Analysis of the Hydrogeochemical Characteristics and Origins of Groundwater in the Changbai Mountain Region via Inverse Hydrogeochemical Modeling and Unsupervised Machine Learning
Abstract
1. Introduction
2. Study Area
2.1. Natural Conditions and Regional Geological Settings
2.2. Hydrogeological Conditions
3. Materials and Methods
3.1. Sample Collection and Analysis
3.2. Data Processing and Analysis
3.2.1. Traditional Hydrogeochemical Techniques
3.2.2. Unsupervised Machine Learning
4. Results and Discussion
4.1. Hydrochemical Characteristics
4.2. Hydrochemical Genesis Analysis
4.2.1. Analysis of Groundwater Formation Processes
4.2.2. Correlation Analysis of Ion Sources
4.2.3. Inverse Hydrogeochemical Modeling Analysis
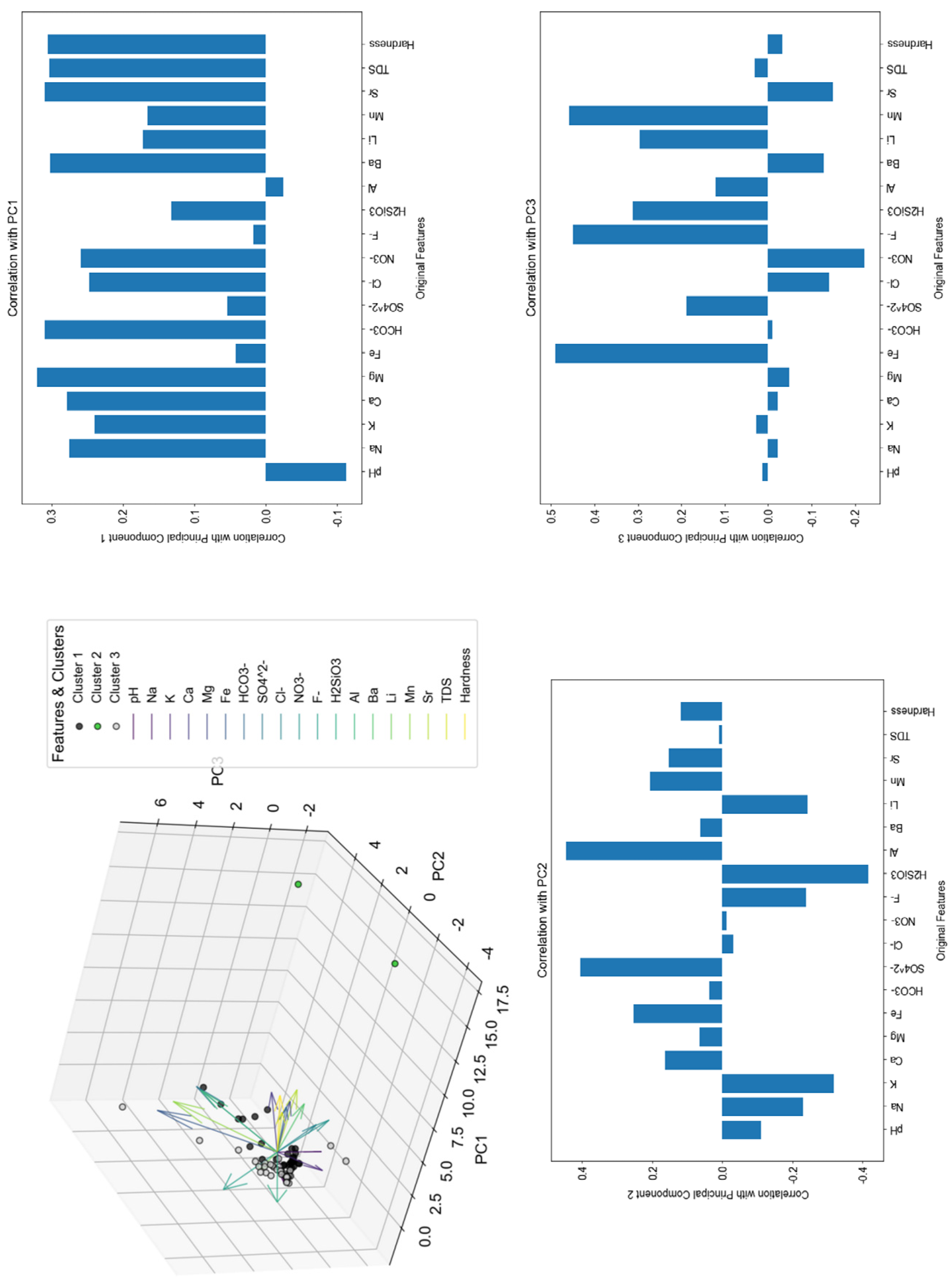
4.3. Validation Analysis Using Unsupervised Machine Learning
5. Conclusions
Author Contributions
Funding
Data Availability Statement
Conflicts of Interest
References
- Ullah, A.; Ali, W.; Muhammad, S.; Ijaz, J.; Amir, F.; Iqbal, S. Comprehensive evaluation of hydro-chemical processes, suitability, health risks, and sources of groundwater contamination using compositional data analysis, nizampur basin, pakistan. Groundw. Sustain. Dev. 2023, 23, 101021. [Google Scholar] [CrossRef]
- Alsaleh, M.A. Natural springs in northwest saudi arabia. Arab. J. Geosci. 2017, 10, 335. [Google Scholar] [CrossRef]
- Alsharhan, A.S.; Rizk, Z.E.; Alsharhan, A.S.; Rizk, Z.E. Natural springs: Hydrogeology, hydrogeochemistry and therapeutic value. In Water Resources and Integrated Management of the United Arab Emirates; Springer International Publishing: Cham, Switzerland, 2020; pp. 231–255. [Google Scholar]
- Jones, J.D.; Mogali, S.; Comer, S.D. Polydrug abuse: A review of opioid and benzodiazepine combination use. Drug Alcohol Depend. 2012, 125, 8–18. [Google Scholar] [CrossRef] [PubMed]
- Krishan, G.; Kumar, M.; Rao, M.S.; Garg, R.; Yadav, B.K.; Kansal, M.; Singh, S.; Bradley, A.; Muste, M.; Sharma, L. Integrated approach for the investigation of groundwater quality through hydrochemistry and water quality index (wqi). Urban Clim. 2023, 47, 101383. [Google Scholar] [CrossRef]
- Wang, J.; Zhou, W.; Zhao, M.; Guo, X. Water quality assessment and pollution evaluation of surface water sources: The case of weishan and luoma lakes, xuzhou, jiangsu province, china. Environ. Technol. Innov. 2023, 32, 103397. [Google Scholar] [CrossRef]
- Mohamed, N.A.; Wachemo, A.C.; Karuppannan, S.; Duraisamy, K. Spatio-temporal variation of groundwater hydrochemistry and suitability for drinking and irrigation in arba minch town, ethiopia: An integrated approach using water quality index, multivariate statistics, and gis. Urban Clim. 2022, 46, 101338. [Google Scholar] [CrossRef]
- Riedl, M.O. Human-centered artificial intelligence and machine learning. Hum. Behav. Emerg. Technol. 2019, 1, 33–36. [Google Scholar] [CrossRef]
- Jannat, J.N.; Islam, A.R.M.T.; Mia, M.Y.; Pal, S.C.; Biswas, T.; Jion, M.M.M.F.; Islam, M.S.; Siddique, M.A.B.; Idris, A.M.; Khan, R. Using unsupervised machine learning models to drive groundwater chemistry and associated health risks in indo-bangla sundarban region. Chemosphere 2024, 351, 141217. [Google Scholar] [CrossRef]
- Ju, Y.; Jokisalo, J.; Kosonen, R.; Kauppi, V.; Janßen, P. Analyzing power and energy flexibilities by demand response in district heated buildings in finland and germany. Sci. Technol. Built Environ. 2021, 27, 1440–1460. [Google Scholar] [CrossRef]
- Zhang, W.-P.; Li, Z.-X.; Gao, S.-N.; Yang, H.; Xu, H.-S.; Yang, X.; Fan, H.-X.; Su, Y.; Weiner, J.; Fornara, D. Resistance vs. Surrender: Different responses of functional traits of soybean and peanut to intercropping with maize. Field Crops Res. 2023, 291, 108779. [Google Scholar] [CrossRef]
- Jin, Y.; Zhu, W.; Li, J.; Cui, D.; Zhang, Z.; Sun, G.; Zhu, Y.; Yang, H.; Zhang, X. Arsenic pollution concerning surface water and sediment of jie river: A pilot area where gold smelting enterprises are concentrated. Environ. Res. 2024, 249, 118384. [Google Scholar] [CrossRef] [PubMed]
- Nasher, G.; Al-Sayyaghi, A.; Al-Matary, A. Identification and evaluation of the hydrogeochemical processes of the lower part of wadi siham catchment area, tihama plain, yemen. Arab. J. Geosci. 2013, 6, 2131–2146. [Google Scholar] [CrossRef]
- Wang, L.; Li, G.; Dong, Y.; Han, D.; Zhang, J. Using hydrochemical and isotopic data to determine sources of recharge and groundwater evolution in an arid region: A case study in the upper–middle reaches of the shule river basin, northwestern china. Environ. Earth Sci. 2015, 73, 1901–1915. [Google Scholar] [CrossRef]
- Su, Y.; Yang, F.; Liang, X.; Xiao, C. Hydrogeochemistry and genesis of metasilicate spring water in the changbai mountain volcanic area, ne china. J. Radioanal. Nucl. Chem. 2023, 332, 2389–2400. [Google Scholar] [CrossRef]
- Yang, H.; Hou, B.; Ye, L.; Xu, S.; Xin, H.; Zhang, S. Groundwater chemical evolution characteristics and human health risk assessment in shicheng county, jiangxi province. Environ. Sci. Pollut. Res. 2024, 31, 37337–37355. [Google Scholar] [CrossRef] [PubMed]
- Ou, L.; Jiang, C.; Li, Y.; Zuo, Y.; Huang, K.; Liu, P.; Tang, J. Spatial characteristics and driving factors of groundwater hydrochemistry and heavy metals in peri-urban agricultural areas of in southwest china. Environ. Earth Sci. 2024, 83, 338. [Google Scholar] [CrossRef]
- Tabi, R.N.; Gibrilla, A.; Boakye, P.; Agyemang, F.O.; Foaah, A.A.; Oduro-Kwarteng, S. Appraisal of groundwater quality and hydrochemistry in three regions of ghana: Implications for drinking purposes. Groundw. Sustain. Dev. 2024, 26, 101193. [Google Scholar] [CrossRef]
- Bayou, W.T.; Mohammed, M.; Ayenew, T.; Mebrahtu, T.K.; Wohnlich, S. Hydrochemistry and isotope hydrology of groundwater and surface water in the sor and gebba watershed, southwestern ethiopia. Environ. Earth Sci. 2024, 83, 316. [Google Scholar] [CrossRef]
- Kouacou, B.A.; Anrnu, G.; Adiaffi, B.; Gibrilla, A. Hydrochemical characteristics and sources of groundwater pollution in soubré and gagnoa counties, côte d’ivoire. Groundw. Sustain. Dev. 2024, 26, 101199. [Google Scholar] [CrossRef]
- Nematollahi, M.; Ebrahimi, P.; Razmara, M.; Ghasemi, A. Hydrogeochemical investigations and groundwater quality assessment of torbat-zaveh plain, khorasan razavi, iran. Environ. Monit. Assess. 2016, 188, 2. [Google Scholar] [CrossRef]
- Gibbs, R.J. Mechanisms controlling world water chemistry. Science 1970, 170, 1088–1090. [Google Scholar] [CrossRef] [PubMed]
- Wang, L.; Xiao, Y.; Yang, H.; Zhang, Y.; Wang, S.; Qi, Z.; Han, J.; Hu, W.; Wang, J.; Hao, Q. Formation mechanism of high-altitude glacial mineral water in the kunlun mountains of tibetan plateau: Insights from isotopes and hydrochemistry. J. Hydrol. Reg. Stud. 2024, 53, 101789. [Google Scholar] [CrossRef]
- Zhang, S.; Liu, K.; Ma, Y.; Wang, L.; Sun, J. Identifying the hydrochemical characteristic, genetic mechanism and potential human health risks of fluoride and nitrate enriched groundwater in tongzhou district, beijing, north china. Acta Geol. Sin.-Engl. Ed. 2024, 98, 468–476. [Google Scholar] [CrossRef]
- Shang, Y.; Fu, C.; Zhang, W.; Li, X.; Li, X. Groundwater hydrochemistry, source identification and health assessment based on self-organizing map in an intensive mining area in shanxi, china. Environ. Res. 2024, 252, 118934. [Google Scholar] [CrossRef] [PubMed]
- Liu, H.; Wei, W.; Song, Y.; Xu, J.; Guan, Z.T.; Huang, J.M.; Zhao, G.H. Hydrochemical characteristics, controlling factors and water quality evaluation of shallow groundwater in tan-lu fault zone (anhui section). Huan Jing Ke Xue 2024, 45, 2665–2677. [Google Scholar] [PubMed]
- Hu, Y.X.; Zhou, R.J.; Song, W.; Yang, Q.H.; Wang, X.R. Analysis on hydrochemical evolution of shallow groundwater east of yongding river in fengtai district, beijing. Huan Jing Ke Xue 2024, 45, 2651–2664. [Google Scholar] [PubMed]
- Marghade, D.; Malpe, D.B.; Zade, A.B. Major ion chemistry of shallow groundwater of a fast growing city of central india. Environ. Monit. Assess. 2012, 184, 2405–2418. [Google Scholar] [CrossRef]
- Li, P.; Wu, J.; Qian, H. Assessment of groundwater quality for irrigation purposes and identification of hydrogeochemical evolution mechanisms in pengyang county, china. Environ. Earth Sci. 2013, 69, 2211–2225. [Google Scholar] [CrossRef]
- Jiménez, J.; Cavero, S.G.; Marazuela, M.Á.; Baquedano, C.; Laspidou, C.; Santamarta, J.C.; García-Gil, A. Effects of the 2021 la palma volcanic eruption on groundwater hydrochemistry: Geochemical modelling of endogenous CO2 release to surface reservoirs, water-rock interaction and influence of thermal and seawater. Sci. Total Environ. 2024, 929, 172594. [Google Scholar] [CrossRef]
- Chashoo, H.F.; Abubakr, A.; Malik, M.; Bhat, F.A.; Bhat, B.A.; Khan, I.A.; Tariq, S.; Hanief, F. Assessing the health of dachigam stream: A water quality analysis. Int. J. Environ. Clim. Change 2024, 14, 356–371. [Google Scholar] [CrossRef]
- Boualem, B.; Egbueri, J.C. Graphical, statistical and index-based techniques integrated for identifying the hydrochemical fingerprints and groundwater quality of in salah, algerian sahara. Environ. Geochem. Health 2024, 46, 158. [Google Scholar] [CrossRef]
- Wang, S.; Chen, J.; Zhang, S.; Bai, Y.; Zhang, X.; Chen, D.; Hu, J. Groundwater hydrochemical signatures, nitrate sources, and potential health risks in a typical karst catchment of north china using hydrochemistry and multiple stable isotopes. Environ. Geochem. Health 2024, 46, 173. [Google Scholar] [CrossRef] [PubMed]
- Rafique, V.; Grimmer, M.; Scheermann, F.; Roscher, M.; Hoth, N. Integrated hydrological and hydrochemical analysis of arsenic and iron behavior in waters of a decommissioned tin mine in ehrenfriedersdorf, germany. Hydrology 2024, 11, 51. [Google Scholar] [CrossRef]
- Fernández-Lozano, J.; Turu, V.; Carrasco, R.M.; Soteres, R.L.; Sánchez-Vizcaino, J.; Karampaglidis, T.; Ros, X.; Merlo, O.; Pedraza, J. The mid-latitude hydrolaccolith of the spanish central system (southern europe): A top-to-bottom integration of geomatic, geophysical and sedimentary datasets for characterising a singular periglacial landform. Land Degrad. Dev. 2024, 35, 1029–1049. [Google Scholar] [CrossRef]
- Hernandez-Terrones, L.; Street, J.; Null, K.; Paytan, A. Groundwater chemistry and sr isotope ratios shed light on connectivity and water-rock interactions in the coastal aquifer of the caribbean coast, mexico. Cont. Shelf Res. 2021, 212, 104293. [Google Scholar] [CrossRef]
- Li, Y.; Tang, S.; Zhang, S.; Xi, Z.; Wang, P. Biogeochemistry and water–rock interactions of coalbed methane co-produced water in the shizhuangnan block of the southern qinshui basin, china. Water 2019, 12, 130. [Google Scholar] [CrossRef]
- Jiang, Q.; Deng, H.; Li, J.; Luo, Z.; Assefa, E.; Fang, J.; Xiao, Y. The degradation effect and mechanism by water-rock interaction in the layered sandstone in the three gorges reservoir area. Arab. J. Geosci. 2019, 12, 722. [Google Scholar] [CrossRef]
- Ma, X.; Yang, G.; Li, X.; Yu, Y.; Dong, J. Geochemical modeling of changes in caprock permeability caused by CO2–brine–rock interactions under the diffusion mechanism. Oil Gas Sci. Technol.—Rev. d’IFP Energ. Nouv. 2019, 74, 83. [Google Scholar] [CrossRef]
- Pan, D.; Li, S.; Xu, Z.; Lin, P.; Huang, X. Experimental and numerical study of the water inrush mechanisms of underground tunnels due to the proximity of a water-filled karst cavern. Bull. Eng. Geol. Environ. 2019, 78, 6207–6219. [Google Scholar] [CrossRef]
- Feng, J.; Zhang, X.; Luo, P.; Li, X.; Du, H. Mineral filling pattern in complex fracture system of carbonate reservoirs: Implications from geochemical modeling of water-rock interaction. Geofluids 2019, 2019, 3420142. [Google Scholar] [CrossRef]
- Galland, G.R.; Hastings, P.A.; Leichter, J.J. Fluctuating thermal environments of shallow-water rocky reefs in the gulf of california, mexico. Sci. Rep. 2019, 9, 18022. [Google Scholar] [CrossRef] [PubMed]
- Beckingham, L.E.; Winningham, L. Critical knowledge gaps for understanding water–rock–working phase interactions for compressed energy storage in porous formations. ACS Sustain. Chem. Eng. 2019, 8, 2–11. [Google Scholar] [CrossRef]
- Yang, W.; Wang, M.; Zhou, Z.; Li, L.; Yuan, Y.; Gao, C. A true triaxial geomechanical model test apparatus for studying the precursory information of water inrush from impermeable rock mass failure. Tunn. Undergr. Space Technol. 2019, 93, 103078. [Google Scholar] [CrossRef]
- Liu, S.; Qi, S.; Luo, Z.; Mapoma, H.W.T.; Chen, Z.; Cheng, S. The origin of high hydrocarbon groundwater in shallow aquifer: Experimental evidences from water-rock interaction. Environ. Sci. Pollut. Res. 2019, 26, 32574–32588. [Google Scholar] [CrossRef] [PubMed]
- Eldrup, M.R.; Andersen, T.L. Extension of shallow water rock armour stability formulae to nonlinear waves. Coast. Eng. 2019, 153, 103536. [Google Scholar] [CrossRef]
- Castendyk, D.N.; Webster-Brown, J.G. Sensitivity analyses in pit lake prediction, martha mine, new zealand 1: Relationship between turnover and input water density. Chem. Geol. 2007, 244, 42–55. [Google Scholar] [CrossRef]
- Simatupang, C.A.; Santhaweesuk, K.; Strezov, V.; Pongkiatkul, P.; Boontanon, N.; Jindal, R.; Boontanon, S.K. Health risk assessment of soil contamination with heavy metals in a child care center co-located in vicinity to small scale industrial area: Case study of thailand. Case Stud. Chem. Environ. Eng. 2024, 9, 100727. [Google Scholar] [CrossRef]
- de Barcelos, A.A.; da Silva Gomes, P.; Ramalho, F.L.; Rocha, H.M.; Cabral, J.B.P.; Paulino, A.T. Environmental impacts due to the behavior of limnological variables in water reservoirs of hydroelectric power plants. Environ. Earth Sci. 2024, 83, 294. [Google Scholar] [CrossRef]
- Okeleji, O.A.; Ioannidou, V.G. Impact of design aspects on iron removal efficiencies from coal mine drainage in full-scale lagoons. Ecol. Eng. 2024, 203, 107255. [Google Scholar] [CrossRef]
- Sanad, H.; Mouhir, L.; Zouahri, A.; Moussadek, R.; El Azhari, H.; Yachou, H.; Ghanimi, A.; Oueld Lhaj, M.; Dakak, H. Assessment of groundwater quality using the pollution index of groundwater (pig), nitrate pollution index (npi), water quality index (wqi), multivariate statistical analysis (msa), and gis approaches: A case study of the mnasra region, gharb plain, morocco. Water 2024, 16, 1263. [Google Scholar] [CrossRef]
- Zhang, G.; Liu, J.; Qian, J.; Zhang, X.; Liu, Z. Review of research progress and stability studies of amine-based biphasic absorbents for CO2 capture. J. Ind. Eng. Chem. 2024, 134, 28–50. [Google Scholar] [CrossRef]
- Malik, S.S.; Loganathachetti, D.S.; Khan, M.A.; Sadaiappan, B.; Mundra, S. Bacterial resistome in different stages of wastewater treatment plant is highly impacted by the abundance of the pseudomonadota community. Bioresour. Technol. Rep. 2024, 26, 101814. [Google Scholar] [CrossRef]
- Bose, S.; Halder, S. Monitoring decadal ecological degradation in kolkata metropolitan area using comprehensive ecological evaluation index: A vision towards sustainable urban planning. Adv. Space Res. 2024, 73, 4634–4650. [Google Scholar] [CrossRef]
- Mohamed, E.S.; Jalhoum, M.E.; Hendawy, E.; El-Adly, A.M.; Nawar, S.; Rebouh, N.Y.; Saleh, A.; Shokr, M.S. Geospatial evaluation and bio-remediation of heavy metal-contaminated soils in arid zones. Front. Environ. Sci. 2024, 12, 1381409. [Google Scholar] [CrossRef]
- Talpur, H.A.; Talpur, S.A.; Mahar, A.; Rosatelli, G.; Baloch, M.Y.J.; Ahmed, A.; Khan, A.H.A. Investigating drinking water quality, microbial pollution, and potential health risks in selected schools of badin city, pakistan. HydroResearch 2024, 7, 248–256. [Google Scholar] [CrossRef]
- Feng, X. Air pollution prediction in context of supervised machine learning and time series model. In Proceedings of the Second International Conference on Statistics, Applied Mathematics, and Computing Science (CSAMCS 2022), Nanjing, China, 25–27 November 2022; pp. 904–912. [Google Scholar]
- Akbari, V.; Datta, A.; Bhowmik, D.; Marino, A.; Kumar, S.; Rupavatharam, S.; Prabhu, G.N.; Kleczkowski, A.; Sujeetha, J.A.R.; Maharaj, S. Multitemporal multispectral drone imagery for water hyacinth mapping in patancheru lake, hyderabad, india. In Proceedings of the Remote Sensing of the Ocean, Sea Ice, Coastal Waters, and Large Water Regions 2022, Berlin, Germany, 6 September 2022; pp. 63–71. [Google Scholar]
- Naangmenyele, Z.; Ncube, S.; Akpabey, F.J.; Dube, S.; Nindi, M.M. Levels and potential health risk of elements in two indigenous vegetables from golinga irrigation farms in the northern region of ghana. J. Food Compos. Anal. 2021, 96, 103750. [Google Scholar] [CrossRef]
- Ahmed, U.; Mumtaz, R.; Anwar, H.; Shah, A.A.; Irfan, R.; García-Nieto, J. Efficient water quality prediction using supervised machine learning. Water 2019, 11, 2210. [Google Scholar] [CrossRef]
- Lamb, K.D. Classification of iron oxide aerosols by a single particle soot photometer using supervised machine learning. Atmos. Meas. Tech. 2019, 12, 3885–3906. [Google Scholar] [CrossRef]
- Di, Z.; Chang, M.; Guo, P.; Li, Y.; Chang, Y. Using real-time data and unsupervised machine learning techniques to study large-scale spatio–temporal characteristics of wastewater discharges and their influence on surface water quality in the yangtze river basin. Water 2019, 11, 1268. [Google Scholar] [CrossRef]
- Vesselinov, V.V.; Alexandrov, B.S.; O’Malley, D. Nonnegative tensor factorization for contaminant source identification. J. Contam. Hydrol. 2019, 220, 66–97. [Google Scholar] [CrossRef]












| Time | Statistical Index | pH | Main Components (mg/L) | |||||||||||||||
|---|---|---|---|---|---|---|---|---|---|---|---|---|---|---|---|---|---|---|
| Na+ | K+ | Ca2+ | Mg2+ | HCO3− | SO42− | Cl− | NO3− | F− | H2SiO3 | Al3+ | Ba | Li+ | Mn2+ | Sr+ | TDS | |||
| Spring | Max | 8.3 | 69.4 | 14.2 | 175 | 84.4 | 1020 | 11.8 | 27.9 | 116 | 1.55 | 82.4 | 0.76 | 0.41 | 0.11 | 0.45 | 0.42 | 1420 |
| Min | 7.3 | 2.76 | 0.70 | 3.62 | 1.63 | 19.50 | 2.34 | 0.67 | 0.38 | 0.01 | 27.8 | 0.04 | 0.001 | 0.005 | 0.0005 | 0.0122 | 68 | |
| Mean | 7.88 | 10.30 | 3.01 | 9.29 | 6.32 | 73.87 | 5.43 | 1.83 | 5.86 | 0.61 | 49.13 | 0.10 | 0.01 | 0.03 | 0.02 | 0.04 | 155.08 |
| Pathway I | Pathway Π | Pathway Γ | ||||||||
|---|---|---|---|---|---|---|---|---|---|---|
| Items | I1–I2 | I2–I3 | Π1–Π2 | Π2–Π3 | Γ1–Γ2 | Γ2–Γ3 | Γ3–Γ4 | Γ4–Γ5 | Γ5–Γ6 | |
| Evaporation Multiple | 1 | 1.67 | 1.03 | 2.14 | 1.05 | 1.9 | 1.3 | 1.5 | 1.2 | |
| Calcite | 0.71 | −0.72 | −0.17 | 0.23 | −2.21 | 2.16 | −0.7 | 0.21 | −0.61 | |
| Quartz | 10.32 | −10.35 | 0.08 | −0.89 | −1.15 | 1.25 | −0.76 | 0.74 | −2.2 | |
| Mineral dissolution and precipitation | Dolomite | 0.74 | −0.8 | −0.35 | 0.38 | −4.09 | 4 | −1.47 | 0.97 | −1.76 |
| Gypsum | 0.38 | −0.42 | −0.04 | −0.2 | −1.34 | 1.39 | −0.76 | −0.02 | −0.41 | |
| Halite | −9.89 | 10.27 | −0.38 | 0.27 | 0.01 | 0.03 | 0.04 | −0.05 | −0.11 | |
| Methodology | ||||||||
|---|---|---|---|---|---|---|---|---|
| som | Statistical Index | pH | Na | K | Ca | Mg | Fe | |
| Max | 2.19 | 4.66 | 4.35 | 7.72 | 6.61 | 5.09 | ||
| Min | −2.99 | −0.56 | −0.86 | −0.25 | −0.39 | −0.44 | ||
| Mean | 0.28 | 0.23 | 0.18 | 0.26 | 0.3 | 0.37 | ||
| HCO3− | SO42− | Cl− | NO3− | F− | H2SiO3 | |||
| Max | 6.92 | 3.36 | 7.47 | 7.35 | 1.96 | 2.59 | ||
| Min | −0.39 | −1.43 | −0.33 | −0.37 | −1.47 | −1.68 | ||
| Mean | 0.29 | 0.29 | 0.25 | 0.2 | 0.08 | 0.04 | ||
| Al | Ba | Li | Mn | Sr | TDS | |||
| Max | 4.03 | 6.54 | 3.19 | −0.28 | −0.43 | −0.43 | ||
| Min | −0.48 | −0.22 | −1.04 | 6.39 | 5.51 | 7 | ||
| Mean | 0.38 | 0.28 | 0.22 | 0.32 | 0.33 | 0.27 | ||
| Hardness | ||||||||
| Max | 7.25 | |||||||
| Min | −0.33 | |||||||
| Mean | 0.29 | |||||||
| Methodology | |||||
|---|---|---|---|---|---|
| PCA | Statistical Index | PC1 | PC2 | PC3 | |
| Max | 16.87 | 5.41 | 7.21 | ||
| Min | −1.52 | −4.27 | −2.5 | ||
| Mean | 0 | 0 | 0 | ||
| Contribution rate | 48.15% | 13.20% | 10.80% | ||
| Methodology | |||||
|---|---|---|---|---|---|
| K | Statistical Index | 0 | 1 | 2 | |
| Quantity | 29 | 2 | 35 | ||
Disclaimer/Publisher’s Note: The statements, opinions and data contained in all publications are solely those of the individual author(s) and contributor(s) and not of MDPI and/or the editor(s). MDPI and/or the editor(s) disclaim responsibility for any injury to people or property resulting from any ideas, methods, instructions or products referred to in the content. |
© 2024 by the authors. Licensee MDPI, Basel, Switzerland. This article is an open access article distributed under the terms and conditions of the Creative Commons Attribution (CC BY) license (https://creativecommons.org/licenses/by/4.0/).
Share and Cite
Liu, Y.; Li, M.; Zhang, Y.; Wu, X.; Zhang, C. Analysis of the Hydrogeochemical Characteristics and Origins of Groundwater in the Changbai Mountain Region via Inverse Hydrogeochemical Modeling and Unsupervised Machine Learning. Water 2024, 16, 1853. https://doi.org/10.3390/w16131853
Liu Y, Li M, Zhang Y, Wu X, Zhang C. Analysis of the Hydrogeochemical Characteristics and Origins of Groundwater in the Changbai Mountain Region via Inverse Hydrogeochemical Modeling and Unsupervised Machine Learning. Water. 2024; 16(13):1853. https://doi.org/10.3390/w16131853
Chicago/Turabian StyleLiu, Yi, Mingqian Li, Ying Zhang, Xiaofang Wu, and Chaoyu Zhang. 2024. "Analysis of the Hydrogeochemical Characteristics and Origins of Groundwater in the Changbai Mountain Region via Inverse Hydrogeochemical Modeling and Unsupervised Machine Learning" Water 16, no. 13: 1853. https://doi.org/10.3390/w16131853
APA StyleLiu, Y., Li, M., Zhang, Y., Wu, X., & Zhang, C. (2024). Analysis of the Hydrogeochemical Characteristics and Origins of Groundwater in the Changbai Mountain Region via Inverse Hydrogeochemical Modeling and Unsupervised Machine Learning. Water, 16(13), 1853. https://doi.org/10.3390/w16131853
