validation of a Global Database of Lakes, Reservoirs and Wetlands. J. Hydrol. 2004, 296, 1–22. [Google Scholar] [CrossRef]
- Han, J.; Zhang, Z.; Luo, Y.; Cao, J.; Zhang, L.; Zhuang, H.; Cheng, F.; Zhang, J.; Tao, F. Annual Paddy Rice Planting Area and Cropping Intensity Datasets and Their Dynamics in the Asian Monsoon Region from 2000 to 2020. Agric. Syst. 2022, 200, 103437. [Google Scholar] [CrossRef]
- Pekel, J.-F.; Cottam, A.; Gorelick, N.; Belward, A.S. High-Resolution Mapping of Global Surface Water and Its Long-Term Changes. Nature 2016, 540, 418–422. [Google Scholar] [CrossRef]
- Zanaga, D.; Van De Kerchove, R.; Daems, D.; De Keersmaecker, W.; Brockmann, C.; Kirches, G.; Wevers, J.; Cartus, O.; Santoro, M.; Fritz, S.; et al. ESA WorldCover 10 m 2021 v200 [Data Set]. Zenodo. 2022. Available online: https://zenodo.org/records/7254221 (accessed on 28 October 2022).
- Mao, D.; Wang, Z.; Du, B.; Li, L.; Tian, Y.; Jia, M.; Zeng, Y.; Song, K.; Jiang, M.; Wang, Y. National Wetland Mapping in China: A New Product Resulting from Object-Based and Hierarchical Classification of Landsat 8 OLI Images. ISPRS J. Photogramm. Remote Sens. 2020, 164, 11–25. [Google Scholar] [CrossRef]
- Zhang, X.; Liu, L.; Zhao, T.; Chen, X.; Lin, S.; Wang, J.; Mi, J.; Liu, W. GWL_FCS30: A Global 30 m Wetland Map with a Fine Classificationsystem Using Multi-Sourced and Time-Series Remote Sensing Imagery in 2020. Earth Syst. Sci. Data 2023, 15, 265–293. [Google Scholar] [CrossRef]
- Olofsson, P.; Foody, G.M.; Stehman, S.V.; Woodcock, C.E. Making Better Use of Accuracy Data in Land Change Studies: Estimating Accuracy and Area and Quantifying Uncertainty Using Stratified Estimation. Remote Sens. Environ. 2013, 129, 122–131. [Google Scholar] [CrossRef]









| Category I | Category II | Description | Sample Number | Google Earth Images |
|---|---|---|---|---|
| Wetlands | Seasonal marshes | During the dry season, areas characterized by grassland features are classified as non-wetlands, while areas along water with bare soil/sand become wetlands when covered by water during the rainy season. | 597 | ![]() |
| Permanent marshes | Natural wetlands dominated by herbaceous vegetation in inland areas. | 386 | ![]() | |
| Swamps | Natural wetlands with shrubs dominating the landscape, with greater than 10% vegetative cover. | 537 | ![]() | |
| Salt marshes | Natural wetlands in coastal areas dominated by herbaceous vegetation. | 630 | ![]() | |
| Floodplains | Inland wetlands that are inundated by water during the high-water periods of the year and exposed during the low-water periods have less than 10% vegetation cover. | 530 | ![]() | |
| Tidal flats | Intertidal zones with no or very low vegetation coverage, including beaches, rocky shores, and coral reefs, as well as land exposed during low tide, serve as transition zones between water bodies and vegetation. | 598 | ![]() | |
| Rice paddies | Artificially planted rice paddies are submerged during the transplanting period. | 799 | ![]() | |
| Water bodies | Water bodies | Water bodies, including rivers, lakes, and reservoirs, are covered by water for more than 9 months. | 1027 | ![]() |
| Remote Sensing Features | Feature Name | Sentinel-1/2 Calculation Formula |
|---|---|---|
| Spectral Features | Band | B2, B3, B4, B5, B6, B7, B8, B11, B12 |
| Vegetation Indices | NDVI | |
| EVI | ||
| RDVI | ||
| RVI | ||
| DVI | ||
| Water Body Indices | NDWI | |
| NDWI_B | ||
| MNDWI | ||
| RNDWI | ||
| LSWI | ||
| Red-Edge Indices | NDVIre1 | |
| NDVIre2 | ||
| NDre1 | ||
| NDre2 | ||
| CIre | ||
| Polarization indices | SAR_Diff | |
| SAR_Sum | ||
| VVrVH | ||
| SAR_NDVI |
Disclaimer/Publisher’s Note: The statements, opinions and data contained in all publications are solely those of the individual author(s) and contributor(s) and not of MDPI and/or the editor(s). MDPI and/or the editor(s) disclaim responsibility for any injury to people or property resulting from any ideas, methods, instructions or products referred to in the content. |
© 2024 by the authors. Licensee MDPI, Basel, Switzerland. This article is an open access article distributed under the terms and conditions of the Creative Commons Attribution (CC BY) license (https://creativecommons.org/licenses/by/4.0/).
Share and Cite
Huo, X.; Niu, Z. Fine-Resolution Wetland Mapping in the Yellow River Basin Using Sentinel-1/2 Data via Zoning-Based Random Forest with Remote Sensing Feature Preferences. Water 2024, 16, 2415. https://doi.org/10.3390/w16172415
Huo X, Niu Z. Fine-Resolution Wetland Mapping in the Yellow River Basin Using Sentinel-1/2 Data via Zoning-Based Random Forest with Remote Sensing Feature Preferences. Water. 2024; 16(17):2415. https://doi.org/10.3390/w16172415
Chicago/Turabian StyleHuo, Xuanlin, and Zhenguo Niu. 2024. "Fine-Resolution Wetland Mapping in the Yellow River Basin Using Sentinel-1/2 Data via Zoning-Based Random Forest with Remote Sensing Feature Preferences" Water 16, no. 17: 2415. https://doi.org/10.3390/w16172415
APA StyleHuo, X., & Niu, Z. (2024). Fine-Resolution Wetland Mapping in the Yellow River Basin Using Sentinel-1/2 Data via Zoning-Based Random Forest with Remote Sensing Feature Preferences. Water, 16(17), 2415. https://doi.org/10.3390/w16172415









