The Influence of Different Working Fluid Temperatures on the Hydraulic Performance of Magnetic Vortex Pumps
Abstract
1. Introduction
2. Numerical Methods and Experimental Design
2.1. Selection of Working Fluid and Physical Properties
2.2. Magnetic Vortex Pump Modeling and Structural Parameters
2.3. Computational Grid and Independence Validation
2.4. Turbulence Model and Calculation Setup
2.5. Test Design
3. Results and Analysis
3.1. Verification of Numerical Calculations
3.2. Analysis of External Characteristics under Different Working Fluid Temperatures
3.3. Pressure and Velocity Distribution in the Internal Flow Field
3.4. Analysis of Radial Clearance Leakage Flow at Different Working Fluid Temperatures
3.5. Energy Distribution and Vorticity Comparison in the Internal Flow Field
3.5.1. Energy Distribution in the Internal Flow Field
3.5.2. Analysis of Vorticity and Intensity at Different Working Fluid Temperatures
4. Conclusions
- As the working fluid temperature increases, both the head curve and efficiency curve of the magnetic vortex pump rise to varying degrees. At the design flow rate, compared to normal conditions (20 °C), the head increases by 16.7% and the pump efficiency increases by 4.11% at 90 °C. Conversely, when the fluid temperature drops to −30 °C, the head is only 16.8% of that at normal conditions, and the pump efficiency decreases by 24.82%. This indicates that low working fluid temperatures have a significantly negative impact on the hydraulic performance of a magnetic vortex pump, providing valuable insights for designing the working fluid temperature range of magnetic vortex pumps.
- For a 60% ethylene glycol–water solution, the head differences at the same flow rate across different working fluid temperatures are positively correlated with the differences in dynamic viscosity at those temperatures when the working fluid temperature is above −10 °C. This result offers an important basis for evaluating the hydraulic performance of magnetic vortex pumps when transporting automotive antifreeze at various temperatures.
- Qualitative and quantitative analyses of the radial clearance flow in the vortex pump reveal flow separation at the inlet. As the working fluid temperature rises, the interference of the separation flow with the incoming flow intensifies. The changes in average pressure energy at the inlet across different working fluid temperatures indicate that radial clearance flow interference negatively impacts the energy accumulation of the fluid within the pump. These findings provide critical references for further optimization of the hydraulic performance of magnetic vortex pumps.
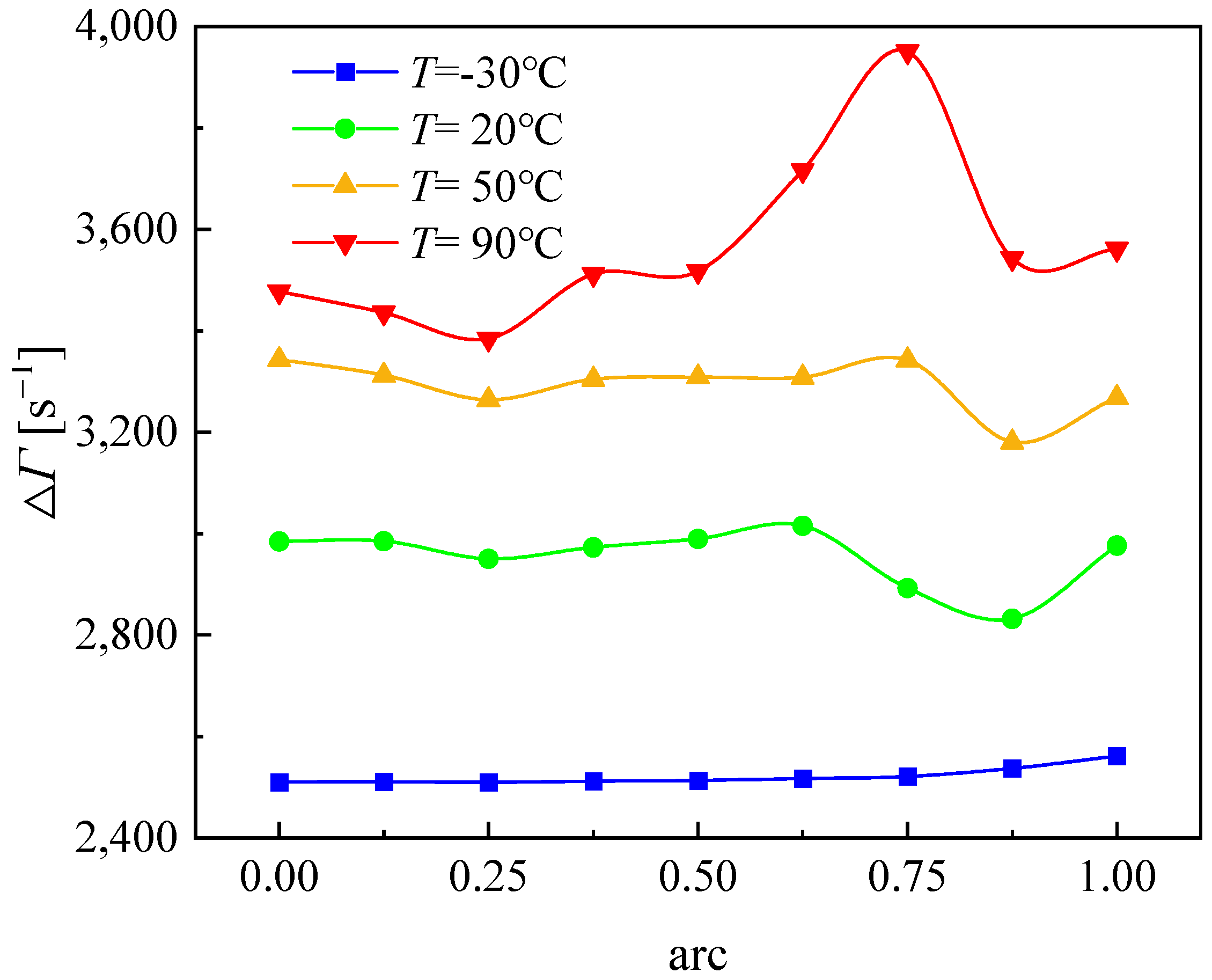
- As the working fluid temperature increases, the scale and magnitude of the vorticity distribution within the internal flow field gradually expand. At lower working fluid temperatures, the higher dynamic viscosity of the fluid significantly increases the viscous forces between fluids at the same velocity gradient, inhibiting high-intensity momentum exchange. With rising fluid temperatures, both the dynamic viscosity and density of the fluid decrease, leading to larger and more intense vortices in the internal flow field at the same flow rate. These vortices facilitate thorough momentum exchange within the flow channels, thereby improving the head and efficiency of the magnetic vortex pump. Understanding the impact of the working fluid temperature on the hydraulic performance of magnetic vortex pumps lays the groundwork for subsequent structural optimization during variable-temperature transportation and flow control research under extreme-temperature conditions.
Author Contributions
Funding
Data Availability Statement
Conflicts of Interest
References
- Wang, S.; Li, H.; Fu, J.; Li, B. Design of vortex pump for aero-engine. Sci. Technol. Eng. 2012, 12, 1301–1303+1333. [Google Scholar]
- Quail, F.J. A CFD Analysis of a Regenerative Pump; University of Strathclyde: Glasgow, UK, 2007. [Google Scholar]
- Zhang, F.; Bohle, M.; Pei, J.; Yan, S.Q.; Fleder, A. Research status and development trend of side channel pump. J. Drain. Irrig. Mach. Eng. 2015, 33, 737–743. [Google Scholar]
- Kumar, M.; Venkateshwaran, A.; Kumar, M.; Sreekanth, M.; Jebaseelan, D.; Sivakumar, R. Strength analysis of a regenerative flow compressor and a pump based on fluid-structure coupling. Mater. Today 2022, 51, 1619–1624. [Google Scholar] [CrossRef]
- Meakhall, T.; Park, S.O. An improved theory for regenerative pump performance. Proc. Inst. Mech. Eng. Part A 2005, 219, 213–222. [Google Scholar] [CrossRef]
- Ritter, C. Ueber Selbstansaugende Kreiselpumpen und Versuche an einer neuen Pumpe dieser; TU Dresden: Dresden, Germany, 1930. [Google Scholar]
- Quail, F.J.; Scanlon, T.; Baumgartner, A. Design study of a regenerative pump using one-dimensional and three-dimensional numerical techniques. Eur. J. Mech. B 2012, 31, 181–187. [Google Scholar] [CrossRef]
- Yoo, I.S.; Park, M.R.; Chung, M.K. Improved Momentum Exchange Theory for Incompressible Regenerative Turbomachines. Proc. Inst. Mech. Eng. Part A 2005, 219, 567–582. [Google Scholar] [CrossRef]
- Verma, R.; Shukla, S.; Birajdar, R.; Tiwari, N. Numerical Simulation of Regenerative Pump. In Fluid Mechanics and Fluid Power–Contemporary Research: Proceedings of the 5th International and 41st National Conference on FMFP 2014; Springer: Delhi, India, 2017; pp. 891–900. [Google Scholar]
- Shi, W.; Dong, Y.; Ma, X.; Sha, Y.; Kong, F. Numerical simulation of the influence of channel section shape on the internal flow of vortex pump. Trans. Chin. Soc. Agric. Eng. 2005, 3, 21–23. [Google Scholar]
- Isaev, N. The effect of design parameters of the closed type regenerative pump the energy characteristics. Proc. IOP Conf. Ser. Mater. Sci. Eng. 2019, 492, 012026. [Google Scholar] [CrossRef]
- Choi, W.C.; Yoo, I.S.; Park, M.R.; Chung, M.K. Experimental study on the effect of blade angle on regenerative pump performance. Proc. Inst. Mech. Eng. Part A 2013, 227, 585–592. [Google Scholar] [CrossRef]
- Maity, A.; Chandrashekharan, V.; Afzal, M.W. Experimental and numerical investigation of regenerative centrifugal pump using CFD for performance enhancement. Int. J. Curr. Eng. Technol. 2015, 5, 2898–2903. [Google Scholar]
- Nejad, J.; Riasi, A.; Nourbakhsh, A. Nourbakhsh, Parametric study and performance improvement of regenerative flow pump considering the modification in blade and casing geometry. Int. J. Numer. Methods Heat Fluid Flow 2017, 27, 1887–1906. [Google Scholar] [CrossRef]
- Nejadrajabali, J.; Riasi, A.; Nourbakhsh, S.A. Flow pattern analysis and performance improvement of regenerative flow pump using blade geometry modification. Int. J. Rotating Mach. 2016, 77, 8628467. [Google Scholar] [CrossRef]
- Fleder, A.; Böhle, M. A Systematical Study of the Influence of Blade Length, Blade Width, and Side Channel Height on the Performance of a Side Channel Pump. J. Fluids Eng. Trans. ASME 2015, 137, 121102. [Google Scholar] [CrossRef]
- Karanth, V.K.; Manjunath, M.S.; Kumar, S.; Sharma, N.Y. Numerical study of a self priming regenerative pump for improved performance using geometric modifications. J. Fluids Eng. 2015, 5, 104–109. [Google Scholar]
- Li, J.S.; Zhou, F.B.; Zhang, Y.F.; Zhang, D.; Liu, C.; Kang, J.H.; Li, N.; Pan, S.L. Effect of working fluid temperature on energy dissipation characteristics of liquid ring vacuum pump. Appl. Therm. Eng. 2024, 236, 121469. [Google Scholar] [CrossRef]
- Chao, Q.; Xu, Z.; Tao, J.F.; Liu, C.L.; Zhai, J. Cavitation in a high-speed aviation axial piston pump over a wide range of fluid temperatures. Proc. Inst. Mech. Eng. Part A 2022, 236, 727–737. [Google Scholar] [CrossRef]
- Peralta, P.; Wellerdieck, T.; Steinert, D.; Nussbaumer, T.; Kolar, J.W. Ultra-High Temperature (250 °C) Bearingless Permanent Magnet Pump for Aggressive Fluids. IEEE/ASME Trans. Mechatron. 2017, 22, 2392–2394. [Google Scholar] [CrossRef]
- Sojoudi, A.; Nourbakhsh, A.; Shokouhmand, H. Establishing a Relationship between Hydraulic Efficiency and Temperature Rise in Centrifugal Pumps: Experimental Study. J. Hydraul. Eng. 2018, 144, 04018011. [Google Scholar] [CrossRef]
- Jiang, J.; Li, Y.H.; Pei, C.Y.; Li, L.L.; Fu, Y.; Cheng, H.G.; Sun, Q.Q. Cavitation performance of high-speed centrifugal pump with annular jet and inducer at different temperatures and void fractions. J. Hydrodyn. 2019, 31, 93–101. [Google Scholar] [CrossRef]
- Sojoudi, A.; Nourbakhsh, A.; Shokouhmand, H. Experimental evaluation of temperature rise in centrifugal pumps at partial flow rates. J. Braz. Soc. Mech. Sci. Eng. 2018, 40, 183. [Google Scholar] [CrossRef]
- Wu, K.P.; Ali, A.; Feng, C.H.; Si, Q.R.; Chen, Q.; Shen, C.H. Numerical Study on the Cavitation Characteristics of Micro Automotive Electronic Pumps under Thermodynamic Effect. Micromachines 2022, 13, 1063. [Google Scholar] [CrossRef] [PubMed]
- Li, W.; Wu, P.; Yang, Y.F.; Shi, W.D.; Li, W.Q. Investigation of the cavitation performance in an engine cooling water pump at different temperature. Proc. Inst. Mech. Eng. Part A 2021, 235, 1094–1102. [Google Scholar] [CrossRef]
- Li, D.L.; Li, G.Q.; Han, J.H.; Liu, Y.S.; Wu, D.F. Thermodynamic characteristics research of a water lubricating axial piston pump. Proc. Inst. Mech. Eng. Part C 2020, 234, 3873–3889. [Google Scholar] [CrossRef]
- Ji, L.L.; Li, W.; Shi, W.D.; Chang, H.; Yang, Z.Y. Energy Characteristics of Mixed-Flow Pump under Different Tip Clearances Based on Entropy Production Analysis. Energy 2020, 199, 1–15. [Google Scholar] [CrossRef]
- Ji, L.L.; Li, W.; Shi, W.D.; Tian, F.; Agarwal, R. Effect of Blade Thickness on Rotating Stall of Mixed-Flow Pump Using Entropy Generation Analysis. Energy 2021, 236, 121381. [Google Scholar] [CrossRef]


















| Temperature | Density | Specific Heat | Thermal Conductivity | Dynamic Viscosity |
|---|---|---|---|---|
| T/°C | ρ/kg·m−3 | Cp/J·kg−1·K−1 | K/W·m−1·K−1 | μ/kg·m−1·s−1 |
| −30 | 1103.54 | 2866 | 0.312 | 0.06525 |
| −10 | 1098.09 | 2953 | 0.329 | 0.01962 |
| 20 | 1086.27 | 3084 | 0.349 | 0.00538 |
| 50 | 1070.06 | 3215 | 0.365 | 0.00216 |
| 70 | 1056.83 | 3302 | 0.372 | 0.00135 |
| 90 | 1041.65 | 3389 | 0.377 | 0.00092 |
| Parameter | Design Flow | Impeller Speed | Impeller Diameter | Number of Leaves | Inlet Diameter | Outlet Diameter |
|---|---|---|---|---|---|---|
| Symbol | Q | n | D | Z | Din | Dout |
| Unit | m3·h−1 | rad·min−1 | mm | unit | mm | mm |
| Value | 1.5 | 2800 | 61.5 | 40 | 14.8 | 14.8 |
Disclaimer/Publisher’s Note: The statements, opinions and data contained in all publications are solely those of the individual author(s) and contributor(s) and not of MDPI and/or the editor(s). MDPI and/or the editor(s) disclaim responsibility for any injury to people or property resulting from any ideas, methods, instructions or products referred to in the content. |
© 2024 by the authors. Licensee MDPI, Basel, Switzerland. This article is an open access article distributed under the terms and conditions of the Creative Commons Attribution (CC BY) license (https://creativecommons.org/licenses/by/4.0/).
Share and Cite
Cheng, Y.; Li, W.; Ma, S.; Ji, L.; Xiao, C.; Li, Y. The Influence of Different Working Fluid Temperatures on the Hydraulic Performance of Magnetic Vortex Pumps. Water 2024, 16, 1601. https://doi.org/10.3390/w16111601
Cheng Y, Li W, Ma S, Ji L, Xiao C, Li Y. The Influence of Different Working Fluid Temperatures on the Hydraulic Performance of Magnetic Vortex Pumps. Water. 2024; 16(11):1601. https://doi.org/10.3390/w16111601
Chicago/Turabian StyleCheng, Yijia, Wei Li, Sizhuo Ma, Leilei Ji, Cui Xiao, and Yongkang Li. 2024. "The Influence of Different Working Fluid Temperatures on the Hydraulic Performance of Magnetic Vortex Pumps" Water 16, no. 11: 1601. https://doi.org/10.3390/w16111601
APA StyleCheng, Y., Li, W., Ma, S., Ji, L., Xiao, C., & Li, Y. (2024). The Influence of Different Working Fluid Temperatures on the Hydraulic Performance of Magnetic Vortex Pumps. Water, 16(11), 1601. https://doi.org/10.3390/w16111601

