Measurement of Total Air Entrainment, Disentrainment and Net Entrainment Flow Rates Utilizing Novel Downcomer Incorporating Al-Anzi’s Disentrainment Ring (ADR) in a Confined Plunging Jet Reactor
Abstract
1. Introduction
2. Materials and Methods
2.1. Confined Plunging Liquid Jet Reactor System
2.2. Supporting Flange/Frame
2.3. ADR Device
2.4. Downcomer (Confining Tube)
2.5. Calculation
3. Results and Discussion
3.1. Effect of Distance between ADR Device and Receiving Pool Surface on the Air Entrainment and Disentrainment Rates
3.2. Effect of VL on Air Disentrainment and Entrainment Rate Measurements
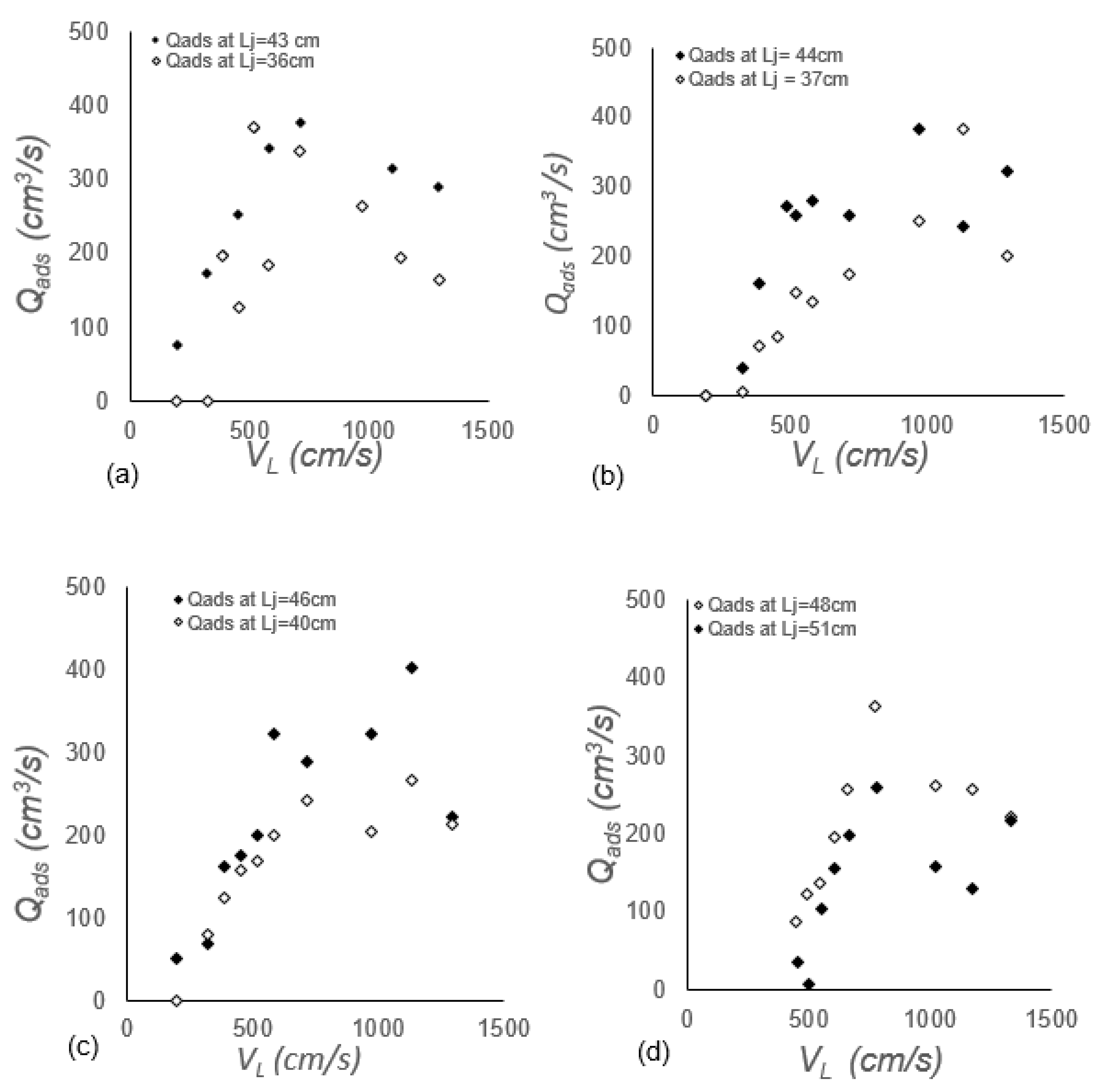
3.3. Effect of Jet Length on Air Disentrainment and Total Entrainment Rate Measurements
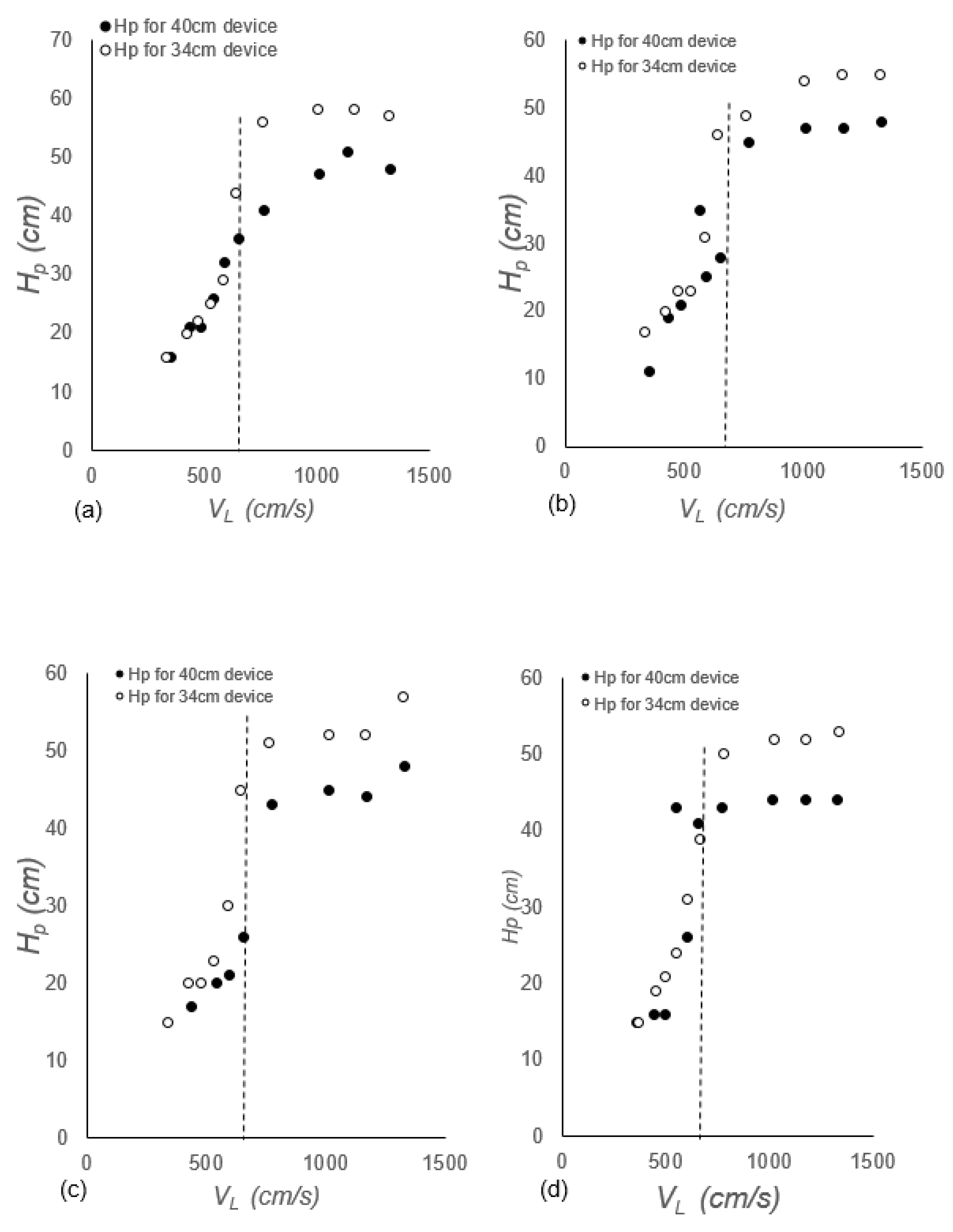
3.4. Effect of ds and lADR on Bubble Penetration Depths (Hp)
3.5. Effect of Rise Heights (HR) for ds Values
3.6. Comparison of the Effect of the Novel Downcomer (with ADR Device) and a Standalone Downcomer on Qanet
4. Conclusions
Author Contributions
Funding
Institutional Review Board Statement
Informed Consent Statement
Data Availability Statement
Conflicts of Interest
References
- Qu, X.; Khezzar, L.; Li, Z. The impact and air entrainment process of liquid plunging jets. Proc. Inst. Mech. Eng. Part E J. Process Mech. Eng. 2011, 226, 238–249. [Google Scholar] [CrossRef]
- Al-Anzi, B. Performance of a Novel Confined Plunging Jet Reactor Incorporating an Annular Airlift Column. Ph.D. Thesis, Loughborough University, Loughborough Leicestershire, UK, 2007. [Google Scholar]
- Kumar, M.; Tiwari, N.K.; Ranjan, S. Experimental study on oxygen mass transfer characteristics by plunging hollow jets. Arab. J. Sci. Eng. 2021, 46, 4521–4532. [Google Scholar] [CrossRef]
- Al-Anzi, B. Effect of primary variables on a confined plunging liquid jet reactor. Water 2020, 12, 764. [Google Scholar] [CrossRef]
- Chow, A.C.; Shrivastava, I.; Adams, E.E.; Al-Rabaie, F.; Al-Anzi, B.A. Unconfined dense plunging jets used for brine disposal from desalination plants. Processes 2020, 8, 696. [Google Scholar] [CrossRef]
- Shrivastava, I.; Adams, E.E.; Al-Anzi, B.; Chow, A.C.; Han, J. Confined plunging liquid jets for dilution of brine from desalination plants. Processes 2021, 9, 856. [Google Scholar] [CrossRef]
- Cummings, P.D.; Chanson, H. Air entrainment in the developing flow region on plunging jets—Part 1: Theoretical development. J. Fluids Eng. 1997, 119, 597–602. [Google Scholar] [CrossRef]
- Qu, X.L.; Danciu, D.; Labois, M.; Lakehal, D. Characterization of plunging liquid jets: A combined experimental and numerical investigation. Int. J. Multiph. Flow 2011, 37, 722–731. [Google Scholar] [CrossRef]
- Miwa, S.; Moribe, T.; Tsutstumi, K.; Hibiki, T. Experimental investigation of air entrainment by vertical plunging liquid jet. Chem. Eng. Sci. 2018, 181, 251–263. [Google Scholar] [CrossRef]
- Bin, A.K. Gas entrainment by plunging jets. Chem. Eng. Sci. 1993, 48, 3585–3630. [Google Scholar] [CrossRef]
- Kramer, M.; Wieprecht, S.; Terheiden, K. Penetration depth of plunging liquid jets- A data driven modelling approach. Exp. Therm. Fluid Sci. 2016, 76, 109–117. [Google Scholar] [CrossRef]
- Harby, K.; Chiva, S.; Muñoz-Cobo, J.L. An experimental study on bubble entrainment and flow characteristics of vertical plunging water jets. Exp. Therm. Fluid Sci. 2014, 57, 207–220. [Google Scholar] [CrossRef]
- Cummings, P.D.; Chanson, H. An experimental study of individual air bubble entrainment at a planar plunging jet. Chem. Eng. Res. Des. 1999, 77, 159–164. [Google Scholar] [CrossRef]
- Warjito; Budiarso; Pramono, I.A.; Samosir, M.L.; Adanta, D. The effect of jet height in air entrainment process of vertical plunging jet with downcomer. AIP Conf. Proc. 2018, 2062, 020023. [Google Scholar] [CrossRef]
- McKeogh, E.J.; Ervine, D.A. Air entrainment and diffusion pattern of plunging liquid jets. Chem. Eng. Sci. 1981, 36, 1161–1172. [Google Scholar] [CrossRef]
- Schmidtke, M.; Danciu, D.; Lucas, D. Air entrainment by impinging jets experimental identification of the key phenomena and approaches for their simulation in CFD. In Proceedings of the 17th International Conference on Nuclear Engineering (ICONE17), Brussels, Belgium, 12–16 July 2009; paper no. ICONE17-75293. pp. 297–305. [Google Scholar]
- Lahey, R.T., Jr. On the direct numerical simulation of two-phase flow. Nucl. Eng. Des. 2009, 239, 867–879. [Google Scholar] [CrossRef]
- Galimov, A.Y.; Sahni, O.; Lahey, R.T.; Shephard, M.S.; Drew, D.A.; Jansen, K.E. Parallel adaptive simulation of a plunging liquid jet. Acta Math. Sci. 2010, 30, 522–538. [Google Scholar] [CrossRef]
- Brouilliot, D.; Lubin, P. Numerical simulations of air entrainment in a plunging jet of liquid. J. Fluids Struct. 2013, 3, 428–440. [Google Scholar] [CrossRef]
- Boualouache, A.; Zidouni, F.; Mataoui, A. Numerical Visualization of Plunging Water Jet using Volume of Fluid Model. J. Appl. Fluid Mech. 2018, 11, 95–105. [Google Scholar] [CrossRef]
- Clark, N.N.; Flemmer, R.L. Predicting the holdup in two-phase bubble upflow and downflow using the Zuber and Findlay drift-flux model. AIChE J. 1985, 31, 500–503. [Google Scholar] [CrossRef]
- Al-Anzi, B. Apparatus for Measuring Disentrainment Rate of Air. US. Patent No. 2020/0103324, 2 April 2020. U.S. Patent and Trademark Office. [Google Scholar]
- Al-Anzi, B.; Cumming, I.W.; Rielly, C.D. Air entrainment rates in a confined plunging jet reactor. In Proceedings of the 10th International Conference on Multiphase Flow in Industrial Plants, Tropea, Italy, 20–23 September 2006; pp. 71–82. [Google Scholar]
- Ohkawa, A.; Kusabiraki, D.; Kawai, Y.; Sakai, N. Some flow characteristics of a vertical liquid jet system having downcomers. Chem. Eng. Sci. 1986, 41, 2347–2361. [Google Scholar] [CrossRef]
- Al-Anzi, B.S.; Fernandes, J. Sensitivity Test of Jet Velocity and Void Fraction on the Prediction of Rise Height and Performance of a Confined Plunging Liquid Jet Reactor. Processes 2022, 10, 160. [Google Scholar] [CrossRef]
















Disclaimer/Publisher’s Note: The statements, opinions and data contained in all publications are solely those of the individual author(s) and contributor(s) and not of MDPI and/or the editor(s). MDPI and/or the editor(s) disclaim responsibility for any injury to people or property resulting from any ideas, methods, instructions or products referred to in the content. |
© 2023 by the authors. Licensee MDPI, Basel, Switzerland. This article is an open access article distributed under the terms and conditions of the Creative Commons Attribution (CC BY) license (https://creativecommons.org/licenses/by/4.0/).
Share and Cite
Al-Anzi, B.S.; Fernandes, J. Measurement of Total Air Entrainment, Disentrainment and Net Entrainment Flow Rates Utilizing Novel Downcomer Incorporating Al-Anzi’s Disentrainment Ring (ADR) in a Confined Plunging Jet Reactor. Water 2023, 15, 835. https://doi.org/10.3390/w15050835
Al-Anzi BS, Fernandes J. Measurement of Total Air Entrainment, Disentrainment and Net Entrainment Flow Rates Utilizing Novel Downcomer Incorporating Al-Anzi’s Disentrainment Ring (ADR) in a Confined Plunging Jet Reactor. Water. 2023; 15(5):835. https://doi.org/10.3390/w15050835
Chicago/Turabian StyleAl-Anzi, Bader S., and Jenifer Fernandes. 2023. "Measurement of Total Air Entrainment, Disentrainment and Net Entrainment Flow Rates Utilizing Novel Downcomer Incorporating Al-Anzi’s Disentrainment Ring (ADR) in a Confined Plunging Jet Reactor" Water 15, no. 5: 835. https://doi.org/10.3390/w15050835
APA StyleAl-Anzi, B. S., & Fernandes, J. (2023). Measurement of Total Air Entrainment, Disentrainment and Net Entrainment Flow Rates Utilizing Novel Downcomer Incorporating Al-Anzi’s Disentrainment Ring (ADR) in a Confined Plunging Jet Reactor. Water, 15(5), 835. https://doi.org/10.3390/w15050835

