Next Article in Journal
Modified Lignocellulosic Waste for the Amelioration of Water Quality: Adsorptive Removal of Congo Red and Nitrate Using Modified Poplar Sawdust
Previous Article in Journal
Lipid Prospection Based on the Cellular Size of Phytoplankton Communities from Tropical Freshwater Ecosystems: A Systematic Literature Review
 
 
Font Type:
Arial Georgia Verdana
Font Size:
Aa Aa Aa
Line Spacing:
Column Width:
Background:
Article

Destabilization Mechanism of Rainfall-Induced Loess Landslides in the Kara Haisu Gully, Xinyuan County, Ili River Valley, China: Physical Simulation

1
College of Geology and Mining Engineering, Xinjiang University, Urumqi 830017, China
2
State Key Laboratory for Geomechanics and Deep Underground Engineering, Xinjiang University, Urumqi 830046, China
3
College of Resources and Earth Sciences, China University of Mining and Technology, Xuzhou 221116, China
4
Xinjiang Uygur Autonomous Region Geological Environment Monitoring Institute, Urumqi 830099, China
5
Xinjiang Dian Yun Technology Information Technology Co., Ltd., Urumqi 831499, China
*
Author to whom correspondence should be addressed.
Water 2023, 15(21), 3775; https://doi.org/10.3390/w15213775
Submission received: 6 October 2023 / Revised: 25 October 2023 / Accepted: 26 October 2023 / Published: 28 October 2023

Abstract

:
The destabilization mechanism of rainfall-induced loess landslides generally occurring in the Ili River Valley of China remains inadequately understood. This research investigates the variations accounting for the pore water pressure and vertical stresses in the landslide body during rainfall infiltration in Karahaisu landslide, Xinyuan County, Ili River Valley, China, through physical modeling tests together with the scanning electron microscope tests. The findings indicate that rainfall significantly increases the degree of water saturation within the slope, pore water pressure and vertical stresses. This increase is more pronounced in the later stages of rainfall, followed by a sharp decrease in both pore water pressure and vertical stresses post-landslide occurrence. The results also show the dynamic fluctuations in the size and structural complexity of soil particles and pores during the rainfall infiltration. Furthermore, the soil particles undergo fragmentation as a consequence of water infiltration, leading to soil body subsidence. This tensile fracturing, attributed to differential subsidence of the slope body, constitutes the fundamental cause of accelerated deformation and damage to the slopes. The evolution of continuous rainfall-induced landslides can be categorized into three stages: crack formation caused by compression and subsidence, uniform deformation by localized slip, and eventual damage by accelerated deformation.

1. Introduction

Loess, a loose sediment primarily formed by wind during the Quaternary period [1], boasts a global distribution covering an estimated 13 million square kilometers, accounting for approximately 9.3% of the Earth’s land area [2]. Notably, China claims the world’s most extensive distribution of loess, with an expanse encompassing roughly 631,000 square kilometers, amounting to approximately 6.0% of the nation’s total land area. The Loess Plateau in Northwestern China represents a significant segment of this distribution, comprising approximately 72.4%. It is pertinent to underscore that loess landslides rank among the most severe geological hazards prevalent in Northwestern China [3]. The distinctive structural characteristics of loess render it exceptionally vulnerable to rapid strength reduction in response to moisture infiltration.
Among the myriad of triggers, intense rainfall stands out as the paramount catalyst for loess landslides, responsible for more than 90% of the overall damage inflicted on loess slopes [4]. The manifestation of rainfall-induced loess landslides in Northwestern China exhibits a profound correlation with the temporal and spatial patterns of rainfall [5]. A tragic landslide event unfolded on the northern slope of the Bailu Plateau in Shijiadao Village, Shaanxi Province in September 2011, claiming the lives of 32 individuals and injuring 5 others following several days of torrential rain [6]. Similarly, a colossal landslide that ravaged the Ili region of Xinjiang in May 2002 resulted in more than 30 casualties associated with an accumulation of debris of about 2275.5 × 10 cubic meters. The occurrence of a landslide led to the formation of a barrier lake, posing a severe threat to the lives and property of downstream communities [7]. Therefore, comprehending the mechanisms governing the vulnerability of loess slopes to rainfall-induced infiltration is an urgent and paramount concern. Addressing this issue can potentially ameliorate a myriad of slope destabilization challenges ignited by rainfall in loess-prone regions.
The investigation of rainfall-induced loess landslides encompasses three primary dimensions [6]. This paper primarily focuses on exploring the processes of rainfall infiltration within loess, employing two methodological approaches: mathematical modeling and physical modeling tests and monitoring. The second dimension concentrates on the evolution of mechanical properties in slope soils during rainfall events. Lastly, the third dimension delves into examining loess slope stability amid rainfall. Of paramount importance among these facets is the study of rainfall infiltration into loess, a critical research frontier. Terzaghi [8] introduced the principle of effective stress, uncovering the mechanism of pore water pressure during rainfall infiltration in landslide disasters. Collins et al. [9] found that the permeability of the slope geotechnical body determines the depth of slip surface burial through a large number of case studies. Onyelowe et al. [10] analyzed landslide hazards in southern Luxembourg and concluded that after prolonged rainfall, inadequate drainage rates of slope soils can lead to increased pore water pressure buildup and eventual landslides. Emberson et al. [11] found that rainfall-induced landslides occurred more frequently in rugged and steep terrain by analyzing the statistics of 16 rainfall-induced landslides around the world. Mehmood et al. [12] conducted artificial rainfall experiments on a slope in Tatta Pani, deriving a cumulative rainfall threshold for triggering rockfall.
Chen, Liu and Yan [13,14,15] adopted the finite unit method to simulate the whole process of rainfall infiltration on slopes and concluded that both rainfall intensity and duration significantly influence slope stability. Some other scholars [16,17,18] conducted indoor rainfall landslide modeling tests and closely monitored the water content, pore water pressure, and vertical stress. They concluded that rainfall infiltration and damage development were pivotal factors contributing to slope development.
The utilization of microscopic techniques to assess the properties of rock and soil bodies has witnessed significant advancements in soil microstructure observation, particularly with the widespread application of optical observation methods, most notably the scanning electron microscope (SEM) [19,20,21]. This adoption has substantially propelled the development of soil microstructure research [22,23]. A large number of scholars have conducted extensive investigations into soil microstructure, encompassing studies on particle-to-particle contact relationships and particle fragmentation, yielding numerous research findings [24,25]. Currently, microstructure assessments involve various testing methods, including scanning electron microscopy (SEM), X-ray computed tomography (CT), nuclear magnetic resonance (NMR), X-ray diffraction (XPD), energy spectrum analysis (EDS), mercury-in-pressure (MIP), and nitrogen adsorption [26]. Among these methods, SEM imaging stands out as a particularly valuable tool for its ability to directly depict the morphology and structure of soil particles and pores. The SEM-based analysis was chosen as the primary microscopic research tool in this study due to its convenience and rapid image acquisition.
The total area covered by Xinjiang loess spans approximately 190,000 square kilometers, representing 29.6% of China’s entire loess territory. It is noteworthy, however, that prior research efforts in China have predominantly concentrated on the Loess Plateau, while fewer studies have been conducted on the loess of the Ili River Valley in Xinjiang [27]. The distinctive geographical “horn” shape of the Ili region results in abundant rainfall. Unique loess characteristics and a humid climate have contributed to a substantial number of loess landslides, with formation mechanisms and destructive behaviors that differ from those in other loess regions [28]. In recent years, the Ili region has experienced a significant upsurge in geological disasters. According to data from the Ili State Geological and Environmental Monitoring Station, a total of 342 geological disasters occurred in the area from 2005 to 2021, with landslides constituting a substantial 68% of these incidents [29,30]. Prior research findings indicate that the Ili region’s loess exhibits heightened sensitivity to rainwater infiltration, and that precipitation plays a pivotal role in both triggering and exacerbating loess landslides within this locale [31,32,33,34]. Consequently, it is imperative to achieve a more profound comprehension of the processes and mechanisms underpinning rainfall-induced loess landslides in the Ili River Valley. Previous studies on landslide physical modeling have predominantly revolved around the infiltration and transport of water within loess slopes and the characterization of associated alterations in critical soil parameters like moisture content, pore water pressure, and vertical stresses. However, limited attention has been directed towards establishing connections between the microscopic and macroscopic behaviors of soil during rainfall infiltration in loess landslides.
Given the distinctive structural nature of loess landslides prevalent in the Ili River Valley and the intricate infiltration conditions, this study aims to comprehensively investigate the destabilization and deformation mechanisms of rainfall-induced loess landslides in this region. Furthermore, it seeks to elucidate the microscopic alterations within the soil during rainfall infiltration. This paper conducted a series of physical modeling experiments and microscopic investigations of loess landslides, simulating sustained rainfall conditions. These experiments aim to analyze the evolution of pore water pressure, vertical stresses, and microscopic parameters throughout rainfall infiltration. Additionally, they facilitated the examination of macro–micro deformation and damage patterns within the slope body. The findings contribute to understanding the destabilization modes and mechanisms underlying typical rainfall-induced loess landslides in the Ili River Valley and serve as a valuable theoretical foundation for future initiatives focused on local disaster prevention and mitigation.

2. Experimental Scheme

2.1. Overview of the Study Area

As illustrated in Figure 1a–c, the study site is situated in Xinyuan County, within the Ili Region of Xinjiang, China. This paper focuses on a potential landslide location characterized by its distinctive “semicircular” morphology. The area is bordered by gullies on its eastern and western boundaries, extending from the northern foothill to the southern ridge, as depicted in Figure 1d. Presently, numerous tension cracks have emerged along the rear edge of the landslide mass, exhibiting a Y-shaped pattern with bifurcation towards the southeast. The overall inclination trends northwest and these cracks have been filled with loose soil, giving rise to a scarp, as observed in Figure 1e,f. The surface layer of the landslide consists of loess, underlain by granite bedrock. The overlying stratum is relatively thick, and the depth of the slip surface varies between 30 and 38 m, categorizing the landslide as a large, deep-seated loess layer landslide. The loess exhibits high mechanical strength in its dry state; however, upon saturation, the influence of water induces a significant reduction in the soil’s shear strength, rendering it highly susceptible to disintegration and collapse. Fundamental physical properties of the landslide soil are detailed in Table 1.

2.2. Physical Simulation Tests

To elucidate the evolving patterns of rainfall-induced landslides, a scaled-down simulation test is conducted according to the principles of similarity theory. The primary apparatus employed in this physical simulation for rainfall-induced landslides includes a rainfall simulation system, data acquisition system, and a model box, among others. This comprehensive testing setup is employed to monitor temporal variations in the wetting front, settlement, surface cracking, pore water pressure, and vertical stresses of the landslide model under continuous rainfall.
The dimensions and structural features of the model’s core components are designed by drawing inspiration from the hazardous Kara Haiisu landslide in the study area, as depicted in Figure 2. These dimensions are proportionally scaled down to ensure a realistic representation. The prototype, measuring 337 m in height and 387 m in length, serves as the basis for this scale reduction. Considering the size of the model box, a similarity ratio of n = 250 is established, resulting in a final model with dimensions of 1.55 m in length, 0.55 m in width, and 1.35 m in height. To closely mimic the actual slope conditions, the upper loess layer in the modeling test was taken from the slide body of the Kara Haiisu landslide in the study area, and the soil samples were air-dried and passed through a 2 mm sieve. Similarity ratios for key properties are set as follows: density (Cρ = 1), internal friction (Cφ = 1), cohesion (CC = 1), rainfall strength (Cq = n ), and rainfall duration similarity ratio (Ct = n ). As for the bedrock, owing to its inherent stability, the modeling material is not proportioned; instead, masonry is utilized to construct the slope, with cement mortar employed to establish a less permeable surface. The physical parameters of the final physical model are summarized in Table 2 for reference.
The physical simulation in this study only simulates the localization of the target landslide instead of the whole landslide, so the shear interaction between the sidewalls of the model box and the landslide model is not consistent with the shear interaction inside the landslide model body. In order to minimize this effect, petroleum jelly is uniformly coated on the sidewalls of the model box on the area of contact with the soil layer during the stacking of the model, and the sensors are also placed as close as possible to the model’s central axis during the sensor deployment.
In accordance with the natural moisture content, soil samples are prepared to target a 10% moisture content. These samples are then layered, with each layer approximately 10 cm thick, and placed within the model box. Concurrently, eight BW strain-type soil stress sensors (t1–t8) and eight BWK strain-type pore water stress sensors (k1–k8) are strategically positioned as per specifications. The buried depth of these 16 sensors is 6.5 cm. Following the completion of this setup, the entire setup is meticulously wrapped in plastic and left undisturbed for 48 h. An illustrative representation of the landslide physical model test configuration and sensor layout is shown in Figure 3.

2.3. Scanning Electron Microscope Test

The soil sampling process involved precise extraction from the physical model using a ring cutter (Ø 61.6 mm) at various intervals: prior to rainfall, at 10 min, 20 min, 40 min, 60 min, and 80 min into the rainfall event, and post-landslide occurrence. Subsequently, scanning electron microscopy tests were conducted utilizing a FEI Quanta 250 FEG model field emission environmental scanning electron microscope. Before analysis, the specimens underwent a drying process and were subsequently sectioned into 2 cm × 1 cm × 1 cm cubes. These cubes were manually split along their centerlines to expose fresh surfaces to reveal the soil body’s structure. Any loose soil particles were gently removed using a suction ear ball. The specimens were affixed to the sample stage using an electrostatic adhesive, followed by a gold-spraying process to facilitate surface scanning of microstructures. SEM images were captured at varying magnifications, including 500×, 1200×, 1500×, 2000×, and 2500×. These SEM images were subjected to preprocessing and binarization using software before being imported into Image-Pro Plus software for the quantitative analysis of the micro-particle structure parameters under consideration.

3. Physical Simulation Tests of Rainfall-Induced Landslides

3.1. Primary Deformation Processes of Landslides

The initial state of the model, as shown in Figure 4a, had a slope of approximately 35° and a base-cover interface depth of between 14 and 24 cm. Under the influence of a rainfall intensity measuring 2.53 mm/h, Figure 4b illustrates the model’s state after 10 min of simulated rainfall. The monitor of the wetting front and slope displacement, detailed in Figure 5, reveals a uniform downward movement of the wetting front. Specifically, the average downward distance across the upper, middle, and lower sections of the slope is 20 mm, and no significant slope displacement is evident during this phase.
The state of the model after 20 min of rainfall is shown in Figure 4c, where the downward displacement of the wetting front remains uniform throughout. In particular, the middle and lower sections of the slope exhibit an average downward distance of 60 mm, while the upper part records an average downward distance of 70 mm. The slope surface begins to gradually saturate at this juncture, albeit with no pronounced slope displacement.
The state of the model after 40 min of rainfall is illustrated in Figure 4d. The average downward displacement of the wetting front in the upper section reaches 80 mm, whereas the middle and lower sections measure 100 mm. At this stage, the slope exhibits vertical displacement, albeit relatively minimal, with displacement amounts not exceeding 2 mm. Additionally, horizontal displacement remains insignificant, while minute cracks start to form in the middle and upper parts of the slope.
The model’s condition after 60 min of rainfall is portrayed in Figure 4e. In the upper section of the slope, the wetting front undergoes an average downward displacement of 120 mm, while the middle section records 140 mm and the lower section shows 160 mm. The saturation of the soil layer intensifies, leading to a progressive increase in the vertical displacement. Lateral displacement also becomes noticeable but remains limited, with displacement amounts within the 2 mm range. During this phase, the slope surface generates flow, and water infiltration along the cracks in the middle and upper sections initiates the development and expansion of small cracks.
Figure 4f illustrates the model’s state after 80 min of rainfall. During this time, the soil layer of the slope becomes fully saturated, resulting in the emergence of slope flow. Vertical displacement continues to surge while lateral displacement gradually intensifies. The slope experiences an escalation in the development and enlargement of cracks, particularly in the upper and middle sections, leading to localized damage. This phase is also marked by minor slip and collapse incidents.
Lastly, Figure 4g portrays the model’s condition after 85 min of rainfall. The slope’s soil layer is entirely saturated, coexisting with a sharp increase in both lateral and vertical displacement. The slope body slides along existing cracks and disintegrates, culminating in a landslide event. The leading edge of the landslide collapses as a single entity, shattering the slope surface. Horizontal cracks develop in the middle of the landslide, contributing to structural loosening. The rear edge of the landslide collapses, giving rise to the formation of a stepped downward surface.

3.2. Analysis of Vertical Stresses Monitoring Test Results

The results of vertical stresses monitoring in the model are displayed in Figure 6. The T1 curve represents data obtained by averaging the measurements from vertical stresses sensors t1 and t2. Similarly, the T2 curve derives from the average of t3 and t4 measurements, the T3 curve from t5 and t6, and the T4 curve from t7 and t8.
With a rainfall intensity of 2.53 mm/h, vertical stress increments in all sections of the model remain minimal for rainfall durations less than 40 min. Beyond the 40 min mark, there is a sharp escalation in vertical stress increment. Notably, at T1, located at the foot of the slope, this increment accelerates rapidly, advancing nearly 10 min ahead of other sections along the slope. Beyond the 60 min threshold, these increments persist with an upward trend but at a decelerated pace. It is worth noting that the growth rate of vertical stress increments at T3, situated in the middle and upper part of the slope, remain relatively consistent until the occurrence of landslide damage, at which point they experience a sharp decrease. Up until the point of landslide damage, the soil pressure increment at T1, located at the foot of the slope, stands as the most substantial. Following the landslide, T3, in the upper-middle part of the slope, exhibits the next highest soil pressure increment, succeeded by T4, located in the upper portion of the slope. T2, found in the lower-middle part of the slope, demonstrates the smallest soil pressure increment.
Referring to Figure 6, it is evident that as heavy rainfall persists, rainwater infiltrates continuously, thereby increasing the self-weight of the slope. The base of the slope not only supports the self-weight of its segment but also sustains the pressure transmitted from the upper and middle sections of the slope. Consequently, the incremental rate and growth of soil pressure at T1, located at the foot of the slope, surpass that of the upper and middle portions.
Post the 40 min threshold of uninterrupted rainfall, the upper-middle segment of the slope commences the formation of fissures, which gradually widen with the prolonged duration of rainfall. At the 58 min mark, during rainfall, these cracks compromise the structural integrity of the upper and upper-middle sections of the slope. This, in turn, diminishes the pressure exerted on the upper-middle part of the slope from the section above, thereby explaining the reduction in soil pressure increment at T3 during the 60 min rainfall period.
As the rainfall persists, the soil on the slope progressively nears saturation, leading to the emergence of slope flow and a subsequent decline in the volume of infiltration. Consequently, the pace of the vertical stress increment in the model experiences a deceleration. Conversely, the cracks in the middle and upper segments of the model persist in expanding, forming an efficient water-conduction pathway for smooth infiltration. This sustained development ensures that the growth rate of vertical stress increment at T3, located in the middle and upper portions of the model, remains consistent and ultimately surpasses that of T2 in the middle and lower sections during the later stages.

3.3. Analysis of Pore Water Pressure Monitoring Test Results

Figure 7 illustrates the pore water pressure monitoring curve of the model. The K1 curve is derived from the average of k1 and k2 monitoring data, while the K2 curve is based on the average of k3 and k4 monitoring data. Similarly, the K3 curve is formed from the average of the k5 and k6 monitoring data, and the K4 curve is a result of averaging the k7 and k8 monitoring data.
In the context of a rainfall intensity of 2.53 mm/h, each slope section registers a small pore water pressure increment when the rainfall duration is less than 40 min. Subsequently, during the 40 to 80 min timeframe, the pore water pressure increment in all slope sections experiences a gradual increase. The K3 pore water pressure increment, situated in the upper-middle portion of the model, exhibits a more pronounced growth rate than the other segments of the slope, with this growth rate intensifying after the 60 min mark. Beyond 80 min of continuous rainfall, the pore water pressure escalates rapidly across all monitoring sites, reaching its peak upon landslide damage. Following this event, there is a rapid decline in pore water pressure.
As depicted in Figure 7, the persistence of heavy rainfall leads to rainwater infiltration into various slope sections. However, the downward progression of the wetting front within the slope exhibits variation across these regions. This variance arises from the loess’s propensity for wet subsidence, thus inducing non-uniform vertical displacement within the soil mass. Consequently, tensile stresses develop vertically, forming cracks that act as water infiltration pathways. Consequently, there is a significant increase in pore water pressure within these regions. It is worth noting that the initial areas of cracking maintain this advantage throughout subsequent rainfall periods. This phenomenon results in a consistently higher increment and growth rate of pore water pressure in the upper and middle portions of the slope, particularly in K3, compared to other areas, during rainfall events lasting less than 40 min.
Following more than 80 min of continuous rainfall, cracks on the slope continue to expand, leading to localized shallow surface slide and collapse events in certain upper and middle slope areas. However, these areas eventually stabilized soon. This dynamic explains the dip and subsequent rise in the K3 curve after the 80 min mark.

4. Scanning Electron Microscope Test Results

4.1. Scanning Electron Microscope Images

Scanning electron microscope (SEM) analyses were performed on specimens at different intervals using varying magnifications, including 500, 1200, 1500, 2000, and 2500. At a magnification of 500 times, the images appeared blurred, rendering some tiny pores indiscernible. When magnification exceeded 1200 times, the images depicted fewer soil particles within the frame, with certain large pores disproportionately occupying the image. Consequently, a magnification of 1200 times was chosen for the detailed analysis. The images magnified at 1200 times for each period are displayed in Figure 8.
Compared to the model without rainfall, the soil particles progressively fragmented during the initial 40 min of rainfall, leading to the formation of smaller particles. The stability of the hollow pore in the soil body was compromised, resulting in the collapse of the pore structure, which was subsequently filled by agglomerates created from the shattered small particles. This process led to a reduction in soil pore volume and an increase in soil density. With the continued duration of rainfall, the soil mass gradually approached saturation, exhibiting a gradual creep and deformation, coupled with the initiation of liquefaction. The original sizeable agglomerate structure transformed into smaller granules. Continued rainfall-induced localized sliding and collapse, causing the soil body to loosen and expand the pore space. Specific granular structures disintegrated, while others amalgamated with the fragmented particles, generating larger conglomerates. This process persisted until the landslide, which led to the shattering of granular structures, further loosening the soil body and significantly enlarging the pore space.

4.2. SEM Image Processing Results Based on Matlab

The SEM images obtained underwent meticulous preprocessing using Matlab software (https://www.mathworks.com/products/matlab.html accessed on 1 October 2023). This entailed three pivotal steps: removing inhomogeneous background, adjusting image contrast, and reducing image noise. Subsequently, these processed images were subjected to binarization to discern particles from pores, and a selection of these binarized images is presented in Figure 9.
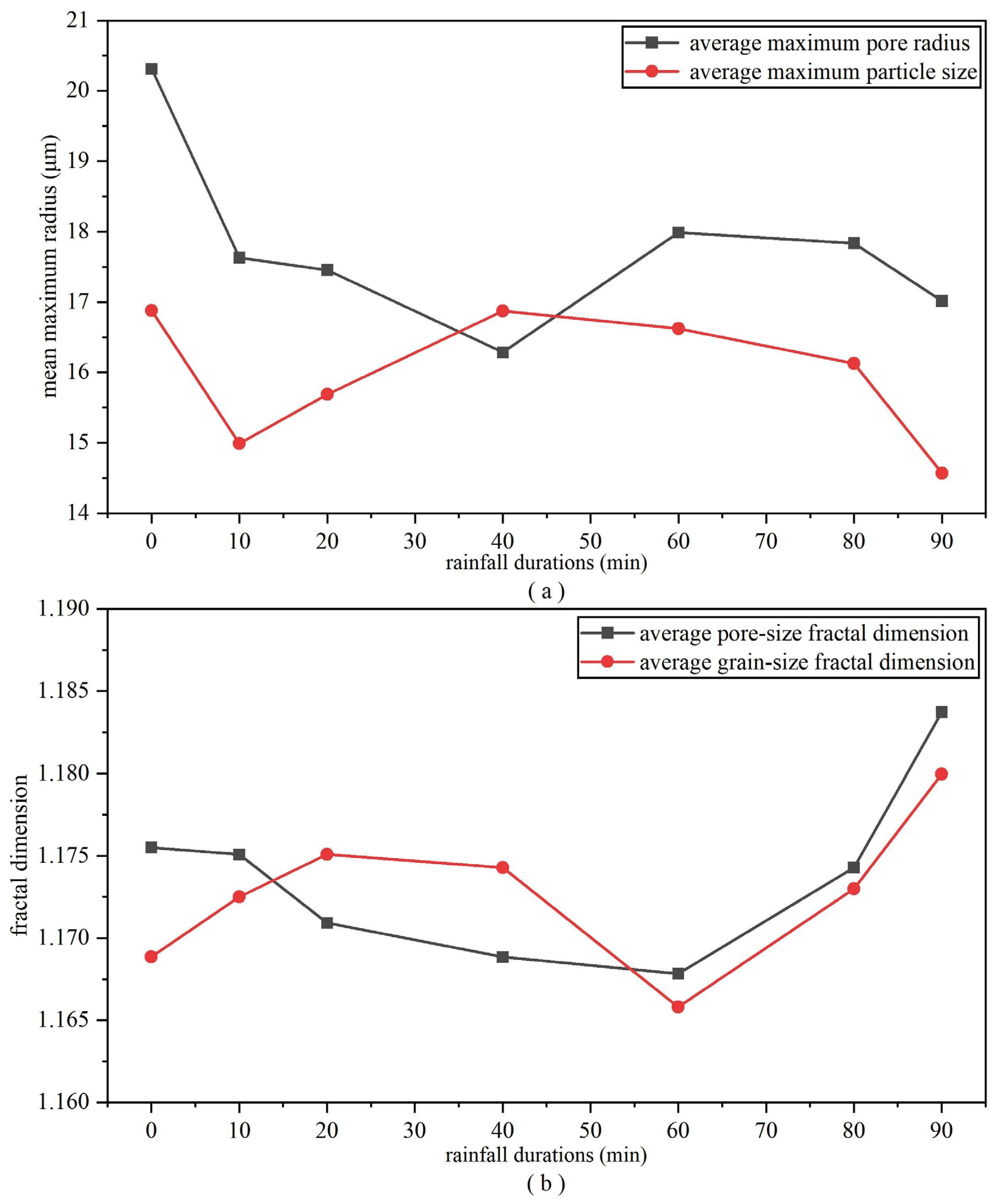
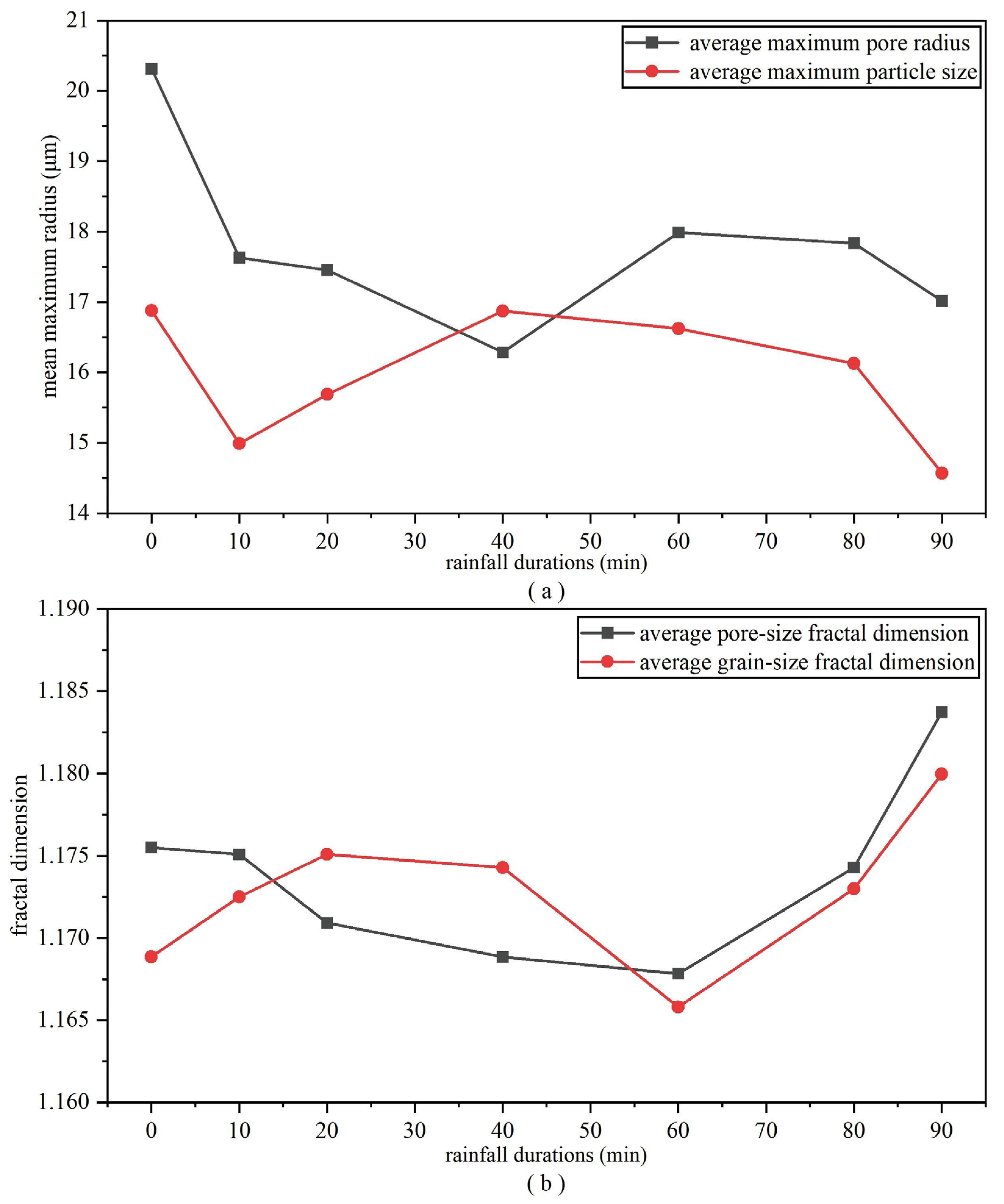
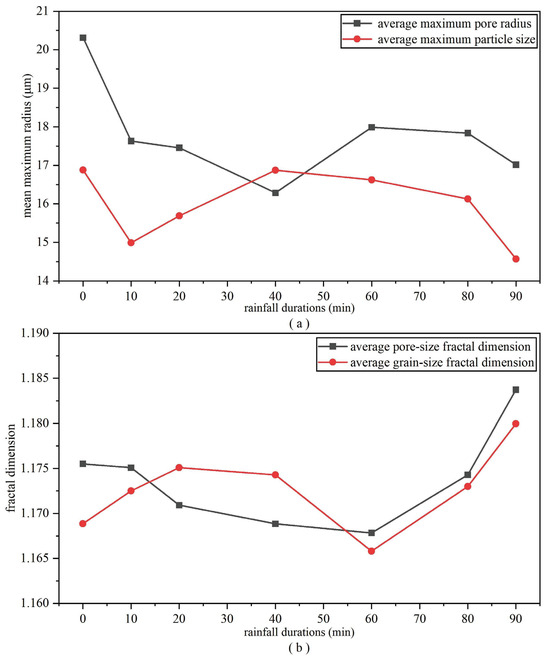
Specific microstructural parameters were chosen to facilitate quantitative analysis in this study. These encompassed the average maximum particle size, the average grain-size fractal dimension, the average maximum pore radius, and the average pore-size fractal dimension. The Image-Pro Plus software (https://mediacy.com/image-pro/ accessed on 1 October 2023) was harnessed to recognize, measure, and compute these parameters based on the preprocessed and binarized images.
The comprehensive results of this measurement and processing endeavor are thoughtfully presented in Table 3.
According to the microstructural parameters derived from SEM image analysis, a graphical representation in Figure 10 elucidates the relationship between each parameter and the rainfall duration. The graph clearly demonstrates that as the duration of rainfall progresses, notable alterations occur in all microstructural parameters associated with the soil mass. During the initial rainfall phase, the average maximum particle size experiences a reduction before exhibiting a marginal increment. Simultaneously, the average grain-size fractal dimension embarks on a rapid ascent, followed by a gradual decline. Furthermore, both the average maximum pore radius and the average pore-size fractal dimension exhibit a consistent reduction during this period. Transitioning to the mid-rainfall phase, the average maximum particle size continues its diminishment, while the average maximum pore radius demonstrates a significant surge. Meanwhile, both the average grain-size fractal dimension and the average pore-size fractal dimension exhibit declines. In the latter part of the rainfall period, the average maximum particle size and the average maximum pore radius persist in their reduction, while the average grain-size fractal dimension and the average pore-size fractal dimension experience steady augmentation.

5. Discussion

Based on the findings obtained from physical modeling tests and scanning electron microscope analyses, the simulation of this landslide can be divided into three distinct stages, which are discussed in correlation with microscopic observations (refer to Figure 11):
Phase 1 represents the stage of compression settlement and crack formation. In the initial phase of continuous rainfall, rainwater infiltration gradually saturates the upper soil layer. Various portions of the slope undergo a gradual increase in vertical stresses. At this juncture, the foot of the slope exhibits a slightly advanced increment in vertical stresses compared to other sections. Simultaneously, the increase in pore water pressure precedes the increase in vertical stresses. Immersion in water initiates the fragmentation of soil particles within the saturated layer. The hollow pores of the soil succumb to collapse, eventually being filled by agglomerates formed from the broken small particles. This process leads to soil compaction and sinking. Nonetheless, owing to the uneven slope gradient, the thickness of the saturated layer varies across different regions, resulting in differential subsidence. This differential subsidence generates tensile stress within the soil, ultimately leading to crack formation.
Phase 2 represents the stage of crack development and uniform deformation. Water infiltrates through the vertical joints in the loess while existing upper cracks serve as preferential channels for rainwater infiltration. This concurrent process accelerates local saturation. With the continuous infiltration and transportation of rainfall, cracks propagate downward, eventually evolving into weak structural surfaces. The slope undergoes gradual creep, prompting liquefaction in the loess adjacent to these weak structural surfaces. The initially large clumps of grain structures transform into smaller, rounded clumps from their irregular shapes. During this phase, the vertical stress increment in each section steadily rises. As the slope soil approaches saturation, the rate of vertical stress increment growth diminishes. The presence of cracks compromises the integrity of the upper and middle parts of the slope, leading to a reduction in the transmitted pressure from the upper portion. Consequently, the vertical stress increment in this region declines while the pore water pressure in each section continues to increment slowly.
Phase 3 represents the stage of accelerated deformation and damage. In the late rainfall period, the upper section of the slope experiences minor slipping firstly. The original agglomerate structure disintegrates, causing the particle structure to become complex and the soil to loosen to facilitate rainwater infiltration. Cracks persist in their development and expansion, eventually merging to form a hazardous sliding surface. The slope continues to creep, intensifying liquefaction in the loess near the sliding surface and decreasing the strength. This culminates in the sudden onset of a landslide, characterized by a fractured slope surface and prominent cracks. The rear edge of the sliding surface adopts a stepped configuration, marked by the significant fragmentation of agglomerates. The pore space enlarges, and the soil structure loosens. During this phase, the rainwater infiltrates to the lower bedrock, a water-saturated layer is formed, the soil within the water-saturated layer is gradually offset by the buoyancy of the water and the soil’s self-weight, reducing the vertical effective stress, so that the friction strength of the soil is reduced, and ultimately leading to the occurrence of landslides.
In summary, the development process of rainfall-induced loess landslides in the Ili region of Xinjiang, China can be delineated as follows: initial atmospheric rainfall triggers rainwater infiltration and vertical joint infiltration, leading to granular fragmentation, pore collapse, and slope subsidence, thus resulting in differential subsidence and tensile cracks. These cracks subsequently act as primary infiltration channels, initiating slope creep and slight liquefaction. Over time, the cracks expand and develop, sustaining creep and inducing substantial liquefaction. Local slip collapses, and agglomerate disintegration and pore expansion follow. Ultimately, the attenuation of vertical effective stress and loss of strength causes a sudden deep-seated landslide. This process is characterized by an initial phase of slow creep accumulation, followed by prolonged equal velocity deformation, and culminating in a final phase of rapid, sudden sliding damage.

6. Conclusions

This study examines the impacts of continuous rainfall on soil pressure and pore water pressure within a landslide through a combination of landslide model tests and scanning electron microscope analyses. The objective is to scrutinize the deformation and damage mechanisms inherent to rainfall-induced landslides at a microscopic level. The findings are summarized as follows:
(1)
Rainfall induces an increase in the degree of moisture saturation, pore water pressure, and vertical stresses of the slope, although the extent of this increase remains inconspicuous during the pre-rainfall period. Until the occurrence of landslides, the pore water and vertical stresses sharply decrease. Different areas of the slope exhibit varying sensitivities to rainfall response times. The soil pressure at the slope’s base displays the highest sensitivity, manifested by the most significant increments and growth rates. Conversely, the middle and upper segments of the slope show heightened responsiveness to changes in pore water pressure, experiencing the most significant increments and growth rates.
(2)
The size and structural complexity of soil particles and pores undergo dynamic fluctuations throughout the simulation. These fluctuations are closely associated with critical processes of slope subsidence, crack formation, localized slip collapses, and the eventual occurrence of landslides. Following water immersion, the soil particles initiate a disintegration process, leading to the collapse of soil hollow pores. Subsequently, these pores are filled by agglomerates formed from fragmented small particles, resulting in soil compaction and subsidence. Significantly, this differential subsidence-induced tensile cracking is the primary trigger for accelerated deformation and damage to slopes. These cracks serve as dominant pathways for rainwater infiltration, hastening localized saturation and subsequently expediting landslide development.
(3)
The evolution of continuous rainfall-induced landslides can be divided into three stages: compression settlement and crack formation, crack development and uniform deformation, and accelerated deformation and damage.
This research is a case study, and the findings are only applicable to this location, which is a shortcoming of this study. In subsequent studies we hope to study the entire region as a case study and draw conclusions that are applicable to the region.

Author Contributions

Conceptualization, T.Z. and Z.Z.; Data curation, Z.Z., R.H. and C.X.; Formal analysis, T.Z. and Q.L.; Investigation, S.L. and H.Z.; Methodology, T.Z. and S.L.; Project administration, T.Z.; Resources, Z.Z.; Software, T.Z. and J.J.; Supervision, Z.Z.; Validation, Q.L., J.J. and C.X.; Writing—original draft, T.Z.; Writing—review and editing, T.Z. All authors have read and agreed to the published version of the manuscript.

Funding

This research was funded by the National Natural Science Foundation of China: the mechanism of loess landslide instability in the Ili Valley under multiple freeze-thaw cycles (No. 41967036); Xinjiang Uygur Autonomous Region Special Program for Key R&D Tasks: Xinjiang major geological disaster monitoring and early warning and prevention technology demonstration (No. 2021B03004).

Data Availability Statement

The data used to support the findings of this study are included within the manuscript.

Acknowledgments

Many thanks to the State Key Laboratory for GeoMechanics and Deep Underground Engineering for providing the research conditions.

Conflicts of Interest

The authors declare that there is no conflict of interest.

References

  1. Song, Y.; Li, Y.; Cheng, L.; Zong, X.; Kang, S.; Ghafarpour, A.; Li, X.; Sun, H.; Fu, X.; Dong, J.; et al. Spatio-temporal distribution of Quaternary loess across Central Asia. Palaeogeogr. Palaeoclim. Palaeoecol. 2021, 567, 110279. [Google Scholar]
  2. Zhang, L.F.; Hu, Z.Q.; Li, H.R.; Zhe, H.C.; Ye, S.T.; Yang, T.X. Study on engineering mechanical properties of fiber reinforced loess after freeze-thaw cycle. J. Xi’an Univ. Technol. 2023, 1–9. [Google Scholar]
  3. Sun, P.; Wang, H.; Wang, G.; Li, R.; Zhang, Z.; Huo, X. Field model experiments and numerical analysis of rainfall-induced shallow loess landslides. Eng. Geol. 2021, 295, 106411. [Google Scholar]
  4. Zhu, L.J. Analysis of Study on Rain Infiltration and Stability of Loess Slope. J. Yangling Vocat. Tech. Coll. 2011, 10, 4–6. (In Chinese) [Google Scholar]
  5. Zhang, S.; Sun, P.; Li, R.; Wang, F. Preliminary investigation on a catastrophic loess landslide induced by heavy rainfall on 1 September 2022 in Qinghai, China. Landslides 2023, 20, 1553–1559. [Google Scholar] [CrossRef]
  6. Wang, B.B. Research status, problems and prospects of rainfall-induced loess landslides. China Strateg. Emerg. Ind. 2018, 12, 65. (In Chinese) [Google Scholar]
  7. Liu, L.N.; Li, S.D.; Jiang, Y.; Yaheng, B.; Yu, L. Fallure mechanism of loess landslides due to saturated-unsaturated seepage-case study of Gallente landslide Inili, XinJiang. J. Eng. Geol. 2017, 25, 1230–1237. (In Chinese) [Google Scholar]
  8. Terzaghi, K. Principles of soil mechanics. IV. Settlement and consolidation of clay. Eng. News Rec. 1925, 95, 874. [Google Scholar]
  9. Collins, B.D.; Znidarcic, D. Stability analyses of rainfall induced landslides. J. Geotech. Geoenvironmental Eng. 2004, 130, 362–372. [Google Scholar] [CrossRef]
  10. Onyelowe, K.C.; Sujatha, E.R.; Aneke, F.I.; Ebid, A.M. Solving geophysical flow problems in Luxembourg: SPH constitutive review. Cogent Eng. 2022, 9, 2122158. [Google Scholar] [CrossRef]
  11. Emberson, R.; Kirschbaum, D.B.; Amatya, P.; Tanyas, H.; Marc, O. Insights from the topographic characteristics of a large global catalog of rainfall-induced landslide event inventories. Nat. Hazards Earth Syst. Sci. 2022, 22, 1129–1149. [Google Scholar] [CrossRef]
  12. Mehmood, E.; Rashid, I.; Ahmed, F.; Farooq, K.; Tufail, A.; Ebid, A.M. Hydrogeotechnical Predictive Approach for Rockfall Mountain Hazard Using Elastic Modulus and Peak Shear Stress at Soil–Rock Interface in Dry and Wet Phases at KKH Pakistan. Sustainability 2022, 14, 16740. [Google Scholar] [CrossRef]
  13. Chen, R.H.; Chen, H.P.; Chen, K.S.; Zhung, H.B. Simulation of a slope failure induced by rainfall infiltration. Environ. Geol. 2009, 58, 943–952. [Google Scholar] [CrossRef]
  14. Liu, J.H.; Cha, X.D.; Qin, Z.B. Research of Rock Slope StabilityAnalysis Considering Rainfall Infiltration. J. Hunan Univ. 2008, 35, 148–153. (In Chinese) [Google Scholar]
  15. Yan, B.; Ni, W.K.; Liu, H.S. Research on rainfall infiltration law and stability of loess slope. Hydrogeol. Eng. Geol. 2009, 36, 77–81. (In Chinese) [Google Scholar]
  16. Wang, R.B.; Xia, R.; Xu, W.Y.; Wang, H.L.; Qi, J. Study on Physical Simulation of Rainfall lnfiltration Process of Landslide Accumulation Body. Adv. Eng. Sci. 2019, 51, 47–54. (In Chinese) [Google Scholar]
  17. Wang, Q. Monitoring Experiment of Loess Landslide Disasterevolution under Intermittent Rainfall Condition; Anhui University of Science & Technology: Huainan, China, 2022. (In Chinese) [Google Scholar]
  18. Wu, L.Z.; Zhou, Y.; Sun, P.; Shi, J.S.; Liu, G.G.; Bai, L.Y. Laboratory characterization of rainfall-induced loess slope failure. Catena 2017, 150, 1–8. [Google Scholar] [CrossRef]
  19. Hu, R.L.; Li, X.Q.; Guan, G.L.; Ye, H. Quantitative research progress on microstructure of cohesive soil. In Proceedings of the 5th National Engineering Geological Congress, Huixian, China, 21 April 1996. [Google Scholar]
  20. Chen, Y.; Li, X.A.; Huang, R.Q.; Huang, L.; Li, L.C.; Hong, B.; Liu, Z.S.; Cai, W.B. Micro experimental research on influence factors of loess collapsiblity. J. Eng. Geol. 2015, 23, 646–653. (In Chinese) [Google Scholar]
  21. Sun, Y.L.; Tang, L.S.; Liu, J. Advances in research on microstructure and intergranular suction of unsaturated soils. Rock Soil Mech. 2020, 41, 1095–1122. (In Chinese) [Google Scholar]
  22. Wang, L. Research on Prediction Model of Loess Collapsibility Based on Microstructure Unit Theory; Chang’an University: Xi’an, China, 2021. (In Chinese) [Google Scholar]
  23. Wei, T.T. Research on Three-Dimensional Microstructure Evolution and Deformation Mechanism of Loess during Loading; Chang’an University: Xi’an, China, 2020. (In Chinese) [Google Scholar]
  24. Tovey, N.K. Quantitative analysis of electron micrographs of soil structure. In Proceedings of the International Symposium on Soil Structure, Ghent, Belgium, 28–31 May 1958. [Google Scholar]
  25. Brindley, G.W. Quantitative X-ray mineral analysis of clays. In Crystal Structures of Clay Minerals and Their X-ray Identification; Mineralogical Society of Great Britain and Ireland: Hampton, UK, 1980; Volume 5, pp. 411–438. [Google Scholar]
  26. Jiang, M.J. New paradigm for modern soil mechanics: Geomechanics from micro to macro. Chin. J. Geotech. Eng. 2019, 41, 195–254. (In Chinese) [Google Scholar]
  27. Xian, Y.; Wei, X.; Zhou, H.; Chen, N.; Liu, Y.; Liu, F.; Sun, H. Snowmelt-triggered reactivation of a loess landslide in Yili, Xinjiang, China: Mode and mechanism. Landslides 2022, 19, 1843–1860. [Google Scholar] [CrossRef]
  28. Liang, S.C.; Qiao, H.; Lv, D.; Qiang, H. Distribution characteristics and main controlling factors of geohazards in lli Valley. Arid Land Geogr. 2023, 46, 880–888. (In Chinese) [Google Scholar]
  29. Zhang, Z.Z.; Zhang, T.D.; Yu, X.K.; Qianli, L.; Runsen, L.; Junyu, J.; Xinyu, L. Zonation of disaster environments of collapse, landslide and debris flow geologic hazards and their formation mechanisms in Xinjiang. J. Eng. Geol. 2023, 31, 1129–1144. (In Chinese) [Google Scholar]
  30. Lv, Q.; Zhang, Z.; Zhang, T.; Hao, R.; Guo, Z.; Huang, X.; Zhu, J.; Liu, T. The Trend of Permeability of Loess in Yili, China, under Freeze–Thaw Cycles and Its Microscopic Mechanism. Water 2021, 13, 3257. [Google Scholar]
  31. Lv, Q.L.; Zhang, Y.Y.; Zhang, T.D.; Lilong, C.; Shengdong, C.; Chengxin, L. Change of mechanical strength of loess in Ili region under different freeze-thaw cycles and moisture contents. J. Eng. Geol. 2023, 31, 1269–1281. (In Chinese) [Google Scholar]
  32. Zhang, Y.; Zhang, Z.; Hu, W.; Zhang, Y. Evolution and Influencing Mechanisms of the Yili Loess Mechanical Properties under Combined Wetting-Drying and Freeze-Thaw Cycling. Materials 2023, 16, 4727. [Google Scholar] [CrossRef]
  33. Zhang, H.Y.; Huang, H.B.; Yan, Z.X. Forming conditions and provention treatment of loess landlide in the Xinyuan mountain area, Xinjiang. Xinjiang Geol. 2004, 3, 233–237. (In Chinese) [Google Scholar]
  34. Zhang, L.; Chen, D.B.; Shi, G.M.; Zizhao, Z.; Jing, F. Evaluation on causes and control efficency of rainfall-induced landslide at Bee Farm in Ili. J. Eng. Geol. 2023, 31, 1293–1306. [Google Scholar]
Figure 1. Overview of the study area: (a) Map of China; (b) Map of Ili; (c) Map of Xinyuan; (d) 3D model of the study area; (e) Tension cracks at the rear edge of the landslide; (f) Cracks and scarps at the back edge of the landslide; (g) Object of threat.
Figure 1. Overview of the study area: (a) Map of China; (b) Map of Ili; (c) Map of Xinyuan; (d) 3D model of the study area; (e) Tension cracks at the rear edge of the landslide; (f) Cracks and scarps at the back edge of the landslide; (g) Object of threat.
Water 15 03775 g001
Figure 2. Typical measured profile of the Kara Haiisu landslide, Xinyuan County, Ili, Xinjiang, China.
Figure 2. Typical measured profile of the Kara Haiisu landslide, Xinyuan County, Ili, Xinjiang, China.
Water 15 03775 g002
Figure 3. Landslide physical model test setup and sensor placement: (a) Side view of model box; (b) Front view of model box.
Figure 3. Landslide physical model test setup and sensor placement: (a) Side view of model box; (b) Front view of model box.
Water 15 03775 g003
Figure 4. Deformation process of landslide model corresponding to different rainfall durations: (a) Pre-rainfall; (b) 10 min rainfall; (c) 20 min rainfall; (d) 40 min rainfall; (e) 60 min rainfall; (f) 80 min rainfall; (g) After landslide occurrence.
Figure 4. Deformation process of landslide model corresponding to different rainfall durations: (a) Pre-rainfall; (b) 10 min rainfall; (c) 20 min rainfall; (d) 40 min rainfall; (e) 60 min rainfall; (f) 80 min rainfall; (g) After landslide occurrence.
Water 15 03775 g004
Figure 5. Plot of rainfall duration–downward distance of wetting front and surface displacement: (a) Relationship between rainfall duration and downward distance of moist front; (b) Relationship between rainfall duration and surface displacement.
Figure 5. Plot of rainfall duration–downward distance of wetting front and surface displacement: (a) Relationship between rainfall duration and downward distance of moist front; (b) Relationship between rainfall duration and surface displacement.
Water 15 03775 g005
Figure 6. Plot of relationship between rainfall duration and vertical stress increment.
Figure 6. Plot of relationship between rainfall duration and vertical stress increment.
Water 15 03775 g006
Figure 7. Plot of relationship between rainfall duration and pore water pressure increment.
Figure 7. Plot of relationship between rainfall duration and pore water pressure increment.
Water 15 03775 g007
Figure 8. Scanning electron microscope images of selected physically modeled soils at different periods: (a) Pre-rainfall; (b) 10 min rainfall; (c) 20 min rainfall; (d) 40 min rainfall; (e) 60 min rainfall; (f) 80 min rainfall; (g) After the landslide.
Figure 8. Scanning electron microscope images of selected physically modeled soils at different periods: (a) Pre-rainfall; (b) 10 min rainfall; (c) 20 min rainfall; (d) 40 min rainfall; (e) 60 min rainfall; (f) 80 min rainfall; (g) After the landslide.
Water 15 03775 g008
Figure 9. Binarization processing of scanning electron microscope image: (a) Pre-rainfall; (b) After the landslide.
Figure 9. Binarization processing of scanning electron microscope image: (a) Pre-rainfall; (b) After the landslide.
Water 15 03775 g009
Figure 10. Relationships between different rainfall durations and microstructural parameters: (a) Relationship between rainfall durations and mean maximum radius; (b) Relationship between rainfall duration and fractal dimension.
Figure 10. Relationships between different rainfall durations and microstructural parameters: (a) Relationship between rainfall durations and mean maximum radius; (b) Relationship between rainfall duration and fractal dimension.
Water 15 03775 g010
Figure 11. The macro and micro change mechanism of landslide body at different stages.
Figure 11. The macro and micro change mechanism of landslide body at different stages.
Water 15 03775 g011
Table 1. Fundamental physical properties of loess in the Kara Haiisu landslide, Xinyuan County, Ili, Xinjiang, China.
Table 1. Fundamental physical properties of loess in the Kara Haiisu landslide, Xinyuan County, Ili, Xinjiang, China.
Source of Soil SamplesNatural Density
(g·cm−3)
Moisture Content
(%)
Porosity
(%)
Natural Cohesion
(kPa)
Natural Angle of Internal Friction
(°)
Initial Void RatioLiquid Limit
(%)
Plastic Limit
(%)
Xinyuan county1.7110452223.50.9692922.9
Table 2. Mechanical parameters of the physical model.
Table 2. Mechanical parameters of the physical model.
Source of Soil SamplesIntensity
(g·cm−3)
Moisture Content
(%)
Cohesive Force
(kPa)
Angle of Internal Friction
(°)
Rainfall Intensity
(mm·h−1)
Duration of Rainfall
(h)
Xinyuan county1.71102223.52.531.5
Table 3. Results of quantitative analysis of microstructural parameters.
Table 3. Results of quantitative analysis of microstructural parameters.
Measured ParameterAverage Maximum Particle Size (μm)Average Grain-Size Fractal DimensionAverage Maximum Pore Radius (μm)Average Pore-Size Fractal Dimension
Pre-rainfall16.87661.1688520.31081.17552
10 min rainfall14.98761.1725217.63211.17508
10 min rainfall/Pre-rainfall (%)88.81100.3186.8199.96
20 min rainfall15.68971.1750817.45351.17092
20 min rainfall/Pre-rainfall (%)92.97100.5385.9399.61
40 min rainfall16.87571.1742916.28331.16685
40 min rainfall/Pre-rainfall (%)99.99100.4780.1799.26
60 min rainfall16.62471.1658117.98621.17783
60 min rainfall/Pre-rainfall (%)98.5199.7488.55100.20
80 min rainfall16.12511.1730117.83591.17429
80 min rainfall/Pre-rainfall (%)95.55100.3687.8199.90
After the landslide14.56871.1799617.01591.18373
After the landslide/Pre-rainfall (%)86.32100.9583.78100.70
Disclaimer/Publisher’s Note: The statements, opinions and data contained in all publications are solely those of the individual author(s) and contributor(s) and not of MDPI and/or the editor(s). MDPI and/or the editor(s) disclaim responsibility for any injury to people or property resulting from any ideas, methods, instructions or products referred to in the content.

Share and Cite

MDPI and ACS Style

Zhang, T.; Zhang, Z.; Xu, C.; Hao, R.; Lv, Q.; Jia, J.; Liang, S.; Zhu, H. Destabilization Mechanism of Rainfall-Induced Loess Landslides in the Kara Haisu Gully, Xinyuan County, Ili River Valley, China: Physical Simulation. Water 2023, 15, 3775. https://doi.org/10.3390/w15213775

AMA Style

Zhang T, Zhang Z, Xu C, Hao R, Lv Q, Jia J, Liang S, Zhu H. Destabilization Mechanism of Rainfall-Induced Loess Landslides in the Kara Haisu Gully, Xinyuan County, Ili River Valley, China: Physical Simulation. Water. 2023; 15(21):3775. https://doi.org/10.3390/w15213775

Chicago/Turabian Style

Zhang, Tiandong, Zizhao Zhang, Cheng Xu, Ruihua Hao, Qianli Lv, Junyu Jia, Shichuan Liang, and Haiyu Zhu. 2023. "Destabilization Mechanism of Rainfall-Induced Loess Landslides in the Kara Haisu Gully, Xinyuan County, Ili River Valley, China: Physical Simulation" Water 15, no. 21: 3775. https://doi.org/10.3390/w15213775

APA Style

Zhang, T., Zhang, Z., Xu, C., Hao, R., Lv, Q., Jia, J., Liang, S., & Zhu, H. (2023). Destabilization Mechanism of Rainfall-Induced Loess Landslides in the Kara Haisu Gully, Xinyuan County, Ili River Valley, China: Physical Simulation. Water, 15(21), 3775. https://doi.org/10.3390/w15213775

Note that from the first issue of 2016, this journal uses article numbers instead of page numbers. See further details here.

Article Metrics

Back to TopTop