Study on the Effect Mechanism of Inlet Pre-Swirl on Pressure Pulsation within a Mixed-Flow Centrifugal Pump
Abstract
1. Introduction
2. Geometry and Parameters
3. Numerical Modeling
3.1. Model Building
3.2. Governing Equations and Boundary Conditions
3.3. Grid and Irrelevance Analysis
3.4. Monitoring Points Arrangement
4. Results and Discussion
4.1. Pump Performance Validation
4.2. Flow Field Pattern within Impeller and Chamber
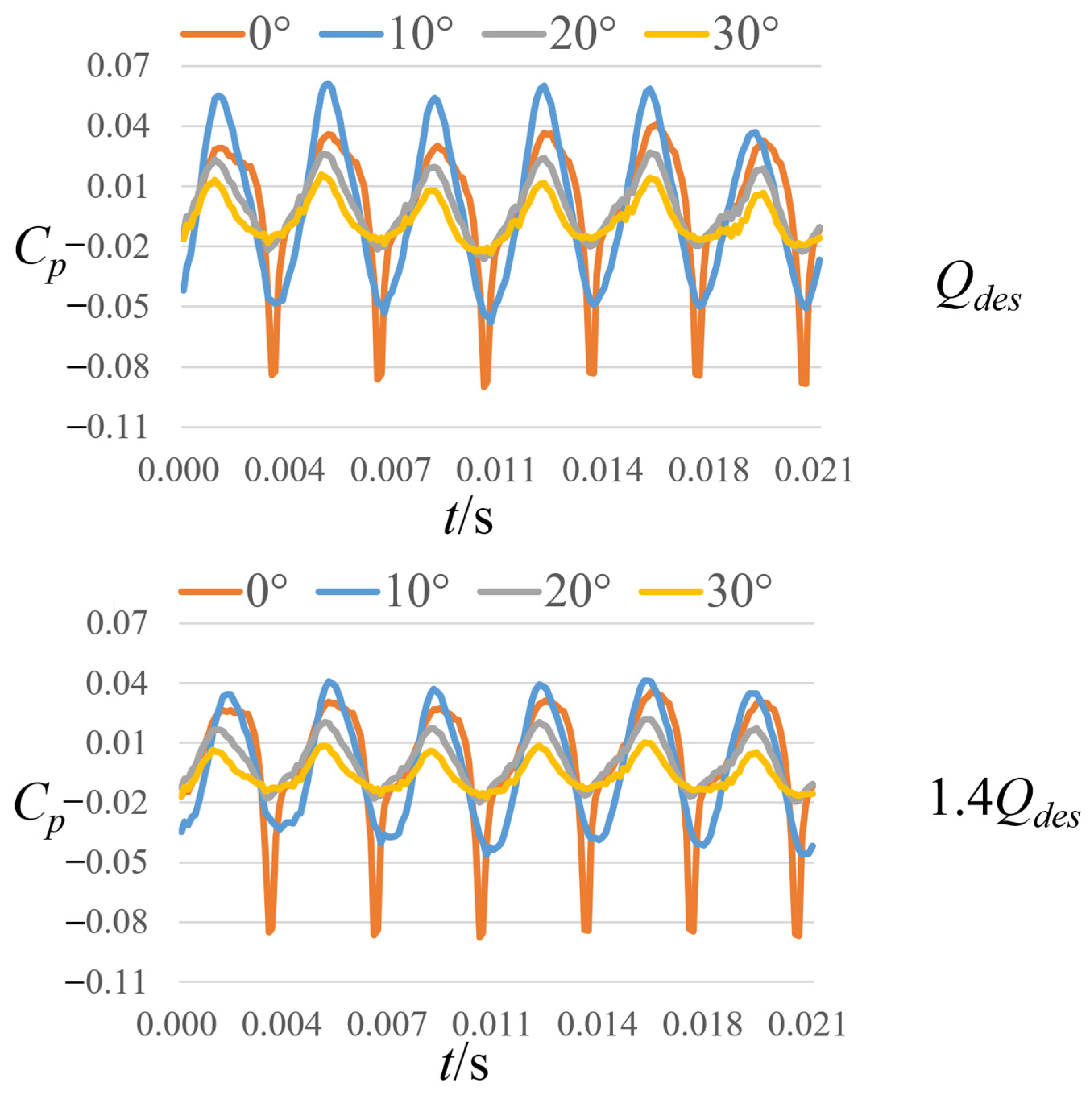
4.3. Comparative Analysis of Pressure Pulsation
5. Conclusions
Author Contributions
Funding
Data Availability Statement
Conflicts of Interest
Nomenclature
| Symbols | |
| Q | flow rate, m3/h |
| n | rotational speed, r/min |
| H | head, m |
| ns | specific speed |
| Z1 | number of impeller blade |
| Z2 | number of diffuser vane |
| Din | diameter of inlet, mm |
| DShr | diameter of shroud, mm |
| DHub | diameter of hub, mm |
| DOut | diameter of outlet, mm |
| Dout1 | diameter of outlet outer, mm |
| DOut2 | diameter of outlet inner, mm |
| bOut | width of outlet, mm |
| k | turbulent kinetic energy, m2/s2 |
| ω | turbulent eddy frequency, s−1 |
| ε | turbulent dissipation rate, m2/s3 |
| vt | turbulent viscosity, m2/s |
| F1, F2 | blending function |
| S | vorticity, s−1 |
| y | near-wall distance, m |
| y+ | dimensionless wall distance |
| DH | error in head measurement |
| DT | error in shaft power measurement |
| DQ | error in flow measurement |
| DS | total systematic error |
| p | transient pressure, Pa |
| average pressure during impeller rotation circle, Pa | |
| u2 | impeller outlet circumferential velocity, m/s |
| ρ | density of liquid medium, kg/m3 |
| Abbreviations | |
| SST | shear stress transport |
| GGI | general grid interface |
References
- Muggli, F.A.; Holbein, P.; Dupont, P. CFD calculation of a mixed flow pump characteristic from shutoff to maximum flow. J. Fluids Eng. 2002, 124, 798–802. [Google Scholar]
- Kim, J.H.; Ahn, H.J.; Kim, K.Y. High-efficiency design of a mixed-flow centrifugal pump. Sci. China Ser. E Technol. Sci. 2010, 53, 24–27. [Google Scholar]
- Li, W.; Li, E.; Ji, L.; Zhou, L.; Shi, W.; Zhu, Y. Mechanism and propagation characteristics of rotating stall in a mixed-flow centrifugal pump. Renew. Energy 2020, 153, 74–92. [Google Scholar]
- Miyabe, M.; Maeda, H.; Umeki, I.; Jittani, Y. Unstable head-flow characteristic generation mechanism of a low specific speed mixed flow pump. J. Therm. Sci. 2006, 15, 115–120. [Google Scholar]
- Wang, K.; Liu, H.; Zhou, X.; Wang, W. Experimental research on pressure fluctuation and vibration in a mixed flow pump. J. Mech. Sci. Technol. 2016, 30, 179–184. [Google Scholar]
- Zhang, M.; Tsukamoto, H. Unsteady hydrodynamic forces due to rotor-stator interaction on a diffuser pump with identical number of vanes on the impeller and diffuser. ASME J. Fluids Eng. 2005, 127, 743–751. [Google Scholar]
- Predin, A.; Biluš, I. Prerotation flow measurement. Flow Meas. Instrum. 2003, 14, 243–247. [Google Scholar]
- Figurella, N.; Dehner, R.; Selamet, A.; Miazgowicz, K.; Karim, A.; Host, R. Effect of aerodynamically induced pre-swirl on centrifugal compressor acoustics and performance. SAE Int. J. Passeng. Cars-Mech. Syst 2015, 8, 995–1002. [Google Scholar]
- Liu, Z.; Yang, H.; He, H.; Yu, P.; Wei, Y.; Zhang, W. Flow instability in a volute-free centrifugal fan subjected to non-axisymmetric pre-swirl flow from upstream bended inflow tube. Proc. Inst. Mech. Eng. Part A J. Power Energy 2022, 236, 689–713. [Google Scholar]
- Tan, L.; Cao, S.; Gui, S. Hydraulic design and pre-whirl regulation law of inlet guide vane for centrifugal pump. Sci. China Technol. Sci. 2010, 53, 2142–2151. [Google Scholar]
- Tan, L.; Zhu, B.; Cao, S.; Wang, Y.; Wang, B. Influence of prewhirl regulation by inlet guide vanes on cavitation performance of a centrifugal pump. Energies 2014, 7, 1050–1065. [Google Scholar] [CrossRef]
- Fukutomi, J.; Nakamura, R. Performance and internal flow of cross-flow fan with inlet guide vane. JSME Int. J. Ser. B Fluids Therm. Eng. 2005, 48, 763–769. [Google Scholar] [CrossRef]
- Coppinger, M.; Swain, E. Performance prediction of an industrial centrifugal compressor inlet guide vane system. Proc. Inst. Mech. Eng. Part A J. Power Energy 2000, 214, 153–164. [Google Scholar] [CrossRef]
- Ceyrowsky, T.; Hildebrandt, A.; Schwarze, R. Numerical investigation of the circumferential pressure distortion induced by a centrifugal compressor’s external volute. In Turbo Expo: Power for Land, Sea, and Air; American Society of Mechanical Engineers: New York, NY, USA, 2018; Volume 51005, p. V02BT44A015. [Google Scholar]
- Carretta, M.; Cravero, C.; Marsano, D. Numerical prediction of centrifugal compressor stability limit. In Turbo Expo: Power for Land, Sea, and Air; American Society of Mechanical Engineers: New York, NY, USA, 2017; Volume 50800, p. V02CT44A007. [Google Scholar]
- González, J.; Santolaria, C. Unsteady flow structure and global variables in a centrifugal pump. J. Fluids Eng. 2006, 2006128, 937. [Google Scholar] [CrossRef]
- Yang, J.; Yuan, S.; Yuan, J.; Si, Q.; Pei, J. Numerical and experimental study on flow-induced noise at blade-passing frequency in centrifugal pumps. Chin. J. Mech. Eng. 2014, 27, 606–614. [Google Scholar] [CrossRef]
- Li, H.; Huang, Q.; Pan, G.; Dong, X.; Li, F. An investigation on the flow and vortical structure of a pre-swirl stator pump-jet propulsor in drift. Ocean Eng. 2022, 250, 111061. [Google Scholar] [CrossRef]
- Dong, R.; Chu, S.; Katz, J. Effect of modification to tongue and impeller geometry on unsteady flow, pressure fluctuations, and noise in a centrifugal pump. J. Turbomach. 1997, 119, 506–515. [Google Scholar] [CrossRef]
- Yuan, Z.; Jun, L.; Daqing, Z. Pressure pulsation of model test in large-size axial-flow pump. J. Drain. Irrig. Mach. Eng. 2010, 28, 51–55. [Google Scholar]
- Yang, Y.; Zhou, L.; Shi, W.; He, Z.; Han, Y.; Xiao, Y. Interstage difference of pressure pulsation in a three-stage electrical submersible pump. J. Pet. Sci. Eng. 2021, 196, 107653. [Google Scholar] [CrossRef]
- Yang, Y.; Zhou, L.; Han, Y.; Lv, W.; Shi, W.; Pan, B. Pressure pulsation investigation in an electrical submersible pump based on Morlet continuous wavelet transform. Proc. Inst. Mech. Eng. Part C J. Mech. Eng. Sci. 2021, 235, 6069–6079. [Google Scholar] [CrossRef]
- Karassik, I.J.; Messina, J.P.; Cooper, P.; Heald, C.C. Pump Handbook; McGraw-Hill Education: New York, NY, USA, 2008. [Google Scholar]
- Ji, L.; Li, W.; Shi, W.; Tian, F.; Agarwal, R. Diagnosis of internal energy characteristics of mixed-flow pump within stall region based on entropy production analysis model. Int. Commun. Heat Mass Transf. 2020, 117, 104784. [Google Scholar] [CrossRef]










| Impeller | Diffuser | ||
|---|---|---|---|
| Number of blades Z1 | 6 | Number of vanes Z2 | 7 |
| Diameter of shroud DShr (mm) | 120 | Diameter of inlet Din (mm) | 187.2 |
| Diameter of hub DHub (mm) | 45.6 | Diameter of outlet outer Dout1 (mm) | 120 |
| Diameter of outlet DOut (mm) | 162 | Diameter of outlet inner DOut2 (mm) | 66 |
| Width of outlet bOut (mm) | 36 | ||
| Maximum Grid Size (mm) | 2.4 | 2.2 | 2 | 1.8 | 1.6 |
| Number of Grids (×106) | 2.9 | 4.8 | 5.7 | 7.0 | 9.1 |
| Predicting Head (m) | 22.68 | 22.55 | 22.39 | 22.36 | 22.37 |
| Predicting Efficiency (%) | 84.52 | 83.94 | 83.50 | 83.27 | 83.24 |
Disclaimer/Publisher’s Note: The statements, opinions and data contained in all publications are solely those of the individual author(s) and contributor(s) and not of MDPI and/or the editor(s). MDPI and/or the editor(s) disclaim responsibility for any injury to people or property resulting from any ideas, methods, instructions or products referred to in the content. |
© 2023 by the authors. Licensee MDPI, Basel, Switzerland. This article is an open access article distributed under the terms and conditions of the Creative Commons Attribution (CC BY) license (https://creativecommons.org/licenses/by/4.0/).
Share and Cite
Ma, X.; Bian, M.; Yang, Y.; Dai, T.; Tang, L.; Wang, J. Study on the Effect Mechanism of Inlet Pre-Swirl on Pressure Pulsation within a Mixed-Flow Centrifugal Pump. Water 2023, 15, 1223. https://doi.org/10.3390/w15061223
Ma X, Bian M, Yang Y, Dai T, Tang L, Wang J. Study on the Effect Mechanism of Inlet Pre-Swirl on Pressure Pulsation within a Mixed-Flow Centrifugal Pump. Water. 2023; 15(6):1223. https://doi.org/10.3390/w15061223
Chicago/Turabian StyleMa, Xiaogang, Mengying Bian, Yang Yang, Tingting Dai, Lei Tang, and Jun Wang. 2023. "Study on the Effect Mechanism of Inlet Pre-Swirl on Pressure Pulsation within a Mixed-Flow Centrifugal Pump" Water 15, no. 6: 1223. https://doi.org/10.3390/w15061223
APA StyleMa, X., Bian, M., Yang, Y., Dai, T., Tang, L., & Wang, J. (2023). Study on the Effect Mechanism of Inlet Pre-Swirl on Pressure Pulsation within a Mixed-Flow Centrifugal Pump. Water, 15(6), 1223. https://doi.org/10.3390/w15061223
