Unconventional Water Use Allocation in Harbin, China
Abstract
:1. Introduction
2. Study Area
3. Methodology
3.1. Observation of the Influences
3.2. Identifying Key Indicators
3.3. Forecasting the Potential for Unconventional Water Use
3.4. Modeling of Unconventional Water Allocation
4. Results
4.1. Situational Setting
4.2. Determining Evaluation Indicators and Weights
4.3. Annual Levels of Anticipated Unconventional Water Use
4.4. Options for Unconventional Water Allocation in Various Situations
4.5. Unusual Water Space Arrangements in Each County
5. Discussion
- (1)
- Every nation is experiencing a number of critical issues with water resources at the moment, including severe water shortages and water contamination. The best method to address these issues is to actively develop and use unconventional water sources. The Middle Eastern countries are rich in oil resources and can develop and use mine water, as well as the United States, Germany, France, and other countries with more developed industries. China, India, and the United States have a large population, so industrial wastewater and domestic sewage discharge is extremely large, though it can be recycled after the treatment of sewage, increasing the use of recycled water configuration. Japan, South Africa, and other countries should be tailored to local conditions. In addition to gathering, storing, and analyzing digital data and information regarding the use and configuration of unconventional water resources, countries should promote international cooperation in the treatment and utilization of unconventional water resources. Study the socioeconomic potential and ecological worth of unconventional water allocation while developing and implementing innovative technology for the treatment of unconventional water resources.
- (2)
- To implement the “water conservation first” strategy to water management in this new era, China is gradually focusing on the use of unconventional water resources, replacing traditional water resources with unconventional water resources in many industries and encouraging people and businesses to use unconventional water. This is a crucial step in putting the new “water conservation first” water management strategy into practice. This is a crucial step in putting the new era’s “water conservation first” strategy into practice. Based on the state of China’s growth, it is a crucial step to actualize the creation of an “environmentally friendly and resource-saving society” and to contribute to the country’s healthy and high-quality development. It is a fantastic activity founded on the shared ideals of the entire civilization, the entire planet, and the entire human race, and it is extremely important for creating a community of human destiny and influencing the development of the common home of mankind in a better way.
- (3)
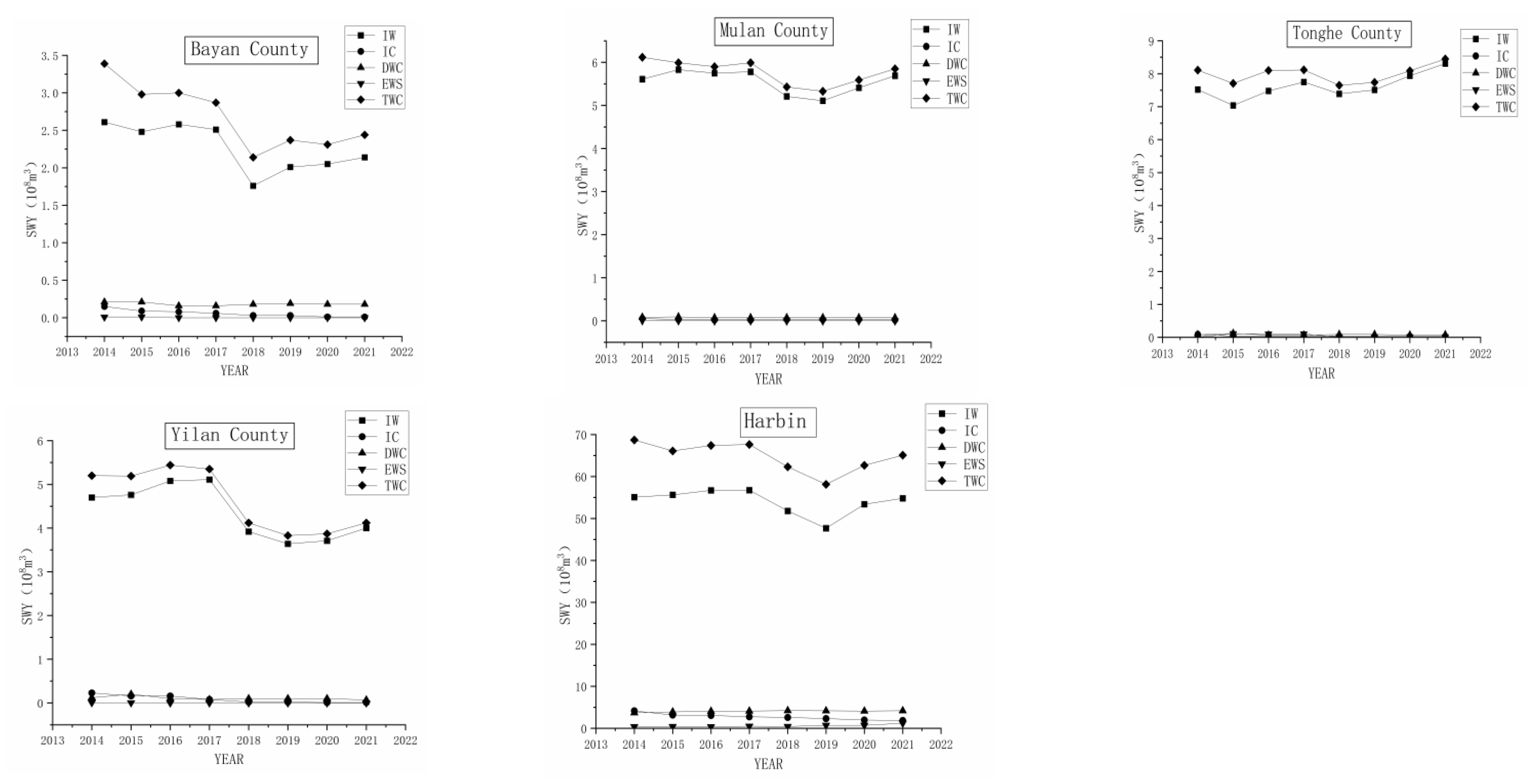
- Harbin City has a fair amount of overall water resources, but it also has a number of issues, including major water pollution and water shortages related to water quality. In Harbin, there are 11 sewage treatment facilities with a daily capacity of 1.4 × 106 t. A portion of the water industry can essentially satisfy its needs in terms of quantity and quality of water, but the majority of it is simply dumped into lakes and rivers without being properly utilized. As a result, Harbin has to set up a comprehensive pipeline network, enhance funding for the development of facilities for treating and allocating unusual water resources, and create a plan for allocating those resources that is both rational and based on science.
6. Conclusions
- (1)
- According to the screened indicators of the impact on the level of unconventional water resources utilization in Harbin, actions like increasing capital investment in unconventional water resources in Harbin, constructing more sewage treatment plants, expanding sewage treatment plants, upgrading the water pipeline network system, and stepping up the publicity of unconventional water resources can effectively improve the level of unconventional water resources.
- (2)
- The results of the forecast indicate that 0.99 × 108 m3 of unconventional water resources will be used in the Harbin planning year (2025); however, this amount is negligible in comparison to the level of water demand. The amount of unconventional water resources available in Harbin is insufficient to cover the city’s water needs, so it is anticipated that each industry that uses water will give unconventional water use priority while still meeting the rest of the city’s water needs with conventional water sources.
- (3)
- Agricultural irrigation is given the highest priority for unconventional water resources in industrial water allocation, whereas industrial water is given the lowest priority. Priority levels for the 13 counties and districts are as follows: Wuchang City > Tonghe County > Main City > Yanshou County > Mulan County > Shangzhi City > Fangzheng County > Yilan County > Bayan County > Shuangcheng District > Acheng District > Hulan District > Bingxian County.
Author Contributions
Funding
Data Availability Statement
Conflicts of Interest
References
- Qadir, M.; Smakhtin, V.; Koo-Oshima, S.; Guenther, E. Global Water Scarcity and Unconventional Water Resources; Springer International Publishing: Cham, Switzerland, 2022; pp. 3–17. [Google Scholar] [CrossRef]
- Ghosh, S.; Sharma, S.; Ghosh, S.K.; Pal, B.; Kanthal, S.; Roy, S. Unconventional Water Production Technologies for a smart and sustainable society. J. Phys. Conf. Ser. 2022, 2286, 012029. [Google Scholar] [CrossRef]
- Karimidastenaei, Z.; Avellán, T.; Sadegh, M.; Kløve, B.; Haghighi, A.T. Unconventional water resources: Global opportunities and challenges. Sci. Total Environ. 2022, 827, 154429. [Google Scholar] [CrossRef] [PubMed]
- Huang, C.; Zhang, G.; Yang, J. Research progress of evaluation index system for sustainable use of water resources in China. Resour. Sci. 2006, 32, 33–40. [Google Scholar]
- 2010 China Environmental Status Bulletin; Editorial Office of the Ministry of Environmental Protection of the People’s Republic of China: Beijing, China, 2011.
- Marchioni, M.; Raimondi, A.; Di Chiano, M.G.; Sanfilippo, U.; Mambretti, S.; Becciu, G. Costs-benefit Analysis for the use of Shallow Groundwater as unconventional water Resource. Water Resour. Manag. 2023, 37, 2125–2142. [Google Scholar] [CrossRef]
- Renée, M.N.; Christina, L. Governance of Unconventional Water Resources; Springer International Publishing: Cham, Switzerland, 2022; pp. 257–279. [Google Scholar]
- Feedback Research Services. Multi-Billion Dollar Prospects from Feed-back.com Market Report: U.S. Recycled Water. Eng. Bus. J. 2012.
- Wu, X.; Wen, Q.; Hu, L.; Liu, M. Evaluation of Unconventional Water Resources Based on Knowledge Granularity. In Proceedings of the 2nd International Symposium on Water Resource and Environmental Management (WREM 2019), Virtual, 27 January 2020; Volume 144. [Google Scholar] [CrossRef]
- Ma, C.; Ni, H.; Jiang, Y.; Lin, X. Study on the Unconventional Water Subsidy Policy in the Arid Area of Northwest China. Water 2022, 14, 3167. [Google Scholar] [CrossRef]
- Qadir, M.; Smakhtin, V.; Koo-Oshima, S.; Guenther, E. The Future of Unconventional Water Resources; Springer International Publishing: Cham, Switzerland, 2022; pp. 299–309. [Google Scholar] [CrossRef]
- Li, Z.; Sun, Z.; Zhang, L.; Zhan, N.; Lou, C.; Lian, J. Investigation of water quality and aquatic ecological succession of a newly constructed river replenished by reclaimed water in Beijing. Heliyon 2023, 9, e17045. [Google Scholar] [CrossRef]
- Chen, Y.; Wang, Y.; Ding, T.; Wang, K.; Wu, H. Water footprint and virtual water trade analysis in water-rich basins: Case of the Chaohu Lake Basin in China. Sci. Total Environ. 2022, 843, 156906. [Google Scholar] [CrossRef]
- Liu, G.; Hu, J.; Chen, C.; Xu, L.; Wang, N.; Meng, F.; Giannetti, B.F.; Agostinho, F.; Almeida, C.M.B.; Casazza, M. LEAP-WEAP analysis of urban energy-water dynamic nexus in Beijing (China). Renew. Sustain. Energy Rev. 2021, 136, 110369. [Google Scholar] [CrossRef]
- Li, J.; Song, S.; Ayantobo, O.O.; Wang, H.; Jiaping, L.; Zhang, B. Coordinated allocation of conventional and unconventional water resources considering uncertainty and different stakeholders. J. Hydrol. 2022, 605, 127293. [Google Scholar] [CrossRef]
- Yang, Z.; Wang, Y.; Peng, T. Uncertainty propagation and risk analysis oriented stochastic multi-criteria decision making for unconventional water resources management. J. Hydrol. 2021, 595, 126019. [Google Scholar] [CrossRef]
- Yazdandoost, F.; Noruzi, M.M.; Yazdani, S.A. Sustainability assessment approaches based on water-energy Nexus: Fictions and nonfictions about unconventional water resources. Sci. Total Environ. 2020, 758, 143703. [Google Scholar] [CrossRef]
- Batisha Ayman, F. Greywater in Egypt: The sustainable future of unconventional water resources. Environ. Sci. Pollut. Res. Int. 2020, 27, 1–11. [Google Scholar] [CrossRef]
- Negm, A.M.; Omran, E.-S.E.; Abdel-Fattah, S. Update, Conclusions, and Recommendations for the “Unconventional Water Resources and Agriculture in Egypt”. Unconv. Water Resour. Agric. Egypt 2018, 75, 509–532. [Google Scholar] [CrossRef]
- Karimov, B.K.; Matthies, M.; Kamilov, B.G. Unconventional Water Resources of Agricultural Origin and Their Re-Utilization Potential for Development of Desert Land Aquaculture in the Aral Sea Basin; Springer: Berlin/Heidelberg, Germany, 2014; pp. 143–159. [Google Scholar] [CrossRef]
- Jiang, X.Y.; Law, C.H.; Yang, J.K. Technical Analysis for the Utilization of Unconventional Water Resource in Green Building. Adv. Mater. Res. 2013, 2377, 167–171. [Google Scholar] [CrossRef]
- Cui, B.; Gao, F.; Hu, C.; Li, Z.; Cui, X.; Cui, E. Current situation and research progress of agricultural utilization of unconventional water resources. J. Irrig. Drain. 2019, 38, 60–68. [Google Scholar] [CrossRef]
- Hu, Y.; Wu, W. Current situation and development strategy of irrigation of unconventional water resources in agriculture in China. Eng. Sci. 2018, 20, 69–76. [Google Scholar]
- Liu, Y.; Yang, H.; Li, Y.; Liu, H.; Li, C. Estimation of unconventional water resources for ecological water replenishment in Binhai estuary in Tianjin. South-North Water Transf. Water Sci. Technol. 2016, 14, 62–66. [Google Scholar] [CrossRef]
- Chuanchang, G.; Xing, L. Application research progress of urban unconventional water resources. J. Irrig. Drain. 2007, 26, 68–70. [Google Scholar] [CrossRef]
- Li, J.; Song, S.; Ayantobo, O.O.; Wang, H.; Liang, J.; Zhang, B. Regional co-allocation model of conventional and unconventional water resources considering different stakeholders. J. Basic Sci. Eng. 2022, 30, 50–63. [Google Scholar] [CrossRef]
- Mu, Y.; Wang, J. Application status and utilization prospect of several unconventional water resources. Sci. Technol. Vis. 2020, 11, 222–224. [Google Scholar] [CrossRef]
- Men, B.; Liu, H.; Tian, W.; Liu, H. Evaluation of Sustainable Use of Water Resources in Beijing Based on Rough Set and Fuzzy Theory. Water 2017, 9, 852. [Google Scholar] [CrossRef]
- Fang, D.; Chen, B. Linkage analysis for the water–energy nexus of city. Appl. Energy 2017, 189, 770–779. [Google Scholar] [CrossRef]
- Hák, T.; Janoušková, S.; Moldan, B. Sustainable development goals: A need for relevant indicators. Ecol. Indic. 2016, 60, 565–573. [Google Scholar] [CrossRef]
- Howells, M.; Rogner, H.H. Water-energy nexus: Assessing integrated systems. Nat. Clim. Chang. 2014, 4, 246. [Google Scholar] [CrossRef]
- Loucks, D.P. Quantifying trends in system sustainability. Hydrol. Sci. J. 1997, 42, 513–530. [Google Scholar] [CrossRef]
- Pacetti, T.; Lombardi, L.; Federici, G. Water–energy Nexus: A case of biogas production from energy crops evaluated by water footprint and Life Cycle Assessment (LCA) methods. J. Clean. Prod. 2015, 101, 278–291. [Google Scholar] [CrossRef]
- Meng, F.; Li, L.; Li, T.; Fu, Q. Optimal allocation model of the water resources in Harbin under representative concentration pathway scenarios. Water Sci. Technol. Water Supply 2020, 20, 2903–2914. [Google Scholar] [CrossRef]
- Yan, Z.; Suxia, L.; Junfeng, C. Water Resource Allocation Under Consideration of the National NIY Plan in Harbin, China. J. Resour. Ecol. 2012, 3, 161–168. [Google Scholar] [CrossRef]
- Atef, S.S.; Sadeqinazhad, F.; Farjaad, F.; Amatya, D.M. Water Conflict Management and Cooperation between Afghanistan and Pakistan. J. Hydrol. 2019, 570, 875–892. [Google Scholar] [CrossRef]
- Cui, Y.F.; Geng, Z.Q.; Zhu, Q.X.; Han, Y.M. Review: Multi-objective optimization methods and application in energy saving. Energy 2017, 125, 681–704. [Google Scholar] [CrossRef]
- Albrektsson, T.; Johansson, C. Topologies and performance of intelligent algorithms: A comprehensive review. Artif. Intell. Rev. 2018, 49, 79–103. [Google Scholar] [CrossRef]
- Zhang, C.F. Optimization of Water Resources Allocation and Harmony of Allocation System in Yuyang District of Yulin City Considering Uncertainty. Ph.D. Thesis, Northwest A & F University, Xianyang, China, 2017. [Google Scholar]
- Márquez, F.P.G. Advances in Principal Component Analysis; Springer: Berlin/Heidelberg, Germany, 2022; p. 4479. [Google Scholar] [CrossRef]
- Park, Y.; Kim, H.; Lim, Y. Functional principal component analysis for partially observed elliptical process. Comput. Stat. Data Anal. 2023, 184, 107745. [Google Scholar] [CrossRef]
- Pérez, A.; Prieto-Alaiz, M.; Chamizo, F.; Liebscher, E.; Úbeda-Flores, M. Nonparametric estimation of the multivariate Spearman’s footrule: A further discussion. Fuzzy Sets Syst. 2023, 467, 108489. [Google Scholar] [CrossRef]
- Biggs, E.M.; Bruce, E.; Boruff, B.; Duncan, J.M.; Horsley, J.; Pauli, N.; McNeill, K.; Neef, A.; Van Ogtrop, F.; Curnow, J.; et al. Sustainable development and the water–energy–food nexus: A perspective on livelihoods. Environ. Sci. Pol. 2015, 54, 389–397. [Google Scholar] [CrossRef]
- Rasyidah; Efendi, R.; Nawi, N.M.; Deris, M.M.; Burney, S. Cleansing of inconsistent sample in linear regression model based on rough sets theory. Syst. Soft Comput. 2023, 5, 200046. [Google Scholar] [CrossRef]
- Ghalme Sachin, G.; Pawel, K. Multi-Response Optimization of Drilling Parameters for Aluminum Metal Matrix Composite Using Entropy Weighted Grey Relational Analysis. Adv. Mater. Res. 2023, 6851, 17–29. [Google Scholar] [CrossRef]
- Cong, D.; Yu, S.; Chen, X.; Liu, X. Response relationship between water resources development and utilization and urbanization development in Harbin. Soil Water Conserv. Bull. 2020, 40, 269–275+296. [Google Scholar] [CrossRef]











| Tier 1 Indicators | Secondary Indicators | Tier 1 Indicators | Secondary Indicators |
|---|---|---|---|
| Social factors (A) | Population size (PS) | Water use structure factors (C) | Total water resources (WRA) |
| Urban population (UP) | Surface water volume (SWR) | ||
| Percentage of urban population (POUP) | Groundwater volume (QOGR) | ||
| Economic structural factors (B) | Cost (COST) | Precipitation (PRE) | |
| Benefits (BENEFIT) | Total water supply (WS) | ||
| Financial Expenditures (FE) | Water consumption for agricultural irrigation (IW) | ||
| Financial input influence factors (D) | Reclaimed water facilities investment construction (REFIAC) | Industrial water consumption (IC) | |
| Number of sewage treatment plants (STP) | Domestic water consumption (DWC) | ||
| Ecological water replenishment (EWS) |
| Influencing Factors | Relevance | Sig |
|---|---|---|
| Population size (PS) | 0.129 | 0.740 |
| Urban population (UP) | −0.159 | 0.682 |
| Percentage of urban population (POUP) | 0.837 | 0.005 |
| Cost (COST) | 0.653 | 0.057 |
| Benefits (BENEFIT) | −0.398 | 0.288 |
| Financial Expenditures (FE) | 0.807 | 0.009 |
| Total water resources (WRA) | 0.448 | 0.226 |
| Surface water volume (SWR) | 0.339 | 0.373 |
| Groundwater volume (QOGR) | 0.667 | 0.050 |
| Precipitation (PRE) | 0.448 | 0.226 |
| Total water supply (WS) | −0.588 | 0.096 |
| Water consumption for agricultural irrigation (IW) | −0.588 | 0.096 |
| Industrial water consumption (IC) | −0.837 | 0.005 |
| Domestic water consumption (DWC) | 0.530 | 0.142 |
| Ecological water replenishment (EWS) | 0.837 | 0.005 |
| Reclaimed water facilities investment construction (REFIAC) | 0.837 | 0.005 |
| Number of sewage treatment plants (STP) | 0.705 | 0.034 |
| Evaluation Indicators | Weights () |
|---|---|
| Investment and construction level (x1) | 0.288 |
| Economic benefits (x2) | 0.147 |
| Cost (x3) | 0.240 |
| Water demand level (x4) | 0.187 |
| Social factors (x5) | 0.138 |
Disclaimer/Publisher’s Note: The statements, opinions and data contained in all publications are solely those of the individual author(s) and contributor(s) and not of MDPI and/or the editor(s). MDPI and/or the editor(s) disclaim responsibility for any injury to people or property resulting from any ideas, methods, instructions or products referred to in the content. |
© 2023 by the authors. Licensee MDPI, Basel, Switzerland. This article is an open access article distributed under the terms and conditions of the Creative Commons Attribution (CC BY) license (https://creativecommons.org/licenses/by/4.0/).
Share and Cite
Guo, H.; Sun, Y.; Teng, Y.; Dong, H.; Li, H.; Wang, L.; Wang, Z.; Yang, J. Unconventional Water Use Allocation in Harbin, China. Water 2023, 15, 3101. https://doi.org/10.3390/w15173101
Guo H, Sun Y, Teng Y, Dong H, Li H, Wang L, Wang Z, Yang J. Unconventional Water Use Allocation in Harbin, China. Water. 2023; 15(17):3101. https://doi.org/10.3390/w15173101
Chicago/Turabian StyleGuo, Hongcong, Yingna Sun, Yun Teng, He Dong, Hui Li, Liquan Wang, Ziyi Wang, and Jianwu Yang. 2023. "Unconventional Water Use Allocation in Harbin, China" Water 15, no. 17: 3101. https://doi.org/10.3390/w15173101
APA StyleGuo, H., Sun, Y., Teng, Y., Dong, H., Li, H., Wang, L., Wang, Z., & Yang, J. (2023). Unconventional Water Use Allocation in Harbin, China. Water, 15(17), 3101. https://doi.org/10.3390/w15173101

