The Formation Mechanism of Soil Interflow in Loess Hill Gully
Abstract
1. Introduction
2. Materials and Methods
2.1. Study Area
2.2. Test Design and Monitoring
2.2.1. Layout of Moisture Monitoring Test
2.2.2. Calculation of Water Source in Soil Flow
3. Results and Analysis
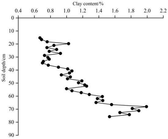
3.1. Interface of Flow in Soil
3.2. Analysis of Water Sources in Soil Flow
3.3. Analysis of Temporal and Spatial Distribution Characteristics of Soil Flow
3.4. Analysis of Soil Interflow Formation Mechanism in Gully
- (1)
- According to the basic flow conditions of the soil, the soil was divided into two layers. The thicknesses of each layer from top to bottom were h1 and h2, respectively, the infiltration volumes were F1 and F2, respectively, and the corresponding flow rates of each layer were R1 and R2. F3 was the amount of water that continued to infiltrate downward.
- (2)
- For each layer, the initial water content of the soil was considered uniform, and the soil texture, field water capacity, and saturated water content remained unchanged throughout the flow generation process.
- (3)
- Soil layer 1 was the loose layer and soil layer 2 was the compact layer; the corresponding soil bulk density (ρ) saturated water conductivity Ks and infiltration rate have the following relationship:ρ1 < ρ2; Ks1 > Ks2; f1 > f2
- (4)
- The infiltration process was demarcated before and after the moisture infiltration front.
4. Discussion
4.1. The Mechanism of Soil Interflow of on Loess Plateau
4.2. Types of Soil Interflow in Gully on the Loess Plateau
4.3. Multi-Water Source Recharge Transformation and Source Ratio of Gully and Valley
5. Conclusions
Author Contributions
Funding
Data Availability Statement
Conflicts of Interest
References
- Zhao, Y.; Wang, Y.; Wang, L.; Zhang, X.; Yu, Y.; Jin, Z.; Lin, H.; Chen, Y.; Zhou, W.; An, Z. Exploring the role of land restoration in the spatial patterns of deep soil water at watershed scales. Catena 2019, 172, 387–396. [Google Scholar] [CrossRef]
- Wang, T.; Xiao, W.; Huang, Z.; Zeng, L. Interflow pattern govern nitrogen loss from tea orchard slopes in response to rainfall pattern in three gorges reservoir area. Agric. Water Manag. 2022, 269, 107684. [Google Scholar] [CrossRef]
- Xie, M.; Zhang, P.; He, Y.; Hong, D. Combined effects of rainfall pattern and fertilization on subsurface nitrogen transport and loss from sloped soil: A laboratory experiment. Arab. J. Geosci. 2023, 16, 31. [Google Scholar] [CrossRef]
- Xie, M.; Zhang, Z.; Zhang, P.; Xu, J.; Lin, Q. Migration and loss law of nitrate nitrogen in cultivated land on purple soil slope and its numerical simulation. J. Agric. Eng. 2018, 34, 147–154. [Google Scholar]
- Xie, M.; Hong, D.; Fu, J.; Zhang, Z.; Zheng, C.; Zhang, P. Nitrate migration characteristics in soil on purple soil slopes under single and intermittent rainfall. J. Soil Water Conserv. 2022, 36, 24–29. [Google Scholar]
- Meng, Z.J.; Ma, P.H.; Peng, J.B. Characteristics of loess landslides triggered by different factors in the Chinese Loess Plateau. J. Mt. Sci.-Engl. 2021, 18, 3218–3229. [Google Scholar] [CrossRef]
- An, L.; Zheng, Z.; Wang, Y.; Li, T.; Yang, L. Effects of tillage practices on cultivated land runoff and loss of soluble organic carbon in yellow soil slope during maize growing period. J. Soil Water Conserv. 2022, 36, 75–81. [Google Scholar]
- Hua, K.; Zhu, B.; Wang, X.; Tian, L. Forms and fluxes of soil organic carbon transport via overland flow, interflow, and soil erosion. Soil Sci. Soc. Am. J. 2016, 80, 1011–1019. [Google Scholar] [CrossRef]
- Flügel, W.A. Hangentwasserung durch interflow und seine regionalisierung Einzugsgebiet der Elsenz (Kraichgau). Berliner Geogr. Arbeiten. 1993, 78, 68–94. [Google Scholar]
- Zheng, F.L.; Huang, C.H.; Norton, L.D. Effects of near-surface hydraulic gradients on nitrate and phosphorus losses in surface runoff. J. Environ. Qual. 2004, 33, 2174–2182. [Google Scholar] [CrossRef]
- Wang, T.; Zhu, B.; Zhou, M.; Hu, L.; Jiang, S.; Wang, Z. Nutrient loss from slope cropland to water in the riparian zone of the Three Gorges Reservoir: Process, pathway, and flux. Agric. Ecosyst. Environ. 2020, 302, 107108. [Google Scholar] [CrossRef]
- Liu, Y.; Liu, F.; Xu, Z.; Zhang, J.; Wang, L.; An, S. Variations of soil water isotopes and effective contribution times of precipitation and throughfall to alpine soil water, in Wolong Nature Reserve, China. Catena 2015, 126, 201–208. [Google Scholar] [CrossRef]
- Ma, Y.; Li, Z.; Tian, L.; Yang, Y.; Li, W.; He, Z.; Liu, Y. Erosion of granite red soil slope and processes of subsurface flow generation, prediction, and simulation. Int. J. Environ. Res. Public Health 2023, 20, 2104. [Google Scholar] [CrossRef] [PubMed]
- Du, E.; Jackson, C.R.; Klaus, J.; McDonnell, J.J.; Griffiths, N.A.; Williamson, M.F.; Bitew, M. Interflow dynamics on a low relief forested hillslope: Lots of fill, little spill. J. Hydrol. 2016, 534, 648–658. [Google Scholar] [CrossRef]
- Ahuja, L.R.; Ross, J.D. Effect of subsoil conductivity and thickness on interflow pathways, rates and source areas for chemicals in a slopling layered soil with seepage face. J. Hydrol. 1983, 64, 189–204. [Google Scholar] [CrossRef]
- He, S.; Rui, M.; Wang, N.; Shuang, W.; Li, T.; Zhang, Z. Comparison of nitrogen losses by runoff from two different cultivating patterns in sloping farmland with yellow soil during maize growth in Southwest China. J. Integr. Agric. 2022, 21, 222–234. [Google Scholar] [CrossRef]
- An, J.; Zheng, F.; Römkens, M.J.; Li, G.; Yang, Q.; Wen, L.; Wang, B. The role of soil surface water regimes and raindrop impact on hillslope soil erosion and nutrient losses. Nat. Hazards 2013, 67, 411–430. [Google Scholar] [CrossRef]
- Xie, Z.; Su, F.; Liang, X.; Zeng, Q.; Guo, Y. Applications of a surface runoff model with horton and dunne runoff for VIC. Adv. Atmos. Sci. 2003, 20, 165–172. [Google Scholar]
- Mario, P.; Massimo, I.; Roberto, M.; Di Prima Simone Filippo, G.; Hassan, A. Large-scale lateral saturated soil hydraulic conductivity as a metric for the connectivity of subsurface flow paths at hillslope scale. Hydrol. Process 2022, 36, 14649. [Google Scholar]
- Ding, X.; Xue, Y.; Lin, M.; Jiang, G. Influence mechanisms of rainfall and terrain characteristics on total nitrogen losses from regosol. Water 2017, 9, 167. [Google Scholar] [CrossRef]
- Kanthle, A.K.; Lenka, N.K.; Lenka, S.; Tedia, K. Biochar impact on nitrate leaching as influenced by native soil organic carbon in an inceptisol of central India. Soil Tillage Res. 2016, 157, 65–72. [Google Scholar] [CrossRef]
- Li, Q.; Ding, W.; Xie, M. Dynamic characteristics of nitrogen concentration in interflow of purple soil slope under simulating rainfall condition. Soil Water Conserv. China 2019, 9, 51–55. [Google Scholar]
- Liu, Y.J.; Tang, C.J.; Zheng, H.J.; Jian, M.; Yang, J. Characteristics of the surface-subsurface flow generation and sediment yield to the rainfall regime and land-cover by long-term in-situ observation in the red soil region, southern China. J. Hydrol. 2016, 539, 457–467. [Google Scholar] [CrossRef]
- Wu, L.; Peng, M.; Qiao, S.; Ma, X.Y. Effects of rainfall intensity and slope gradient on runoff and sediment yield characteristics of bare loess soil. Environ. Sci. Pollut. R 2018, 25, 3480–3487. [Google Scholar] [CrossRef]
- Tokunaga, T.K.; Tran, A.P.; Wan, J.; Dong, W.; Newman, A.W.; Beutler, C.A.; Brown, W.; Henderson, A.N.; Williams, K.H. Quantifying subsurface flow and solute transport in a snowmelt-recharged hillslope with multiyear water balance. Water Resour. Res. 2022, 58, e2022WR032902. [Google Scholar] [CrossRef]
- Zhou, R.X.; Wang, J.; Tang, C.J.; Zhang, Y.P.; Chen, X.A.; Li, X.; Shi, Y.Y.; Wang, L.; Xiao, H.B.; Shi, Z.H. Identifying soil water movement and water sources of subsurface flow at a hillslope using stable isotope technique. Agric. Ecosyst. Environ. 2023, 343, 108286. [Google Scholar] [CrossRef]
- Saeid, N.; William, I.; Kevin, W. Impact of flow pathway and source water connectivity on subsurface sediment and particulate phosphorus dynamics in tile-drained agroecosystems. Agric. Water Manag. 2022, 269, 107641. [Google Scholar]
- Jin, Z.; Li, G.; Wang, Y.; Yu, Y.; Lin, H.; Chen, Y.; Chu, G.; Zhang, J.; Zhang, N. Valley reshaping and damming induce water table rise and soil salinization on the Chinese loess plateau. Geoderma 2019, 339, 115–125. [Google Scholar] [CrossRef]
- Lv, X.; Zuo, Z.; Juan, S.; Ni, Y.; Wang, Z. Climatic and human-related indicators and their implications for evapotranspiration management in a watershed of Loess Plateau, China. Ecol. Indic. 2019, 101, 143–149. [Google Scholar] [CrossRef]
- Chen, L.; Huang, Z.; Gong, J.; Fu, B.; Huang, Y. The effect of land cover/vegetation on soil water dynamic in the hilly area of the loess plateau, China. Catena 2007, 70, 200–208. [Google Scholar] [CrossRef]
- Ma, J.; Han, J.; Zhang, Y.; Lei, N.; Liu, Z.; Du, Y. Temporal stability of soil water content on slope during the rainy season in gully regulation watershed. Environ. Earth Sci. 2020, 79, 173–186. [Google Scholar] [CrossRef]
- Liu, W.; Zhang, X.; Dang, T.; Zhu, O.; Zhi, L.; Wang, J.; Rui, W.; Gao, C. Soil water dynamics and deep soil recharge in a record wet year in the southern loess plateau of China. Agric. Water Manag. 2010, 97, 1133–1138. [Google Scholar] [CrossRef]







| Soil Depth | Water Body | δD (‰) | δ18O (‰) | Conversion Ratio (%) |
|---|---|---|---|---|
| 0–100 cm | Precipitation | −58.50 | −9.67 | 20.57 |
| Surface water | −62.34 | −8.17 | 78.32 | |
| Underground water | −71.45 | −9.52 | 1.11 | |
| Soil water | −60.06 | −8.26 | — | |
| 100–200 cm | Precipitation | −58.50 | −9.67 | 10.87 |
| Surface water | −62.34 | −8.17 | 50.81 | |
| Underground water | −71.45 | −9.52 | 38.32 | |
| Soil water | −64.00 | −8.64 | — |
Disclaimer/Publisher’s Note: The statements, opinions and data contained in all publications are solely those of the individual author(s) and contributor(s) and not of MDPI and/or the editor(s). MDPI and/or the editor(s) disclaim responsibility for any injury to people or property resulting from any ideas, methods, instructions or products referred to in the content. |
© 2024 by the authors. Licensee MDPI, Basel, Switzerland. This article is an open access article distributed under the terms and conditions of the Creative Commons Attribution (CC BY) license (https://creativecommons.org/licenses/by/4.0/).
Share and Cite
Lei, N.; Han, J.; Zhang, Y.; Sun, Z.; Li, Y.; Xia, L. The Formation Mechanism of Soil Interflow in Loess Hill Gully. Water 2024, 16, 2371. https://doi.org/10.3390/w16172371
Lei N, Han J, Zhang Y, Sun Z, Li Y, Xia L. The Formation Mechanism of Soil Interflow in Loess Hill Gully. Water. 2024; 16(17):2371. https://doi.org/10.3390/w16172371
Chicago/Turabian StyleLei, Na, Jichang Han, Yang Zhang, Zenghui Sun, Yanan Li, and Liheng Xia. 2024. "The Formation Mechanism of Soil Interflow in Loess Hill Gully" Water 16, no. 17: 2371. https://doi.org/10.3390/w16172371
APA StyleLei, N., Han, J., Zhang, Y., Sun, Z., Li, Y., & Xia, L. (2024). The Formation Mechanism of Soil Interflow in Loess Hill Gully. Water, 16(17), 2371. https://doi.org/10.3390/w16172371
