Identifying a Minimum Time Period of Streamflow Recession Records to Analyze the Behavior of Groundwater Storage Systems: A Study in Heterogeneous Chilean Watersheds
Abstract
1. Introduction
2. Materials and Methods
2.1. Study Area
2.2. Recession Flow Analysis
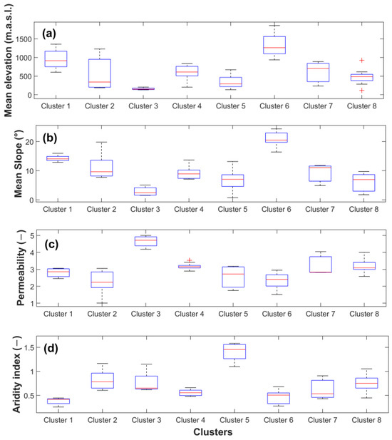
2.3. Clusters
2.4. Estimation of b as a Function of Flow Record Length
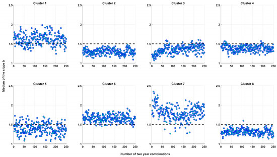
3. Results
4. Discussion
5. Conclusions
Author Contributions
Funding
Data Availability Statement
Acknowledgments
Conflicts of Interest
Appendix A
| Gauge Code | Gauge Latitude (°) | Gauge Longitude (°) | Area (km2) | Record Period | Gauge Code | Gauge Latitude (°) | Gauge Longitude (°) | Area (km2) | Record Period |
|---|---|---|---|---|---|---|---|---|---|
| 6018001 | −34.4 | −71.2 | 1023 | 1985–2019 | 9127001 | −38.6 | −72.4 | 650 | 1950–2019 |
| 9135001 | −38.9 | −72.6 | 1666 | 1929–2019 | 10134001 | −39.6 | −72.9 | 1803 | 1969–2019 |
| 7336001 | −36 | −72.4 | 622 | 1945–2019 | 7350003 | −36.3 | −71.3 | 467 | 1964–2019 |
| 7343001 | −35.8 | −72.1 | 404 | 1981–2019 | 7354002 | −36 | −71.4 | 894 | 1986–2019 |
| 8220001 | −36.8 | −73 | 750 | 1960–2019 | 8123001 | −37.2 | −72.1 | 860 | 1924–2019 |
| 9102001 | −38.2 | −72.9 | 853 | 1947–2019 | 8130002 | −36.9 | −71.6 | 204 | 1946–2019 |
| 7335002 | −36.0 | −72 | 217 | 1968–2019 | 10343001 | −40.9 | −72.7 | 313 | 1987–2019 |
| 7357002 | −35.8 | −71.8 | 7079 | 1967–2019 | 7332001 | −36.2 | −72 | 1209 | 1967–2019 |
| 8343001 | −37.9 | −72.4 | 440 | 1963–2019 | 7335001 | −36.1 | −72.1 | 1687 | 1963–2019 |
| 8351001 | −38 | −72.4 | 415 | 1920–2019 | 8124001 | −36.9 | −72.4 | 1662 | 1956–2019 |
| 9104001 | −38.2 | −72.3 | 94 | 1950–2019 | 8124002 | −37.1 | −72.2 | 1148 | 1957–2019 |
| 9104002 | −38.2 | −72.3 | 393 | 1987–2019 | 8132001 | −36.9 | −72.3 | 1300 | 1956–2019 |
| 9106001 | −38.3 | −72.4 | 277 | 1959–2019 | 8135002 | −36.7 | −72.5 | 4510 | 1956–2019 |
| 9107001 | −38.3 | −72.7 | 854 | 1987–2019 | 8141001 | −36.5 | −72.7 | 10405 | 1985–2019 |
| 9113001 | −38.4 | −72.8 | 710 | 1959–2019 | 8342001 | −37.9 | −72.4 | 688 | 1982–2019 |
| 8134003 | −36.7 | −72.4 | 636 | 1985–2019 | 9134001 | −38.9 | −72.3 | 348 | 1985–2019 |
| 8317002 | −37.8 | −71.9 | 103 | 1942–2019 | 9140001 | −38.8 | −72.9 | 5547 | 1965–2019 |
| 9434001 | −39.1 | −72.7 | 770 | 1947–2019 | 7116001 | −35.2 | −71.1 | 367 | 1963–2019 |
| 10356001 | −40.7 | −73.2 | 2280 | 1986–2019 | 7123001 | −35 | −72 | 5700 | 1987–2019 |
| 10362001 | −40.6 | −73.1 | 467 | 1986–2019 | 7330001 | −36.4 | −71.6 | 502 | 1930–2019 |
| 10411002 | −41.4 | −73.1 | 253 | 1989–2019 | 7350001 | −36.2 | −71.5 | 669 | 1937–2019 |
| 9116001 | −38.6 | −72.8 | 5048 | 1929–2019 | 7374001 | −35.5 | −71.3 | 382 | 1961–2019 |
| 9433001 | −39.2 | −72.7 | 153 | 1947–2019 | 8323002 | −37.6 | −72 | 818 | 1941–2019 |
| 9436001 | −39.1 | −72.9 | 384 | 1987–2019 | 9437002 | −39 | −73.1 | 7927 | 1990–2019 |
| 10121001 | −39.9 | −72.8 | 626 | 1987–2019 | 10364001 | −40.5 | −73.3 | 5603 | 1986–2019 |
| 10137001 | −39.7 | −73 | 539 | 1928–2019 | 11302001 | −45.2 | −72.1 | 1997 | 1980–2019 |
| 7339001 | −35.9 | −72.1 | 1637 | 1986–2019 | 6027001 | −34.7 | −70.9 | 349 | 1970–2019 |
| 7359001 | −35.6 | −71.8 | 9924 | 1975–2019 | 7103001 | −35 | −70.8 | 354 | 1929–2019 |
| 8358001 | −37.7 | −72.6 | 2537 | 1964–2019 | 8104001 | −36.7 | −71.3 | 607 | 1966–2019 |
| 12582001 | −53.7 | −71 | 864 | 1970–2019 | 9122002 | −38.5 | −71.9 | 171 | 1986–2019 |
| 7383001 | −35.4 | −72.2 | 20515 | 1985–2019 | 9123001 | −38.4 | −72 | 1306 | 1929–2019 |
| 8304001 | −38.4 | −71.2 | 467 | 1985–2019 | 9404001 | −39 | −72.2 | 1675 | 1946–2019 |
| 9129002 | −38.7 | −72.5 | 2756 | 1949–2019 | 10306001 | −40.3 | −72.2 | 309 | 1987–2019 |
| 9412001 | −39.4 | −71.6 | 357 | 1968–2019 | 9416001 | −39.3 | −71.8 | 349 | 1971–2019 |
| 9414001 | −39.3 | −71.8 | 1379 | 1970–2019 | 10102001 | −39.7 | −71.8 | 368 | 1986–2019 |
| 12600001 | −52 | −71.9 | 504 | 1981–2019 | 10304001 | −40.3 | −72.3 | 1726 | 1986–2019 |
References
- Carling, G.T.; Mayo, A.L.; Tingey, D.; Bruthans, J. Mechanisms, timing, and rates of arid región mountain front recharge. J. Hydrol. 2012, 428–429, 15–31. [Google Scholar] [CrossRef]
- Kao, Y.H.; Liu, C.W.; Wang, S.W.; Lee, C.H. Estimating mountain block recharge to downstream alluvial aquifers from standard methods. J. Hydrol. 2012, 426–427, 93–102. [Google Scholar] [CrossRef]
- Marchant, B.P.; Cuba, D.; Brauns, B.; Bloomfield, J.P. Temporal interpolation of groundwater level hydrographs for regional drought analysis using mixed models. Hydrogeol. J. 2022, 30, 1801–1817. [Google Scholar] [CrossRef]
- Marti, E.; Leray, S.; Villela, D.; Maringue, J.; Yáñez, G.; Salazar, E.; Poblete, F.; Jimenez, J.; Reyes, G.; Poblete, P.; et al. Unravelling geological controls on groundwater flow and surface water-groundwater interaction in mountain systems: A multi-disciplinary approach. J. Hydrol. 2023, 623, 129786. [Google Scholar] [CrossRef]
- Srzić, V.; Lovrinović, I.; Racetin, I.; Pletikosić, F. Hydrogeological Characterization of Coastal Aquifer on the Basis of Observed Sea Level and Groundwater Level Fluctuations: Neretva Valley Aquifer, Croatia. Water 2020, 12, 348. [Google Scholar] [CrossRef]
- Killian, C.D.; Asquith, W.H.; Barlow, J.R.B.; Bent, G.C.; Kress, W.H.; Barlow, P.M.; Schmitz, D.W. Characterizing groundwater and surface-water interaction using hydrograph-separation techniques and groundwater-level data throughout the Mississippi Delta, USA. Hydrogeol. J. 2019, 27, 2167–2179. [Google Scholar] [CrossRef]
- Wu, R.S.; Hussain, F.; Lin, Y.C.; Yeh, T.Y.; Yu, K.C. Characterization of Regional Groundwater System Based on Aquifer Response to Recharge–Discharge Phenomenon and Hierarchical Clustering Analysis. Water 2021, 13, 2535. [Google Scholar] [CrossRef]
- Sandoval, E.; Baldo, G.; Núñez, J.; Oyarzún, J.; Fairley, J.P.; Ajami, H.; Arumí, J.L.; Aguirre, E.; Maturana, H.; Oyarzún, R. Groundwater recharge assessment in a rural, arid, mid-mountain basin in North-Central Chile. Hydrol. Sci. J. 2018, 63, 1873–1889. [Google Scholar] [CrossRef]
- Blarasin, M.; Matiatos, I.; Cabrera, A.; Lutri, V.; Giacobone, D.; Becher Quinodoz, F.; Matteoda, E.; Eric, C.; Felizzia, J.; Giuliano Albo, J. Characterization of groundwater dynamics and contamination in an unconfined aquifer using isotope techniques to evaluate domestic supply in an urban area. J. S. Am. Earth Sci. 2021, 10, 103360. [Google Scholar] [CrossRef]
- Ghani, J.; Ullah, Z.; Nawab, J.; Iqbal, J.; Waqas, M.; Ali, A.; Almutairi, M.H.; Peluso, I.; Mohamed, H.R.H.; Shah, M. Hydrogeochemical Characterization, and Suitability Assessment of Drinking Groundwater: Application of Geostatistical Approach and Geographic Information System. Front. Environ. Sci. 2022, 10, 874464. [Google Scholar] [CrossRef]
- Tajwar, M.; Uddin, A.; Lee, M.K.; Nelson, J.; Zahid, A.; Sakib, N. Hydrochemical Characterization and Quality Assessment of Groundwater in Hatiya Island, Southeastern Coastal Region of Bangladesh. Water 2023, 15, 905. [Google Scholar] [CrossRef]
- Christensen, C.W.; Hayashi, M.; Bentley, L.R. Hydrogeological characterization of an alpine aquifer system in the Canadian Rocky Mountains. Hydrogeol. J. 2020, 28, 1871–1890. [Google Scholar] [CrossRef] [PubMed]
- Sendrós, A.; Himi, M.; Lovera, R.; Rivero, L.; Garcia-Artigas, R.; Urruela, A.; Casas, A. Geophysical Characterization of Hydraulic Properties around a Managed Aquifer Recharge System over the Llobregat River Alluvial Aquifer (Barcelona Metropolitan Area). Water 2020, 12, 3455. [Google Scholar] [CrossRef]
- Chen, H.; Teegavarapu, R.S.V. Comparative Analysis of Four Baseflow Separation Methods in the South Atlantic-Gulf Region of the U.S. Water 2020, 12, 120. [Google Scholar] [CrossRef]
- Zhang, Y.; He, Y.; Mu, X.; Jia, L.; Li, Y. Base-flow segmentation and character analysis of the Huangfuchuan Basin in the middle reaches of the Yellow River, China. Front. Environ. Sci. 2022, 10, 831122. [Google Scholar] [CrossRef]
- Lin, K.; Yeh, H. Baseflow recession characterization and groundwater storage trends in northern Taiwan. Hydrol. Res. 2017, 48, 1745–1756. [Google Scholar] [CrossRef]
- Parra, V.; Arumí, J.L.; Muñoz, E.I. Characterization of the Groundwater Storage Systems of South-Central Chile: An Approach Based on Recession Flow Analysis. Water 2019, 11, 1506. [Google Scholar] [CrossRef]
- Yan, H.; Hu, H.; Liu, Y.; Tudaji, M.; Yang, T.; Wei, Z.; Chen, L.; Ali Khan, M.Y.; Chen, Z. Characterizing the groundwater storage–discharge relationship of small catchments in China. Hydrol. Res. 2022, 53, 782–794. [Google Scholar] [CrossRef]
- Yi, W.; Feng, Y.; Liang, S.; Kuang, X.; Yan, D.; Wan, L. Increasing annual streamflow and groundwater storage in response to climate warming in the Yangtze River source region. Environ. Res. 2021, 16, 084011. [Google Scholar] [CrossRef]
- Mouakoumbat, N.; Gampio, U.; Nkaya, G.; Ebotehouna, C.; Ondon, A.; Niere, R. Hydrogeological Characterization and Approach to a Conceptual Model of the Aquifer of the Cuvette Basin, Republic of Congo. Int. J. Geosci. 2022, 13, 997–1023. [Google Scholar] [CrossRef]
- Chenini, I.; Msaddek, M.H.; Dlala, M. Hydrogeological characterization and aquifer recharge mapping for groundwater resources management using multicriteria analysis and numerical modeling: A case study from Tunisia. J. Afr. Earth Sci. 2019, 154, 59–69. [Google Scholar] [CrossRef]
- Fuentes-Arreazola, M.A.; Ramírez-Hernández, J.; Vázquez-González, R. Hydrogeological Properties Estimation from Groundwater Level Natural Fluctuations Analysis as a Low-Cost Tool for the Mexicali Valley Aquifer. Water 2018, 10, 586. [Google Scholar] [CrossRef]
- de Barros, F.P.J.; Ezzedine, S.; Rubin, Y. Impact of hydrogeological data on measures of uncertainty, site characterization and environmental performance metrics. Adv. Water Resour. 2012, 36, 51–63. [Google Scholar] [CrossRef]
- Cooper, M.; Zhou, T. baseflow: A MATLAB and GNU Octave package for baseflow recession analysis. J. Open Source Softw. 2023, 8, 5492. [Google Scholar] [CrossRef]
- Brutsaert, W.; Nieber, J.L. Regionalized drought flow hydrographs from a mature glaciated plateau. Water Resour. Res. 1977, 13, 637–643. [Google Scholar] [CrossRef]
- Kirchner, J.W. Catchments as simple dynamical systems: Catchment characterization, rainfall-runoff modeling, and doing hydrology backward. Water Resour. Res. 2009, 45, W02429. [Google Scholar] [CrossRef]
- Ye, S.; Li, H.; Huang, M.; Ali, M.; Leng, G.; Leung, L.R.; Sivapalan, M. Regionalization of subsurface stormflow parameters of hydrologic models: Derivation from regional analysis of streamflow recession curves. J. Hydrol. 2014, 519, 670–682. [Google Scholar] [CrossRef]
- Parra, V.; Muñoz, E.; Arumí, J.L.; Medina, Y. Analysis of the Behavior of Groundwater Storage Systems at Different Time Scales in Basins of South Central Chile: A Study Based on Flow Recession Records. Water 2023, 15, 2503. [Google Scholar] [CrossRef]
- Santos, A.C.; Portela, M.M.; Rinaldo, A.; Schaefli, B. Estimation of streamflow recession parameters: New insights from an analytic streamflow distribution model. Hydrol. Process. 2019, 33, 1595–1609. [Google Scholar] [CrossRef]
- Karlsen, R.H.; Bishop, K.; Grabs, T.; Ottosson-Löfvenius, M.; Laudon, H.; Seibert, J. The role of landscape properties, storage and evapotranspiration on variability in streamflow recessions in a boreal catchment. J. Hydrol. 2019, 570, 315–328. [Google Scholar] [CrossRef]
- Tashie, A.; Pavelsky, T.; Band, L.E. An empirical reevaluation of streamflow recession analysis at the continental scale. Water Resour. Res. 2020, 56, e2019WR025448. [Google Scholar] [CrossRef]
- Li, H.; Ameli, A. A statistical approach for identifying factors governing streamflow recession behavior. Hydrol. Process. 2022, 36, e14718. [Google Scholar] [CrossRef]
- SERNAGEOMIN. Mapa Geológico de Chile: Versión Digital. Servicio Nacional de Geología y Minería; Publicación Geológica Digital: Santiago, Chile, 2003. [Google Scholar]
- Voeckler, H.; Allen, D.M. Estimating regional-scale fractured bedrock hydraulic conductivity using discrete fracture network (DFN) modeling. Hydrogeol. J. 2012, 20, 1081–1100. [Google Scholar] [CrossRef]
- Alvarez-Garreton, C.; Mendoza, P.A.; Boisier, J.P.; Addor, N.; Galleguillos, M.; Zambrano-Bigiarini, M.; Lara, A.; Puelma, C.; Cortes, G.; Garreaud, R.; et al. The CAMELS-CL dataset: Catchment attributes and meteorology for large sample studies—Chile dataset. Hydrol. Earth Syst. Sci. 2018, 22, 5817–5846. [Google Scholar] [CrossRef]
- Roques, C.; Rupp, D.; Selker, J. Improved streamflow recession parameter estimation with attention to calculation of −dQ/dt. Adv. Water Resour. 2017, 108, 29–43. [Google Scholar] [CrossRef]
- Kim, M.; Bauser, H.H.; Beven, K.; Troch, P.A. Time-variability of flow recession dynamics: Application of machine learning and learning from the machine. Water Resour. Res. 2023, 59, e2022WR032690. [Google Scholar] [CrossRef]
- Parra, V.; Muñoz, E.; Arumí, J.L.; Paredes, J. Análisis de la interacción de aguas superficiales y subterráneas en una cuenca volcánica andina, Chile. Tecnol. Cienc. Agua 2020, 11, 303–320. [Google Scholar] [CrossRef]
- Taucare, M.; Viguier, B.; Daniele, L.; Heuser, G.; Arancibia, G.; Leonardi, V. Connectivity of fractures and groundwater flows analyses into the Western Andean Front by means of a topological approach (Aconcagua Basin, Central Chile). Hydrogeol. J. 2020, 28, 2429–2438. [Google Scholar] [CrossRef]
- Hafidz, A.; Kinoshita, N.; Yasuhara, H. Effect of permeants on fracture permeability in granite under hydrothermals conditions. Rock Mech. Bull. 2022, 1, 100007. [Google Scholar] [CrossRef]
- Uribe, H.; Arumí, J.L.; González, M.; Salgado, L. Groundwater recharges using hydrological balances in the central drylands of Chile. Ingeniería Hidráulica en México 2003, 18, 17–28. [Google Scholar]
- Jachens, E.R.; Roques, C.; Rupp, D.E.; Selker, J.S. Streamflow recession analysis using water height. Water Resour. Res. 2020, 56, e2020WR027091. [Google Scholar] [CrossRef]
- Garreaud, R.D.; Boisier, J.P.; Rondanelli, R.; Montecinos, A.; Sepúlveda, H.H.; Veloso-Aguila, D. The Central Chile Mega Drought (2010–2018): A climate dynamics perspective. Int. J. Climatol. 2020, 40, 421–439. [Google Scholar] [CrossRef]
- Lee, S.; Ajami, H. Comprehensive assessment of baseflow responses to long-term meteorological droughts across the United States. J. Hydrol. 2023, 626 Pt A, 130256. [Google Scholar] [CrossRef]
- Trotter, L.; Saft, M.; Peel, M.C.; Fowler, K.J.A. Recession constants are non-stationary: Impacts of multi-annual drought on catchment recession behaviour and storage dynamics. J. Hydrol. 2024, 630, 130707. [Google Scholar] [CrossRef]
- Jódar, J.; Urrutia, J.; Herrera, C.; Custodio, C.; Martos-Rosillo, S.; Lambán, L.J. The catastrophic effects of groundwater intensive exploitation and Megadrought on aquifers in Central Chile: Global change impact projections in water resources based on groundwater balance modeling. Sci. Total Environ. 2024, 914, 169651. [Google Scholar] [CrossRef] [PubMed]
- Taucare, M.; Viguier, B.; Figueroa, R.; Daniele, L. The alarming state of Central Chile’s groundwater resources: A paradigmatic case of a lasting overexploitation. Sci. Total Environ. 2024, 906, 167723. [Google Scholar] [CrossRef]
- Alvarez-Garreton, C.; Boisier, J.P.; Garreaud, R.; González, J.; Rondanelli, R.; Gayó, E.; Zambrano-Bigiarini, M. HESS Opinions: The unsustainable use of groundwater conceals a “Day Zero”. Hydrol. Earth Syst. Sci. 2024, 28, 1605–1616. [Google Scholar] [CrossRef]






Disclaimer/Publisher’s Note: The statements, opinions and data contained in all publications are solely those of the individual author(s) and contributor(s) and not of MDPI and/or the editor(s). MDPI and/or the editor(s) disclaim responsibility for any injury to people or property resulting from any ideas, methods, instructions or products referred to in the content. |
© 2024 by the authors. Licensee MDPI, Basel, Switzerland. This article is an open access article distributed under the terms and conditions of the Creative Commons Attribution (CC BY) license (https://creativecommons.org/licenses/by/4.0/).
Share and Cite
Parra, V.; Muñoz, E.; Arumí, J.L.; Medina, Y.; Clasing, R. Identifying a Minimum Time Period of Streamflow Recession Records to Analyze the Behavior of Groundwater Storage Systems: A Study in Heterogeneous Chilean Watersheds. Water 2024, 16, 1741. https://doi.org/10.3390/w16121741
Parra V, Muñoz E, Arumí JL, Medina Y, Clasing R. Identifying a Minimum Time Period of Streamflow Recession Records to Analyze the Behavior of Groundwater Storage Systems: A Study in Heterogeneous Chilean Watersheds. Water. 2024; 16(12):1741. https://doi.org/10.3390/w16121741
Chicago/Turabian StyleParra, Víctor, Enrique Muñoz, José Luis Arumí, Yelena Medina, and Robert Clasing. 2024. "Identifying a Minimum Time Period of Streamflow Recession Records to Analyze the Behavior of Groundwater Storage Systems: A Study in Heterogeneous Chilean Watersheds" Water 16, no. 12: 1741. https://doi.org/10.3390/w16121741
APA StyleParra, V., Muñoz, E., Arumí, J. L., Medina, Y., & Clasing, R. (2024). Identifying a Minimum Time Period of Streamflow Recession Records to Analyze the Behavior of Groundwater Storage Systems: A Study in Heterogeneous Chilean Watersheds. Water, 16(12), 1741. https://doi.org/10.3390/w16121741

