Runoff Simulation in Data-Scarce Alpine Regions: Comparative Analysis Based on LSTM and Physically Based Models
Abstract
1. Introduction
2. Study Area and Data
2.1. Study Area
2.2. Data
2.2.1. Forcing Data
2.2.2. Static Data
3. Methodology
3.1. BTOP Model
3.2. Long Short-Term Memory Network
3.3. Experimental Design
3.3.1. Pre-Experiment of LSTM
3.3.2. Basin-Based LSTM and Gauge-Based LSTM
3.3.3. Transfer-Based LSTM
3.4. Model Evaluation Criteria
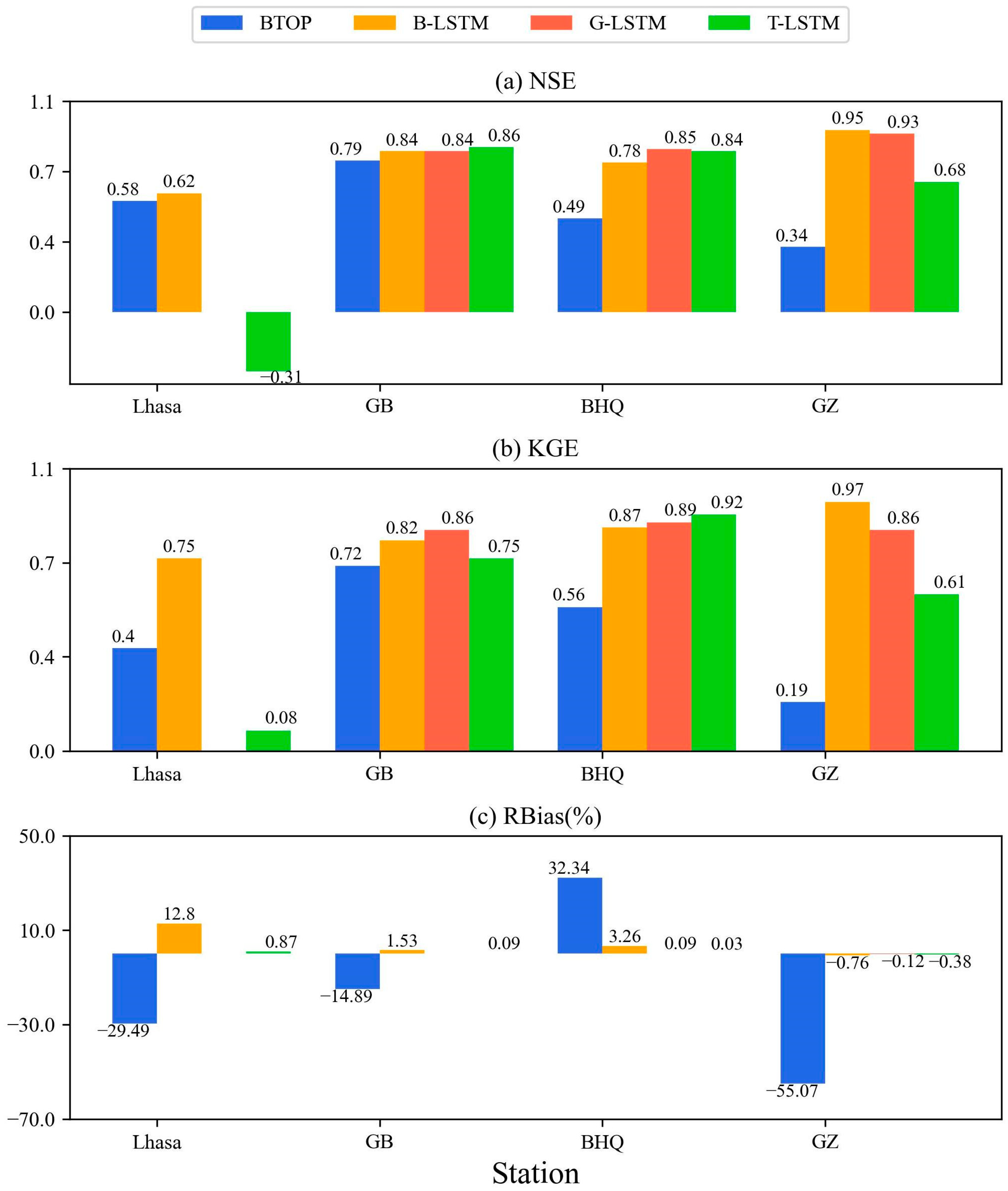
4. Results and Discussion
4.1. Hyperparameters of LSTM
4.2. Performance of BTOP Model
4.3. Performance of B-LSTM and G-LSTM Models
4.4. Performance of T-LSTM Model
4.5. Discussion about GZ Station
- Scheme a: The model was trained only with data from GB and BHQ stations and then transferred to the GZ station (Case ②-a).
- Scheme b: The model was trained only with data from Lhasa station and then transferred to the GZ station (Case ②-b).
4.6. Limitations and Future Research Directions
5. Conclusions
Author Contributions
Funding
Data Availability Statement
Acknowledgments
Conflicts of Interest
References
- Niu, W.; Feng, Z. Evaluating the Performances of Several Artificial Intelligence Methods in Forecasting Daily Streamflow Time Series for Sustainable Water Resources Management. Sustain. Cities Soc. 2021, 64, 102562. [Google Scholar] [CrossRef]
- Wang, Y.; Ye, A.; Zhang, Y.; Yang, F. The Quantitative Attribution of Climate Change to Runoff Increase over the Qinghai-Tibetan Plateau. Sci. Total Environ. 2023, 897, 165326. [Google Scholar] [CrossRef] [PubMed]
- Nevo, S.; Morin, E.; Gerzi Rosenthal, A.; Metzger, A.; Barshai, C.; Weitzner, D.; Voloshin, D.; Kratzert, F.; Elidan, G.; Dror, G.; et al. Flood Forecasting with Machine Learning Models in an Operational Framework. Hydrol. Earth Syst. Sci. 2022, 26, 4013–4032. [Google Scholar] [CrossRef]
- Ahmed, A.A.; Sayed, S.; Abdoulhalik, A.; Moutari, S.; Oyedele, L. Applications of Machine Learning to Water Resources Management: A Review of Present Status and Future Opportunities. J. Clean. Prod. 2024, 441, 140715. [Google Scholar] [CrossRef]
- He, Y.; Bárdossy, A.; Zehe, E. A Review of Regionalisation for Continuous Streamflow Simulation. Hydrol. Earth Syst. Sci. 2011, 15, 3539–3553. [Google Scholar] [CrossRef]
- Liu, C.; Shan, Y.; He, L.; Li, F.; Liu, X.; Nepf, H. Plant Morphology Impacts Bedload Sediment Transport. Geophys. Res. Lett. 2024, 51, e2024GL108800. [Google Scholar] [CrossRef]
- Shan, Y.; Yan, C.; Liu, J.; Liu, C. Predicting Velocity and Turbulent Kinetic Energy inside an Emergent Phragmites Australis Canopy with Real Morphology. Environ. Fluid Mech. 2023, 23, 943–963. [Google Scholar] [CrossRef]
- Immerzeel, W.W.; Lutz, A.F.; Andrade, M.; Bahl, A.; Biemans, H.; Bolch, T.; Hyde, S.; Brumby, S.; Davies, B.J.; Elmore, A.C.; et al. Importance and Vulnerability of the World’s Water Towers. Nature 2020, 577, 364–369. [Google Scholar] [CrossRef]
- Yao, Y.; Khan, Z.A. Predicting Pakistan’s next. Science 2022, 378, 483. [Google Scholar] [CrossRef]
- Zhang, Z.; Zhang, L.; Liu, Y.; Jin, M. Responses of Annual Streamflow Variability to Annual Precipitation, Extreme Climate Events and Large-Scale Climate Phenomena in the Qinghai-Tibet Plateau. J. Hydrol. 2024, 632, 130969. [Google Scholar] [CrossRef]
- Yao, Y.; Zhao, Y.; Li, X.; Feng, D.; Shen, C.; Liu, C.; Kuang, X.; Zheng, C. Can Transfer Learning Improve Hydrological Predictions in the Alpine Regions? J. Hydrol. 2023, 625, 130038. [Google Scholar] [CrossRef]
- Yokoo, K.; Ishida, K.; Ercan, A.; Tu, T.; Nagasato, T.; Kiyama, M.; Amagasaki, M. Capabilities of Deep Learning Models on Learning Physical Relationships: Case of Rainfall-Runoff Modeling with LSTM. Sci. Total Environ. 2022, 802, 149876. [Google Scholar] [CrossRef] [PubMed]
- Wei, X.; Wang, G.; Schmalz, B.; Hagan, D.F.T.; Duan, Z. Evaluation of Transformer Model and Self-Attention Mechanism in the Yangtze River Basin Runoff Prediction. J. Hydrol. Reg. Stud. 2023, 47, 101438. [Google Scholar] [CrossRef]
- van Emmerik, T.; Mulder, G.; Eilander, D.; Piet, M.; Savenije, H. Predicting the Ungauged Basin: Model Validation and Realism Assessment. Front. Earth Sci. 2015, 3, 62. [Google Scholar] [CrossRef]
- Kumar, V.; Sen, S. Hydrometeorological Field Instrumentation in Lesser Himalaya to Advance Research for Future Water and Food Security. Environ. Monit. Assess. 2023, 195, 1162. [Google Scholar] [CrossRef] [PubMed]
- Kratzert, F.; Nearing, G.; Addor, N.; Erickson, T.; Gauch, M.; Gilon, O.; Gudmundsson, L.; Hassidim, A.; Klotz, D.; Nevo, S.; et al. Caravan—A Global Community Dataset for Large-Sample Hydrology. Sci. Data 2023, 10, 61. [Google Scholar] [CrossRef] [PubMed]
- Deng, C.; Chen, C.; Yin, X.; Wang, W.; Zhang, Y. Catchment Runoff Simulation by Coupling Data Assimilation and Machine Learning Methods. Adv. Water Sci. 2023, 34, 839–849. (In Chinese) [Google Scholar] [CrossRef]
- Sivapalan, M.; Takeuchi, K.; Franks, S.W.; Gupta, V.K.; Karambiri, H.; Lakshmi, V.; Liang, X.; McDONNELL, J.J.; Mendiondo, E.M.; O’Connell, P.E.; et al. IAHS Decade on Predictions in Ungauged Basins (PUB), 2003–2012: Shaping an Exciting Future for the Hydrological Sciences. Hydrol. Sci. J. 2003, 48, 857–880. [Google Scholar] [CrossRef]
- Kratzert, F.; Klotz, D.; Herrnegger, M.; Sampson, A.K.; Hochreiter, S.; Nearing, G.S. Toward Improved Predictions in Ungauged Basins: Exploiting the Power of Machine Learning. Water Resour. Res. 2019, 55, 11344–11354. [Google Scholar] [CrossRef]
- Pool, S.; Vis, M.; Seibert, J. Regionalization for Ungauged Catchments—Lessons Learned From a Comparative Large-Sample Study. Water Resour. Res. 2021, 57, e2021WR030437. [Google Scholar] [CrossRef]
- Du, T.L.T.; Lee, H.; Bui, D.D.; Arheimer, B.; Li, H.-Y.; Olsson, J.; Darby, S.E.; Sheffield, J.; Kim, D.; Hwang, E. Streamflow Prediction in “Geopolitically Ungauged” Basins Using Satellite Observations and Regionalization at Subcontinental Scale. J. Hydrol. 2020, 588, 125016. [Google Scholar] [CrossRef]
- Hrachowitz, M.; Savenije, H.H.G.; Blöschl, G.; McDonnell, J.J.; Sivapalan, M.; Pomeroy, J.W.; Arheimer, B.; Blume, T.; Clark, M.P.; Ehret, U.; et al. A Decade of Predictions in Ungauged Basins (PUB)—A Review. Hydrol. Sci. J. 2013, 58, 1198–1255. [Google Scholar] [CrossRef]
- Samaniego, L.; Kumar, R.; Thober, S.; Rakovec, O.; Zink, M.; Wanders, N.; Eisner, S.; Müller Schmied, H.; Sutanudjaja, E.H.; Warrach-Sagi, K.; et al. Toward Seamless Hydrologic Predictions across Spatial Scales. Hydrol. Earth Syst. Sci. 2017, 21, 4323–4346. [Google Scholar] [CrossRef]
- Samaniego, L.; Kumar, R.; Attinger, S. Multiscale Parameter Regionalization of a Grid-based Hydrologic Model at the Mesoscale. Water Resour. Res. 2010, 46, 2008WR007327. [Google Scholar] [CrossRef]
- Sun, R.; Pan, B.; Duan, Q. A Surrogate Modeling Method for Distributed Land Surface Hydrological Models Based on Deep Learning. J. Hydrol. 2023, 624, 129944. [Google Scholar] [CrossRef]
- Williams, B.; Cremaschi, S. Selection of Surrogate Modeling Techniques for Surface Approximation and Surrogate-Based Optimization. Chem. Eng. Res. Des. 2021, 170, 76–89. [Google Scholar] [CrossRef]
- Pokorny, S.; Stadnyk, T.A.; Ali, G.; Tefs, A.A.G.; Déry, S.J. From Threat to Opportunity: Hydrologic Uncertainty Regionalization across Large Domains. J. Hydrol. Reg. Stud. 2024, 53, 101819. [Google Scholar] [CrossRef]
- Kumar, V.; Sen, S. Rating Curve Development and Uncertainty Analysis in Mountainous Watersheds for Informed Hydrology and Resource Management. Front. Water 2024, 5, 1323139. [Google Scholar] [CrossRef]
- Toth, E.; Brath, A.; Montanari, A. Comparison of Short-Term Rainfall Prediction Models for Real-Time Flood Forecasting. J. Hydrol. 2000, 239, 132–147. [Google Scholar] [CrossRef]
- Nearing, G.S.; Kratzert, F.; Sampson, A.K.; Pelissier, C.S.; Klotz, D.; Frame, J.M.; Prieto, C.; Gupta, H.V. What Role Does Hydrological Science Play in the Age of Machine Learning? Water Resour. Res. 2021, 57, e2020WR028091. [Google Scholar] [CrossRef]
- Clark, S.R.; Lerat, J.; Perraud, J.-M.; Fitch, P. Deep Learning for Monthly Rainfall–Runoff Modelling: A Large-Sample Comparison with Conceptual Models across Australia. Hydrol. Earth Syst. Sci. 2024, 28, 1191–1213. [Google Scholar] [CrossRef]
- Feng, D.; Fang, K.; Shen, C. Enhancing Streamflow Forecast and Extracting Insights Using Long-Short Term Memory Networks With Data Integration at Continental Scales. Water Resour. Res. 2020, 56, e2019WR026793. [Google Scholar] [CrossRef]
- Xie, J.; Liu, X.; Bai, P.; Liu, C. Rapid Watershed Delineation Using an Automatic Outlet Relocation Algorithm. Water Resour. Res. 2022, 58, e2021WR031129. [Google Scholar] [CrossRef]
- Xie, J.; Liu, X.; Tian, W.; Wang, K.; Bai, P.; Liu, C. Estimating Gridded Monthly Baseflow From 1981 to 2020 for the Contiguous US Using Long Short-Term Memory (LSTM) Networks. Water Resour. Res. 2022, 58, e2021WR031663. [Google Scholar] [CrossRef]
- Kratzert, F.; Klotz, D.; Brenner, C.; Schulz, K.; Herrnegger, M. Rainfall–Runoff Modelling Using Long Short-Term Memory (LSTM) Networks. Hydrol. Earth Syst. Sci. 2018, 22, 6005–6022. [Google Scholar] [CrossRef]
- Arsenault, R.; Martel, J.-L.; Brunet, F.; Brissette, F.; Mai, J. Continuous Streamflow Prediction in Ungauged Basins: Long Short-Term Memory Neural Networks Clearly Outperform Traditional Hydrological Models. Hydrol. Earth Syst. Sci. 2023, 27, 139–157. [Google Scholar] [CrossRef]
- Ouyang, W.; Lawson, K.; Feng, D.; Ye, L.; Zhang, C.; Shen, C. Continental-Scale Streamflow Modeling of Basins with Reservoirs: Towards a Coherent Deep-Learning-Based Strategy. J. Hydrol. 2021, 599, 126455. [Google Scholar] [CrossRef]
- Ma, K.; Feng, D.; Lawson, K.; Tsai, W.-P.; Liang, C.; Huang, X.; Sharma, A.; Shen, C. Transferring Hydrologic Data Across Continents—Leveraging Data-Rich Regions to Improve Hydrologic Prediction in Data-Sparse Regions. Water Resour. Res. 2021, 57, e2020WR028600. [Google Scholar] [CrossRef]
- Gauch, M.; Mai, J.; Lin, J. The Proper Care and Feeding of CAMELS: How Limited Training Data Affects Streamflow Prediction. Environ. Model. Softw. 2021, 135, 104926. [Google Scholar] [CrossRef]
- Ghosh, R.; Li, B.; Tayal, K.; Kumar, V.; Jia, X. Meta-Transfer Learning: An Application to Streamflow Modeling in River-Streams. In Proceedings of the 2022 IEEE International Conference on Data Mining (ICDM), Orlando, FL, USA, 28 November–1 December 2022; pp. 161–170. [Google Scholar]
- Khoshkalam, Y.; Rousseau, A.N.; Rahmani, F.; Shen, C.; Abbasnezhadi, K. Applying Transfer Learning Techniques to Enhance the Accuracy of Streamflow Prediction Produced by Long Short-Term Memory Networks with Data Integration. J. Hydrol. 2023, 622, 129682. [Google Scholar] [CrossRef]
- Huang, K.; Wang, G.; Song, C.; Yu, Q. Runoff simulation and prediction of a typical small watershed in permafrost region of the Qinghai-Tibet Plateau based on LSTM. J. Glaciol. Geocryol. 2021, 43, 1144–1156. (In Chinese) [Google Scholar]
- Lin, X.; Zhang, Y.; Yao, Z.; Gong, T.; Wang, H.; Chu, D.; Liu, L.; Zhang, F. The Trend on Runoff Variations in the Lhasa River Basin. J. Geogr. Sci. 2008, 18, 95–106. [Google Scholar] [CrossRef]
- Guédé, K.G.; Yu, Z.; Gu, H.; Badji, O.; Ahmed, N.; Sika, B.; Oga, Y.M.S. Sensitivities of Hydrological Processes under Climate Warming and Landuse/Landcover Change in the Lhasa Basin, Tibetan Plateau. J. Hydrol. Reg. Stud. 2024, 52, 101731. [Google Scholar] [CrossRef]
- Zhang, M.; Ren, Q.; Wei, X.; Wang, J.; Yang, X.; Jiang, Z. Climate Change, Glacier Melting and Streamflow in the Niyang River Basin, Southeast Tibet, China. Ecohydrology 2011, 4, 288–298. [Google Scholar] [CrossRef]
- Cuo, L.; Li, N.; Liu, Z.; Ding, J.; Liang, L.; Zhang, Y.; Gong, T. Warming and Human Activities Induced Changes in the Yarlung Tsangpo Basin of the Tibetan Plateau and Their Influences on Streamflow. J. Hydrol. Reg. Stud. 2019, 25, 100625. [Google Scholar] [CrossRef]
- Senent-Aparicio, J.; Blanco-Gómez, P.; López-Ballesteros, A.; Jimeno-Sáez, P.; Pérez-Sánchez, J. Evaluating the Potential of GloFAS-ERA5 River Discharge Reanalysis Data for Calibrating the SWAT Model in the Grande San Miguel River Basin (El Salvador). Remote Sens. 2021, 13, 3299. [Google Scholar] [CrossRef]
- World Climate Research Programme (WCRP); World Meteorological Organization (WMO). Report of the Workshop on Global Large-Scale Precipitation Data Sets for the World Climate Research Programme; WCP-111; WMO/TD—No. 94; WMO: Geneva, Switzerland, 1986; p. 45. [Google Scholar]
- He, J.; Yang, K.; Tang, W.; Lu, H.; Qin, J.; Chen, Y.; Li, X. The First High-Resolution Meteorological Forcing Dataset for Land Process Studies over China. Sci. Data 2020, 7, 25. [Google Scholar] [CrossRef] [PubMed]
- Farr, T.G.; Rosen, P.A.; Caro, E.; Crippen, R.; Duren, R.; Hensley, S.; Kobrick, M.; Paller, M.; Rodriguez, E.; Roth, L.; et al. The Shuttle Radar Topography Mission. Rev. Geophys. 2007, 45, RG2004. [Google Scholar] [CrossRef]
- Friedl, M.A.; Sulla-Menashe, D. MODIS/Terra+Aqua Land Cover Type Yearly L3 Global 500m SIN Grid; NASA: Washington, DC, USA, 2015.
- Chesworth, W.; Camps Arbestain, M.; Macías, F.; Spaargaren, O.; Spaargaren, O.; Mualem, Y.; Morel-Seytoux, H.J.; Horwath, W.R.; Almendros, G.; Chesworth, W.; et al. Classification of Soils: FAO. In Encyclopedia of Soil Science; Chesworth, W., Ed.; Springer: Dordrecht, The Netherlands, 2008; pp. 111–113. ISBN 978-1-4020-3995-9. [Google Scholar]
- Liu, L.; Zhou, L.; Gusyev, M.; Ren, Y. Unravelling and Improving the Potential of Global Discharge Reanalysis Dataset in Streamflow Estimation in Ungauged Basins. J. Clean. Prod. 2023, 419, 138282. [Google Scholar] [CrossRef]
- Ao, T.; Takeuchi, K.; Ishidaira, H.; Yoshitani, J.; Fukami, K. Development and Application of a New Algorithm for Automated Pit Removal for Grid DEMs. Hydrol. Sci. J. 2003, 48, 985–997. [Google Scholar]
- Takeuchi, K.; Hapuarachchi, P.; Zhou, M.; Ishidaira, H.; Magome, J. A BTOP Model to Extend TOPMODEL for Distributed Hydrological Simulation of Large Basins. Hydrol. Process. 2008, 22, 3236–3251. [Google Scholar] [CrossRef]
- Zhou, L.; Koike, T.; Takeuchi, K.; Rasmy, M.; Onuma, K.; Ito, H.; Selvarajah, H.; Liu, L.; Li, X.; Ao, T. A Study on Availability of Ground Observations and Its Impacts on Bias Correction of Satellite Precipitation Products and Hydrologic Simulation Efficiency. J. Hydrol. 2022, 610, 127595. [Google Scholar] [CrossRef]
- Zhu, Y.; Liu, L.; Qin, F.; Zhou, L.; Zhang, X.; Chen, T.; Li, X.; Ao, T. Application of the Regression-Augmented Regionalization Approach for BTOP Model in Ungauged Basins. Water 2021, 13, 2294. [Google Scholar] [CrossRef]
- Zhou, L.; Rasmy, M.; Takeuchi, K.; Koike, T.; Selvarajah, H.; Ao, T. Adequacy of Near Real-Time Satellite Precipitation Products in Driving Flood Discharge Simulation in the Fuji River Basin, Japan. Appl. Sci. 2021, 11, 1087. [Google Scholar] [CrossRef]
- Zhang, H.; Ao, T.; Gusyev, M.; Ishidaira, H.; Magome, J.; Takeuchi, K. Distributed Source Pollutant Transport Module Based on BTOPMC: A Case Study of the Laixi River Basin in the Sichuan Province of Southwest China. Proc. IAHS 2018, 379, 323–333. [Google Scholar] [CrossRef]
- Nimai, S.; Ren, Y.; Ao, T.; Zhou, L.; Liang, H.; Cui, Y. Enhancing Runoff Simulation Using BTOP-LSTM Hybrid Model in the Shinano River Basin. Water 2023, 15, 3758. [Google Scholar] [CrossRef]
- Xiao, Q.; Zhou, L.; Xiang, X.; Liu, L.; Liu, X.; Li, X.; Ao, T. Integration of Hydrological Model and Time Series Model for Improving the Runoff Simulation: A Case Study on BTOP Model in Zhou River Basin, China. Appl. Sci. 2022, 12, 6883. [Google Scholar] [CrossRef]
- Ao, T.; Ishidaira, H.; Takeuchi, K.; Kiem, A.S.; Yoshitari, J.; Fukami, K.; Magome, J. Relating BTOPMC Model Parameters to Physical Features of MOPEX Basins. J. Hydrol. 2006, 320, 84–102. [Google Scholar] [CrossRef]
- Liu, L.; Ao, T.; Zhou, L.; Takeuchi, K.; Gusyev, M.; Zhang, X.; Wang, W.; Ren, Y. Comprehensive Evaluation of Parameter Importance and Optimization Based on the Integrated Sensitivity Analysis System: A Case Study of the BTOP Model in the Upper Min River Basin, China. J. Hydrol. 2022, 610, 127819. [Google Scholar] [CrossRef]
- Duan, Q.Y.; Gupta, V.K.; Sorooshian, S. Shuffled Complex Evolution Approach for Effective and Efficient Global Minimization. J. Optim. Theory Appl. 1993, 76, 501–521. [Google Scholar] [CrossRef]
- Yoshida, T.; Hanasaki, N.; Nishina, K.; Boulange, J.; Okada, M.; Troch, P.A. Inference of Parameters for a Global Hydrological Model: Identifiability and Predictive Uncertainties of Climate-Based Parameters. Water Resour. Res. 2022, 58, e2021WR030660. [Google Scholar] [CrossRef]
- Hochreiter, S.; Schmidhuber, J. Long Short-Term Memory. Neural Comput. 1997, 9, 1735–1780. [Google Scholar] [CrossRef] [PubMed]
- Anderson, S.; Radić, V. Evaluation and Interpretation of Convolutional Long Short-Term Memory Networks for Regional Hydrological Modelling. Hydrol. Earth Syst. Sci. 2022, 26, 795–825. [Google Scholar] [CrossRef]
- Klotz, D.; Kratzert, F.; Gauch, M.; Keefe Sampson, A.; Brandstetter, J.; Klambauer, G.; Hochreiter, S.; Nearing, G. Uncertainty Estimation with Deep Learning for Rainfall–Runoff Modeling. Hydrol. Earth Syst. Sci. 2022, 26, 1673–1693. [Google Scholar] [CrossRef]
- Li, Q.; Zhu, Y.; Shangguan, W.; Wang, X.; Li, L.; Yu, F. An Attention-Aware LSTM Model for Soil Moisture and Soil Temperature Prediction. Geoderma 2022, 409, 115651. [Google Scholar] [CrossRef]
- Li, H.; Ke, C.-Q.; Zhu, Q.; Li, M.; Shen, X. A Deep Learning Approach to Retrieve Cold-Season Snow Depth over Arctic Sea Ice from AMSR2 Measurements. Remote Sens. Environ. 2022, 269, 112840. [Google Scholar] [CrossRef]
- De la Fuente, L.A.; Ehsani, M.R.; Gupta, H.V.; Condon, L.E. Toward Interpretable LSTM-Based Modeling of Hydrological Systems. Hydrol. Earth Syst. Sci. 2024, 28, 945–971. [Google Scholar] [CrossRef]
- Wunsch, A.; Liesch, T.; Cinkus, G.; Ravbar, N.; Chen, Z.; Mazzilli, N.; Jourde, H.; Goldscheider, N. Karst Spring Discharge Modeling Based on Deep Learning Using Spatially Distributed Input Data. Hydrol. Earth Syst. Sci. 2022, 26, 2405–2430. [Google Scholar] [CrossRef]
- Frame, J.M.; Kratzert, F.; Klotz, D.; Gauch, M.; Shalev, G.; Gilon, O.; Qualls, L.M.; Gupta, H.V.; Nearing, G.S. Deep Learning Rainfall–Runoff Predictions of Extreme Events. Hydrol. Earth Syst. Sci. 2022, 26, 3377–3392. [Google Scholar] [CrossRef]
- Yin, H.; Guo, Z.; Zhang, X.; Chen, J.; Zhang, Y. RR-Former: Rainfall-Runoff Modeling Based on Transformer. J. Hydrol. 2022, 609, 127781. [Google Scholar] [CrossRef]
- Hutter, F.; Lücke, J.; Schmidt-Thieme, L. Beyond Manual Tuning of Hyperparameters. KI—Künstl. Intell. 2015, 29, 329–337. [Google Scholar] [CrossRef]
- Hunt, K.M.R.; Matthews, G.R.; Pappenberger, F.; Prudhomme, C. Using a Long Short-Term Memory (LSTM) Neural Network to Boost River Streamflow Forecasts over the Western United States. Hydrol. Earth Syst. Sci. 2022, 26, 5449–5472. [Google Scholar] [CrossRef]
- Jin, J.; Zhang, Y.; Hao, Z.; Xia, R.; Yang, W.; Yin, H.; Zhang, X. Benchmarking Data-Driven Rainfall-Runoff Modeling across 54 Catchments in the Yellow River Basin: Overfitting, Calibration Length, Dry Frequency. J. Hydrol. Reg. Stud. 2022, 42, 101119. [Google Scholar] [CrossRef]
- Zuo, G.; Luo, J.; Wang, N.; Lian, Y.; He, X. Decomposition Ensemble Model Based on Variational Mode Decomposition and Long Short-Term Memory for Streamflow Forecasting. J. Hydrol. 2020, 585, 124776. [Google Scholar] [CrossRef]
- Aneja, S.; Aneja, N.; Abas, P.E.; Naim, A.G. Transfer Learning for Cancer Diagnosis in Histopathological Images. IAES Int. J. Artif. Intell. 2022, 11, 129–136. [Google Scholar] [CrossRef]
- Nash, J.E.; Sutcliffe, J.V. River Flow Forecasting through Conceptual Models Part I—A Discussion of Principles—ScienceDirect. J. Hydrol. 1970, 10, 282–290. [Google Scholar] [CrossRef]
- Gupta, H.V.; Kling, H.; Yilmaz, K.K.; Martinez-Baquero, G.F. Decomposition of the Mean Squared Error and NSE Performance Criteria: Implications for Improving Hydrological Modelling. J. Hydrol. 2009, 377, 80–91. [Google Scholar] [CrossRef]
- Kling, H.; Fuchs, M.; Paulin, M. Runoff Conditions in the Upper Danube Basin under an Ensemble of Climate Change Scenarios. J. Hydrol. 2012, 424–425, 264–277. [Google Scholar] [CrossRef]
- Knoben, W.J.M.; Freer, J.E.; Woods, R.A. Technical Note: Inherent Benchmark or Not? Comparing Nash–Sutcliffe and Kling–Gupta Efficiency Scores. Hydrol. Earth Syst. Sci. 2019, 23, 4323–4331. [Google Scholar] [CrossRef]
- Tursun, A.; Xie, X.; Wang, Y.; Liu, Y.; Peng, D.; Rusuli, Y.; Zheng, B. Reconstruction of Missing Streamflow Series in Human-Regulated Catchments Using a Data Integration LSTM Model. J. Hydrol. Reg. Stud. 2024, 52, 101744. [Google Scholar] [CrossRef]
- Nogueira Filho, F.J.M.; Souza Filho, F.d.A.; Porto, V.C.; Vieira Rocha, R.; Sousa Estácio, Á.B.; Martins, E.S.P.R. Deep Learning for Streamflow Regionalization for Ungauged Basins: Application of Long-Short-Term-Memory Cells in Semiarid Regions. Water 2022, 14, 1318. [Google Scholar] [CrossRef]
- Tursun, A.; Xie, X.; Wang, Y.; Liu, Y.; Peng, D.; Zheng, B. Enhancing Streamflow Simulation in Large and Human-Regulated Basins: Long Short-Term Memory with Multiscale Attributes. J. Hydrol. 2024, 630, 130771. [Google Scholar] [CrossRef]
- Khand, K.; Senay, G.B. Evaluation of Streamflow Predictions from LSTM Models in Water- and Energy-Limited Regions in the United States. Mach. Learn. Appl. 2024, 16, 100551. [Google Scholar] [CrossRef]
- Chen, S.; Huang, J.; Huang, J.-C. Improving Daily Streamflow Simulations for Data-Scarce Watersheds Using the Coupled SWAT-LSTM Approach. J. Hydrol. 2023, 622, 129734. [Google Scholar] [CrossRef]
- Xu, W.; Chen, J.; Zhang, X.J.; Xiong, L.; Chen, H. A Framework of Integrating Heterogeneous Data Sources for Monthly Streamflow Prediction Using a State-of-the-Art Deep Learning Model. J. Hydrol. 2022, 614, 128599. [Google Scholar] [CrossRef]
- Ng, K.W.; Huang, Y.F.; Koo, C.H.; Chong, K.L.; El-Shafie, A.; Ahmed, A.N. A Review of Hybrid Deep Learning Applications for Streamflow Forecasting. J. Hydrol. 2023, 625, 130141. [Google Scholar] [CrossRef]












| Abbreviation | Case | Source Station | Training Periods | Validation Period | Target Station | Testing Periods |
|---|---|---|---|---|---|---|
| T-LSTM | ① | GB, BHQ, GZ | 2010–2013 | 2014–2015 | Lhasa | 2010–2015 |
| ② | GB, BHQ, Lhasa | 2010–2013 | 2014–2015 | GZ | 2010–2015 | |
| ③ | GB, GZ, Lhasa | 2010–2013 | 2014–2015 | BHQ | 2010–2015 | |
| ④ | BHQ, GZ, Lhasa | 2010–2013 | 2014–2015 | GB | 2010–2015 |
| Model | Batch Size | Window Size | Hidden Layer Units | Gradient Descent Method | Learning Rate | |
|---|---|---|---|---|---|---|
| Pretraining | Tested | 2, 4, 8, 16, 32, 64, 128, 256, 512 | 10, 20, 30, 40, 50, 60, 70, 80, 90, 120, 150, 180 | 10, 20, 30, 40, 50, 60, 70, 80, 90, 100 | RMSprop Adam | 0.001, 0.002, 0.003, 0.004, 0.005, 0.008, 0.01, 0.015, 0.02, 0.03, 0.05 |
| G-LSTM B-LSTM | Tested | 32, 64 | 30, 60, 90 | 40, 60, 80 | RMSprop Adam | 0.001, 0.002, 0.003 |
| Selected | 32 | 30 | 40 | RMSprop | 0.002 | |
| T-LSTM | Tested | 32, 64 | 30, 60, 90 | 40, 60, 80 | RMSprop Adam | 0.001, 0.002, 0.003 |
| Selected | 64 | 60 | 60 | Adam | 0.003 | |
| Station | Model | Testing Period | NSE | KGE | RBias (%) |
|---|---|---|---|---|---|
| Lhasa | BTOP | 2014–2015 | 0.58 | 0.4 | −29.49 |
| BTOP | 2014 | 0.62 | 0.41 | −28.58 | |
| B-LSTM | 2014 | 0.76 | 0.80 | 0.31 | |
| B-LSTM | 2014–2015 | 0.62 | 0.75 | 12.8 | |
| GB | BTOP | 2014–2015 | 0.79 | 0.72 | −14.89 |
| B-LSTM | 2014–2015 | 0.84 | 0.82 | 1.53 | |
| G-LSTM | 2014–2015 | 0.84 | 0.86 | 0 | |
| BHQ | BTOP | 2014–2015 | 0.49 | 0.56 | 32.34 |
| B-LSTM | 2014–2015 | 0.78 | 0.87 | 3.26 | |
| G-LSTM | 2014–2015 | 0.85 | 0.89 | 0.09 | |
| GZ | BTOP | 2014–2015 | 0.34 | 0.19 | −55.07 |
| B-LSTM | 2014–2015 | 0.95 | 0.97 | −0.76 | |
| G-LSTM | 2014–2015 | 0.93 | 0.86 | −0.12 |
Disclaimer/Publisher’s Note: The statements, opinions and data contained in all publications are solely those of the individual author(s) and contributor(s) and not of MDPI and/or the editor(s). MDPI and/or the editor(s) disclaim responsibility for any injury to people or property resulting from any ideas, methods, instructions or products referred to in the content. |
© 2024 by the authors. Licensee MDPI, Basel, Switzerland. This article is an open access article distributed under the terms and conditions of the Creative Commons Attribution (CC BY) license (https://creativecommons.org/licenses/by/4.0/).
Share and Cite
Yue, J.; Zhou, L.; Du, J.; Zhou, C.; Nimai, S.; Wu, L.; Ao, T. Runoff Simulation in Data-Scarce Alpine Regions: Comparative Analysis Based on LSTM and Physically Based Models. Water 2024, 16, 2161. https://doi.org/10.3390/w16152161
Yue J, Zhou L, Du J, Zhou C, Nimai S, Wu L, Ao T. Runoff Simulation in Data-Scarce Alpine Regions: Comparative Analysis Based on LSTM and Physically Based Models. Water. 2024; 16(15):2161. https://doi.org/10.3390/w16152161
Chicago/Turabian StyleYue, Jiajia, Li Zhou, Juan Du, Chun Zhou, Silang Nimai, Lingling Wu, and Tianqi Ao. 2024. "Runoff Simulation in Data-Scarce Alpine Regions: Comparative Analysis Based on LSTM and Physically Based Models" Water 16, no. 15: 2161. https://doi.org/10.3390/w16152161
APA StyleYue, J., Zhou, L., Du, J., Zhou, C., Nimai, S., Wu, L., & Ao, T. (2024). Runoff Simulation in Data-Scarce Alpine Regions: Comparative Analysis Based on LSTM and Physically Based Models. Water, 16(15), 2161. https://doi.org/10.3390/w16152161

