Comparing Six Vegetation Indexes between Aquatic Ecosystems Using a Multispectral Camera and a Parrot Disco-Pro Ag Drone, the ArcGIS, and the Family Error Rate: A Case Study of the Peruvian Jalca
Abstract
:1. Introduction
2. Materials and Methods
2.1. Study Area Location
2.2. Data Acquisition and UAV Image Processing
2.2.1. Flight Programming
2.2.2. Radiometric Calibration of the Parrot Sequoia Camera
2.2.3. Orthomosaic and Lake Extraction
2.2.4. Vegetation Spectral Indexes
2.3. Statistical Methodology
3. Results and Discussion
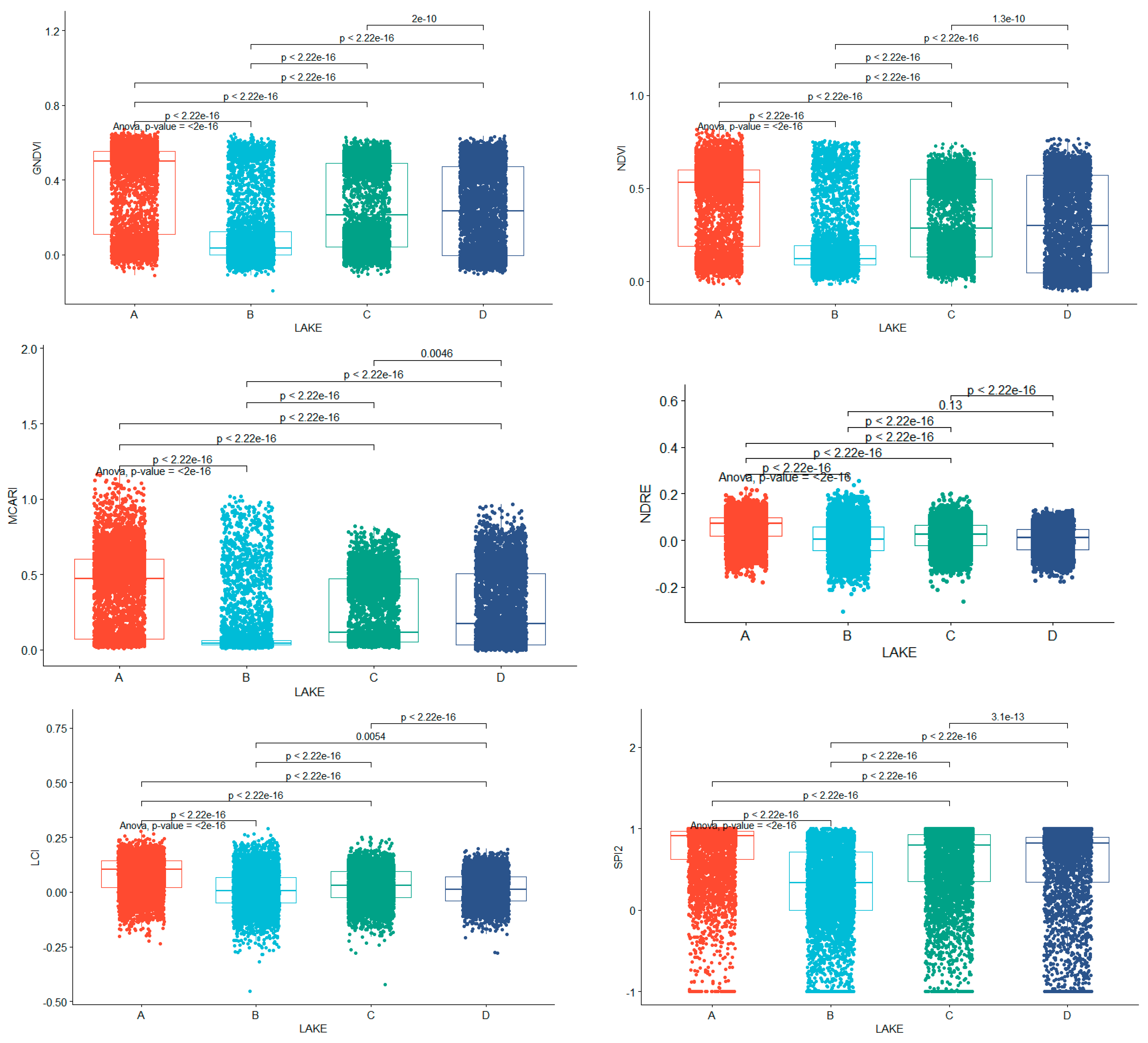
3.1. Sensitivity between Indexes for the Lakes
3.2. Reporting the Results of the Normality Test of Multivariables between Four Lakes
3.3. Equality of Variances—Homogeneity
3.4. Tukey HSD Tests
4. Conclusions
Author Contributions
Funding
Data Availability Statement
Acknowledgments
Conflicts of Interest
References
- Ministerio del Ambiente de Perú (MINAM). Mapa Nacional de Ecosistemas del Perú. Dirección General de Ordenamiento Territorial Ambiental—DGOTA. 2019. Available online: https://sinia.minam.gob.pe/mapas/mapa-nacional-ecosistemas-peru (accessed on 19 January 2021).
- Ruiz, D.; Moreno, H.A.; Gutiérrez, M.E.; Zapata, P.A. Changing Climate and Endangered High Mountain Ecosystems in Colombia. Sci. Total Environ. 2008, 398, 122–132. [Google Scholar] [CrossRef]
- Aparecido, L.M.T.; Teodoro, G.S.; Mosquera, G.; Brum, M.; Barros, F.d.V.; Pompeu, P.V.; Rodas, M.; Lazo, P.; Müller, C.S.; Mulligan, M.; et al. Ecohydrological Drivers of Neotropical Vegetation in Montane Ecosystems. Ecohydrology 2018, 11, e1932. [Google Scholar] [CrossRef]
- Hofstede, R.; Calles, J.; López, V.; Polanco, R.; del Torres, F.; Ulloa, J.; Vásquez, A.; Cerra, M. Los Páramos Andinos ¿Qué Sabemos? UICN: Quito, Ecuador, 2014; ISBN 9789978993293. Available online: https://portals.iucn.org/library/sites/library/files/documents/2014-025.pdf (accessed on 19 January 2021).
- Ochoa-Sánchez, A.; Crespo, P.; Carrillo-Rojas, G.; Sucozhañay, A.; Chandler, D.G.; Célleri, R. Actual Evapotranspiration in the High Andean Grasslands: A Comparison of Measurement and Estimation Methods. Front. Earth Sci. 2019, 7, 55. [Google Scholar] [CrossRef]
- Ricardi, M.; Gaviria, J.; Estrada, J. La Flora Del Superpáramo Venezolano y Sus Relaciones Fitogeográficas a Lo Largo de Los Andes. Plantula 1997, 1, 171–187. Available online: https://www.researchgate.net/publication/26409727_La_Flora_del_Superparamo_venezolano_y_sus_relaciones_fitogeograficas_a_lo_largo_de_Los_Andes (accessed on 19 January 2021).
- Galán de Mera, A.; Sánchez Vega, I.; Montoya Quino, J.; Linares Perea, E.; Campos de la Cruz, J.; Vicente Orellana, J.A. BOSQUES A LA JALCA EN CAJAMARCA. Acta Bot. Neerl. 2015, 40, 157–190. [Google Scholar]
- Weberbauer, A. El Mundo Vegetal de Los Andes Peruanos. Estudio Fitogeográfico; Ministerio de Agricultura: Lima, Perú, 1945.
- Faghihinia, M.; Xu, Y.; Liu, D.; Wu, N. Freshwater biodiversity at different habitats: Research hotspots with persistent and emerging themes. Ecol. Indic. 2021, 129, 107926. [Google Scholar] [CrossRef]
- Angelakis, A.N.; Valipour, M.; Choo, K.-H.; Ahmed, A.T.; Baba, A.; Kumar, R.; Toor, G.S.; Wang, Z. Desalination: From Ancient to Present and Future. Water 2021, 13, 2222. [Google Scholar] [CrossRef]
- Lynch, A.J.; Cooke, S.J.; Deines, A.M.; Bower, S.D.; Bunnell, D.B.; Cowx, I.G.; Nguyen, V.M.; Nohner, J.; Phouthavong, K.; Riley, B.; et al. The Social, Economic, and Environmental Importance of Inland Fish and Fisheries. Environ. Rev. 2016, 24, 115–121. [Google Scholar] [CrossRef]
- Brönmark, C.; Hansson, L.A. Environmental Issues in Lakes and Ponds: Current State and Perspectives. Environ. Conserv. 2002, 29, 290–307. [Google Scholar] [CrossRef]
- Leveque, C. Lake and Pond Ecosystems. Encycl. Biodivers. 2001, 3, 633–644. Available online: https://horizon.documentation.ird.fr/exl-doc/pleins_textes/divers20-05/010032564.pdf (accessed on 19 January 2021).
- Sala, O.E.; Chapin, F.S.; Armesto, J.J.; Berlow, E.; Bloomfield, J.; Dirzo, R.; Huber-Sanwald, E.; Huenneke, L.F.; Jackson, R.B.; Kinzig, A.; et al. Global Biodiversity Scenarios for the Year 2100. Science 2000, 287, 1770–1774. [Google Scholar] [CrossRef]
- Dörnhöfer, K.; Oppelt, N. Remote Sensing for Lake Research and Monitoring—Recent Advances. Ecol. Indic. 2016, 64, 105–122. [Google Scholar] [CrossRef]
- Moss, B. Biodiversity in Fresh Waters-an Issue of Species Preservation or System Functioning? Environ. Conserv. 2000, 27, 1–4. [Google Scholar] [CrossRef]
- Law, A.; Baker, A.; Sayer, C.; Foster, G.; Gunn, I.D.M.; Taylor, P.; Pattison, Z.; Blaikie, J.; Willby, N.J. The Effectiveness of Aquatic Plants as Surrogates for Wider Biodiversity in Standing Fresh Waters. Freshw. Biol. 2019, 64, 1664–1675. [Google Scholar] [CrossRef]
- Ecke, F. The Added Value of Bryophytes and Macroalgae in Ecological Assessment of Lakes. Ecol. Indic. 2018, 85, 487–492. [Google Scholar] [CrossRef]
- O’Hare, J.M.; O’Hare, M.T.; Gurnell, A.M.; Scarlett, P.M.; Liffen, T.; Mcdonald, C. Influence of an Ecosystem Engineer, the Emergent Macrophyte Sparganium Erectum, on Seed Trapping in Lowland Rivers and Consequences for Landform Colonisation. Freshw. Biol. 2012, 57, 104–115. [Google Scholar] [CrossRef]
- Guo, J.-L.; Yu, Y.-H.; Zhang, J.-W.; Li, Z.-M.; Zhang, Y.-H.; Volis, S. Conservation strategy for aquatic plants: Endangered Ottelia acuminata (Hydrocharitaceae) as a case study. Biodivers. Conserv. 2019, 28, 1533–1548. [Google Scholar] [CrossRef]
- Bullerjahn, G.S.; McKay, R.M.L.; Bernát, G.; Prášil, O.; Vörös, L.; Pálffy, K.; Tugyi, N.; Somogyi, B. Community dynamics and function of algae and bacteria during winter in central European great lakes. J. Great Lakes Res. 2019, 46, 732–740. [Google Scholar] [CrossRef]
- Maslennikova, A.V. Development and Application of an Electrical Conductivity Transfer Function, Using Diatoms from Lakes in the Urals, Russia. J. Paleolimnol. 2020, 63, 129–146. [Google Scholar] [CrossRef]
- Altschul, D.; Buchholz, K. Water-Born Micro-Cities: Bringing the Great Lakes Closer to Natural Symbiosis with Eco-Based Design. Plan J. 2017, 2, 87–104. [Google Scholar] [CrossRef]
- Incagnone, G.; Marrone, F.; Barone, R.; Robba, L.; Naselli-Flores, L. How Do Freshwater Organisms Cross the “Dry Ocean”? A Review on Passive Dispersal and Colonization Processes with a Special Focus on Temporary Ponds. Hydrobiologia 2015, 750, 103–123. [Google Scholar] [CrossRef]
- Naselli-Flores, L.; Padisák, J.; Albay, M. Shape and Size in Phytoplankton Ecology: Do They Matter? Hydrobiologia 2007, 578, 157–161. [Google Scholar] [CrossRef]
- Main, R.; Cho, M.A.; Mathieu, R.; O’Kennedy, M.M.; Ramoelo, A.; Koch, S. An Investigation into Robust Spectral Indices for Leaf Chlorophyll Estimation. ISPRS J. Photogramm. Remote Sens. 2011, 66, 751–761. [Google Scholar] [CrossRef]
- Ritchie, J.C.; Zimba, P.V.; Everitt, J.H. Remote Sensing Techniques to Assess Water Quality. Photogramm. Eng. Remote Sens. 2003, 69, 695–704. [Google Scholar] [CrossRef]
- Herberich, E.; Sikorski, J.; Hothorn, T. A Robust Procedure for Comparing Multiple Means under Heteroscedasticity in Unbalanced Designs. PLoS ONE 2010, 5, e9788. [Google Scholar] [CrossRef] [PubMed]
- Schaeffer, B.A.; Schaeffer, K.G.; Keith, D.; Lunetta, R.S.; Conmy, R.; Gould, R.W. Barriers to Adopting Satellite Remote Sensing for Water Quality Management Barriers to Adopting Satellite Remote Sensing for Water Quality Management. Int. J. Remote Sens. 2013, 34, 7534–7544. [Google Scholar] [CrossRef]
- Singgih, I.K.; Lee, J.; Kim, B. Node and Edge Drone Surveillance Problem With Consideration of Required Observation Quality and Battery Replacement. IEEE Access 2020, 8, 44125–44139. [Google Scholar] [CrossRef]
- Matthews, M.W.; Bernard, S.; Winter, K. Remote Sensing of Cyanobacteria-Dominant Algal Blooms and Water Quality Parameters in Zeekoevlei, a Small Hypertrophic Lake, Using MERIS. Remote Sens. Environ. 2010, 114, 2070–2087. [Google Scholar] [CrossRef]
- Franzini, M.; Ronchetti, G.; Sona, G.; Casella, V. Geometric and Radiometric Consistency of Parrot Sequoia Multispectral Imagery for Precision Agriculture Applications. Appl. Sci. 2019, 9, 5314. [Google Scholar] [CrossRef]
- Oldeland, J.; Revermann, R.; Luther-Mosebach, J.; Buttschardt, T.; Lehmann, J.R.K. New tools for old problems—Comparing drone- and field-based assessments of a problematic plant species. Environ. Monit. Assess. 2021, 193, 90. [Google Scholar] [CrossRef] [PubMed]
- Oldeland, J.; Große-Stoltenberg, A.; Naftal, L.; Strohbach, B.J. The Potential of UAV Derived Image Features for Discriminating Savannah Tree Species. In The Roles of Remote Sensing in Nature Conservation; Springer International Publishing: Berlin/Heidelberg, Germany, 2017; pp. 183–201. [Google Scholar]
- Ministerio del Ambiente de Perú (MINAM). MINAM Resolución Ministerial N° 118-2010-MINAM 2010, 6. Available online: https://www.minam.gob.pe/disposiciones/resolucion-ministerial-n-118-2010-minam/ (accessed on 1 February 2021).
- Song, B.; Park, K. Detection of Aquatic Plants Using Multispectral UAV Imagery and Vegetation Index. Remote Sens. 2020, 12, 387. [Google Scholar] [CrossRef]
- Iqbal, F.; Lucieer, A.; Barry, K. European Journal of Remote Sensing Simplified Radiometric Calibration for UAS-Mounted Multispectral Sensor. Eur. J. Remote Sens. 2018, 51, 301–313. [Google Scholar] [CrossRef]
- Kelcey, J.; Lucieer, A. Sensor Correction and Radiometric Calibration of a 6-Band Multispectral Imaging Sensor for UAV Remote Sensing. ISPRS Int. Arch. Photogramm. Remote Sens. Spat. Inf. Sci. 2012, XXXIX-B1, 393–398. [Google Scholar] [CrossRef]
- Poncet, A.M.; Knappenberger, T.; Brodbeck, C.; Fogle, M.; Shaw, J.N.; Ortiz, B.V. Multispectral UAS Data Accuracy for Different Radiometric Calibration Methods. Remote Sens. 2019, 11, 1917. [Google Scholar] [CrossRef]
- Gitelson, A.A.; Kaufman, Y.J.; Merzlyak, M.N.; Blaustein, J. Use of a Green Channel in Remote Sensing of Global Vegetation from EOS-MODIS; Elsevier Science Inc.: Amsterdam, The Netherlands, 1995; Volume 58. [Google Scholar]
- T Daughtry, C.S.; Walthall, C.L.; Kim, M.S.; Brown de Colstoun, E.; McMurtrey, J.E., III. Estimating Corn Leaf Chlorophyll Concentration from Leaf and Canopy Reflectance; Elsevier Science Inc.: Amsterdam, The Netherlands, 1999; Volume 74. [Google Scholar]
- Filella, I.; Penuelas, J. The red edge position and shape as indicators of plant chlorophyll content, biomass and hydric status. Int. J. Remote Sens. 1994, 15, 1459–1470. [Google Scholar] [CrossRef]
- Deering, D.W. Rangeland Reflectance Characteristics Measured by Aircraft and Spacecraft Sensors; ProQuest Dissertations Publishing: Ann Arbor, MI, USA, 1978. [Google Scholar]
- Gandica, E. Potencia y Robustez En Pruebas de Normalidad Con Simulación Montecarlo. Rev. Sci. 2020, 5, 108–119. [Google Scholar] [CrossRef]
- Gastwirth, J.L.; Gel, Y.R.; Miao, W. The Impact of Levene’s Test of Equality of Variances on Statistical Theory and Practice. Stat. Sci. 2009, 24, 343–360. [Google Scholar] [CrossRef]
- Hothorn, T.; Bretz, F.; Westfall, P. Simultaneous Inference in General Parametric Models. Biom. J. 2008, 50, 346–363. [Google Scholar] [CrossRef]
- Yoder, B.J.; Waring, R.H. The Normalized Difference Vegetation Index of Small Douglas-Fir Canopies with Varying Chlorophyll Concentrations. Remote Sens. Environ. 1994, 49, 81–91. [Google Scholar] [CrossRef]
- Greegor, R.B.; Lytle, F.W.; Chakoumakos, B.C.; Lumpkin, G.R.; Ewing, R.C.; Spiro, C.L.; Wong, J. X-ray Absorption Spectroscopy Investigation of the Ta Site in Alpha-Recoil Damaged Natural Pyrochlores. MRS Online Proc. Libr. 1987, 84, 645–658. [Google Scholar] [CrossRef]
- Agapiou, A.; Hadjimitsis, D.G.; Alexakis, D.D. Evaluation of Broadband and Narrowband Vegetation Indices for the Identification of Archaeological Crop Marks. Remote Sens. 2012, 4, 3892–3919. [Google Scholar] [CrossRef]
- Hunt, E.R.; Doraiswamy, P.C.; McMurtrey, J.E.; Daughtry, C.S.T.; Perry, E.M.; Akhmedov, B. A Visible Band Index for Remote Sensing Leaf Chlorophyll Content at the Canopy Scale. Int. J. Appl. Earth Obs. Geoinf. 2012, 21, 103–112. [Google Scholar] [CrossRef]
- Zarco-Tejada, P.; Sepulcre-Cantó, G. Remote Sensing OF Vegetation Biophysical Parameters FOR Detecting Stress Condition AND Land Cover Changes. Estud. Zona Saturada Suelo 2007, VIII, 37–44. [Google Scholar]
- Tucker, C.J. Red and Photographic Infrared Lnear Combinations for Monitoring Vegetation. Remote Sens. Environ. 1979, 8, 127–150. [Google Scholar] [CrossRef]
- Sellers, P.J. Canopy Reflectance, Photosynthesis and Transpiration. Int. J. Remote Sens. 1985, 6, 1335–1372. [Google Scholar] [CrossRef]
- Sellers, P.J. Canopy Reflectance, Photosynthesis, and Transpiration, II. The Role of Biophysics in the Linearity of Their Interdependence. Remote Sens. Environ. 1987, 21, 143–183. [Google Scholar] [CrossRef]
- Boiarskii, B. Comparison of NDVI and NDRE Indices to Detect Differences in Vegetation and Chlorophyll Content. J. Mech. Contin. Math. Sci. 2019, 4, 20–29. [Google Scholar] [CrossRef]
- Zebarth, B.J.; Younie, M.; Paul, J.W.; Bittman, S. Evaluation of Leaf Chlorophyll Index for Making Fertilizer Nitrogen Recommendations for Silage Corn in a High Fertility Environment. Commun. Soil Sci. Plant Anal. 2002, 33, 665–684. [Google Scholar] [CrossRef]
- Tickner, D.; Opperman, J.J.; Abell, R.; Acreman, M.; Arthington, A.H.; Bunn, S.E.; Cooke, S.J.; Dalton, J.; Darwall, W.; Edwards, G.; et al. Bending the Curve of Global Freshwater Biodiversity Loss: An Emergency Recovery Plan. Bioscience 2020, 70, 330–342. [Google Scholar] [CrossRef]













| Lake | Latitude | Longitude | Area (m2) |
|---|---|---|---|
| A | −6.340960° | −77.825988° | 2080.99 |
| B | −6.341761° | −77.826054° | 531.61 |
| C | −6.343233° | −77.826242° | 960.12 |
| D | −6.343718° | −77.826427° | 198.5 |
| Band Number | Band Name | Sequoia Filename Termination | Center Wavelength (nm) | Abbreviation |
|---|---|---|---|---|
| 1 | Green | GREEN | 550 nm | Rg |
| 2 | Red | RED | 660 nm | Rr |
| 3 | Near infrared | NIR | 790 nm | Rnir |
| 4 | Red edge | REG | 735 nm | Rre |
| Index | Formula | Comments | Reference |
|---|---|---|---|
| Green Normalized Difference Vegetation Index (GNDVI) | (NIR − GREEN)/(NIR + GREEN) | The NDVI without red channel availability is used for areas sensitive to chlorophyll content. This index is used to measure photosynthesis rates and monitor plant stress. | [40] |
| Leaf Chlorophyll Index (LCI) | (NIR − REG)/(NIR + RED) | This index is used to evaluate the chlorophyll content in areas of complete leaf cover. | |
| Modified Chlorophyll Absorption in Reflective Index (MCARI) | 1.2 × (2.5 × (NIR − RED) − 1.3 × (NIR − GREEN))/(normalized to the maximum value of RED, GREEN, and NIR bands) | This index is used to measure chlorophyll concentrations, as well as variations in the leaf area index. | [41] |
| Normalized Difference Red Edge (NDRE) | (NIR − REG)/(NIR + REG) | This index is sensitive to leaf chlorophyll content versus soil background effects. This index can only be formulated when the red border band is available. | [42] |
| Normalized Difference Vegetation Index (NDVI) | (NIR − RED)/(NIR + RED) | This generic index is used for leaf coverage and plant health. | [43] |
| It measures green vegetation. | |||
| Structure Intensive Pigment Index 2 (SIPI2) | (NIR − GREEN)/(NIR − RED) | This index is used in areas with high variability in the canopy structure, for example, in areas of forestry activity. | [42] |
| Index | Kolmogorov–Smirnov | ANOVA | Levene’s Test | Values | Lake A (n = 51,959) | Lake B (n = 13,302) | Lake C (n = 24,015) | Lake D (n = 4966) |
|---|---|---|---|---|---|---|---|---|
| GNDVI | 0.6653 | <0.001 | <2.2 × 10−16 *** | Min | −0.15 | −0.19 | −0.14 | −0.1 |
| Max | 0.7 | 0.67 | 0.65 | 0.64 | ||||
| Mean | 0.18 | 0.11 | 0.13 | 0.24 | ||||
| SD | 0.25 | 0.19 | 0.22 | 0.23 | ||||
| LCI | 0.8711 | <0.001 | <2.2 × 10−16 *** | Min. | −0.39 | −0.45 | −0.42 | −0.28 |
| Max. | 0.33 | 0.33 | 0.32 | 0.2 | ||||
| Mean | 0.02 | 0.01 | 0 | 0.01 | ||||
| SD | 0.08 | 0.08 | 0.07 | 0.07 | ||||
| MCARI | 0.7697 | <0.001 | <2.2 × 10−16 *** | Min. | 0 | 0 | 0 | −0.01 |
| Max. | 1.31 | 1.02 | 0.95 | 0.97 | ||||
| Mean | 0.26 | 0.13 | 0.16 | 0.27 | ||||
| SD | 0.34 | 0.19 | 0.21 | 0.25 | ||||
| NDRE | 0.4135 | <0.001 | <2.2 × 10−16 *** | Min. | −0.26 | −0.31 | −0.28 | −0.18 |
| Max. | 0.3 | 0.26 | 0.3 | 0.14 | ||||
| Mean | 0.01 | 0.01 | 0 | 0 | ||||
| SD | 0.06 | 0.07 | 0.06 | 0.05 | ||||
| NDVI | 0.2827 | <0.001 | <2.2 × 10−16 *** | Min. | −0.07 | −0.07 | −0.05 | −0.05 |
| Max. | 0.82 | 0.76 | 0.74 | 0.77 | ||||
| Mean | 0.26 | 0.2 | 0.22 | 0.31 | ||||
| SD | 0.25 | 0.18 | 0.2 | 0.25 | ||||
| SIPI2 | 0.4871 | <0.001 | <2.2 × 10−16 *** | Min. | −1 | −1 | −1 | −1 |
| Max. | 1 | 1 | 1 | 1 | ||||
| Mean | 0.21 | 0.24 | 0.17 | 0.49 | ||||
| SD | 0.68 | 0.53 | 0.64 | 0.66 |
| Pr(>|t|) | ||||||
|---|---|---|---|---|---|---|
| GNDVI | LCI | MCARI | NDRE | NDVI | SPI2 | |
| B-A | <1 × 10−10 *** | <0.001 *** | <0.001 *** | <1 × 10−4 *** | <1 × 10−9 *** | <2 × 10−16 *** |
| C-A | <1 × 10−10 *** | <0.001 *** | <0.001 *** | <1 × 10−4 *** | <1 × 10−9 *** | <2 × 10−16 *** |
| D-A | <1 × 10−10 *** | <0.001 *** | <0.001 *** | <1 × 10−4 *** | <1 × 10−9 *** | <2 × 10−16 *** |
| C-B | <1 × 10−10 *** | <0.001 *** | <0.001 *** | <1 × 10−4 *** | <1 × 10−9 *** | <2 × 10−16 *** |
| D-B | <1 × 10−10 *** | 0.0303 * | <0.001 *** | 0.408 | <1 × 10−9 *** | <2 × 10−16 *** |
| D-C | 1.03 × 10−10 *** | <0.001 *** | 0.0254 * | <1 × 10−4 *** | <1 × 10−9 *** | 1.22 × 10−15 *** |
Disclaimer/Publisher’s Note: The statements, opinions and data contained in all publications are solely those of the individual author(s) and contributor(s) and not of MDPI and/or the editor(s). MDPI and/or the editor(s) disclaim responsibility for any injury to people or property resulting from any ideas, methods, instructions or products referred to in the content. |
© 2023 by the authors. Licensee MDPI, Basel, Switzerland. This article is an open access article distributed under the terms and conditions of the Creative Commons Attribution (CC BY) license (https://creativecommons.org/licenses/by/4.0/).
Share and Cite
Veneros, J.; Chavez, S.; Oliva, M.; Arellanos, E.; Maicelo, J.L.; García, L. Comparing Six Vegetation Indexes between Aquatic Ecosystems Using a Multispectral Camera and a Parrot Disco-Pro Ag Drone, the ArcGIS, and the Family Error Rate: A Case Study of the Peruvian Jalca. Water 2023, 15, 3103. https://doi.org/10.3390/w15173103
Veneros J, Chavez S, Oliva M, Arellanos E, Maicelo JL, García L. Comparing Six Vegetation Indexes between Aquatic Ecosystems Using a Multispectral Camera and a Parrot Disco-Pro Ag Drone, the ArcGIS, and the Family Error Rate: A Case Study of the Peruvian Jalca. Water. 2023; 15(17):3103. https://doi.org/10.3390/w15173103
Chicago/Turabian StyleVeneros, Jaris, Segundo Chavez, Manuel Oliva, Erick Arellanos, Jorge L. Maicelo, and Ligia García. 2023. "Comparing Six Vegetation Indexes between Aquatic Ecosystems Using a Multispectral Camera and a Parrot Disco-Pro Ag Drone, the ArcGIS, and the Family Error Rate: A Case Study of the Peruvian Jalca" Water 15, no. 17: 3103. https://doi.org/10.3390/w15173103
APA StyleVeneros, J., Chavez, S., Oliva, M., Arellanos, E., Maicelo, J. L., & García, L. (2023). Comparing Six Vegetation Indexes between Aquatic Ecosystems Using a Multispectral Camera and a Parrot Disco-Pro Ag Drone, the ArcGIS, and the Family Error Rate: A Case Study of the Peruvian Jalca. Water, 15(17), 3103. https://doi.org/10.3390/w15173103

