Rate Transient Analysis for Multi-Fractured Wells in Tight Gas Reservoirs Considering Multiple Nonlinear Flow Mechanisms
Abstract
1. Introduction
2. Mathematical Model
2.1. Physical Model
2.2. Characterization of the Nonlinear Flow Mechanisms
2.3. Solution for Flow in the Fractured Tight Formation
2.4. Rate Transient Analysis Method
2.4.1. Production Data Processing
2.4.2. Linear/Bilinear Flow Regime Analysis
2.4.3. Type Curve Fitting
3. Results and Discussion
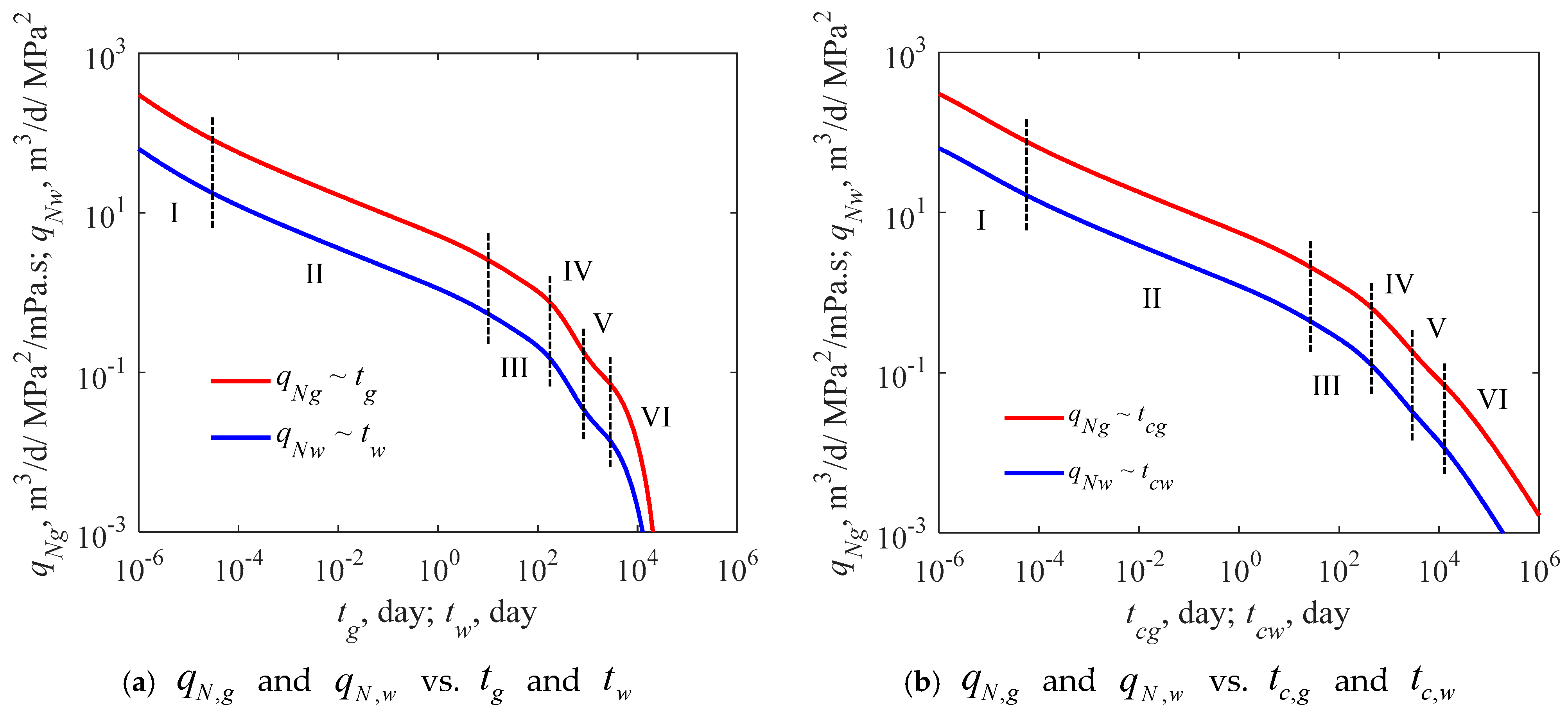
3.1. Flow Regimes of Gas and Water Phase
3.2. The Effects of Nonlinear Flow Mechanisms
3.2.1. Stress-Dependent Permeability
3.2.2. Gas Slippage
3.2.3. Low-Velocity Non-Darcy Flow
3.2.4. Gas–Water Two-Phase Flow
3.3. The Effects of Fracture and Formation Parameters
3.3.1. Half-Length of the Fractures
3.3.2. Fracture Number
3.3.3. Fracture Conductivity
3.3.4. Formation Permeability
4. Field Case
5. Conclusions
- The flow regimes of fractured tight gas wells can be recognized using the log-log plots of normalized production rate against material balance time. According to the slopes of the type curves, six flow regimes can be observed, including linear flow dominated by the fractures (I), bilinear flow dominated by both the fractures and inner reservoir (II), linear flow dominated by the inner reservoir (III), transition flow dominated by the inner and outer reservoirs (IV), linear flow dominated by the outer reservoir (V), and boundary dominated flow (VI).
- The nonlinear flow mechanisms, and formation and fracture properties can have significant influences on the rate transient responses of fractured tight gas wells. Fracture number, fracture conductivity, and half-length mainly influence the early and medium flow regimes. Low-velocity non-Darcy flow mainly influences the late flow regimes. Stress-dependent permeability, gas-water two-phase flow, and formation permeability can have a significant influence on almost all the flow regimes.
- The RTA method for fractured tight gas wells should consider the effects of nonlinear flow mechanisms, especially gas-water two-phase flow in the formation. The nonlinear flow mechanisms should be considered in the mathematical model for RTA to obtain a reasonable theoretical solution. In addition, gas and water production data can be processed and analyzed separately with the techniques of the material balance method.
- In making field applications, reasonable history-matching results can be obtained using either gas or water production data of tight gas wells, and the parameter inversion results can be averaged in analysis. In addition, the typical square root of time and log-log plots can be incorporated into the RTA method for uncertainty reduction.
Author Contributions
Funding
Data Availability Statement
Conflicts of Interest
Appendix A
References
- Ma, X.; Jia, A.; Tan, J.; He, D. Tight sand gas development technology and practices in China. Pet. Explor. Dev. 2012, 39, 611–618. [Google Scholar] [CrossRef]
- Wang, L.; Xiang, Y.; Tao, H.; Kuang, J. An Analytical Model Coupled with Orthogonal Experimental Design Is Used to Analyze the Main Controlling Factors of Multi-Layer Commingled Gas Reservoirs. Water 2023, 15, 3052. [Google Scholar] [CrossRef]
- Cheng, Y.; Lee, W.J.; McVay, D.A. Improving Reserves Estimates from Decline-Curve Analysis of Tight and Multilayer Gas Wells. SPE Reserv. Eval. Eng. 2008, 11, 912–920. [Google Scholar] [CrossRef]
- Kong, B.; Chen, Z.; Chen, S.; Qin, T. Machine learning-assisted production data analysis in liquid-rich Duvernay Formation. J. Pet. Sci. Eng. 2021, 200, 108377. [Google Scholar] [CrossRef]
- Zhang, M.; Ayala, L.F. Variable rate and pressure integral solutions to the nonlinear gas diffusivity equation in unconventional systems. Fuel 2019, 235, 1100–1113. [Google Scholar] [CrossRef]
- Luo, H.; Mahiya, G.F.; Pannett, S.; Benham, P.H. The Use of Rate-Transient-Analysis Modeling to Quantify Uncertainties in Commingled Tight Gas Production-Forecasting and Decline-Analysis Parameters in the Alberta Deep Basin. SPE Reserv. Eval. Eng. 2014, 17, 209–219. [Google Scholar] [CrossRef]
- Bello, R.O.; Wattenbarger, R.A. Modelling and Analysis of Shale Gas Production with a Skin Effect. J. Can. Pet. Technol. 2010, 49, 37–48. [Google Scholar] [CrossRef]
- Al-Ahmadi, H.A.; Wattenbarger, R.A. Triple-porosity Models: One Further Step Towards Capturing Fractured Reservoirs Heterogeneity. In Proceedings of the SPE/DGS Saudi Arabia Section Technical Symposium and Exhibition, Al-Khobar, Saudi Arabia, 15–18 May 2011. [Google Scholar]
- Wu, Y.; Cheng, L.; Huang, S.; Fang, S.; Jia, P.; Rao, X. An analytical model for analyzing the impact of fracturing fluid-induced formation damage on rate transient behavior in tight formations. J. Pet. Sci. Eng. 2019, 179, 513–525. [Google Scholar] [CrossRef]
- Brown, M.; Ozkan, E.; Raghavan, R.; Kazemi, H. Practical Solutions for Pressure-Transient Responses of Fractured Horizontal Wells in Unconventional Shale Reservoirs. SPE Reserv. Eval. Eng. 2009, 14, 663–676. [Google Scholar] [CrossRef]
- Stalgorova, K.; Mattar, L. Analytical Model for Unconventional Multifractured Composite Systems. SPE Res. Eval. Eng. 2013, 16, 246–256. [Google Scholar] [CrossRef]
- Wang, X.; Sheng, J.J. Effect of low-velocity non-Darcy flow on well production performance in shale and tight oil reservoirs. Fuel 2017, 190, 41–46. [Google Scholar] [CrossRef]
- Zhu, S.-Y.; Du, Z.-M.; Li, C.-L.; Salmachi, A.; Peng, X.-L.; Wang, C.-W.; Yue, P.; Deng, P. A Semi-analytical Model for Pressure-Dependent Permeability of Tight Sandstone Reservoirs. Transp. Porous Media 2018, 122, 235–252. [Google Scholar] [CrossRef]
- Wang, J.; Yu, L.; Yuan, Q. Experimental study on permeability in tight porous media considering gas adsorption and slippage effect. Fuel 2019, 253, 561–570. [Google Scholar] [CrossRef]
- Zhang, S.; Yang, P.; Jiang, P.; Zhang, T. Determination of initial gas saturation in tight gas formations with NMR relaxometry measurements. J. Nat. Gas Sci. Eng. 2015, 27, 1512–1517. [Google Scholar] [CrossRef]
- Song, H.; Cao, Y.; Yu, M.; Wang, Y.; Killough, J.E.; Leung, J. Impact of permeability heterogeneity on production characteristics in water-bearing tight gas reservoirs with threshold pressure gradient. J. Nat. Gas Sci. Eng. 2015, 22, 172–181. [Google Scholar] [CrossRef]
- Ning, B.; Xiang, Z.; Liu, X.; Li, Z.; Chen, Z.; Jiang, B.; Zhao, X.; Tang, H.; Chang, X. Production prediction method of horizontal wells in tight gas reservoirs considering threshold pressure gradient and stress sensitivity. J. Pet. Sci. Eng. 2019, 187, 106750. [Google Scholar]
- Wu, Y.; Cheng, L.; Ma, L.; Huang, S.; Fang, S.; Killough, J.; Jia, P.; Wang, S. A transient two-phase flow model for production prediction of tight gas wells with fracturing fluid-induced formation damage. J. Pet. Sci. Eng. 2021, 199, 108351. [Google Scholar] [CrossRef]
- Wu, Y.; Mi, L.; Zheng, R.; Ma, L.; Feng, X. A Practical Semi-Analytical Model for Production Prediction of Fractured Tight Gas Wells with Multiple Nonlinear Flow Mechanisms. Arab. J. Sci. Eng. 2024, in press. [Google Scholar] [CrossRef]
- Wu, Y.; Cheng, L.; Huang, S.; Jia, P.; Zhang, J.; Lan, X.; Huang, H. A practical method for production data analysis from multistage fractured horizontal wells in shale gas reservoirs. Fuel 2016, 186, 821–829. [Google Scholar] [CrossRef]
- Behmanesh, H.; Hamdi, H.; Clarkson, C.R.; Thompson, J.M.; Anderson, D.M. Analytical modeling of linear flow in single-phase tight oil and tight gas reservoirs. J. Pet. Sci. Eng. 2018, 171, 1084–1098. [Google Scholar] [CrossRef]
- Nobakht, M.; Clarkson, C.; Kaviani, D. New type curves for analyzing horizontal well with multiple fractures in shale gas reservoirs. J. Nat. Gas Sci. Eng. 2013, 10, 99–112. [Google Scholar] [CrossRef]
- Yuan, B.; Zheng, D.; Moghanloo, R.G.; Wang, K. A novel integrated workflow for evaluation, optimization, and production predication in shale plays. Int. J. Coal Geol. 2017, 180, 18–28. [Google Scholar] [CrossRef]
- Clarkson, C.R.; Qanbari, F. An approximate semianalytical two-phase forecasting method for multi-fractured tight light-oil wells with complex fracture geometry. J. Can. Petrol. Technol. 2015, 54, 489–508. [Google Scholar] [CrossRef]
- Wu, Y.-H.; Fang, S.-D.; Wang, S.-R.; Huang, S.-J.; Ma, L.-Q.; Fu, G.-Q. A novel production data analysis method for multi-fractured horizontal wells with infill well-caused fracture interference. Pet. Sci. 2023, 20, 2967–2980. [Google Scholar] [CrossRef]
- Sarvaramini, E. Quantifying Variability in Hydraulic Fracture Geometry Using Stage-by-Stage ISIP Analysis in Geomechanically Heterogeneous Rocks. In Proceedings of the Unconventional Resources Technology Conference, Denver, CO, USA, 13–15 June 2023. [Google Scholar]
- Liu, T.; Lin, B.; Fu, X.; Zhao, Y.; Gao, Y.; Yang, W. Modeling coupled gas flow and geomechanics process in stimulated coal seam by hydraulic flushing. Int. J. Rock Mech. Min. Sci. 2021, 142, 104769. [Google Scholar] [CrossRef]
- Zou, Q.; Chen, Z.; Zhan, J.; Chen, C.; Gao, S.; Kong, F.; Xia, X. Morphological evolution of fracture channels and flow conduction law after sandstone failure under cyclic loading with different stress levels. Int. J. Min. Sci. Technol. 2023, 33, 1527–1540. [Google Scholar] [CrossRef]
- Mi, L.; Jiang, H.; Cao, Y.; Fang, S.; Liu, H.; Zhou, Y.; An, C.; Yan, B. Comprehensive apparent permeability model coupled shale gas transfer mechanisms in natural fractures and matrix. J. Pet. Sci. Eng. 2018, 172, 878–888. [Google Scholar] [CrossRef]
- Mi, L.; Jiang, H.; Mou, S.; Li, J.; Pei, Y.; Liu, C. Numerical simulation study of shale gas reservoir with stress-dependent fracture conductivity using multiscale discrete fracture network model. Part. Sci. Technol. 2018, 36, 202–211. [Google Scholar]
- Klinkenberg, L.J. The permeability of porous media to liquids and gases. Drill. Prod. Pract. 1941, 200–213. [Google Scholar] [CrossRef]
- Nur, A.; Yilmaz, O. Pore Pressure Fronts in Fractured Rock Systems; Dept. of Geophysics, Stanford University: Stanford, CA, USA, 1985. [Google Scholar]
- Stehfest, H. Numerical Inversion of Laplace Transforms. ACM Commun. 1970, 13, 47–49. [Google Scholar] [CrossRef]
- Agarwal, R.G.; Gardner, D.C.; Kleinsteiber, S.W.; Fussell, D.D. Analyzing Well Production Data Using Combined-Type-Curve and Decline-Curve Analysis Concepts. SPE Reserv. Eval. Eng. 1999, 2, 478–486. [Google Scholar] [CrossRef]















| Variables | Definition | Variables | Definition |
|---|---|---|---|
| Dimensionless length-X direction | Dimensionless pseudo-pressure (gas) | ||
| Dimensionless length-Y direction | Dimensionless pseudo-time (gas) | ||
| Dimensionless length-Z direction | Dimensionless production rate (gas) | ||
| Dimensionless permeability | Dimensionless pseudo-pressure (water) | ||
| Dimensionless threshold gradient pressure | Dimensionless pseudo-time (water) | ||
| Dimensionless pseudo-threshold gradient pressure | Dimensionless production rate (water) |
| Model Parameter | Value | Units |
|---|---|---|
| Initial formation pressure | 23.4 | MPa |
| Formation temperature | 345 | K |
| Formation thickness | 10 | m |
| Well length | 1100 | m |
| Number of fractures | 11 | Dimensionless |
| Fracture conductivity | 20 | D·cm |
| Half-length of the fracture | 100 | m |
| Well space | 600 | m |
| Rock compressibility | 5 × 10−5 | MPa−1 |
| Porosity of the hydraulic fracture | 0.3 | Dimensionless |
| Bottom hole pressure of the wellbore | 5 | MPa |
| The permeability of the matrix | 0.01 | mD |
| The porosity of the matrix | 0.1 | Dimensionless |
| kI/kO | 2 | Dimensionless |
| Viscosity of water | 0.3 | mPa·s |
| Water compressibility | 5 × 10−4 | MPa−1 |
| Initial water saturation | 0.5 | Dimensionless |
| PTPG | 1 × 10−3 | MPa/m |
| Permeability modulus | 0.01 | MPa−1 |
| Slippage factor | 1 | MPa |
| Model Parameter | Value | Units |
|---|---|---|
| Initial formation pressure | 23.4 | MPa |
| Formation temperature | 345 | K |
| Formation thickness | 10 | m |
| Well length | 1215 | m |
| Well space | 600 | m |
| Rock compressibility | 5 × 10−5 | MPa−1 |
| Porosity of the hydraulic fracture | 0.3 | Dimensionless |
| Bottom hole pressure of the wellbore | 5 | MPa |
| The porosity of the matrix | 0.1 | Dimensionless |
| Initial water saturation | 0.65 | Dimensionless |
| Viscosity of water | 0.3 | mPa·s |
| Water compressibility | 5 × 10−4 | MPa−1 |
| PTPG | 5 × 10−4 | MPa/m |
| Permeability modulus | 0.01 | MPa−1 |
| * kI/kO | 1 | Dimensionless |
| * Fracture space | 35.7 | m |
| * Number of fractures | 17 | Dimensionless |
| * Fracture conductivity | 1.3 | D.cm |
| * Half-length of the fracture | 100 | m |
| * The permeability of the matrix | 0.07 | mD |
Disclaimer/Publisher’s Note: The statements, opinions and data contained in all publications are solely those of the individual author(s) and contributor(s) and not of MDPI and/or the editor(s). MDPI and/or the editor(s) disclaim responsibility for any injury to people or property resulting from any ideas, methods, instructions or products referred to in the content. |
© 2024 by the authors. Licensee MDPI, Basel, Switzerland. This article is an open access article distributed under the terms and conditions of the Creative Commons Attribution (CC BY) license (https://creativecommons.org/licenses/by/4.0/).
Share and Cite
Wu, Y.; Mi, L.; Ma, L.; Zheng, R.; Feng, X. Rate Transient Analysis for Multi-Fractured Wells in Tight Gas Reservoirs Considering Multiple Nonlinear Flow Mechanisms. Water 2024, 16, 1866. https://doi.org/10.3390/w16131866
Wu Y, Mi L, Ma L, Zheng R, Feng X. Rate Transient Analysis for Multi-Fractured Wells in Tight Gas Reservoirs Considering Multiple Nonlinear Flow Mechanisms. Water. 2024; 16(13):1866. https://doi.org/10.3390/w16131866
Chicago/Turabian StyleWu, Yonghui, Lidong Mi, Liqiang Ma, Rongchen Zheng, and Xiujuan Feng. 2024. "Rate Transient Analysis for Multi-Fractured Wells in Tight Gas Reservoirs Considering Multiple Nonlinear Flow Mechanisms" Water 16, no. 13: 1866. https://doi.org/10.3390/w16131866
APA StyleWu, Y., Mi, L., Ma, L., Zheng, R., & Feng, X. (2024). Rate Transient Analysis for Multi-Fractured Wells in Tight Gas Reservoirs Considering Multiple Nonlinear Flow Mechanisms. Water, 16(13), 1866. https://doi.org/10.3390/w16131866

