Treatment of Black-Odorous Water Using Submerged Plants: The Physiological Response of Vallisneria natans
Abstract
1. Introduction
2. Materials and Methods
2.1. Experimental Setup
2.2. Experimental Design
2.3. Analytical Techniques
2.4. Statistical Analysis
3. Results
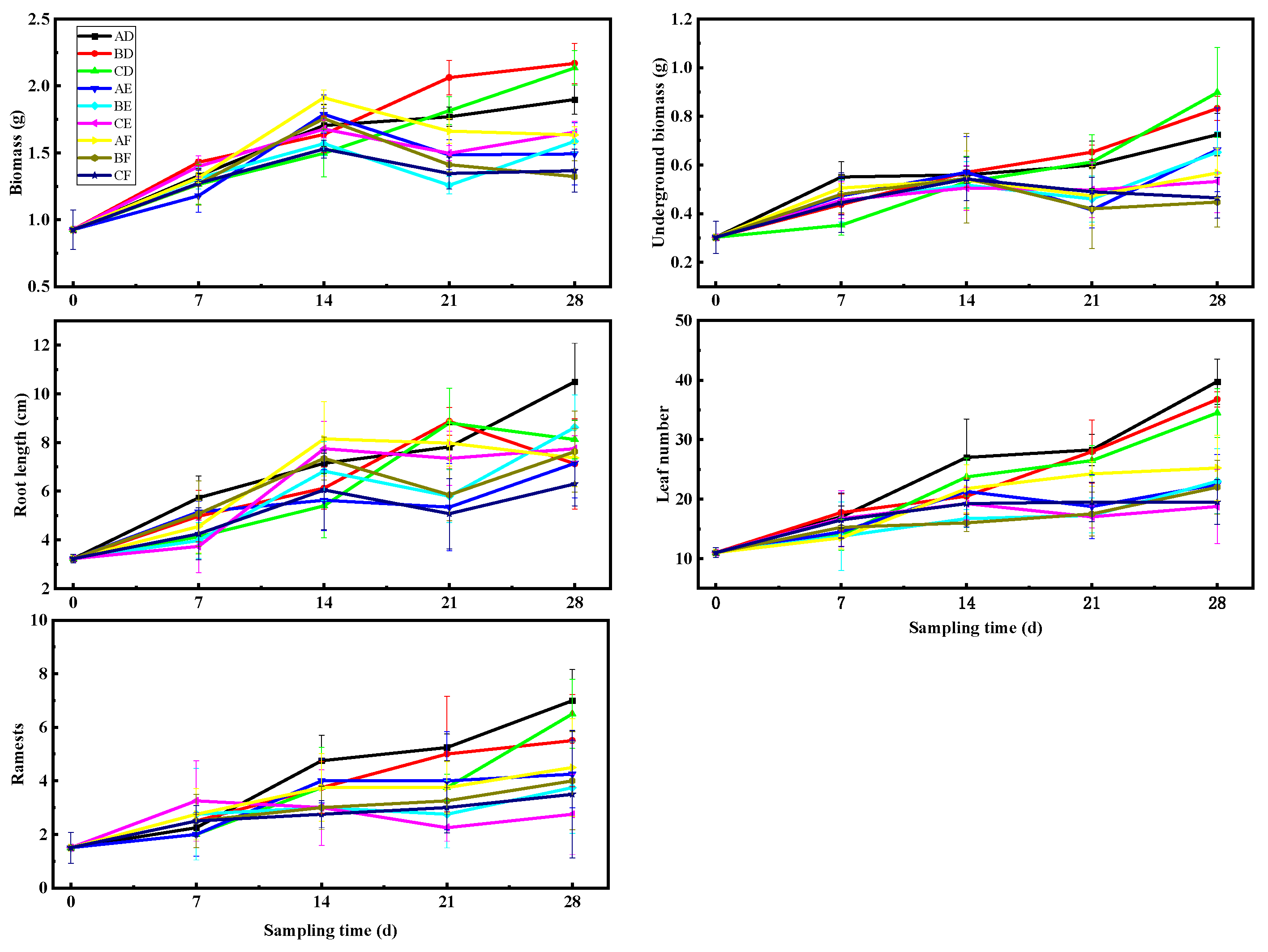
3.1. Morphological Index
3.2. Photosynthetic Index
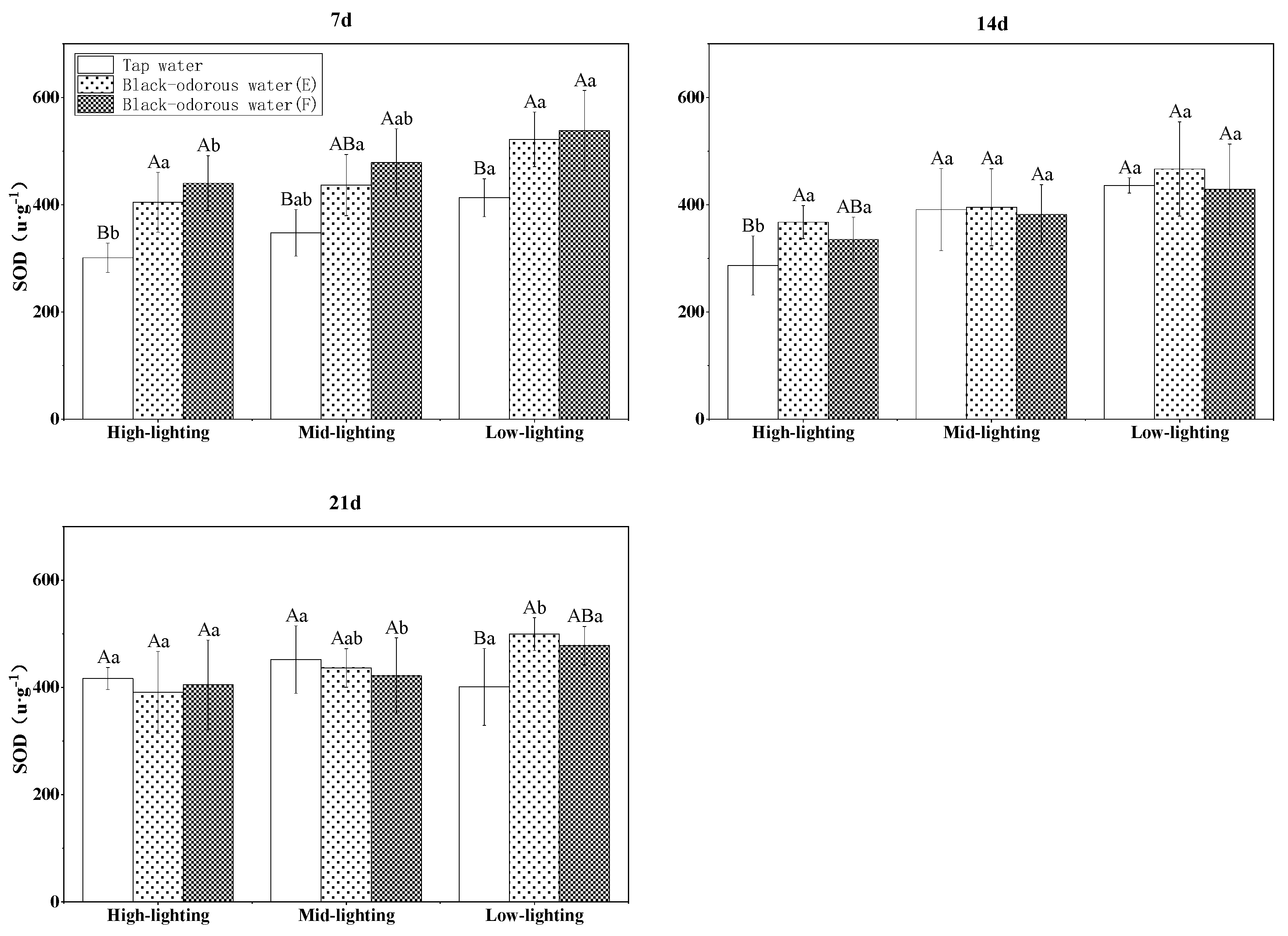
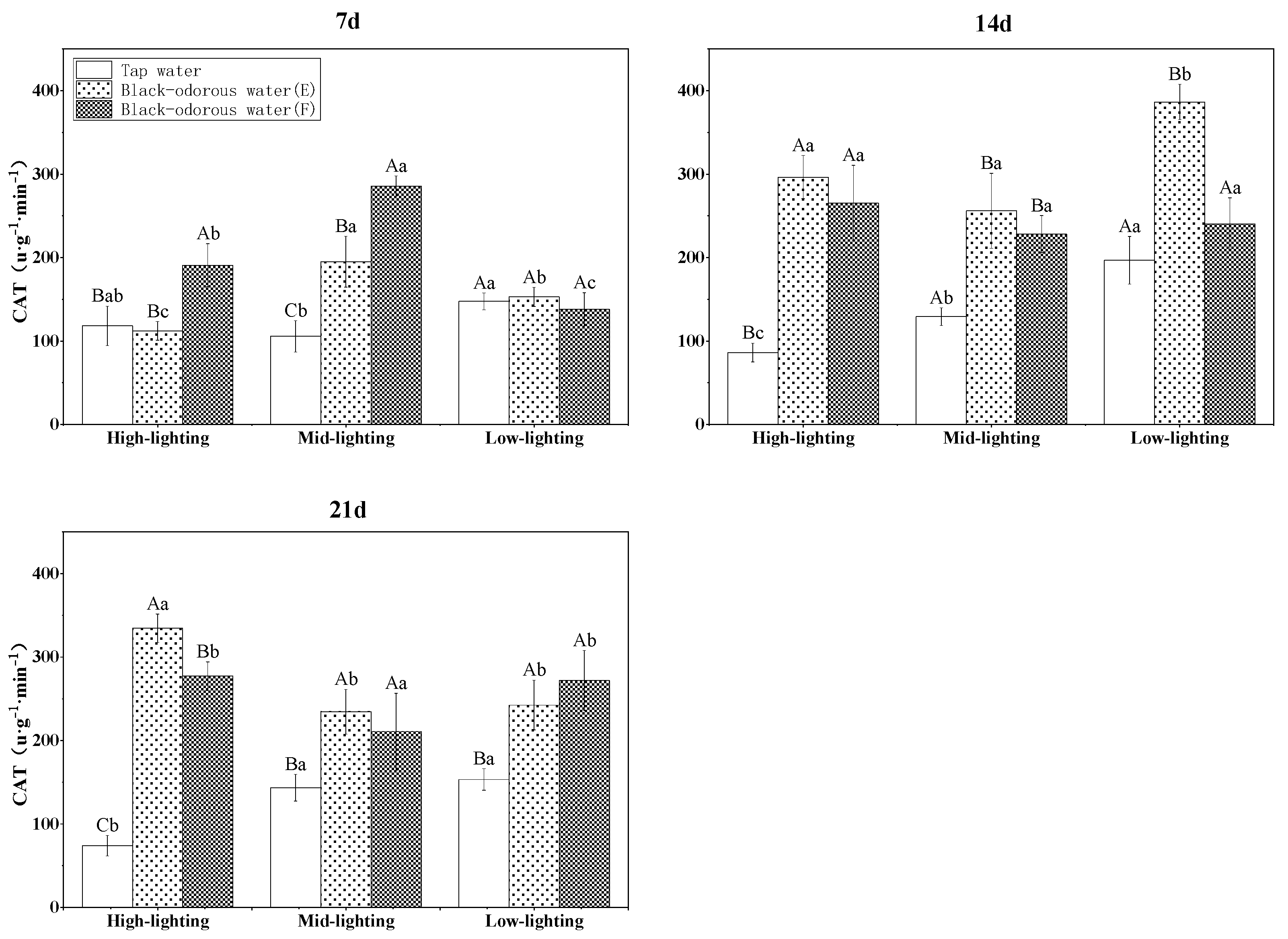
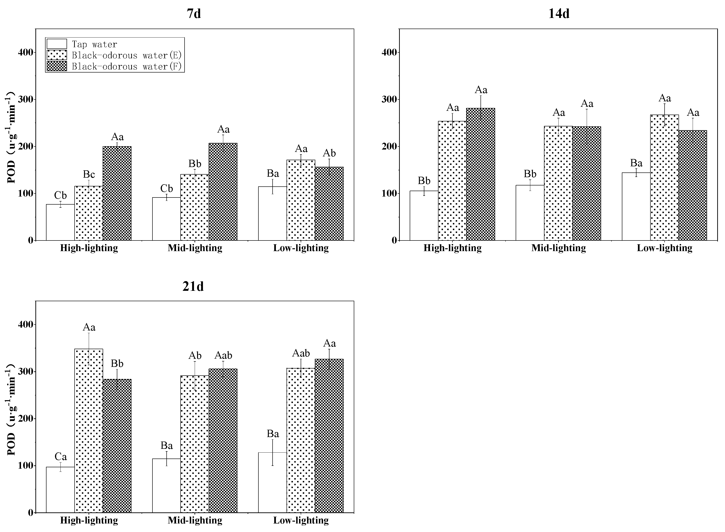
3.3. MDA and Antioxidant System Indexes
3.4. Discussion
4. Conclusions
Author Contributions
Funding
Data Availability Statement
Conflicts of Interest
Correction Statement
References
- Yin, J.; Fan, P.; Zhong, G.; Wu, Z. Responses of Vallisneria natans (Lour.) Hara to the combined effects of Mn and pH. Ecotoxicology 2019, 28, 1177–1189. [Google Scholar] [CrossRef] [PubMed]
- Cao, T.; Xie, P.; Li, Z.; Ni, L.; Zhang, M.; Xu, J. Physiological stress of high NH4+ concentration in water column on the submersed macrophyte Vallisneria Natans L. Bull. Environ. Contam. Toxicol. 2009, 82, 296–299. [Google Scholar] [CrossRef] [PubMed]
- Chen, G.; Liu, X.; Brookes, P.C.; Xu, J. Opportunities for phytoremediation and bioindication of arsenic contaminated water using a submerged aquatic plant: Vallisneria natans (lour.) Hara. Int. J. Phytoremediat. 2015, 17, 249–255. [Google Scholar] [CrossRef] [PubMed]
- Jayasri, M.A.; Suthindhiran, K. Effect of zinc and lead on the physiological and biochemical properties of aquatic plant Lemna minor: Its potential role in phytoremediation. Appl. Water Sci. 2016, 7, 1247–1253. [Google Scholar] [CrossRef]
- Cao, J.; Sun, Q.; Zhao, D.; Xu, M.; Shen, Q.; Wang, D.; Wang, Y.; Ding, S. A critical review of the appearance of black-odorous waterbodies in China and treatment methods. J. Hazard. Mater. 2020, 385, 121511. [Google Scholar] [CrossRef]
- Zhao, S. The river runs black. The environmental challenge to China’s future. Rangel. Ecol. Manag. 2005, 58, 658. [Google Scholar] [CrossRef]
- Ministry of Housing and Construction. Ministry of Environmental Protection issued guidelines for the remediation of urban black-odorous waterbodies. Urban Roads Bridges Flood Control 2016, 1, 3. [Google Scholar]
- Ministry of Ecology and Environment. MEP Adopts in Principle the Programmes of Action for “Green Shield 2018”, Environmental Protection of Centralized Drinking Water Sources, and Treatment of Black and Odorous Waters. News Release, Ministry of Ecology and Environment, The People’s Republic of China. 2018. Available online: https://english.mee.gov.cn/News_service/news_release/201802/t20180227_431831.shtml (accessed on 30 December 2022).
- Mustafa, H.M.; Hayder, G. Recent studies on applications of aquatic weed plants in phytoremediation of wastewater: A review article. Ain. Shams. Eng. J. 2021, 12, 355–365. [Google Scholar] [CrossRef]
- Srivastava, J.; Gupta, A.; Chandra, H. Managing water quality with aquatic macrophytes. Rev. Environ. Sci. Bio/Technol. 2008, 7, 255–266. [Google Scholar] [CrossRef]
- Zhang, Y.; Liu, X.; Qin, B.; Shi, K.; Deng, J.; Zhou, Y. Aquatic vegetation in response to increased eutrophication and degraded light climate in Eastern Lake Taihu: Implications for lake ecological restoration. Sci. Rep. 2016, 6, 23867. [Google Scholar] [CrossRef]
- Wang, S.; Jiao, L.X.; Yang, S.; Jin, X.; Yi, W. Effects of organic matter and submerged macrophytes on variations of alkaline phosphatase activity and phosphorus fractions in lake sediment. J. Environ. Manag. 2012, 113, 355–360. [Google Scholar] [CrossRef]
- Zhu, Z.; Yuan, H.; Wei, Y.; Li, P.; Zhang, P.; Xie, D. Effects of ammonia nitrogen and sediment nutrient on growth of the submerged plant Vallisneria natans. CLEAN-Soil Air Water 2015, 43, 1653–1659. [Google Scholar] [CrossRef]
- Sheng, Y.L. Response of Submerged Plant Vallisneria spinulosa to Changes of Heavy Copper and Water Level in Poyang Lake. Master’s Thesis, East China Jiaotong University, Nanchang, China, 2018. [Google Scholar]
- Xue, R. Effect of Light Conditions on Growth Characteristic of Two Submersed Macrophyte. Master’s Thesis, Chongqing University, Chongqing, China, 2018. [Google Scholar]
- Wang, Z. Study on the Response of Ammonium Nitrogen Stress in Water by Themyriophyllum verticillatum of Submerged Plant. Master’s Thesis, Shanghai Normal University, Shanghai, China, 2019. [Google Scholar]
- Hak, K.; Ritchie, R.J.; Dummee, V. Bioaccumulation and physiological responses of the Coontail, Ceratophyllum demersum exposed to copper, zinc and in combination. Ecotoxicol. Environ. Saf. 2020, 189, 110049. [Google Scholar] [CrossRef]
- Fan, P.; Liu, C.; Ke, Z.; Zhou, W.; Wu, Z. Growth and physiological responses in a submerged clonal aquatic plant and multiple-endpoint assessment under prolonged exposure to ciprofloxacin. Ecotoxicol. Environ. Saf. 2022, 239, 113690. [Google Scholar] [CrossRef]
- Chen, S.; Sun, H.; Chu, Z. Advance in antioxidative enzyme system of submerged macrophytes under ammonia stress. Environ. Sci. Technol. 2016, 39, 42–46. [Google Scholar]
- Fu, W.; Li, Z.; Liu, Y.; Cao, Y.; Li, W. Naming history, classification and characteristics of species from the genus Vallisneria in China. Plant Sci. J. 2019, 37, 448–453. [Google Scholar]
- Gao, Q.-Y.; Zhu, W.-J.; Liu, X.-B.; Lan, Y.-Q.; Mo, J.-N.; Shen, W.-G. Effects of different concentrations of ammonia nitrogen on the growth of five submerged plant species. HydroEcology 2019, 40, 67–72. [Google Scholar]
- Lu, J.J.; Zhang, M.; Quan, S.-Q.; Liu, Z.-G.; Chen, H.-W.; Yin, Q.; Ouyang, C.-Y. Integrated effects of hypoxia, high ammonia and low light on the growth and physiological C-N metabolism indices of Vallisneria natans. Lake Sci. 2018, 30, 1064–1074. [Google Scholar]
- Zhang, X. Effects of Root Growth of vallisnerio natans on the Black and Odorous Water. Master’s Thesis, Nanjing University of Information Science & Technology, Nanjing, China, 2017. [Google Scholar]
- Ou, X. Research on the Restoration Effect of Three Kinds of Aquatic Plants on the Repair of Black and Odorous Water. Master’s Thesis, Hefei University of Technology, Hefei, China, 2018. [Google Scholar]
- Zhu, Z.; Song, S.; Yan, Y.; Li, P.; Jeelani, N.; Wang, P.; An, S.; Leng, X. Combined effects of light reduction and ammonia nitrogen enrichment on the submerged macrophyte Vallisneria natans. Mar. Freshw. Res. 2018, 69, 764–770. [Google Scholar] [CrossRef]
- Chen, M.; Zhang, L.-L.; Li, J.; He, X.-J.; Cai, J.-C. Bioaccumulation and tolerance characteristics of a submerged plant (Ceratophyllum demersum L.) exposed to toxic metal lead. Ecotoxicol. Environ. Saf. 2015, 122, 313–321. [Google Scholar] [CrossRef]
- Wei, Z.-W.; Wang, D.-X.; Liu, R.-J.; Zhang, C.-M. The Suitable conditions for assaying SOD activity by nitrogen blue tetrazolium photoreduction method on Alopine Forage. Grassl. Turf. 2000, 42, 3206–3211. [Google Scholar]
- Sakharov, I.Y.; Bautista, G.A. Variation of peroxidase activity in cacao beans during their ripering, fermentation and drying. Food Chem. 1999, 65, 51–54. [Google Scholar] [CrossRef]
- Bergmeyer, H.U. Methods of Enzymatic Analysis; Verlag Chemie: Weinheim, Germany, 1984. [Google Scholar]
- Greenberg, A.E.; Rhodes, T.R.; Clesceri, L.S. Standard Methods for the Examination of Water and Wastewater; American Public Health Association: Washington, DC, USA, 1985; Volume 16. [Google Scholar]
- Liu, K.P. Evaluation of uncertainty of soil organic matter measured by potassium dichromate outside heating method. Constr. Des. Eng. 2017, 16, 101–102. [Google Scholar]
- Wang, L.; Øien, A. Determination of Kjeldahl nitrogen and exchangeable ammonium in soil by the indophenol method. Acta Agric. Scand. 1986, 36, 60–70. [Google Scholar] [CrossRef]
- Chou, Q.; Zhang, W.; Chen, J.; Ren, W.; Yuan, C.; Wen, Z.; Zhang, X.; Cao, T.; Ni, L.; Jeppesen, E. Phenotypic responses of a submerged macrophyte (Vallisneria natans) to low light combined with water depth. Aquat. Bot. 2022, 176, 103462. [Google Scholar] [CrossRef]
- Zhu, Z.; Song, S.; Li, P.; Jeelani, N.; Wang, P.; Yuan, H.; Zhang, J.; An, S.; Leng, X. Growth and physiological responses of submerged plant Vallisneria natans to water column ammonia nitrogen and sediment copper. PeerJ 2016, 4, e1953. [Google Scholar] [CrossRef]
- Li, H.; Li, Q.; Luo, X.; Fu, J.; Zhang, J. Responses of the submerged macrophyte Vallisneria natans to a water depth gradient. Sci. Total Environ. 2020, 701, 134944. [Google Scholar] [CrossRef]
- Zhu, Q.P. Study on the Growth and Physiology Mechanism of Vallisneria spinulosa in Response to the Complex Stress of Sulfide, High Ammonia and Low Light. Master’s Thesis, Nanchang University, Nanchang, China, 2020. [Google Scholar]
- Tan, X.; Yuan, G.; Fu, H.; Peng, H.; Ge, D.; Lou, Q.; Zhong, J. Effects of ammonium pulse on the growth of three submerged macrophytes. PLoS ONE 2019, 14, e0219161. [Google Scholar] [CrossRef]
- Fang, Y.H. Study on the Effects of Substrates and Arsenic Stress on the Growth of Vallisneria natans. Master’s Thesis, Yunnan University, Kunming, China, 2020. [Google Scholar]
- Zhang, Z.-H.; Yang, T.; Wen, Z.-H.; Zhang, X.-L.; Cao, T.; Ni, L.-Y.; Yuan, C.-B. Growth and physiological response of vallisneria natans under extreme low light and two substrate conditions. Acta Hydrobiol. Sin. 2021, 45, 652–662. [Google Scholar]
- Liu, Y.; Han, F.; Bai, G.; Kong, L.; Liu, Z.; Wang, C.; Liu, B.; He, F.; Wu, Z.; Zhang, Y. The promotion effects of silicate mineral maifanite on the growth of submerged macrophytes Hydrilla verticillata. Environ. Pollut. 2020, 267, 115380. [Google Scholar] [CrossRef]
- Kurtz, J.C.; Yates, D.F.; Macauley, J.M.; Quarles, R.L.; Genthner, F.J.; Chancy, C.A.; Devereux, R. Effects of light reduction on growth of the submerged macrophyte Vallisneria americana and the community of root-associated heterotrophic bacteria. J. Exp. Mar. Biol. Ecol. 2003, 291, 199–218. [Google Scholar] [CrossRef]
- Cao, T.; Ni, L.; Xie, P.; Xu, J.; Zhang, M. Effects of moderate ammonium enrichment on three submersed macrophytes under contrasting light availability. Freshwater Biol. 2011, 56, 1620–1629. [Google Scholar] [CrossRef]
- Cao, T.; Ni, L.; Xie, P. Acute biochemical responses of a submersed macrophyte, Potamogeton crispus L., to high ammonium in an aquarium experiment. J. Freshwater Ecol. 2004, 19, 279–284. [Google Scholar] [CrossRef]
- Hu, F.; Pu, H.; Chen, L.; Cheng, S. Effects of cuprous oxide (Cu2O) and cupic hydroxide [Cu(OH)2] on activity of antioxidase and contentof chlorophyll in Vallisneria natans. J. Ecol. Rural Environ. 2011, 27, 72–78. [Google Scholar]
- He, L.; Zhu, T.; Wu, Y.; Li, W.; Zhang, H.; Zhang, X.; Cao, T.; Ni, L.; Hilt, S. Littoral slope, water depth and alternative response strategies to light attenuation shape the distribution of submerged macrophytes in a mesotrophic lake. Front. Plant Sci. 2019, 10, 169. [Google Scholar] [CrossRef]
- Fu, H.; Yuan, G.; Cao, T.; Ni, L.; Li, W.; Zhu, G. Relationships between relative growth rate and its components across 11 submersed macrophytes. J. Freshwater Ecol. 2012, 27, 471–480. [Google Scholar] [CrossRef]
- Yuan, G.; Fu, H.; Zhong, J.; Cao, T.; Ni, L.; Zhu, T.; Li, W.; Song, X. Nitrogen/carbon metabolism in response to NH4+ pulse for two submersed macrophytes. Aquat. Bot. 2015, 121, 76–82. [Google Scholar] [CrossRef]
- Pamplona, R. Advanced lipoxidation end-products. Chem. Biol. Interact. 2011, 192, 14–20. [Google Scholar] [CrossRef]
- Pourrut, B.; Shahid, M.; Douay, F.; Dumat, C.; Pinelli, E. Molecular mechanisms involved in lead uptake, toxicity and detoxification in higher plants. In Heavy Metal Stress in Plants; Springer: Berlin/Heidelberg, Germany, 2013; pp. 121–147. [Google Scholar] [CrossRef]
- Yuan, G.; Cao, T.; Fu, H.; Ni, L.; Zhang, X.; Li, W.; Song, X.; Xie, P.; Jeppesen, E. Linking carbon and nitrogen metabolism to depth distribution of submersed macrophytes using high ammonium dosing tests and a lake survey. Freshw. Biol. 2013, 58, 2532–2540. [Google Scholar] [CrossRef]
- Bai, X.; Chen, K.; Zhao, H.; Chen, X. Impact of water depth and sediment type on root morphology of the submerged plant Vallisneria natans. J. Freshw. Ecol. 2014, 30, 75–84. [Google Scholar] [CrossRef]
- Manquián-Cerda, K.; Escudey, M.; Zúñiga, G.; Arancibia-Miranda, N.; Molina, M.; Cruces, E. Interactive effects of aluminum and cadmium on phenolic compounds, antioxidant enzyme activity and oxidative stress in blueberry (Vaccinium corymbosum L.) plantlets cultivated in vitro. Ecotox. Environ. Saf. 2018, 150, 320–326. [Google Scholar] [CrossRef] [PubMed]
- Wang, J.; Jin, P.; Bishop, P.L.; Li, F. Upgrade of three municipal wastewater treatment lagoons using a high surface area media. Front. Environ. Sci. Eng. 2011, 6, 288–293. [Google Scholar] [CrossRef]
- Wang, C.; Zhang, S.H.; Wang, P.F.; Hou, J.; Li, W.; Zhang, W.J. Metabolic adaptations to ammonia-induced oxidative stress in leaves of the submerged macrophyte Vallisneria natans (Lour.) Hara. Aquat. Toxicol. 2008, 87, 88–98. [Google Scholar] [CrossRef]
- El-Hadary, A.A. Kinetic Studies of Catalase And Peroxidase Enzymes Extracted From Garlic Cloves (Allium sativum L.). Egypts Pres. Spec. Counc. Educ. Sci. Res. 2021, 59, 331–338. [Google Scholar] [CrossRef]
- Sa, R.; Tao, L.; Zhang, X.; Liu, D.; Chen, L.; Wang, J.; Liu, L.; Xu, C.; Zhang, Y. The effect of Alternaria leaf spot on the antioxidant system of cucumber seedlings. Eur. J. Plant Pathol. 2022, 164, 125–138. [Google Scholar] [CrossRef]
- Hu, R.; Sun, K.; Su, X.; Pan, Y.-X.; Zhang, Y.-F.; Wang, X.-P. Physiological responses and tolerance mechanisms to Pb in two xerophils: Salsola passerina Bunge and Chenopodium album L. J. Hazard. Mater. 2012, 205–206, 131–138. [Google Scholar] [CrossRef]
- Jampeetong, A.; Brix, H. Effects of NaCl salinity on growth, morphology, photosynthesis and proline accumulation of Salvinia natans. Aquat. Bot. 2009, 91, 181–186. [Google Scholar] [CrossRef]
- Gechev, T.; Gadjev, I.; Van Breusegem, F.; Inzé, D.; Dukiandjiev, S.; Toneva, V.; Minkov, I. Hydrogen peroxide protects tobacco from oxidative stress by inducing a set of antioxidant enzymes. Cell Mol. Life Sci. 2002, 59, 708–714. [Google Scholar] [CrossRef]
- Brar, R.S.; Kalpana; Sharma, D.; Kumar, A.; Kumar, S. Reactive oxygen species (ros): A self-generated necessary devil in the cell. In Emerging Challenges for Human Health Sustainability and Interventions in Pharmaceutical, Microbiology and Medical Sciences, Futuristic Innovative Approaches; Learning Media Publication: Meerut, India, 2021; pp. 100–109. [Google Scholar]
- Matés, J.M. Effects of antioxidant enzymes in the molecular control of reactive oxygen species toxicology. Toxicology 2000, 153, 83–104. [Google Scholar] [CrossRef]
- Wu, H.; Jiang, H.; Liu, C.; Deng, Y. Growth, pigment composition, chlorophyll fluorescence and antioxidant defenses in the red alga Gracilaria lemaneiformis (Gracilariales, Rhodophyta) under light stress. S. Afr. J. Bot. 2015, 100, 27–32. [Google Scholar] [CrossRef]
- Yin, H.; Yang, P.; Kong, M. Effects of nitrate dosing on the migration of reduced sulfur in black odorous river sediment and the influencing factors. Chem. Eng. J. 2019, 371, 516–523. [Google Scholar] [CrossRef]
- Rong, N.; Lu, W.; Zhang, C.; Wang, Y.; Zhu, J.; Zhang, W.; Lei, P. In situ high-resolution measurement of phosphorus, iron and sulfur by diffusive gradients in thin films in sediments of black-odorous rivers in the Pearl River Delta region, South China. Environ. Res. 2020, 189, 109918. [Google Scholar] [CrossRef]
- Lu, Y.; Chow, A.T.; Liu, L.; Wang, Y.; Zhang, X.; Huang, S.; Zhang, Y. Effects of Vallisneria natans on H2S and S2− releases in black-odorous waterbody under additional nitrate: Comprehensive performance and microbial community structure. J. Environ. Manag. 2022, 316, 115226. [Google Scholar] [CrossRef]
- Tepe, Y.; Boyd, C.E. A sodium-nitrate-based, water-soluble, granular fertilizer for sport fish ponds. N. Am. J. Aquac. 2001, 63, 328–332. [Google Scholar] [CrossRef]
- Tepe, Y.; Boyd, C.E. Nitrogen fertilization of Golden Shiner ponds. N. Am. J. Aquac. 2002, 64, 284–289. [Google Scholar] [CrossRef]
- Zhou, X.; Huang, Z.; Wan, Y.; Ni, B.; Zhang, Y.; Li, S.; Wang, M.; Wu, T. A new method for continuous monitoring of black and odorous water body using evaluation parameters: A case study in Baoding. Remote Sens. 2022, 14, 374. [Google Scholar] [CrossRef]










| Item | Biomass (g) | Underground Biomass (g) | Root Length (cm) | Leaf Number | Ramets | |||||
|---|---|---|---|---|---|---|---|---|---|---|
| F | P | F | P | F | P | F | P | F | P | |
| Light | 0.328 | 0.723 | 0.088 | 0.916 | 1.783 | 0.187 | 3.454 | 0.046 * | 1.404 | 0.263 |
| Water | 71.932 | 0.000 ** | 23.182 | 0.000 ** | 5.332 | 0.011 * | 43.228 | 0.000 ** | 10.743 | 0.000 ** |
| L × W | 6.057 | 0.001 ** | 2.398 | 0.075 | 3.539 | 0.019 * | 0.208 | 0.932 | 0.453 | 0.769 |
| Item | Day 14 | Day 28 | ||
|---|---|---|---|---|
| F | P | F | P | |
| Light | 1.000 | 0.381 | 4.680 | 0.018 * |
| Water | 4.662 | 0.018 * | 2.341 | 0.115 |
| L × W | 0.606 | 0.662 | 1.608 | 0.201 |
| Item | MDA | SOD | CAT | POD | ||||
|---|---|---|---|---|---|---|---|---|
| F | P | F | P | F | P | F | P | |
| Light | 12.285 | 0.000 ** | 23.192 | 0.000 ** | 5.969 | 0.004 ** | 3.900 | 0.000 ** |
| Water | 61.603 | 0.000 ** | 10.620 | 0.000 ** | 235.383 | 0.000 ** | 557.075 | 0.024 ** |
| Time | 12.539 | 0.000 ** | 8.544 | 0.000 ** | 77.954 | 0.000 ** | 253.739 | 0.000 ** |
| L × W | 1.906 | 0.117 | 0.872 | 0.484 | 14.134 | 0.000 ** | 6.179 | 0.000 ** |
| L × T | 1.654 | 0.169 | 1.231 | 0.304 | 21.537 | 0.000 ** | 1.797 | 0.137 |
| W × T | 1.565 | 0.192 | 5.077 | 0.001 ** | 31.784 | 0.000 ** | 48.681 | 0.000 ** |
| L × W × T | 2.656 | 0.012 ** | 0.807 | 0.598 | 15.027 | 0.000 ** | 6.645 | 0.000 ** |
Disclaimer/Publisher’s Note: The statements, opinions and data contained in all publications are solely those of the individual author(s) and contributor(s) and not of MDPI and/or the editor(s). MDPI and/or the editor(s) disclaim responsibility for any injury to people or property resulting from any ideas, methods, instructions or products referred to in the content. |
© 2023 by the authors. Licensee MDPI, Basel, Switzerland. This article is an open access article distributed under the terms and conditions of the Creative Commons Attribution (CC BY) license (https://creativecommons.org/licenses/by/4.0/).
Share and Cite
Wu, M.; Hao, H.; Ge, Y.; Pu, T.; He, Z.; Ge, D.; Rene, E.R.; Huang, Z. Treatment of Black-Odorous Water Using Submerged Plants: The Physiological Response of Vallisneria natans. Water 2023, 15, 653. https://doi.org/10.3390/w15040653
Wu M, Hao H, Ge Y, Pu T, He Z, Ge D, Rene ER, Huang Z. Treatment of Black-Odorous Water Using Submerged Plants: The Physiological Response of Vallisneria natans. Water. 2023; 15(4):653. https://doi.org/10.3390/w15040653
Chicago/Turabian StyleWu, Mian, Huijuan Hao, Yili Ge, Tong Pu, Ziyun He, Dabing Ge, Eldon R. Rene, and Zhenrong Huang. 2023. "Treatment of Black-Odorous Water Using Submerged Plants: The Physiological Response of Vallisneria natans" Water 15, no. 4: 653. https://doi.org/10.3390/w15040653
APA StyleWu, M., Hao, H., Ge, Y., Pu, T., He, Z., Ge, D., Rene, E. R., & Huang, Z. (2023). Treatment of Black-Odorous Water Using Submerged Plants: The Physiological Response of Vallisneria natans. Water, 15(4), 653. https://doi.org/10.3390/w15040653
