Possible Pollution of Surface Water Bodies with Tequila Vinasses
Abstract
1. Introduction
2. Materials and Methods
2.1. Study Area
2.2. Monitoring of Atizcoa and Jarritos Stream
2.3. Statistical Analysis
3. Results and Discussion
3.1. Measurements of Pollutants in Diluted Vinasse Samples as a Frame of Reference
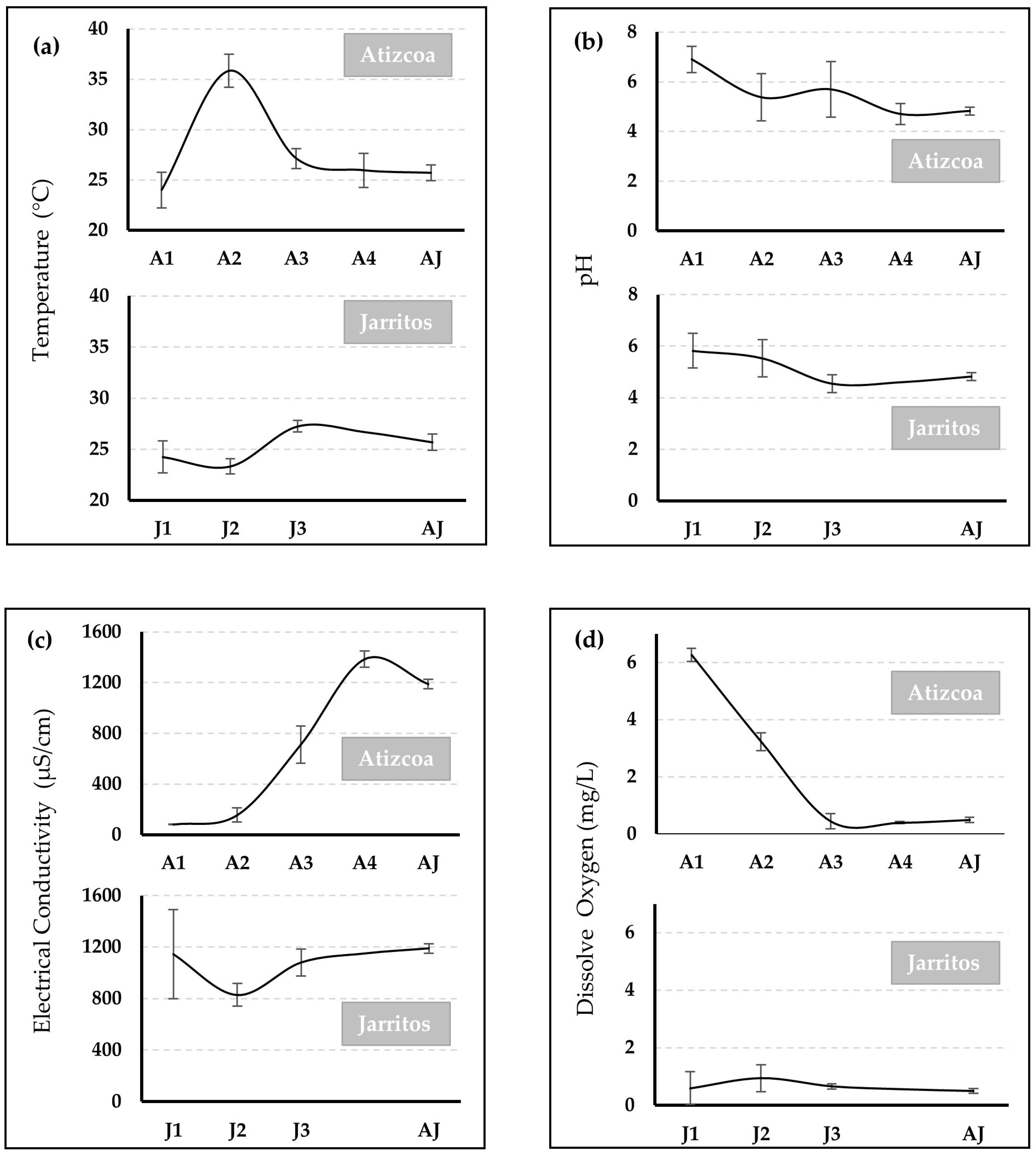
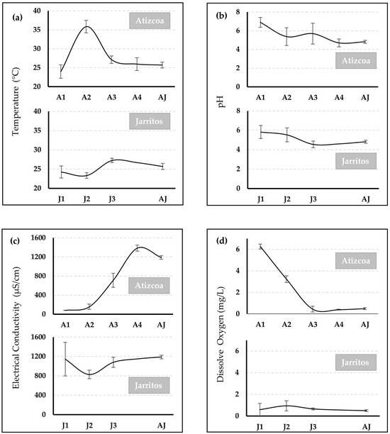
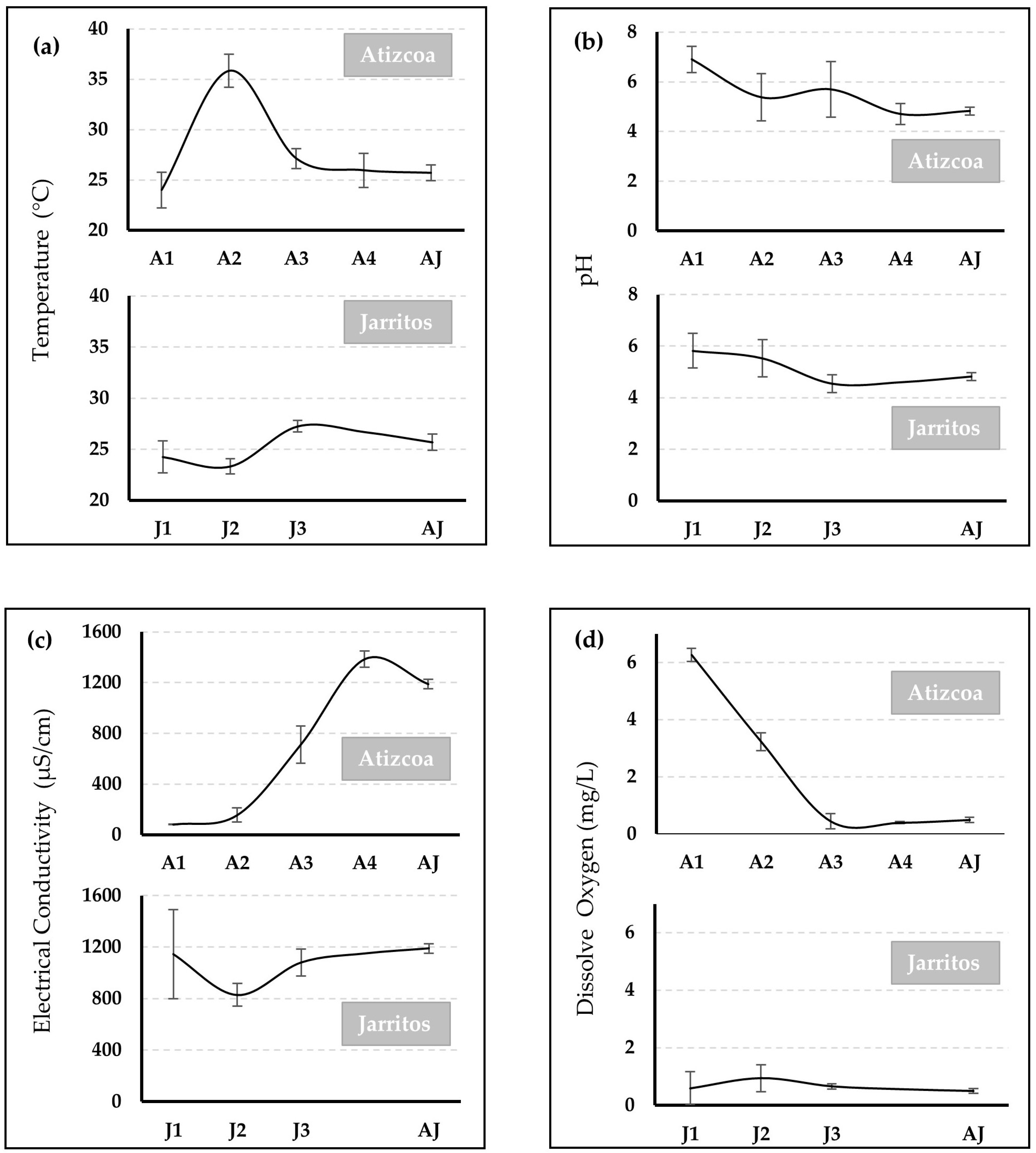
3.2. Parameters Measured on Site
3.3. Parameters Measured in the Laboratory
4. Conclusions
Author Contributions
Funding
Data Availability Statement
Acknowledgments
Conflicts of Interest
References
- Water National Comission (Comision Nacional del Agua). Estadisticas del Agua en México; Water National Comission: Mexico City, Mexico, 2023. [Google Scholar]
- Zurita, F.; Tejeda, A.; Montoya, A.; Carrillo, I.; Sulbarán-Rangel, B.; Carreón-Álvarez, A. Generation of Tequila Vinasses, Characterization, Current Disposal Practices and Study Cases of Disposal Methods. Water 2022, 14, 1395. [Google Scholar] [CrossRef]
- Montoya, A.; Tejeda, A.; Sulbarán-Rangel, B.; Zurita, F. Treatment of tequila vinasse mixed with domestic wastewater in two types of constructed wetlands. Water Sci. Technol. 2023, 87, 3072–3082. [Google Scholar] [CrossRef]
- Zurita, F.; Vymazal, J. Oportunities and challenges of using constructed wetlands for the treatment of high-strength distillery effluents: A review. Ecol. Eng. 2023, 196, 107097. [Google Scholar] [CrossRef]
- Díaz-Vázquez, D.; Carrillo-Nieves, D.; Orozco-Nunnelly, D.A.; Senés-Guerrero, C.; Gradilla-Hernández, M.S. An Integrated Approach for the Assessment of Environmental Sustainability in Agro-Industrial Waste Management Practices: The Case of the Tequila Industry. Front. Environ. Sci. 2021, 9, 682093. [Google Scholar] [CrossRef]
- Tejeda, A.; Valencia-Botín, A.J.; Zurita, F. Resistance evaluation of Canna indica, Cyperus papyrus, Iris sibirica, and Typha latifolia to phytotoxic characteristics of diluted tequila vinasses in wetland microcosms. Int. J. Phytoremediation 2023, 25, 1259–1268. [Google Scholar] [CrossRef]
- Toledo-Cervantes, A.; Villafán-Carranza, F.; Arreola-Vargas, J.; Razo-Flores, E.; Méndez-Acosta, H.O. Comparative evaluation of the mesophilic and thermophilic biohydrogen production at optimized conditions using tequila vinasses as substrate. Int. J. Hydrogen Energy 2020, 45, 11000–11010. [Google Scholar] [CrossRef]
- Kharayat, Y. Distillery wastewater: Bioremediation approaches. J. Integr. Environ. Sci. 2012, 9, 69–91. [Google Scholar] [CrossRef]
- García-Depraect, O.; León-Becerril, E. Fermentative biohydrogen production from tequila vinasse via the lactate-acetate pathway: Operational performance, kinetic analysis and microbial ecology. Fuel 2018, 234, 151–160. [Google Scholar] [CrossRef]
- López-López, A.; Contreras-Ramos, S.M. Tratamiento de Efluentes y aprovechamiento de residuos, capítulo 8. In Ciencia y Tecnología del Tequila: Avances y Perspectivas, 2nd ed.; Centro de Investigación y Asistencia en Tecnología y Diseño del Estado de Jalisco (CIATEJ): Guadalajara, Mexico, 2015. [Google Scholar]
- Ramírez-Ramírez, A.A.; Sulbarán-Rangel, B.C.; Jáuregui-Rincón, J.; Lozano-Álvarez, J.A.; la Torre, J.A.F.-d.; Zurita-Martínez, F. Preliminary Evaluation of Three Species of Ligninolytic Fungi for Their Possible Incorporation in Vertical Flow Treatment Wetlands for the Treatment of Tequila Vinasse. Water Air Soil Pollut. 2021, 232, 456. [Google Scholar] [CrossRef]
- Ratna, S.; Rastogi, S.; Kumar, R. Current trends for distillery wastewater management and its emerging applications for sustainable environment. J. Environ. Manag. 2021, 290, 112544. [Google Scholar] [CrossRef]
- Correia, J.E.; Christofoletti, C.A.; Marcato, A.C.C.; Marinho, J.F.U.; Fontanetti, C.S. Histopathological analysis of tilapia gills (Oreochromis niloticus Linnaeus, 1758) exposed to sugarcane vinasse. Ecotoxicol. Environ. Saf. 2017, 135, 319–326. [Google Scholar] [CrossRef][Green Version]
- Marinho, J.F.U.; Correia, J.E.; Marcato, A.C.d.C.; Pedro-Escher, J.; Fontanetti, C.S. Sugar cane vinasse in water bodies: Impact assessed by liver histopathology in tilapia. Ecotoxicol. Environ. Saf. 2014, 110, 239–245. [Google Scholar] [CrossRef]
- Gunkel, G.; Kosmol, J.; Sobral, M.; Rohn, H.; Montenegro, S.; Aureliano, J. Sugar Cane Industry as a Source of Water Pollution—Case Study on the Situation in Ipojuca River, Pernambuco, Brazil. Water Air Soil Pollut. 2007, 180, 261–269. [Google Scholar] [CrossRef]
- Tequila Regulatory Council (Consejo Regulador del Tequila). Producción Total de Tequila y Tequila 100% en 2023. Available online: https://www.crt.org.mx/EstadisticasCRTweb/ (accessed on 1 March 2023).
- Instituto Nacional de Estadística y Geografía; Consejo Agroalimentario de Jalisco. Colección de estudios sectoriales y regionales. In Conociendo la Industria del Tequila y el Mezcal; Instituto Nacional de Estadística y Geografía: Aguascalientes, Mexico, 2019. [Google Scholar]
- Gómez-Cuevas, K.; Delgado-Cruz, A.; Palmas-Castrejón, Y.D. Originalidad del tequila como símbolo de identidad mexicana. Percepción del turista-consumidor a partir de su exportación. RIVAR (Santiago) 2020, 7, 59–80. [Google Scholar] [CrossRef]
- Almazán-Torres, M.G.; Ordóñez-Regil, E.; Ruiz-Fernández, A.C. Uranium and plutonium in anoxic marine sediments of the Santiago River mouth (Eastern Pacific, Mexico). J. Environ. Radioact. 2016, 164, 395–399. [Google Scholar] [CrossRef] [PubMed]
- Torres, G.; Lozano, F.; Solis, J.; Garcia Velasco, J.; Medina, M.G.; Peregrina-Lucano, A. Air Quality and its Effects on Child Health of a Metropolitan City in Jalisco, Mexico. 2016. Available online: https://www.researchgate.net/publication/340314393_Air_Quality_and_its_Effects_on_Child_Health_of_a_Metropolitan_City_in_Jalisco_Mexico (accessed on 1 March 2023).
- Rizo-Decelis, L.D.; Andreo, B. Water quality assessment of the Santiago River and attenuation capacity of pollutants downstream Guadalajara City, Mexico. River Res. Appl. 2015, 32, 1505–1516. [Google Scholar] [CrossRef]
- Pérez de la Vega Baños, A. Efecto de las Descargas de las Industrias Tequileras Sobre las Poblaciones de Macroinvertebrados Bentónicos en el Arroyo Atizcoa; Municipio de Tequila, Jalisco; Mexico (diciembre, 1986-mayo, 1987) Universidad de Guadalajara: Guadalajara, Mexico, 1988. [Google Scholar]
- APHA; AWWA; WEF. Standard Methods for the Examination of Water and Wastewater, 21st ed.; American Public Health Association: Washington, DC, USA, 2005. [Google Scholar]
- González, A.; Ramírez, J.D. Manual Piragüero-Medición del Caudal; LibroArte: Medellin, Colombia, 2014. [Google Scholar]
- Fernandes, A.P.; Fonseca, A.R.; Pacheco FA, L.; Fernandes, L.S. Water quality predictions through linear regression—A brute force algorithm approach. MethodsX 2023, 10, 102153. [Google Scholar] [CrossRef]
- Veeramsetty, V.; Shadamaki, N.; Pinninti, R.; Guduri, N.; Ashish, G. Water quality index estimation using linear regression model. AIP Conf. Proc. 2022, 2418, 040033. [Google Scholar] [CrossRef]
- Alves, R.N.; Mariz, C.F., Jr.; de Melo Alves, M.K.; Cavalcanti, M.G.N.; de Melo, T.J.B.; de Arruda-Santos, R.H.; Zanardi-Lamardo, E.; Carvalho, P.S.M. Contamination and Toxicity of Surface Waters Along Rural and Urban Regions of the Capibaribe River in Tropical Northeastern Brazil. Environ. Toxicol. Chem. 2021, 40, 3063–3077. [Google Scholar] [CrossRef]
- Kwong, R.W.; Kumai, Y.; Perry, S.F. The physiology of fish at low pH: The zebrafish as a model system. J. Exp. Biol. 2014, 217, 651–662. [Google Scholar] [CrossRef]
- Tchobanoglous, G.; Burton, F.L.; Stensel, H.D.; Metcalf, E. Wastewater Engineering: Treatment and Reuse; McGraw-Hill: New York, NY, USA, 2003. [Google Scholar]
- Octavio, G.-D.; Daryl Rafael, O.-L.; Elizabeth, L.-B. A Comprehensive Overview of the Potential of Tequila Industry By-Products for Biohydrogen and Biomethane Production: Current Status and Future Perspectives. In New Advances on Fermentation Processes; Rosa María, M.-E., Ed.; IntechOpen: Rijeka, Croatia, 2019; Chapter 6. [Google Scholar]
- Secretariat of Environment and Natural Resources (Secretaria del Medio Ambiente y Recursos Naturales). Norma Oficial Mexicana, NOM-001-SEMARNAT-2021 Que Establece los Límites Máximos Permisibles de Contaminantes en las Descargas de Aguas Residuales en Aguas y Bienes Nacionales. 2021. Available online: https://www.dof.gob.mx/nota_detalle.php?codigo=5645374&fecha=11/03/2022#gsc.tab=0 (accessed on 1 March 2023).
- Del Toro Farías, A.; Zurita Martínez, F. Changes in the nitrification-denitrification capacity of pilot-scale partially saturated vertical flow wetlands (with corncob in the free-drainage zone) after two years of operation. Int. J. Phytoremediation 2021, 23, 829–836. [Google Scholar] [CrossRef]
- Nakase, C.; Zurita, F.; Nani, G.; Reyes, G.; Fernández-Lambert, G.; Cabrera-Hernández, A.; Sandoval, L. Nitrogen Removal from Domestic Wastewater and the Development of Tropical Ornamental Plants in Partially Saturated Mesocosm-Scale Constructed Wetlands. Int. J. Environ. Res. Public Health 2019, 16, 4800. [Google Scholar] [CrossRef] [PubMed]
- Mora, A.; García-Gamboa, M.; Sánchez-Luna, M.S.; Gloria-García, L.; Cervantes-Avilés, P.; Mahlknecht, J. A review of the current environmental status and human health implications of one of the most polluted rivers of Mexico: The Atoyac River, Puebla. Sci. Total Environ. 2021, 782, 146788. [Google Scholar] [CrossRef] [PubMed]
- Hansen, A.M.; González-Márquez, L.C. Scenarios of metal concentrations in the Arcediano Dam (State of Jalisco, Mexico). J. Environ. Sci. Health Part A 2010, 45, 99–106. [Google Scholar] [CrossRef]
- Son, C.T.; Giang, N.T.H.; Thao, T.P.; Nui, N.H.; Lam, N.T.; Cong, V.H. Assessment of Cau River water quality assessment using a combination of water quality and pollution indices. J. Water Supply Res. Technol. Aqua 2020, 69, 160–172. [Google Scholar] [CrossRef]
- Castillo-Monroy, J.; Godínez, L.A.; Robles, I.; Estrada-Vargas, A. Study of a coupled adsorption/electro-oxidation process as a tertiary treatment for tequila industry wastewater. Environ. Sci. Pollut. Res. 2021, 28, 23699–23706. [Google Scholar] [CrossRef]
- Toledo-Cervantes, A.; Méndez-Acosta, H.O.; Arreola-Vargas, J.; Gabriel-Barajas, J.E.; Aguilar-Mota, M.N.; Snell-Castro, R. New insights into microbial interactions and putative competitive mechanisms during the hydrogen production from tequila vinasses. Appl. Microbiol. Biotechnol. 2022, 106, 6861–6876. [Google Scholar] [CrossRef]
- Díaz-Vázquez, D.; Orozco-Nunnelly, D.A.; Yebra-Montes, C.; Senés-Guerrero, C.; Gradilla-Hernández, M.S. Using yeast cultures to valorize tequila vinasse waste: An example of a circular bioeconomy approach in the agro-industrial sector. Biomass Bioenergy 2022, 161, 106471. [Google Scholar] [CrossRef]
- Alemán-Nava, G.S.; Gatti, I.A.; Parra-Saldivar, R.; Dallemand, J.-F.; Rittmann, B.E.; Iqbal, H.M.N. Biotechnological revalorization of Tequila waste and by-product streams for cleaner production—A review from bio-refinery perspective. J. Clean. Prod. 2018, 172, 3713–3720. [Google Scholar] [CrossRef]






| Dilutions of Tequila Vinasses with Tap Water | |||||
|---|---|---|---|---|---|
| Parameter | 0% (TW) | 25% | 50% | 75% | 100%(TV) |
| Chemical oxygen demand (mg/L) | 13.5 ± 2.1 | 8850 ± 1131 | 15,225 ± 176.8 | 25,250 ± 1484.9 | 35,150 ± 1202.1 |
| Total Kjeldahl nitrogen (mg/L) | 0.22 ± 0.02 | 125.1 ± 4.8 | 236.5 ± 8.9 | 284.0 ± 21.7 | 426.1 ± 2.8 |
| Nitrate (mg/L) | 0.65 ± 0.07 | 450 ±70.7 | 655 ± 49.5 | 880.0 ± 28.3 | 220 ± 169.7 |
| Nitrite (mg/L) | 0.004 ± 0.00 | 2.1 ± 0.00 | 2.9 ± 0.40 | 4.55 ± 0.21 | 6.05 ± 0.49 |
| Total phosphates (mg/L) | 1.65 ± 0.78 | 100 ± 14.1 | 190 ± 70.7 | 335 ± 7.1 | 385 ± 49.5 |
| Total suspended solids (mg/L) | 0.0 ± 0.0 | 3833 ± 235.7 | 8917 ± 117.9 | 12,417 ± 1532 | 17,833 ± 2121 |
| Turbidity (NTU) | 0.0 ± 0.0 | 1300 ± 118 | 2363 ± 40.3 | 4031 ± 298.4 | 6497 ± 1565.3 |
| pH | 8.58± 0.00 | 3.96 ± 0.00 | 3.8 ±0.00 | 3.76 ±0.01 | 3.74 ± 0.01 |
| Electrical conductivity (µs/cm) | 72.03 ± 0.10 | 905.2 ± 0.57 | 1403.5 ± 0.71 | 1928.5 ± 2.12 | 2372 ± 1.41 |
Disclaimer/Publisher’s Note: The statements, opinions and data contained in all publications are solely those of the individual author(s) and contributor(s) and not of MDPI and/or the editor(s). MDPI and/or the editor(s) disclaim responsibility for any injury to people or property resulting from any ideas, methods, instructions or products referred to in the content. |
© 2023 by the authors. Licensee MDPI, Basel, Switzerland. This article is an open access article distributed under the terms and conditions of the Creative Commons Attribution (CC BY) license (https://creativecommons.org/licenses/by/4.0/).
Share and Cite
Tejeda, A.; Montoya, A.; Sulbarán-Rangel, B.; Zurita, F. Possible Pollution of Surface Water Bodies with Tequila Vinasses. Water 2023, 15, 3773. https://doi.org/10.3390/w15213773
Tejeda A, Montoya A, Sulbarán-Rangel B, Zurita F. Possible Pollution of Surface Water Bodies with Tequila Vinasses. Water. 2023; 15(21):3773. https://doi.org/10.3390/w15213773
Chicago/Turabian StyleTejeda, Allan, Arturo Montoya, Belkis Sulbarán-Rangel, and Florentina Zurita. 2023. "Possible Pollution of Surface Water Bodies with Tequila Vinasses" Water 15, no. 21: 3773. https://doi.org/10.3390/w15213773
APA StyleTejeda, A., Montoya, A., Sulbarán-Rangel, B., & Zurita, F. (2023). Possible Pollution of Surface Water Bodies with Tequila Vinasses. Water, 15(21), 3773. https://doi.org/10.3390/w15213773

