Determining the Changing Irrigation Demands of Maize Production in the Cukurova Plain under Climate Change Scenarios with the CROPWAT Model
Abstract
:1. Introduction
2. Material and Methods
2.1. Study Area
2.2. Description of CROPWAT Model and Input Data
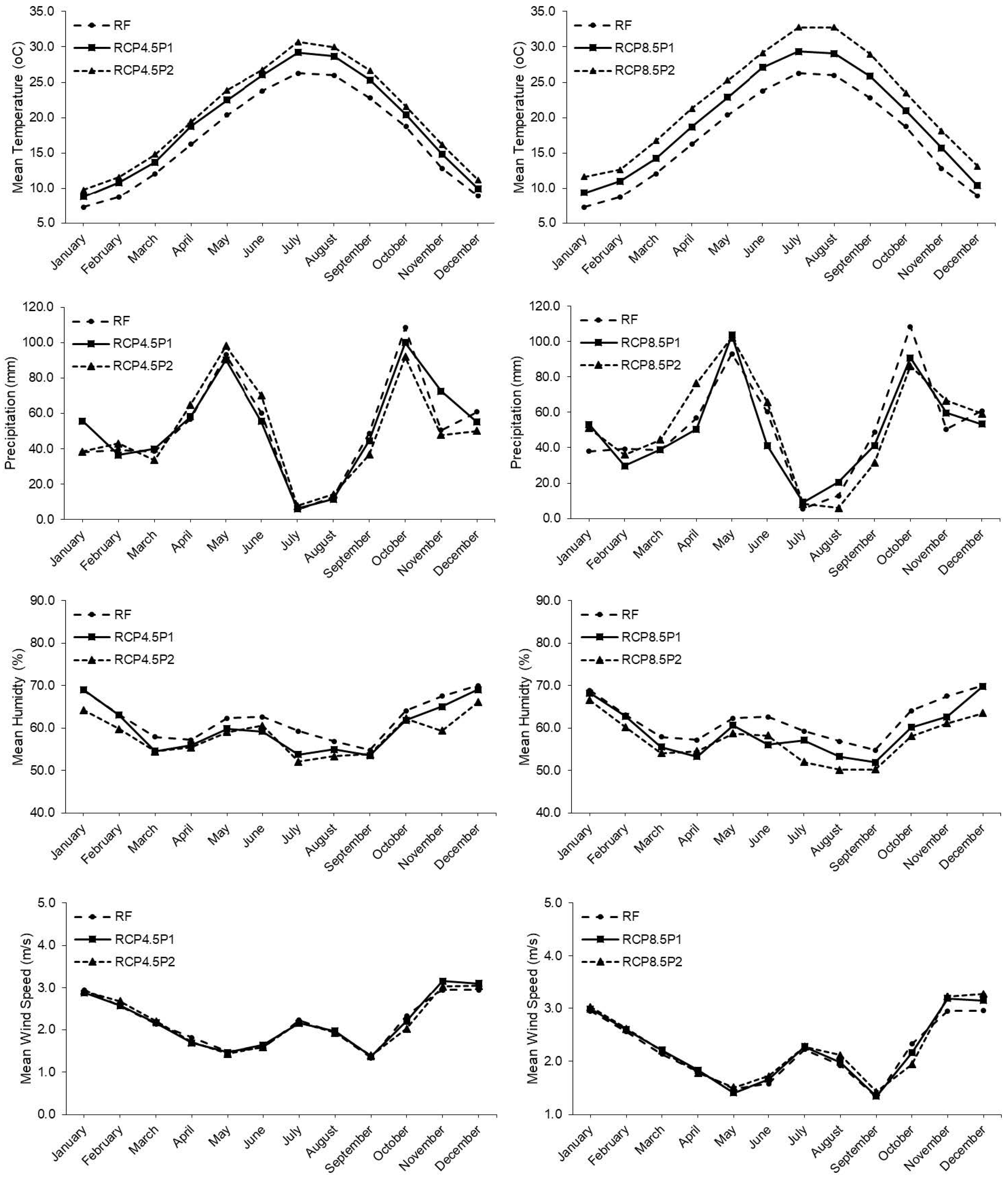
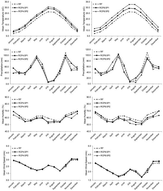
2.3. Climate Data
2.4. Crop Data
2.5. Soil Data
2.6. CROPWAT Model Outputs
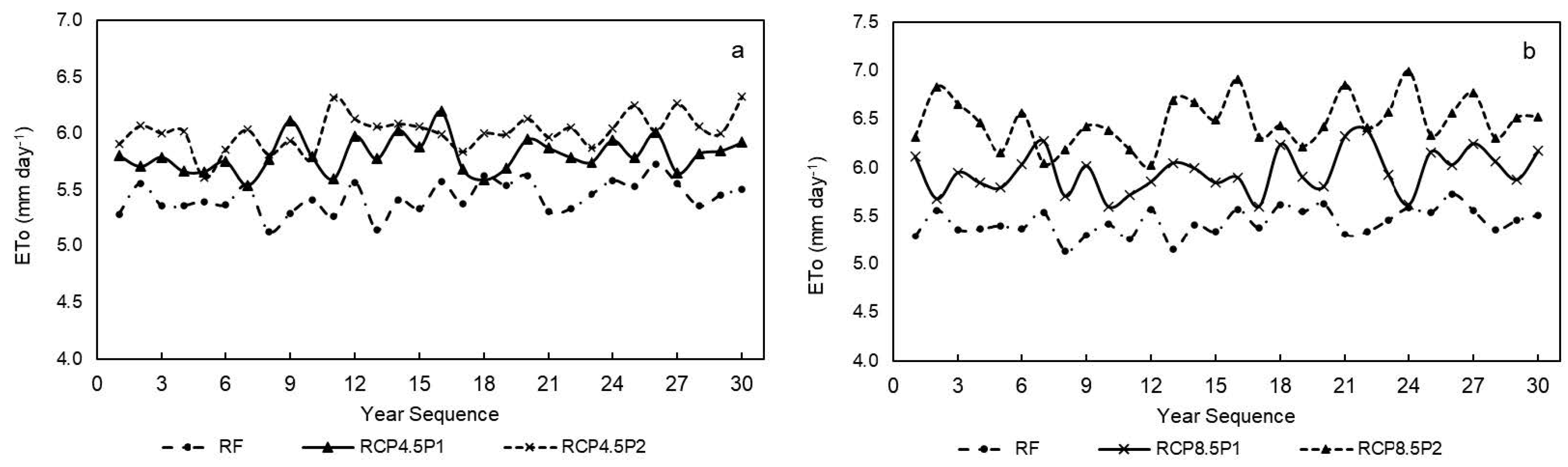
2.6.1. Reference Evapotranspiration (ETo)
- Rn: net radiation at the crop canopy (MJ m−2 day−1);
- G: soil heat flux density (MJ m−2 day−1);
- T: average daily air temperature at 2 m height (°C);
- u2: wind speed (at 2 m height (m s−1));
- es: saturation vapor pressure (kPa);
- ea: actual vapor pressure (kPa);
- es – ea: saturation vapor pressure deficit (kPa);
- ∆: slope vapor pressure curve (kPa °C−1);
- γ: psychometric constant (kPa °C−1).
2.6.2. Crop Evapotranspiration (ETc)
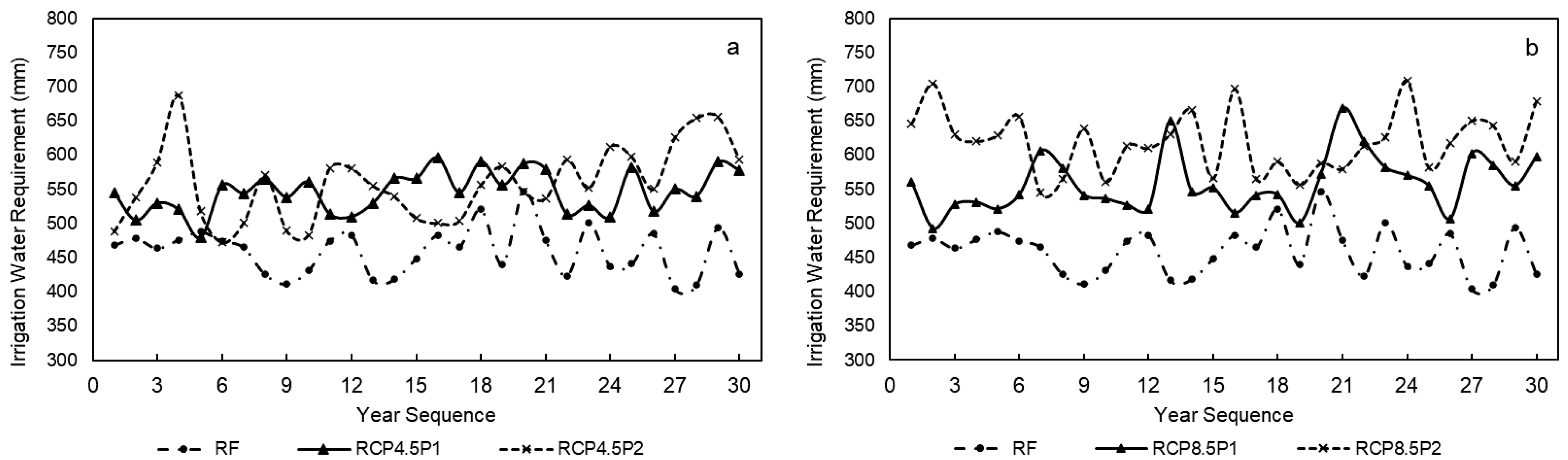
2.6.3. Estimation of Irrigation Water Requirement (IWR)
- Peff: effective rainfall;
- P: rainfall.
2.7. Limitation of CROPWAT
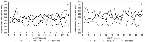
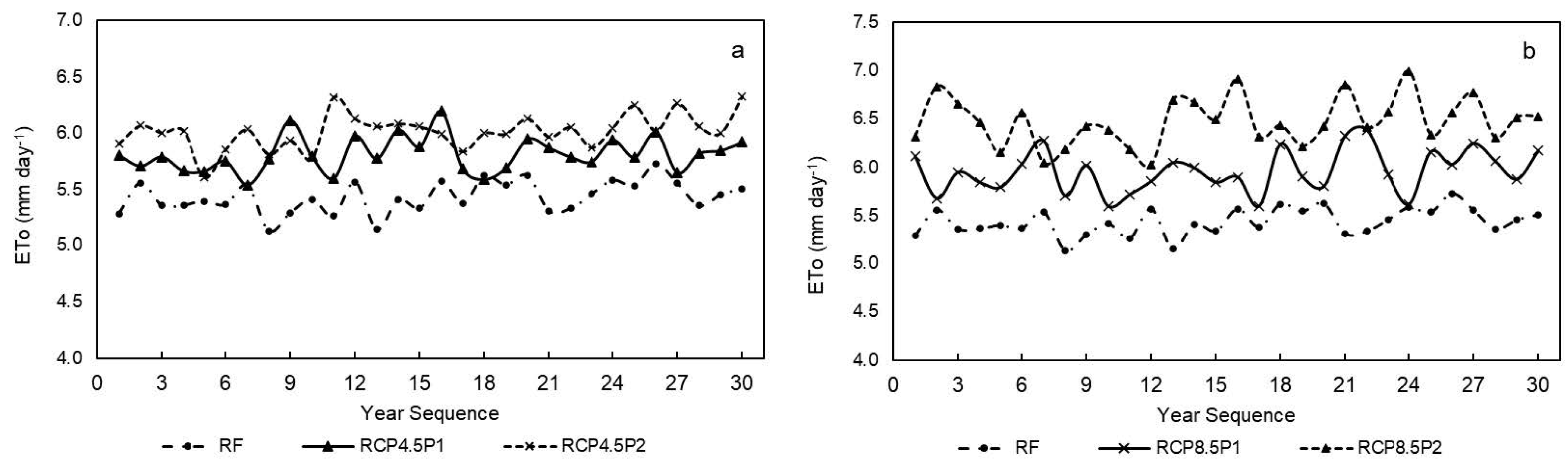
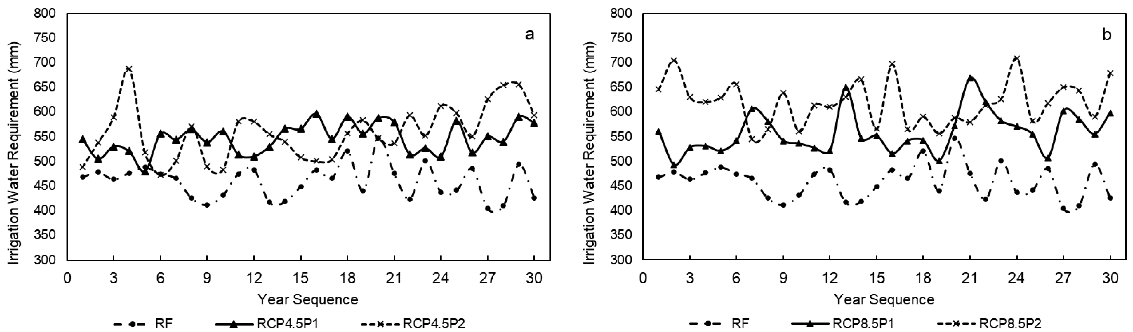
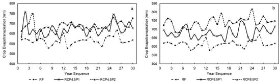
3. Results and Discussion
4. Conclusions
Funding
Data Availability Statement
Acknowledgments
Conflicts of Interest
References
- Rocha, J.; Carvalho-Santos, C.; Diogo, P.; Beça, P.; Keizer, J.J.; Nunes, J.P. Impacts of climate change on reservoir water availability, quality and irrigation needs in a water scarce Mediterranean region (southern Portugal). Sci. Total Environ. 2020, 736, 139477. [Google Scholar] [CrossRef] [PubMed]
- Ali, M.G.; Ahmed, M.; Ibrahim, M.M.; El Baroudy, A.A.; Ali, E.F.; Shokr, M.S.; Kheir, A.M. Optimizing sowing window, cultivar choice, and plant density to boost maize yield under RCP8. 5 climate scenario of CMIP5. Int. J. Biometeorol. 2022, 66, 971–985. [Google Scholar] [CrossRef] [PubMed]
- Adhikari, U.; Nejadhashemi, A.P.; Woznicki, S.A. Climate change and eastern Africa: A review of impact on major crops. Food Energy Secur. 2015, 4, 110–132. [Google Scholar] [CrossRef]
- Ali, S.; Liu, Y.; Ishaq, M.; Shah, T.; Ilyas, A.; Din, I.U. Climate change and its impact on the yield of major food crops: Evidence from Pakistan. Foods 2017, 6, 39. [Google Scholar] [CrossRef] [PubMed]
- Zhang, Y.; Niu, H.; Yu, Q. Impacts of climate change and increasing carbon dioxide levels on yield changes of major crops in suitable planting areas in China by the 2050s. Ecol. Indic. 2021, 125, 107588. [Google Scholar] [CrossRef]
- Wang, F.; Xie, R.; Ming, B.; Wang, K.; Hou, P.; Chen, J.; Liu, G.; Zhang, G.; Xue, J.; Li, S. Dry matter accumulation after silking and kernel weight are the key factors for increasing maize yield and water use efficiency. Agric. Water Manag. 2021, 254, 106938. [Google Scholar] [CrossRef]
- FAO. Food and Agriculture Organization of the United Nations Home Page. Available online: http://www.fao.org/faostat/en/ (accessed on 15 May 2023).
- TURKSTAT. Turkish Statistical Institute Home Page. Available online: https://tuikweb.tuik.gov.tr/PreTablo.do?alt_id=1001 (accessed on 3 May 2023).
- Nelson, G.C.; Rosegrant, M.W.; Koo, J.; Robertson, R.; Sulser, T.; Zhu, T.; Ringler, C.; Msangi, S.; Palazzo, A.; Batka, M.; et al. Climate Change: Impact on Agriculture and Costs of Adaptation No 21; Food policy reports; International Food Policy Research Institute (IFPRI): Washington, DC, USA, 2009; p. 57. [Google Scholar] [CrossRef]
- Lobell, D.B.; Burke, M.B. On the use of statistical models to predict crop yield responses to climate change. Agric. For. Meteorol. 2010, 150, 1443–1452. [Google Scholar] [CrossRef]
- Praveen, B.; Sharma, P. A review of literature on climate change and its impacts on agriculture productivity. J. Public. Aff. 2019, 19, e1960. [Google Scholar] [CrossRef]
- Abbas, S. Climate change and major crop production: Evidence from Pakistan. Environ. Sci. Pollut. Res. 2022, 29, 5406–5414. [Google Scholar] [CrossRef]
- Henao, J.; Baanante, C.A. Estimating the Rates of Nutrient Depletion in Soils of Agricultural Lands of Africa; IFDC Technical Bulletin T48; International Fertilizer Development Center: Muscle Shoals, AL, USA, 1999; p. 76. [Google Scholar]
- UN. World Population Prospects 2019: Highlights (ST/ESA/SER.A/423); United Nations, Department of Economic and Social Affairs, Population Division: New York, NY, USA, 2019; p. 46. Available online: https://population.un.org/wpp/publications/files/wpp2019_highlights.pdf (accessed on 15 March 2023).
- Frederick, K.D.; Major, D.C. Climate change and water resources. Clim. Chang. 1997, 37, 7–23. [Google Scholar] [CrossRef]
- Fischer, G.; Tubiello, F.N.; Van Velthuizen, H.; Wiberg, D.A. Climate change impacts on irrigation water requirements: Effects of mitigation, 1990–2080. Technol. Forecast. Soc. Chang. 2007, 74, 1083–1107. [Google Scholar] [CrossRef]
- Estrela, T.; Pérez-Martin, M.A.; Vargas, E. Impacts of climate change on water resources in Spain. Hydrol. Sci. J. 2012, 57, 1154–1167. [Google Scholar] [CrossRef]
- Ding, Y.; Wang, W.; Zhuang, Q.; Luo, Y. Adaptation of paddy rice in China to climate change: The effects of shifting sowing date on yield and irrigation water requirement. Agric. Water Manag. 2020, 228, 105890. [Google Scholar] [CrossRef]
- Konapala, G.; Mishra, A.K.; Wada, Y.; Mann, M.E. Climate change will affect global water availability through compounding changes in seasonal precipitation and evaporation. Nat. Commun. 2020, 11, 3044. [Google Scholar] [CrossRef]
- Rolbiecki, S.; Rolbiecki, R.; Kuśmierek-Tomaszewska, R.; Żarski, J.; Jagosz, B.; Kasperska-Wołowicz, W.; Sadan, H.; Łangowski, A. Influence of Forecast Climate Changes on Water Needs of Jerusalem Artichoke Grown in the Kuyavia Region in Poland. Energies 2023, 16, 533. [Google Scholar] [CrossRef]
- Jefferies, D.; Muñoz, I.; Hodges, J.; King, V.J.; Aldaya, M.M.; Ercin, A.E.; Milà i Canals, L.; Hoekstra, A.Y. Water footprint and life cycle assessment as approaches to assess potential impacts of products on water consumption. Key learning points from pilot studies on tea and margarine. J. Clean. Prod. 2012, 33, 155–166. [Google Scholar] [CrossRef]
- Grafton, R.Q.; Williams, J.; Perry, C.J.; Molle, F.; Ringler, C.; Steduto, P.; Udall, B.; Wheeler, S.A.; Wang, Y.; Garrick, D.; et al. The paradox of irrigation efficiency. Science 2018, 361, 748–750. [Google Scholar] [CrossRef]
- Costa, J.M.; Ortuño, M.F.; Chaves, M.M. Deficit irrigation as a strategy to save water: Physiology and potential application to horticulture. J. Integr. Plant Biol. 2007, 49, 1421–1434. [Google Scholar] [CrossRef]
- Yosef, B.A.; Asmamaw, D.K. Rainwater harvesting: An option for dry land agriculture in arid and semi-arid Ethiopia. Int. J. Water Resour. Environ. Eng. 2015, 7, 17–28. [Google Scholar] [CrossRef]
- Suna, T.; Kumari, A.; Paramaguru, P.K.; Kushwaha, N.L. Enhancing Agricultural Water Productivity Using Deficit Irrigation Practices in Water-Scarce Regions. In Enhancing Resilience of Dryland Agriculture Under Changing Climate: Interdisciplinary and Convergence Approaches; Springer Nature: Singapore, 2023; pp. 177–206. [Google Scholar] [CrossRef]
- Smith, M. The application of climatic data for planning and management of sustainable rainfed and irrigated crop production. Agric. For. Meteorol. 2000, 103, 99–108. [Google Scholar] [CrossRef]
- Yetik, A.K.; Candoğan, B.N. Chlorophyll Response to Water Stress and the Potential of Using Crop Water Stress Index in Sugar Beet Farming. Sugar Tech. 2023, 25, 57–68. [Google Scholar] [CrossRef] [PubMed]
- Huang, H.; Han, D.; Chen, N.; Huang, D.; Zhang, Z.; Zhang, K. Water consumption pattern of capsicum annuum under regulated deficit irrigation in desert oasis. J. Nat. Resour. 2012, 27, 747–756. [Google Scholar] [CrossRef]
- Wanniarachchi, S.; Sarukkalige, R. A Review on Evapotranspiration Estimation in Agricultural Water Management: Past, Present, and Future. Hydrology 2022, 9, 123. [Google Scholar] [CrossRef]
- Allen, R.G.; Pereira, L.S.; Raes, D.; Smith, M. Crop Evapotranspiration-Guidelines for computing crop water requirements—FAO Irrigation and drainage paper 56. FAO 1998, 300, D05109. [Google Scholar]
- Droogers, P.; Allen, R.G. Estimating reference evapotranspiration under inaccurate data conditions. Irrig. Drain. Syst. 2002, 16, 33–45. [Google Scholar] [CrossRef]
- Walter, I.A.; Allen, R.G.; Elliott, R.; Mecham, B.; Jensen, M.E.; Itenfisu, D.; Howell, T.A.; Snyder, R.; Brown, P.; Echings, S.; et al. ASCE Standardized Reference Evapotranspiration Equation. In Proceedings of the National Irrigation Symposium, Phoenix, AZ, USA, 14–16 November 2000; Evans, R.G., Benham, B.L., Trooien, T.P., Eds.; ASAE: Washington, DC, USA, 2000; pp. 209–215. [Google Scholar] [CrossRef]
- Howell, T.A.; Evett, S.R. The Penman-Monteith Method; USDA-Agricultural Research Service, Conservation & Production Research Laboratory: Washington, DC, USA, 2004; Volume 14. [Google Scholar]
- Allen, R.G.; Pruitt, O.W.; Wright, L.J.; Howell, A.T.; Ventura, F.; Snyder, R.; Itenfisu, D.; Steduto, P.; Berengena, J.; Yrisarry, B.J.; et al. A recommendation on standardized surfaceresistance for hourly calculation of reference ETo by FAO56 Penman-Monteith method. Agric. Water Manag. 2006, 81, 1–22. [Google Scholar] [CrossRef]
- Kimball, B.A.; Thorp, K.R.; Boote, K.J.; Stockle, C.; Suyker, A.E.; Evett, S.R.; Braue, D.K.; Coyle, G.G.; Copeland, K.S.; Marek, G.W.; et al. Simulation of evapotranspiration and yield of maize: An inter-comparison among 41 maize models. Agric. For. Meteorol. 2023, 333, 109396. [Google Scholar] [CrossRef]
- Madugundu, R.; Al-Gaadi, K.A.; Tola, E.; El-Hendawy, S.; Marey, S.A. Mapping of Evapotranspiration and Determination of the Water Footprint of a Potato Crop Grown in Hyper-Arid Regions in Saudi Arabia. Sustainability 2023, 15, 12201. [Google Scholar] [CrossRef]
- El-Rawy, M.; Fathi, H.; Zijl, W.; Alshehri, F.; Almadani, S.; Zaidi, F.K.; Aldawsri, M.; Gabr, M.E. Potential Effects of Climate Change on Agricultural Water Resources in Riyadh Region, Saudi Arabia. Sustainability 2023, 15, 9513. [Google Scholar] [CrossRef]
- Makar, R.S.; Shahin, S.A.; El-Nazer, M.; Wheida, A.; Abd El-Hady, M. Evaluating the Impacts of Climate Change on Irrigation Water Requirements. Sustainability 2022, 14, 14833. [Google Scholar] [CrossRef]
- Supriyasilp, T.; Suwanlertcharoen, T.; Pongput, N.; Pongput, K. Root Zone Soil Moisture Assessment at the Farm Scale Using Remote Sensing and Water Balance Models. Sustainability 2022, 14, 1123. [Google Scholar] [CrossRef]
- Nkomozepi, T.; Chung, S. Assessing the trends and uncertainty of maize net irrigation water requirement estimated from climate change projections for Zimbabwe. Agric. Water Manag. 2012, 111, 60–67. [Google Scholar] [CrossRef]
- Rajaona, A.M.; Sutterer, N.; Asch, F. Potential of Waste Water Use for Jatropha Cultivation in Arid Environments. Agriculture 2012, 2, 376–392. [Google Scholar] [CrossRef]
- Hussain, S.; Mubeen, M.; Nasim, W.; Fahad, S.; Ali, M.; Ehsan, M.A.; Raza, A. Investigation of Irrigation Water Requirement and Evapotranspiration for Water Resource Management in Southern Punjab, Pakistan. Sustainability 2023, 15, 1768. [Google Scholar] [CrossRef]
- Ucar, Y.; Kocięcka, J.; Liberacki, D.; Rolbiecki, R. Analysis of Crop Water Requirements for Apple Using Dependable Rainfall. Atmosphere 2023, 14, 99. [Google Scholar] [CrossRef]
- Goodarzi, M.R.; Mohtar, R.H.; Piryaei, R.; Fatehifar, A.; Niazkar, M. Urban WEF Nexus: An Approach for the Use of Internal Resources under Climate Change. Hydrology 2022, 9, 176. [Google Scholar] [CrossRef]
- Li, Z.; Wu, H.; Deng, X. Spatial Pattern of Water Footprints for Crop Production in Northeast China. Sustainability 2022, 14, 13649. [Google Scholar] [CrossRef]
- Saeed, F.H.; Al-Khafaji, M.S.; Al-Faraj, F.A.M. Sensitivity of Irrigation Water Requirement to Climate Change in Arid and Semi-Arid Regions towards Sustainable Management of Water Resources. Sustainability 2021, 13, 13608. [Google Scholar] [CrossRef]
- Ewaid, S.H.; Abed, S.A.; Al-Ansari, N. Crop Water Requirements and Irrigation Schedules for Some Major Crops in Southern Iraq. Water 2019, 11, 756. [Google Scholar] [CrossRef]
- Jiao, F.; Nie, L.; Shao, J.; Wang, Y.; Du, Y.; Guo, X.; Feng, H.; Liu, Z. Water Footprint Analysis of Sheep and Goat from Various Production Systems in Northern China. Sustainability 2023, 15, 10504. [Google Scholar] [CrossRef]
- Mohy, S.; El Aasar, K.; Sakr, Y. Decomposition Analysis of Virtual Water Outflows for Major Egyptian Exporting Crops to the European Union. Sustainability 2023, 15, 4943. [Google Scholar] [CrossRef]
- Al-Gaadi, K.A.; Madugundu, R.; Tola, E.; El-Hendawy, S.; Marey, S. Satellite-Based Determination of the Water Footprint of Carrots and Onions Grown in the Arid Climate of Saudi Arabia. Remote Sens. 2022, 14, 5962. [Google Scholar] [CrossRef]
- Fu, M.; Guo, B.; Wang, W.; Wang, J.; Zhao, L.; Wang, J. Comprehensive Assessment of Water Footprints and Water Scarcity Pressure for Main Crops in Shandong Province, China. Sustainability 2019, 11, 1856. [Google Scholar] [CrossRef]
- Dechmi, F.; Playan, E.; Faci, J.M.; Tejero, M.; Bercero, A. Analysis of an irrigation district in northeastern Spain: II. Irrigation evaluation, simulation and scheduling. Agric. Water Manag. 2023, 61, 93–109. [Google Scholar] [CrossRef]
- Surendran, U.; Sushanth, C.M.; Joseph, E.J.; Al-Ansari, N.; Yaseen, Z.M. FAO CROPWAT Model-Based Irrigation Requirements for Coconut to Improve Crop and Water Productivity in Kerala, India. Sustainability 2019, 11, 5132. [Google Scholar] [CrossRef]
- Awad, A.; Luo, W.; Al-Ansari, N.; Elbeltagi, A.; El-Rawy, M.; Farres, H.N.; Gabr, M.E.-S. Farmers’ Awareness in the Context of Climate Change: An Underutilized Way for Ensuring Sustainable Farmland Adaptation and Surface Water Quality. Sustainability 2021, 13, 11802. [Google Scholar] [CrossRef]
- Khan, Z.A.; Imran, M.; Umer, J.; Ahmed, S.; Diemuodeke, O.E.; Abdelatif, A.O. Assessing Crop Water Requirements and a Case for Renewable-Energy-Powered Pumping System for Wheat, Cotton, and Sorghum Crops in Sudan. Energies 2021, 14, 8133. [Google Scholar] [CrossRef]
- Li, N.; Nie, T.; Tang, Y.; Lu, D.; Wang, T.; Zhang, Z.; Chen, P.; Li, T.; Meng, L.; Jiao, Y.; et al. Responses of Soybean Water Supply and Requirement to Future Climate Conditions in Heilongjiang Province. Agriculture 2022, 12, 1035. [Google Scholar] [CrossRef]
- El-Shafei, A.A.; Mattar, M.A. Irrigation Scheduling and Production of Wheat with Different Water Quantities in Surface and Drip Irrigation: Field Experiments and Modelling Using CROPWAT and SALTMED. Agronomy 2022, 12, 1488. [Google Scholar] [CrossRef]
- Li, Q.; Huang, W.; Wang, J.; Zhang, Z.; Li, Y.; Han, Y.; Feng, L.; Li, X.; Yang, B.; Wang, G.; et al. Quantitative Evaluation of Variation and Driving Factors of the Regional Water Footprint for Cotton Production in China. Sustain. Prod. Consum. 2023, 35, 684–696. [Google Scholar] [CrossRef]
- Nie, T.; Gong, Z.; Zhang, Z.; Wang, T.; Sun, N.; Tang, Y.; Chen, P.; Li, T.; Yin, S.; Zhang, M.; et al. Irrigation Scheduling for Maize under Different Hydrological Years in Heilongjiang Province, China. Plants 2023, 12, 1676. [Google Scholar] [CrossRef]
- Oumarou Abdoulaye, A.; Lu, H.; Zhu, Y.; Alhaj Hamoud, Y.; Sheteiwy, M. The Global Trend of the Net. Irrigation Water Requirement of Maize from 1960 to 2050. Climate 2019, 7, 124. [Google Scholar] [CrossRef]
- Zhao, X.; Shi, J.; Liu, M.; Zafar, S.U.; Liu, Q.; Mian, I.A.; Khan, B.; Khan, S.; Zhuang, Y.; Dong, W.; et al. Spatial Characteristics and Driving Forces of the Water Footprint of Spring Maize Production in Northern China. Agriculture 2023, 13, 1808. [Google Scholar] [CrossRef]
- Welde, K.; Gebremariam, H.L. Effect of different furrow and plant spacing on yield and water use efficiency of maize. Agric. Water Manag. 2016, 177, 215–220. [Google Scholar] [CrossRef]
- Mishra, Y.; Babel, M.S.; Nakamura, T.; Mishra, B. Impacts of Climate Change on Irrigation Water Management in the Babai River Basin, Nepal. Hydrology 2021, 8, 85. [Google Scholar] [CrossRef]
- Dawit, M.; Olika, B.D.; Muluneh, F.B.; Leta, O.T.; Dinka, M.O. Assessment of Surface Irrigation Potential of the Dhidhessa River Basin, Ethiopia. Hydrology 2020, 7, 68. [Google Scholar] [CrossRef]
- Kanzari, S.; Daghari, I.; Šimůnek, J.; Younes, A.; Ilahy, R.; Ben Mariem, S.; Rezig, M.; Ben Nouna, B.; Bahrouni, H.; Ben Abdallah, M.A. Simulation of Water and Salt Dynamics in the Soil Profile in the Semi-Arid Region of Tunisia—Evaluation of the Irrigation Method for a Tomato Crop. Water 2020, 12, 1594. [Google Scholar] [CrossRef]
- Jayanti, M.; Sabar, A.; Dwi Ariesyady, H.; Marselina, M.; Qadafi, M. A comparison of three water discharge forecasting models for monsoon climate region: A case study in cimanuk-jatigede watershed Indonesia. Water Cycle 2023, 4, 17–25. [Google Scholar] [CrossRef]
- Demircan, M.; Demir, Ö.; Atay, H.; Eskioğlu, O.; Tüvan, A.; Akçakaya, A. Climate change projections for Turkey with new scenarios. In Proceedings of the Climate Change and Climate Dynamics Conference-2014–CCCD2014, Istanbul, Turkey, 8–10 September 2014; pp. 8–10. [Google Scholar]
- Akçakaya, A.; Sümer, U.M.; Demircan, M.; Demir, Ö.; Atay, H.; Eskioğlu, O.; Gürkan, H.; Yazıcı, B.; Kocatürk, A.; Şensoy, S.; et al. Yeni Senaryolarla Türkiye İklim Projeksiyonları ve İklim Değişikliği-TR2015-CC; Meteoroloji Genel Müdürlüğü yayını: Ankara, Türkiye, 2015; p. s149. [Google Scholar]
- Aibaidula, D.; Ates, N.; Dadaser-Celik, F. Modelling climate change impacts at a drinking water reservoir in Turkey and implications for reservoir management in semi-arid regions. Environ. Sci. Pollut. Res. 2023, 30, 13582–13604. [Google Scholar] [CrossRef]
- Gençoğlan, C.; Yazar, A. The effects of deficit irrigations on corn yield and water use efficiency. Turk. J. Agric. For. 1999, 23, 233–242. [Google Scholar]
- TAGEM. Türkiye’de sulanan bitkilerin bitki su tüketimi rehberi; T.C. Gıda, Tarım ve Hayvancılık Bakanlığı Tarımsal Araştırmalar ve Politikalar Genel Müdürlüğü (TAGEM) Yayınları: Ankara, Türkiye, 2017; p. s590. Available online: https://www.tarimorman.gov.tr/TAGEM/Belgeler/yayin/Tu%CC%88rkiyede%20Sulanan%20Bitkilerin%20Bitki%20Su%20Tu%CC%88ketimleri.pdf (accessed on 15 March 2023).
- Çetin, Ö.; Üzen, N. Yüzey ve yüzeyaltı damla sulamanın toprakta nem değişimi ve toprak su tansiyonuna etkisi. Harran Tarım Ve Gıda Bilim. Derg. 2018, 22, 461–470. [Google Scholar]
- Brouwer, C.; Heibloem, M. Irrigation Water Management: Irrigation Water Needs; Training manual no:3; Food and Agriculture Organization of the United Nations: Rome, Italy, 1986; Volume 3, p. 102. [Google Scholar]
- Gabr, M.E. Modelling net irrigation water requirements using FAO-CROPWAT 8.0 and CLIMWAT 2.0: A case study of Tina Plain and East South ElKantara regions, North Sinai, Egypt. Arch. Agron. Soil Sci. 2021, 68, 1322–1337. [Google Scholar] [CrossRef]
- Cavero, J.; Farre, I.; Debaeke, P.; Faci, J.M. Simulation of Maize Yield under Water Stress with the EPICphase and CROPWAT Models. Agron. J. 2000, 92, 679–690. [Google Scholar] [CrossRef]
- Vote, C.; Oeurng, C.; Sok, T.; Phongpacith, C.; Inthavong, T.; Seng, V.; Eberbach, P.; Hornbuckle, J.A. Comparison of Three Empirical Models for Assessing Cropping Options in a Data-Sparse Environment, with Reference to Laos and Cambodia; ACIAR Technical Reports No. 87; Australian Centre for International Agricultural Research: Canberra, Australia, 2015; p. 30. [Google Scholar]
- Raeth, P.G. Moving beyond manual software-supported precision irrigation to human-supervised adaptive automation. Afr. J. Agric. Res. 2020, 16, 1548–1553. [Google Scholar]
- Raeth, P.G. Transition of soil-moisture estimation theory to practical application. J. Eng. Comput. Innov. 2021, 6, 1–10. [Google Scholar] [CrossRef]
- Ramezani, H.; Nazari, B.; Tavakoli, A.R.; Parsinejad, M. Evaluation of CROPWAT model in deficit irrigation management of wheat and barley in Karaj. Water Soil 2009, 23, 119–129. [Google Scholar] [CrossRef]
- Intergovernmental Panel on Climate Change (IPCC). Summary for Policymakers. In Climate Change 2022—Impacts, Adaptation and Vulnerability: Working Group II Contribution to the Sixth Assessment Report of the Intergovernmental Panel on Climate Change; Cambridge University Press: Cambridge, UK, 2023; pp. 3–34. [Google Scholar] [CrossRef]
- Todaro, V.; D’Oria, M.; Secci, D.; Zanini, A.; Tanda, M.G. Climate Change over the Mediterranean Region: Local Temperature and Precipitation Variations at Five Pilot Sites. Water 2022, 14, 2499. [Google Scholar] [CrossRef]
- Seker, M.; Gumus, V. Projection of temperature and precipitation in the Mediterranean region through multi-model ensemble from CMIP6. Atmos. Res. 2022, 280, 106440. [Google Scholar] [CrossRef]
- Alkan, Ç.; Konukcu, F. Determination of the effect of climate change on wheat yield in the Porsuk creek watershed. ISPEC J. Agric. Sci. 2022, 6, 318–330. [Google Scholar] [CrossRef]
- Soares, D.; Paço, T.A.; Rolim, J. Assessing climate change impacts on irrigation water requirements under Mediterranean conditions—A review of the methodological approaches focusing on maize crop. Agronomy 2023, 13, 117. [Google Scholar] [CrossRef]
- Abdrabbo, M.A.; Farag, A.A.; El-Desokey, W.M.S. Implementing of RCPs scenarios for the prediction of evapotranspiration in Egypt. Int. J. Plant Soil. Sci. 2015, 6, 50–63. [Google Scholar] [CrossRef] [PubMed]
- Allani, M.; Mezzi, R.; Zouabi, A.; Béji, R.; Joumade-Mansouri, F.; Hamza, M.E.; Sahli, A. Impact of future climate change on water supply and irrigation demand in a small Mediterranean catchment. Case study: Nebhana dam system, Tunisia. J. Water Clim. Chang. 2020, 11, 1724–1747. [Google Scholar] [CrossRef]
- Talebmorad, H.; Abedi-Koupai, J.; Eslamian, S.; Mousavi, S.F.; Akhavan, S.; Ostad-Ali-Askari, K.; Singh, V.P. Evaluation of the impact of climate change on reference crop evapotranspiration in Hamedan-Bahar plain. Int. J. Hydrol. Sci. Technol. 2021, 11, 333–347. [Google Scholar] [CrossRef]
- Colaizzi, P.D.; Lamm, F.R.; Howell, T.A.; Evett, S.R. Crop production comparison under various irrigation systems. In Proceedings of the Central Plains Irrigation Conference, Colby, KS, USA, 21–22 February 2006; CPIA: Colby, KS, USA, 2006; pp. 189–207. [Google Scholar]
- Darouich, H.; Pedras, C.M.G.; Gonçalves, J.M.; Pereira, L.S. Drip vs. surface irrigation: A comparison focusing water saving and economic returns using multicriteria analysis applied to cotton. Biosyst. Eng. 2014, 122, 74–90. [Google Scholar] [CrossRef]
- Irmak, S.; Djaman, K.; Rudnick, D. Effect of full and limited irrigation amount and frequency on subsurface drip-irrigated maize evapotranspiration, yield, water use efficiency and yield response factors. Irrig. Sci. 2016, 3, 271–286. [Google Scholar] [CrossRef]
- Oktem, A.; Simsek, M.; Oktem, A.G. Deficit irrigation effects on sweet corn (Zea mays saccharata Sturt) with drip irrigation system in a semi-arid region: I. Water-yield relationship. Agric. Water Manag. 2003, 61, 63–74. [Google Scholar] [CrossRef]
- Bozkurt, S.; Yazar, A.; Mansuroglu, G.S. Effects of different drip irrigation levels on yield and some agronomic characteristics of raised bed planted corn. Afr. J. Agric. Res. 2011, 6, 5291–5300. [Google Scholar] [CrossRef]
- Lamm, F.R.; Trooien, T.P. Subsurface drip irrigation for corn production: A review of 10 years of research in Kansas. Irrig. Sci. 2003, 22, 195–200. [Google Scholar] [CrossRef]
- Zhang, Y.; Wang, J.; Gong, S.; Xu, D.; Sui, J.; Wu, Z.; Mo, Y. Effects of film mulching on evapotranspiration, yield and water use efficiency of a maize field with drip irrigation in Northeastern China. Agric. Water Manag. 2018, 205, 90–99. [Google Scholar] [CrossRef]
- Barbieri, P.; Echarte, L.; Della Maggiora, A.; Sadras, V.O.; Echeverria, H.; Andrade, F.H. Maize evapotranspiration and water-use efficiency in response to row spacing. Agron. J. 2012, 104, 939–944. [Google Scholar] [CrossRef]
- Toureiro, C.; Serralheiro, R.; Shahidian, S.; Sousa, A. Irrigation management with remote sensing: Evaluating irrigation requirement for maize under Mediterranean climate condition. Agric. Water Manag. 2017, 184, 211–220. [Google Scholar] [CrossRef]
- Yano, T.; Aydin, M.; Haraguchi, T. Impact of climate change on irrigation demand and crop growth in a Mediterranean environment of Turkey. Sensors 2007, 7, 2297–2315. [Google Scholar] [CrossRef]
- Yang, C.; Fraga, H.; Van Ieperen, W.; Santos, J.A. Assessment of irrigated maize yield response to climate change scenarios in Portugal. Agric. Water Manag. 2017, 184, 178–190. [Google Scholar] [CrossRef]
- Çamoğlu, G.; Genç, L.; Aşık, Ş. Tatlı mısırda (Zea mays saccharata Sturt) su stresinin fizyolojik ve morfolojik parametreler üzerine etkisi. Ege Üniversitesi Ziraat Fakültesi Derg. 2011, 48, 141–149. [Google Scholar]
- Istanbulluoglu, A.; Kocaman, I.; Konukcu, F. Water use–production relationship of maize under Tekirdag conditions in Turkey. Pak. J. Biol. Sci. 2002, 5, 287–291. [Google Scholar] [CrossRef]
- Nie, T.; Tang, Y.; Jiao, Y.; Li, N.; Wang, T.; Du, C.; Zhang, Z.; Chen, P.; Li, T.; Sun, Z.; et al. Effects of irrigation schedules on maize yield and water use efficiency under future climate scenarios in Heilongjiang Province based on the AquaCrop model. Agronomy 2022, 12, 810. [Google Scholar] [CrossRef]
- Xiang, K.; Li, Y.; Horton, R.; Feng, H. Similarity and difference of potential evapotranspiration and reference crop evapotranspiration—A review. Agric. Water Manag. 2020, 232, 106043. [Google Scholar] [CrossRef]
- Mo, X.; Liu, S.; Lin, Z.; Guo, R. Regional crop yield, water consumption and water use efficiency and their responses to climate change in the North China Plain. Agric. Ecosyst. Environ. 2009, 134, 67–78. [Google Scholar] [CrossRef]





| Months | Maximum Temperature (°C) | Minimum Temperature (°C) | Mean Daily Sunshine (hour) | Rainfall (mm) |
|---|---|---|---|---|
| 1. | 14.8 | 5.2 | 4.5 | 113.6 |
| 2. | 16.2 | 6.0 | 5.3 | 89.0 |
| 3. | 19.4 | 8.3 | 5.9 | 65.5 |
| 4. | 23.8 | 11.9 | 7.1 | 51.0 |
| 5. | 28.3 | 15.8 | 9.1 | 48.1 |
| 6. | 31.7 | 19.8 | 10.5 | 22.1 |
| 7. | 33.9 | 23.0 | 10.6 | 10.2 |
| 8. | 34.7 | 23.4 | 10.2 | 9.3 |
| 9. | 33.1 | 20.2 | 9.0 | 19.3 |
| 10. | 29.1 | 15.8 | 7.3 | 42.8 |
| 11. | 22.7 | 10.8 | 5.8 | 71.5 |
| 12. | 16.8 | 7.0 | 4.3 | 126.4 |
| Avg./Total | 25.4 | 13.9 | 7.5 | 668.8 |
| Parameters | Values | References | |
|---|---|---|---|
| Planting date (days) | 26/04 | [70] | |
| Harvest date (days) | 27/08 | ||
| Kc values | initial | 0.33 | [71] |
| mid-season | 1.14 | ||
| late-season | 0.31 | ||
| Stage (days) | initial | 9 | [70] |
| development | 35 | ||
| mid-season | 45 | ||
| late season | 35 | ||
| Rooting depth (m) | initial | 0.30 | [30] |
| late season | 1.20 | ||
| Critical depletion (fraction) | 0.30 | [72] | |
| Yield response factor | 1.23 | [70] | |
Disclaimer/Publisher’s Note: The statements, opinions and data contained in all publications are solely those of the individual author(s) and contributor(s) and not of MDPI and/or the editor(s). MDPI and/or the editor(s) disclaim responsibility for any injury to people or property resulting from any ideas, methods, instructions or products referred to in the content. |
© 2023 by the author. Licensee MDPI, Basel, Switzerland. This article is an open access article distributed under the terms and conditions of the Creative Commons Attribution (CC BY) license (https://creativecommons.org/licenses/by/4.0/).
Share and Cite
Şen, B. Determining the Changing Irrigation Demands of Maize Production in the Cukurova Plain under Climate Change Scenarios with the CROPWAT Model. Water 2023, 15, 4215. https://doi.org/10.3390/w15244215
Şen B. Determining the Changing Irrigation Demands of Maize Production in the Cukurova Plain under Climate Change Scenarios with the CROPWAT Model. Water. 2023; 15(24):4215. https://doi.org/10.3390/w15244215
Chicago/Turabian StyleŞen, Burak. 2023. "Determining the Changing Irrigation Demands of Maize Production in the Cukurova Plain under Climate Change Scenarios with the CROPWAT Model" Water 15, no. 24: 4215. https://doi.org/10.3390/w15244215
APA StyleŞen, B. (2023). Determining the Changing Irrigation Demands of Maize Production in the Cukurova Plain under Climate Change Scenarios with the CROPWAT Model. Water, 15(24), 4215. https://doi.org/10.3390/w15244215

