Next Article in Journal
Ecosystem-Based Blue Growth: The Case of the Semi-Enclosed Embayment of the Inner NE Ionian Sea and Adjacent Gulfs
Next Article in Special Issue
Non-Equilibrium Bedload Transport Model Applied to Erosive Overtopping Dambreach
Previous Article in Journal
Encoder–Decoder Convolutional Neural Networks for Flow Modeling in Unsaturated Porous Media: Forward and Inverse Approaches
Previous Article in Special Issue
Probabilistic Analysis of Floods from Tailings Dam Failures: A Method to Analyze the Impact of Rheological Parameters on the HEC-RAS Bingham and Herschel-Bulkley Models
 
 
Font Type:
Arial Georgia Verdana
Font Size:
Aa Aa Aa
Line Spacing:
Column Width:
Background:
Article

Accurate Numerical Modeling for 1D Open-Channel Flow with Varying Topography

College of Water Conservancy and Hydropower Engineering, Hohai University, 1 Xikang Road, Nanjing 210098, China
*
Author to whom correspondence should be addressed.
Water 2023, 15(16), 2893; https://doi.org/10.3390/w15162893
Submission received: 19 June 2023 / Revised: 3 August 2023 / Accepted: 4 August 2023 / Published: 10 August 2023

Abstract

In this paper, an accurate numerical model is presented for one-dimensional open-channel flows with varying topographies; the model is specifically applied to rectangular channels with variable widths. A pressure term is introduced in the shallow water momentum equation to construct a new conservation term, and the resulting non-conservation term is included in the source term to characterize the actual topography changes in the open-channel flow. Based on a Harten Lax and van Leer (HLL) Riemann solver for a homogeneous system, an upwind scheme is introduced into the model in which the flux is determined via randomly selecting a local Riemann solution state. This two-step random choice method enables the scheme to reach second-order accuracy in space. A Runge–Kutta scheme is introduced into the discretization of the source term of the system to achieve second-order accuracy. The proposed model is validated via a selection of steady and transient hydraulic problems with reference solutions. When compared with published experimental results, the predictions of the proposed model show a high degree of accuracy.

1. Introduction

In the past, unsteady gravity flows occurring in sewers were simulated via numerical solutions for one-dimensional equations of momentum and continuity. To describe an incompressible flow on a nearly horizontal free surface under the effect of gravity, shallow water equations (SWEs) are used, assuming that the vertical acceleration component can be neglected. Compared with the Navier–Stokes equations, the computational solutions of SWEs require much less computational work while maintaining highly accurate flow physical characteristics. This hyperbolic, quasilinear system has been studied extensively in fluid dynamics, and its solutions have wide applications, such as in simulating tsunamis, river floods, and storm surges.
The numerical solutions of SWEs have been of interest to engineers and researchers for a long time. As a result, many efforts have been made to improve the accuracy and efficiency of SWE numerical solutions, such as developing high-order numerical schemes or coupling them with other models to account for complex physical processes. Due to the development of numerical schemes for the Euler equations in aerodynamics over the past 30 years, many numerical schemes used to solve one-dimensional gas-phase problems have been applied to the numerical simulations of hydraulic open-channel flows. For example, Fennema and Chaudhry [1] successfully applied the MacCormack scheme [2] to the numerical simulation of one-dimensional dam-break problems. Glaister [3] simulated shallow water flow using an approximate Riemann solver. Garcia-Navarro et al. [4] applied an explicit finite-difference TVD-MacCormack scheme to the numerical simulation of a one-dimensional open-channel flow. Savic and Holly [5] simulated a critical flow using the Godunov-type scheme. Hu, Yinying, et al. [6] simulated a free-surface transient flow based on a Godunov-type scheme with unsteady friction.
The presence of fluid discontinuities leads to Riemann problems in shallow water models. To deal with these shocks, there are well-established Riemann solvers used in numerical simulations, such as exact or approximate solutions and the linearized Roe method [7]. Among the most widely used methods for shallow water flows are the flux difference splitting (FDS) and flux vector splitting (FVS) methods [8], which are highly efficient and simple to implement. These methods have the advantage of providing sharp resolutions for discontinuities, but they can sometimes produce unwanted numerical oscillations. Researchers have proposed different techniques, such as limiters, slope limiters, and flux limiters, to mitigate these unwanted oscillations and attain more accurate solutions.
In 1965, Glimm [9] introduced a particular class of schemes as a critical component of a constructive proof of the existence of solutions for a set of nonlinear systems known as hyperbolic conservation laws. The scheme called the random choice method (RCM) is particularly noteworthy for its ability to effectively manage intricate wave interactions that include various forms of discontinuities, such as shock waves and material interfaces [10]. Because of these advantages, the RCM has been improved and applied in various fields. Su, Ying-Chin, et al. [11] developed a stable, extended RCM for conservation laws, and they successfully applied it to solve the compressible Euler equations in a transonic flow. Z. Wang and Q. Zhang [12] investigated a more general result in p-system, using an adapted RCM approach in the BV space. Recently, Olivier Hurisse [13] applied the RCM to solve the specific issue of advection in an indicator function and effectively expanded its application into two-dimensional domains. Based on the concepts utilized in the RCM, Gallout, T., and Hurisse, O., [14] proposed a two-step approach involving convection and projection for simulating front advection. They successfully extended this method to a multidimensional problem. P. Yun and Y.Q. Zhang [15] developed the random choice method to investigate the issue of the shape of a wedge in a planar, steady, supersonic potential flow. Xue et al. [16] applied the RCM technique to the field of transient mixed flows and found that this scheme effectively suppresses oscillation issues at the interface of flow state transitions.
In this work, an accurate numerical model is proposed for one-dimensional open-channel flows with changing widths and bed profiles. To discrete the hyperbolic part of the system, a two-step upwind scheme utilizing the random choice method is presented. The second-order scheme is used to handle the source term of the system. The proposed model is subjected to thorough examination and validation via numerical and experimental tests. The structure of this paper is as follows: (1) the governing equations of one-dimensional open-channel flows with varying topographies are presented; (2) an HLL Riemann solution for a conservational term and a two-step upwind scheme with the RCM are presented; (3) the stability constraints for the source term, discretized using the second-order Runge–Kutta method, are formulated; and (4) the model undergoes validation through a series of numerical simulations and practical experiments. Ultimately, the findings are consolidated and presented in a concise manner.

2. Mathematical Formulation

The geometry of the open-channel flow model is shown in Figure 1. Considering the assumptions that vertical movements have minimal impact, the water is incompressible, and the river channel features a gentle slope [17], one-dimensional unsteady flows in open channels can be expressed in a vector conservational form. The formulation is as follows:
𝜕 U 𝜕 t + 𝜕 F 𝜕 x = S
in which
U = A Q ,   F = Q Q 2 A + g I 1 , S = 0 g A S 0 S f + g I 2
with   I 1 h = η b η η τ B x , τ d τ   and I 2 h = η b η η τ 𝜕 B x , τ 𝜕 x d τ
where U represents the conserved variables in the form of a vector; A x , η is a function of the space and water surface elevation, which are predetermined and arbitrary, representing the cross-sectional area of the channel; Q is the flow discharge; F denotes the flux in the x direction; g is the gravitational acceleration; I 1 and I 2 are integral terms that are related to the hydrostatic pressure forces caused by the varying channel breadth; η is the water surface elevation; η b denotes the bottom elevation; B x , τ is the channel width; S represents the source terms; S 0 represents the inclination or gradient of the channel bed; and Sf denotes the inclination or gradient of the energy line within the channel.
The terms in the momentum equation can be written as follows:
𝜕 𝜕 x g I 1 g I 2 = 𝜕 𝜕 x g η b η η τ B x , τ d τ η b η η τ 𝜕 B x , τ 𝜕 x d τ = A g 𝜕 η η b 𝜕 x = A g 𝜕 h 𝜕 x
where the approximation comes from the simplified assumption of a rectangular cross-section of varying width B x , and the water depth gives h = η η b .
In source terms, the bottom slope gives S 0 = 𝜕 x η b and the friction term S f may be estimated using an empirical formula such as Manning’s equation, namely:
S f = n m 2 Q Q A 2 R 4 3
where R is the hydraulic radius and n m is the Manning coefficient.
Based on this, the momentum equation can be rewritten by introducing a pressure term P x , A = g 0 h A x , η d η [18].
𝜕 P x , A 𝜕 x = A g 𝜕 η 𝜕 x + g 0 h 𝜕 A x , η 𝜕 x η d η A g 𝜕 η b 𝜕 x
Compared with Equations (1)–(3), the formulation reads as follows:
𝜕 A 𝜕 t + 𝜕 Q 𝜕 x = 0 𝜕 Q 𝜕 t + 𝜕 𝜕 x Q 2 A + P x , A = g 0 h 𝜕 A x , η 𝜕 x η d η g A 𝜕 η b x 𝜕 x g A S f
For a rectangular cross-section of a varying width B ( x ) , the unsteady shallow water Equation (7) may be rewritten as
𝜕 W 𝜕 t + 𝜕 G 𝜕 x = J W = h h u ,   G = h u h u 2 + 1 2 g h 2 , J = h u B 𝜕 B 𝜕 x h u 2 B 𝜕 B 𝜕 x + g h 𝜕 η b 𝜕 x g h S f

3. Riemann Solver

The Jacobian Matrix of the flux vector G ( W ) in Equation (8) is expressed as
A = 𝜕 G 𝜕 W = 0 1 c 2 u 2 2 u
set c = g h and u is the velocity components in x direction. The eigenstructure A = R Λ L provides
R = 1 1 u c u + c , Λ = u c 0 0 u + c , L = u + c 2 c 1 2 c u c 2 c 1 2 c
The Riemann problem is the specific initial value problem of a non-linear hyperbolic system. The homogeneous conservation system yield the following:
W t + G W x = 0 W x , t = 0 = W L     if   x < 0 W R     if   x > 0
The HLL approximate Riemann Solver was adopted in this paper, providing an approximation solution of the intercell numerical variables W i + 1 / 2 according to following equations:
W i + 1 / 2 = W L   if   S L > 0 S R W R S L W L + G L G R S R S L if   S L 0 S R W R if   S R < 0
and the intercell numerical flux G i + 1 / 2 is as follows:
G i + 1 / 2 = G L if   S L > 0 S R G L S L G R + S R S L ( W R W L ) S R S L if   S L 0 S R G R if   S R < 0
where ( W L , W R ) and ( G L , G R ) are the solution and the flux vector at t = t n , respectively. The wave speeds S L and S R represent the speed of the discontinuity at the two sides of the Riemann problem. For an open-channel flow, they are written as
S L = m i n ( u L c L , u ^ c ^ L ) S R = m a x ( u R + c R , u ^ + c ^ R )
where the velocity ( u L , u R ) and the wave celerity ( c L , c R ) are the flow variables of the left and right states, W L , a n d   W R , respectively. Using the Roe averaged method [19], u ^ and c ^ are given by the following:
c ^ = P L P R A L A R   and   u ^ = u L A L + u R A R A L + A R
The HLL approach provides a straightforward method for handling dry fronts, effectively addressing the challenges associated with regions of zero or near-zero flow velocities in which one of the data states has no water. If a dry bed exists, there is only one depression wave present in the Riemann system, which causes a loss of strict hyperbolicity. For the depression wave, namely, a single rarefaction wave, the head or toe speeds of the two characteristic waves are significant. The right dry bed state Riemann solution is given as
W R i g h t = W L if   x t u L c L W r a r e if   u L c L < x t u L + 2 c L W R if   x t > u L + 2 c L
where the rarefaction wave solution at a point (x, t) is
W r a r e = c = u L + 2 c L x t 3 u = u L + 2 c L + 2 x t / 3
Also, for the case of left dry bed one has
W L e f t = W L if   x t u R 2 c R W r a r e if   u R 2 c R < x t u R + c R W R if   x t > u R + c R
and
W r a r e = c = u R + 2 c R + x t 3 u = u R 2 c R + 2 x t / 3

4. Numerical Methodology

Equation (8) is discretized on a spatial grid over the interval [0; L]. The discretization grid divides the x-axis into space interval segments Δ x and the t-axis into intervals of duration Δ t . The ith control volume is positioned at the center and spans from i 1 / 2 to i + 1 / 2 .
The RCM scheme is based on an existence proof by Glimm [9] and was first successfully implemented by Chorin [20]. This method selects an x-position of random sampling and obtains Riemann solutions of the next time level, illustrated in Figure 2. To represent the value of W i n + 1 at the next time level, given the constant variables W i n of a cell i at a time step n, we can employ the following two steps:
Step I. Obtain the Riemann solutions W i 1 2 ( x / t ) and W i + 1 2 ( x / t ) of the Riemann problems RP ( W i 1 n , W i n ) and RP ( W i n , W i + 1 n ) at a general point (x, t).
Step II. Perform a random sampling of solutions in the cell i to obtain a state at time level t n + 1 . The selected state is determined based on a random or quasi-random number R n , which falls within the range of [0, 1].
W i n + 1 = W i 1 / 2 ( R n Δ x Δ t ) 0 R n 1 2 W i + 1 / 2 ( R n Δ x Δ t ) 1 2 < R n 1
Here, the van der Corput sequences are used to sample the solution [21], and were found to provide the best results [22].
One variation of the RCM involves a staggered grid and implements a two-step procedure. The non-linear systems’ solutions are obtained through the following two steps:
Step I. Solve the local Riemann problems W i 1 n , W i n and W i n , W i + 1 n , which are defined by the constant states W i 1 n , W i n and W i + 1 n . These Riemann problems are solved to determine the intermediate states for each cell interface.
W ^ i 1 2 n + 1 2 x , t ,   W ^ i + 1 2 n + 1 2 x , t
Randomly select local Riemann states; the solutions at time t n + 1 2 are calculated and mapped onto a secondary grid. This secondary grid serves as a mid-point grid or an intermediate grid where the numerical calculations take place as follows:
W i 1 2 n + 1 2 = W ^ i 1 2 n + 1 2 R n Δ x Δ t n + 1 2 ,   W i + 1 2 n + 1 2 = W ^ i + 1 2 n + 1 2 R n Δ x Δ t n + 1 2
Step II. Random-sample the Riemann problem W ^ i n + 1 x , t ,   w h i c h   i s defined by the data W i 1 2 n + 1 2 and W i + 1 2 n + 1 2 , on the staggered grid. Subsequently, the solution is allocated to a new position at the time level t n + 1 , aligning with the position it occupied at time t n .
The final solution is written as
W i n + 1 = W ^ i n R n Δ x Δ t n + 1
Based on the RCM mentioned before, a two-step scheme is introduced which enables the scheme to reach second-order accuracy in space. Using the framework of the finite difference method, in the first step, calculate the Riemann problems RP ( W i 1 n , W i n ) and RP ( W i n , W i + 1 n ) to find the respective solutions, W ^ i 1 2 n + 1 2 x , t , W ^ i + 1 2 n + 1 2 x , t . After that, random-sample the solutions at time t n + 1 2 in a similar manner as in the RCM with a modified random number R n , where R n is the sequence of pseudo-random numbers in 1 / 2 , 1 / 2 . Next, with the solutions of t = t n + 1 2 , the boundary fluxes of the cell i can be obtained, and W i n is advanced to W i n + 1 via the upwind scheme.
W i n + 1 = W i n Δ t Δ x G W i + 1 2 n + 1 2 G W i 1 2 n + 1 2
Therefore, this higher-order random choice method can be considered a random generalization of the two-step Richtmeyer form of the Lax–Wendroff scheme. Here, the Lax–Friedrichs scheme is replaced by the classical random choice method, and the second leap-frog type step is identical to the Lax–Wendroff scheme.

5. Discretization of Source Terms and Stability Constraints

The source term J associated with the geometry in this study is incorporated into the solution via a time-splitting process, employing a second-order Runge–Kutta discretization which culminates in the ensuing explicit method.
  • Pure advection:
    W i n + 1 = W i n Δ t Δ x G i + 1 / 2 n + 1 / 2 G i 1 / 2 n + 1 / 2
  • Update with the source term by Δ t / 2 :
    W ¯ i n + 1 = W i n + 1 + Δ t 2 J W i n + 1
  • Re-update with the source term by Δ t :
    W ̿ i n + 1 = W i n + 1 + Δ t J W ¯ i n + 1
    where the evaluation of the source term J , which appears in Equation (8), requires the definition of the variable width and bottom, namely,
    𝜕 B x 𝜕 x i = B i + 1 / 2 B i 1 / 2 x i + 1 / 2 x i 1 / 2 = Δ B i Δ x i 𝜕 η b x 𝜕 x i = η b i + 1 / 2 η b i 1 / 2 x i + 1 / 2 x i 1 / 2 = Δ η b i Δ x i
    and the grid energy line slope S f i , which may be obtained from Manning’s equation, is as follows:
    S f i = n m 2 u i u i R i 4 3
    where R is the hydraulic radius and n m is the Manning roughness coefficient.
The stability constraint of the model includes two parts: the Courant–Friedrichs–Lewy (CFL) criterion and the source term constraint. The CFL constraint criterion is provided here.
C r m a x = Δ t Δ x i M a x i = 0,1 , 2 , N x , N x + 1 u i n + c i n 1
where C r m a x is he maximum Courant number at the time level n. From Equation (30), the permissible time step for the convective part is given by
Δ t m a x , C F L = M i n i = 0,1 , 2 , N x , N x + 1 Δ x i u i n + c i n
It can also be shown that the permissible time step for the source term is given by the following [23]:
Δ t m a x , J = M i n i = 0,1 , 2 , N x , N x + 1 4 W i n + 1 J W i n + 1 , 2 W i n + 1 J W ¯ i n + 1  
where the ratio of vectors W / J W is defined as A h u B B x Q h u 2 B B x + g h η b x g h S f T . Since the same time step Δ t must be used for the convective part and the source term, W i n must be used instead of W i n + 1 . Finally, the maximum permissible time step including the convective part and the source term will be given by
Δ t m a x = M i n i = 0,1 , 2 , N x , N x + 1 Δ t m a x , J , Δ t m a x , C F L  

6. Numerical Validations and Discussion

This section describes the validation of the present model against various open-channel flow tests with different widths/bottom topographies. The gravitational acceleration used in all tests was 9.81 m/s2, and the Courant number value was 0.8. The model was tested against a range of scenarios to evaluate its ability to accurately simulate open-channel flows and to ensure its suitability for future applications.

6.1. Dam Break Tests

In this test, the accuracy of the presented model was evaluated via dam break (dry and wet beds) simulations without friction. The first test scenario involved simulating the sudden opening of a sluice gate separating two pools of still water. The two pools are located at different depths with a 1000 m long frictionless, horizontal channel. Two ends of the pools are closed borders which can be calculated via a reflection boundary in the entire numerical simulation. The initial conditions provide the following:
y = 10.0   m   and   u = 0.0   m / s   for   x   500   m y = 3.0   m   and   u = 0.0   m / s   for   x > 500   m
Figure 3 illustrates a comparison of the simulation results of the present and Godunov-type scheme (GTS) models, with the exact solution corresponding to the specified Courant number and grid size. The results of the simulation indicate that the present model has a great ability to handle discontinuities, particularly in case of the shock wave, where the resolution is more distinct compared to the Godunov-type scheme (GTS). For the rarefaction wave, the present model also shows a high level of accuracy, but wave oscillation appeared at the tail of the rarefaction wave.
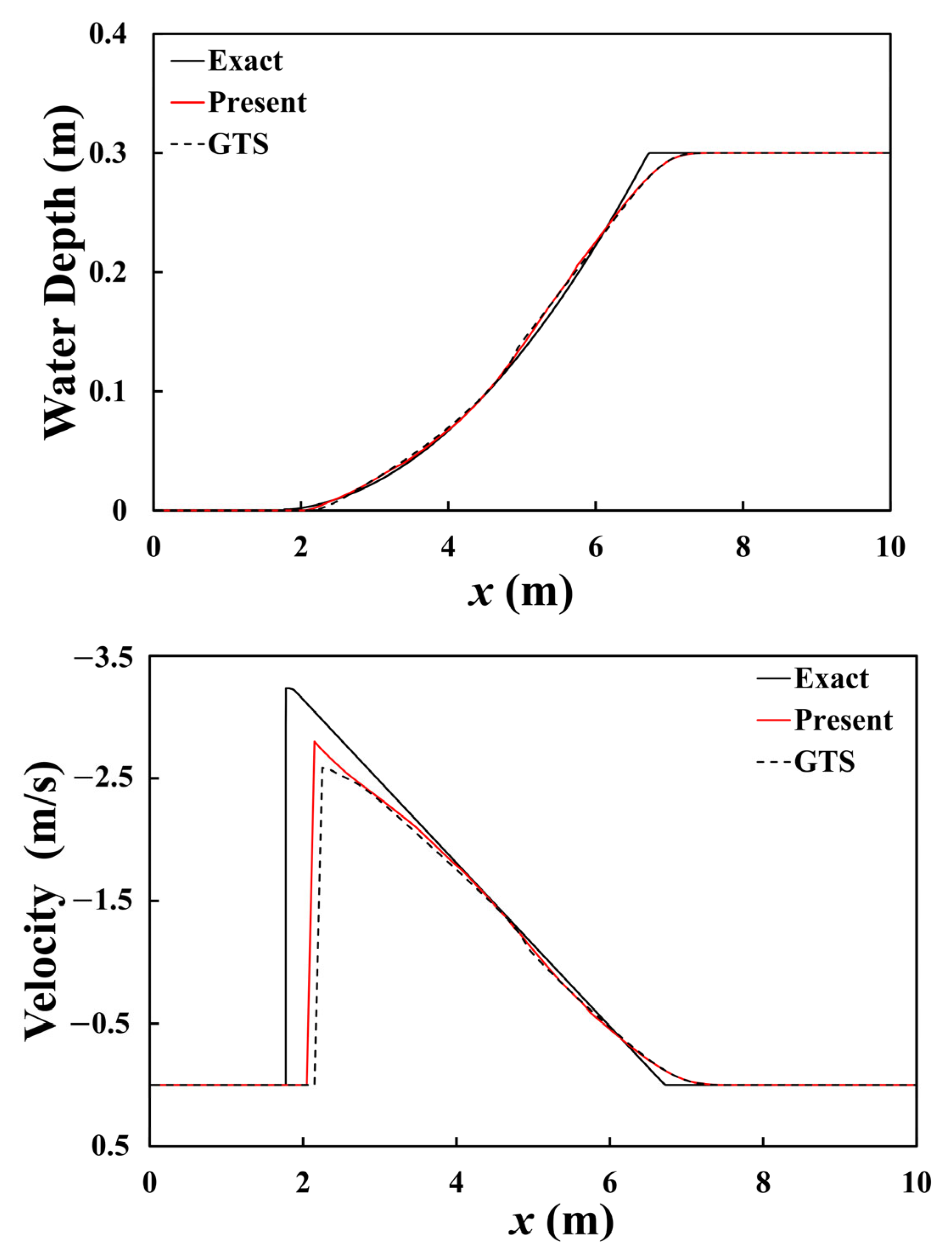
To evaluate the accuracy of the model for dam break flows in dry bed scenarios, we considered a specific test case. In this analytical case, there is a frictionless horizontal channel measuring 10 m in length. The computational domain is divided into two halves: the right half has an initial water depth (h) of 0.3 m, while the left half represents a dry bed. At the beginning of the simulation, the water in the entire domain is in its initial state, with no motion. A Riemann solution of the dry bed in a shallow water flow is given in Equations (16)–(19). The water depth and velocity profiles at t = 1 s with a given Courant number and grid size are shown in Figure 4, respectively. As can be seen from the figures, the velocity profiles generated by the present model demonstrate good simulation capabilities at the dry–wet interface compared to the GTS. Actually, this demonstrates the advantages of the numerical scheme with the RCM currently employed. It allows for more accurate simulation results, especially when dealing with dry–wet interfaces.

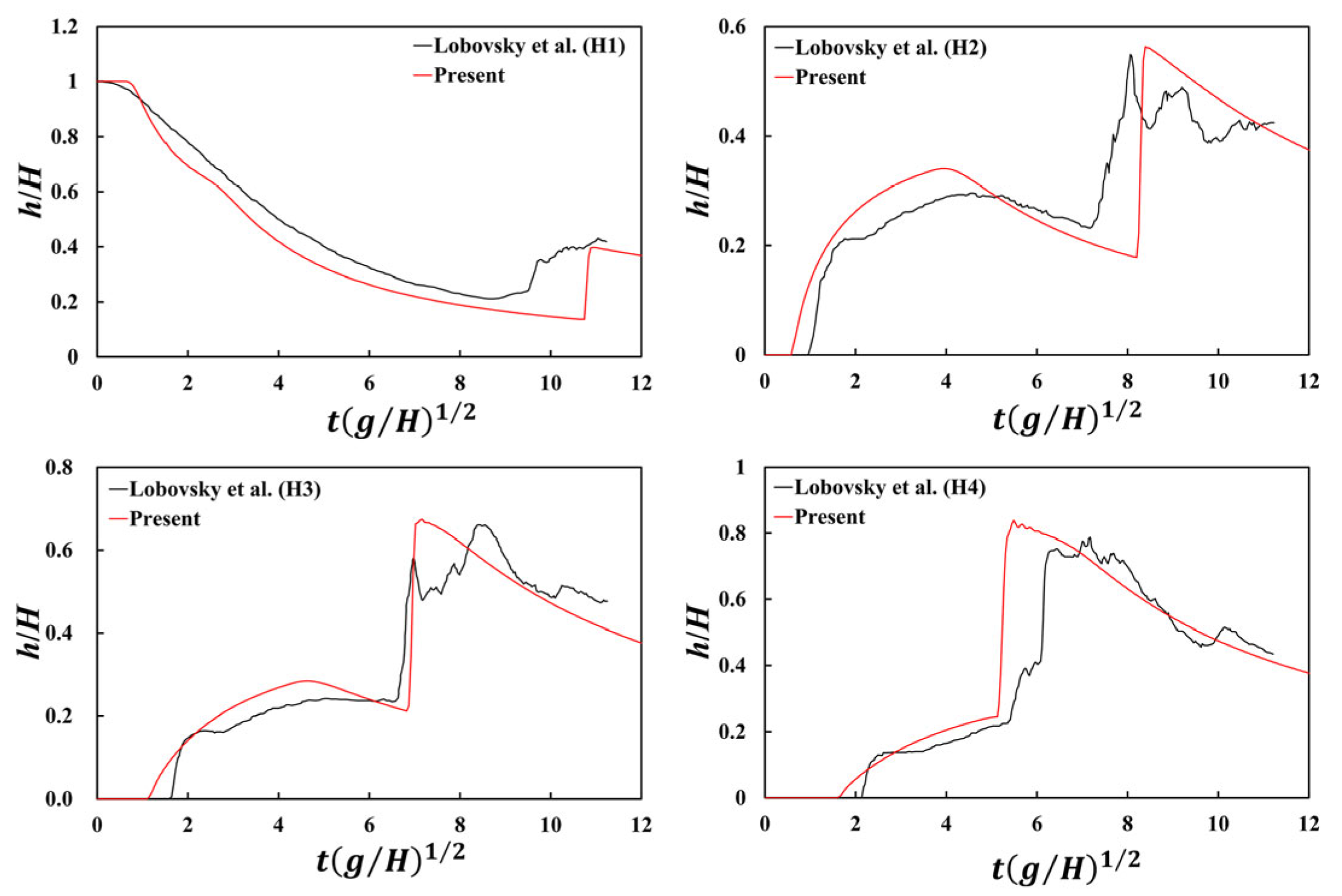
6.2. Lobovsky et al.’s Dam Break ExperimentA

The second case in this section is about an experimental test, and a schematic of the experiment by Lobovsky et al. [24] is presented in Figure 5. The gray square area in Figure 5 represents still water at the initial moment, and the left side of the region is a dry bed. The points labeled H1, H2, H3, and H4 indicate the specific locations at which the water level was measured. These points serve as reference points for monitoring and analyzing the behavior of the water level at different positions along the tank. More details on the experimental configuration and the apparatus utilized can be found in Lobovsky et al. [24]. A comparison of the simulation results of the present model and the measurement data is shown in Figure 6. The water depths were standardized by referencing the initial water depth h = 0.3 m, and the time measurement on the x-axis was adjusted by scaling it according to (g/h)1/2.
Compared with the scale of the experiment, the grid size selected here is relatively dense ( N x = 100). Based on the observations from Figure 6, the simulation results are quite aligned with the measured values for the current model. The performance of the proposed model in this test is satisfactory, especially at the second peak of the four locations where very steep simulation results were achieved.

6.3. Laboratory Experiment of a Dam Break Flow over a Triangular Obstacle

A varying bed elevation is considered in this case. This test comes from the Concerted Action on Dam-break Modeling project (CADAM) [25], which presents effective benchmarks for verifying dam break flow simulations. As depicted in Figure 7, the experimental arrangement comprised a reservoir, a dam, and a rectangular channel measuring 38 m in length and 1.75 m in width. The dam separates the reservoir from a linear channel spanning 22.5 m in length. A symmetrical triangular elevation, measuring 0.4 m in height and extending 6 m in length, is located 28.5 m away from the upstream end. The channel is initially a dry bed with a constant Manning coefficient of n m = 0.0125. In this test, the upstream end is assumed to be solid, and a chute is imposed downstream as a boundary condition.
At the instant of the initial time, the dam experiences a sudden breach, causing the initially stagnant water in the reservoir to rapidly flow onto the floodplain downstream. As shown in Figure 8, comparisons of the simulation results and experimental measurements were made at four gauges (G4, G10, G13, and G20). Several flow patterns can be observed in this test, like shock front propagation, a wet–dry front, partial reflections, and hydraulic jumps. The wet–dry front reaches location G4 about t = 1 s after the dam breaks. At t = 12 s, an increase in the incident water depth can be observed due to the shock wave. After that, a shock wave moving upstream forms because of the interaction between the incoming flow and the bump. As a result, a second increase in water depth can be observed at t = 35 s. At the same time, a rarefaction wave is generated and propagates downstream, leading to a reduction in the water level above the hump.
It is proved in this figure that the comparison between the numerical predictions of the present model and the measurements yields satisfactory results at the gauge locations, and the transitions between dry and wet conditions are simulated with high precision. The current model produces oscillation issues; however, it accurately predicts the timing and maximum peak value of each of the two hydraulic surges. This confirms the effectiveness of the current method in dealing with a complex channel flow with non-uniform bed topography.

6.4. Dam Break Flow onto a Channel with a Local Constriction

Figure 9 depicts the layout of a channel featuring a gate positioned at a distance of 6.1 m from the initial end of the upstream. At a starting point of 7.9 m beyond the gate, the channel, which is 0.5 m in width, gradually narrows down to a width of 0.1 m over a stretch of 0.2 m. The channel then sustains this width of 0.1 m for an extent of 1 m before returning to its primary width over a span of 0.2 m. The initial static water depths located upstream and downstream of the gate are noted as 0.3 m and 0.003 m, respectively.
In this test, the number of grid cells is set to 50, and a Manning coefficient of 0.01 is employed. The upstream boundary is assumed to be close, while the downstream boundary is set to be transmissive. The simulation was executed for a duration of 10 s following the collapse of the dam. Figure 10 illustrates a comparison between the forecasted water depth profiles at four designated measurement points with experimental data from the laboratory tests and the corresponding numerical outcomes generated by Goutal, N., and Maurel, F. [18].
The measuring points are positioned along the central axis of the waterway, as indicated in Figure 9.
  • Gauge 1: 1.00 m upstream from the dam;
  • Gauge 2: 6.10 m downstream from the dam;
  • Gauge 3: 8.60 m downstream from the dam;
  • Gauge 4: 10.50 m downstream from the dam.
After the dam breaks, a surge of water is discharged downstream, propagating as a shock wave. Upstream of the dam, a rarefaction wave develops, resulting in a decrease in the water level, as depicted in Figure 10 at Gauge 1. Gauge 2 experiences a sudden surge in water depth when the shock front arrives after approximately 3 s. At t = 8 s, another abrupt change in depth is observed when the reflected shock from the narrow passage reaches the gauge. Inside the narrow passage at Gauge 3, only one sudden increase in water depth occurs. Downstream of the narrow passage at Gauge 4, the water level experiences a sudden increase caused by the incoming pressure surge, after which it drops to a relatively stable level.
The present model and the predictions made by Goutal, N., and Maurel, F., are quite similar. Especially at Gauge points 3 and 4, the predicted water depth ofthe present model after 7 s is more consistent with the experimental data than the results from Goutal, N., and Maurel, F.. Overall, this test validates the model in dealing with a complex channel flow with a varying width.

6.5. Channel Contraction Test Problem

To validate the numerical schemes, simulations were conducted to replicate a set of steady flows in domains with changing topographies. This specific quasi-equilibrium flow issue was introduced by MacDonald et al. [26] and is widely recognized as a benchmark for assessing numerical schemes. It involves all source terms described by Equation (8), which includes diverse channel widths, changing bed elevations, and frictional effects.
The flow occurs in a channel with a length of 1000 m and exhibits specific analytical characteristics. The depth variation features a hydraulic jump located at the mid-point of the channel and is expressed as a function of the horizontal coordinate x.
h x = 1 40 + 1 + 2 x 1000 1 2 2 1 0 x 500 a 0 e x p x 4000 1 4 + k = 1 3 a k e x p 15 k 30 k x 1000 500 x 1000
where a 0 = 1.5 , a 1 = −0.230680, a 2 = 0.248267, and a 3 = −0.228271.
As shown in Figure 11, variable channel width is given by
B x = 10 64 x 1000 2 2 x 1000 3 + x 1000 4
And the friction term S f is
S f x , t = n m 2 u x , t u x , t 2 l x + 1 h x , t 4 / 3
The bed slope S 0 x is
S 0 x = S f x + 1 u 2 x g h x h x u 2 x g l x l x
The particular data for this test case include a Manning resistance coefficient of n m = 0.02 , and the physical boundary conditions for this simulation include an upstream discharge of 20 m3/s and a downstream water depth of 1.5 m. The discretization of the channel is accomplished using a uniform grid spacing of Δ x = 2.5 m. The simulation was initialized using these specific boundary and initial conditions, and the simulation ran until a steady state was reached. The exact bed elevation, water surface level, and velocity profiles obtained from the numerical simulation are plotted in Figure 12, and they show a good agreement with the expected analytical profiles. The evaluation of numerical and analytical profiles is an essential step in validating the precision of the numerical approach used in the simulation. The predicted free surface level matches the analytical profiles, indicating that the current model has achieved a satisfactory level of accuracy for simulating steady flows.

7. Conclusions

In this paper, a novel model was proposed for simulating a 1D open-channel flow with a changing width and bed profile. For the hyperbolic problems in the homogeneous system, a higher-order RCM in the framework of an upwind scheme was used by sampling a local Riemann solution state at random with an HLL Riemann solver. The Runge–Kutta scheme was introduced for the discretization of the source term of the system to achieve second-order accuracy and ensure accurate numerical simulations.
To test the proposed model, five specific tests were carried out. These tests encompassed dam break flow tests and different configurations involving variable widths, bottom elevations, and frictions. The first test focused on the simulation of an unsteady dam break flow in a flat bed channel under both dry and wet downstream conditions for which the presented model was evaluated compared to the Godunov-type scheme and the exact solutions. The second, third and fourth tests were unsteady dam break tests that considered the source term, and the calculation results of the presented model were compared with the experimental data. The last test was a steady flow test including a varying channel width, changing bed elevation, and friction, which was used to verify the stability of the model. The main findings of the proposed model can be summarized as follows:
(1) The present model has a great ability to handle discontinuities, especially in the shock wave or the dry–wet interface, which exhibits a higher level of resolution compared to the Godunov-type scheme (GTS). For the rarefaction wave, the present model also shows a high level of accuracy, but wave oscillation appeared.
(2) By comparing the experimental results, the performance of the proposed model is found to be satisfactory, particularly in accurately simulating dry-to-wet transitions. The presented model produces oscillation issues but achieves accurate predictions for the timings and maximum peak values of the hydraulic surges. These confirm the effectiveness of the current method in presence of source term discretization.
(3) The simulated free surface level matches precisely with the analytical profiles while maintaining satisfactory accuracy for steady discharge solutions in the steady flow test. This demonstrates the ability of the presented model to handle source terms and to maintain equilibrium for a steady flow.
The proposed model is inherently accuracy and stable, and it deserves further research and application.

Author Contributions

Conceptualization, L.Z. and D.L.; methodology, Z.X.; formal analysis, Z.X.; Investigation, Z.X.; writing original draft preparation, Z.X.; writing-review and editing. All authors helped in reviewing and editing the manuscript; funding acquisition, D.L. All authors have read and agreed to the published version of the manuscript.

Funding

This research received no external funding.

Data Availability Statement

The study’s data are available from the corresponding author by request.

Acknowledgments

The writers gratefully acknowledge the financial support for this research from the Fundamental Research Funds for the Central Universities (Grant Nos. B200203060 and 2018B43114), the Graduate Research and Innovation Project of Jiangsu Province (Grant No. KYCX20_0473), the National Natural Science Foundation of China (Grant Nos. 51839008 and 51679066), and the Fok Ying Tong Education Foundation (Grant No. 161068).

Conflicts of Interest

The authors declare no conflict of interest.

References

  1. Fennema, R.J.; Hanif Chaudhry, M. Simulation of one-dimensional dam-break flows. J. Hydraul. Res. 1987, 25, 41–51. [Google Scholar] [CrossRef]
  2. MacCormack, R.W. The effect of viscosity in hypervelocity impact cratering. Front. Comput. Fluid Dyn. 2002, 2022, 27–43. [Google Scholar] [CrossRef]
  3. Glaister, P. Approximate Riemann solutions of the shallow water equations. J. Hydraul. Res. 1988, 26, 293–306. [Google Scholar] [CrossRef]
  4. Garcia-Navarro, P.; Alcrudo, F.; Saviron, J.M. 1-D open-channel flow simulation using TVD-McCormack scheme. J. Hydraul. Eng. 1992, 118, 1359–1372. [Google Scholar] [CrossRef]
  5. Savic, L.J.; Holly Jr, F.M. Dam break flood waves computed by modified Godunov method. J. Hydraul. Res. 1993, 31, 187–204. [Google Scholar] [CrossRef]
  6. Hu, Y.; Zhou, L.; Pan, T.; Fang, H.; Li, Y.; Liu, D. Godunov-type solutions for free surface transient flow in pipeline incorporating unsteady friction. AQUA-Water Infrastruct. Ecosyst. Soc. 2022, 71, 546–562. [Google Scholar] [CrossRef]
  7. Roe, P.L. Approximate Riemann solvers, parameter vectors, and difference schemes. J. Comput. Phys. 1981, 43, 357–372. [Google Scholar] [CrossRef]
  8. Steger, J.L.; Warming, R. Flux vector splitting of the inviscid gasdynamic equations with application to finite-difference methods. J. Comput. Phys. 1981, 40, 263–293. [Google Scholar] [CrossRef]
  9. Glimm, J. Solution in the Large for Nonlinear Hyperbolic Systems of Equations. Comm. Pure. Appl. Math. 1965, 18, 697–715. [Google Scholar] [CrossRef]
  10. Zhang, Q.; Sheng, W. A random choice method based on the generalized Riemann problem for the Euler equations in gas dynamics. J. Comput. Phys. 2021, 441, 110431. [Google Scholar] [CrossRef]
  11. Su, Y.-C.; Hong, J.M.; Chou, S.-W. An extension of Glimm’s method to the gas dynamical model of transonic flows. Nonlinearity 2013, 26, 1581. [Google Scholar] [CrossRef]
  12. Wang, Z.; Qi, Z. Periodic solutions to p-system constructed through Glimm scheme. J. Math. Anal. Appl. 2016, 435, 1088–1098. [Google Scholar] [CrossRef]
  13. Hurisse, O. On the use of Glimm-like schemes for transport equations on multidimensional domain. Int. J. Numer. Methods Fluids. 2021, 93, 1235–1268. [Google Scholar] [CrossRef]
  14. Gallout, T.; Hurisse, O. Convergence of a multidimensional Glimm-like scheme for the transport of fronts. IMA J. Numer. Anal. 2021, 42, 2924–2958. [Google Scholar] [CrossRef]
  15. Yun, P.; Zhang, Y. An Inverse Problem for Determining the Shape of the Wedge in Steady Supersonic Potential Flow. J. Math. Fluid Mech. 2023, 25, 25. [Google Scholar] [CrossRef]
  16. Xue, Z.; Zhou, L.; Liu, D.; Che, T.C. A Random Choice Scheme for Transient Mixed Flows. J. Hydraul. Eng. 2023, 149, 04023026. [Google Scholar] [CrossRef]
  17. Colella, P. Glimm’s method for gas dynamics. SIAM J. Sci. Comput. 1982, 3, 76–110. [Google Scholar] [CrossRef]
  18. Goutal, N.; Maurel, F. A finite volume solver for 1D shallow-water equations applied to an actual river. Int. J. Numer. Meth. Fluids 2002, 38, 1–19. [Google Scholar] [CrossRef]
  19. Roe, P.L.; Pike, J. Efficient Construction and Utilisation of Approximate Riemann Solutions. In Computing Methods in Applied Science and Engineering; Elsevier: Amsterdam, The Netherlands, 1984. [Google Scholar] [CrossRef]
  20. Chorin, A.J. Random Choice solution of Hyperbolic Systems. J. Comput. Phys. 1976, 22, 517. [Google Scholar] [CrossRef]
  21. Toro Eleuterio, F. Reimann Solvers and Numerical Methods for Fluid Dynamics, 3rd ed.; Springer: Berlin/Heidelberg, Germany, 2009. [Google Scholar] [CrossRef]
  22. Fiedler, F.R.; Ramirez, J.A. A numerical method for simulating discontinuous shallow flow over an infiltrating surface. Int. J. Numer. Methods Fluids 2000, 32, 219–239. [Google Scholar] [CrossRef]
  23. León, A.S.; Ghidaoui, M.S.; Schmidt, A.R.; Garcia, M.H. Efficient second-order accurate shock-capturing scheme for modeling one-and two-phase water hammer flows. J. Hydraul. Eng. 2008, 134, 970–983. [Google Scholar] [CrossRef]
  24. Lobovsky, L.; Botia-Vera, E.; Castellana, F.; Mas-Soler, J.; Souto-Iglesias, A. Experimental investigation of dynamic pressure loads during dam break. J. Fluids Struct. 2014, 48, 407–434. [Google Scholar] [CrossRef]
  25. Morris, M. CADAM: Concerted Action on Dambreak Modeling—Final Report. Rep. SR 571. HR Wallingford. 2000. Available online: http://eprints.hrwallingford.com/id/eprint/447 (accessed on 27 June 2023).
  26. MacDonald, I.; Baines, M.J.; Nichols, N.K.; Samuels, P.G. Analytic benchmark solution of open-channel flows. J. Hydraul. Eng. 1997, 123, 1041–1045. [Google Scholar] [CrossRef]
Figure 1. The geometry of the open-channel flow.
Figure 1. The geometry of the open-channel flow.
Water 15 02893 g001
Figure 2. The RCM on a non-staggered grid.
Figure 2. The RCM on a non-staggered grid.
Water 15 02893 g002
Figure 3. Water depth profile simulations compared with the exact solution at time = 36 s ( Δ x = 10   m ).
Figure 3. Water depth profile simulations compared with the exact solution at time = 36 s ( Δ x = 10   m ).
Water 15 02893 g003
Figure 4. Simulation results for a dry bed problem at t = 1 s ( Δ x = 0.1   m ).
Figure 4. Simulation results for a dry bed problem at t = 1 s ( Δ x = 0.1   m ).
Water 15 02893 g004
Figure 5. A sketch of the experiment by Lobovsky et al.
Figure 5. A sketch of the experiment by Lobovsky et al.
Water 15 02893 g005
Figure 6. The simulated water levels at the designated points in relation to time are compared with the experimental data ( Δ x = 0.061   m ).
Figure 6. The simulated water levels at the designated points in relation to time are compared with the experimental data ( Δ x = 0.061   m ).
Water 15 02893 g006
Figure 7. Layout of dam break flow over a hump.
Figure 7. Layout of dam break flow over a hump.
Water 15 02893 g007
Figure 8. Dam break flow over an elevated section: chronological records of water depth at various measuring points: G4, G10, G13, and G20 ( Δ x = 0.76 = m   n m = 0.0125 ).
Figure 8. Dam break flow over an elevated section: chronological records of water depth at various measuring points: G4, G10, G13, and G20 ( Δ x = 0.76 = m   n m = 0.0125 ).
Water 15 02893 g008
Figure 9. Geometry of the channel with the changing width.
Figure 9. Geometry of the channel with the changing width.
Water 15 02893 g009
Figure 10. Dam break flow with a local constriction at four gauge points.
Figure 10. Dam break flow with a local constriction at four gauge points.
Water 15 02893 g010
Figure 11. Width contour B x .
Figure 11. Width contour B x .
Water 15 02893 g011
Figure 12. Numerical and analytical solutions for the steady flow test.
Figure 12. Numerical and analytical solutions for the steady flow test.
Water 15 02893 g012
Disclaimer/Publisher’s Note: The statements, opinions and data contained in all publications are solely those of the individual author(s) and contributor(s) and not of MDPI and/or the editor(s). MDPI and/or the editor(s) disclaim responsibility for any injury to people or property resulting from any ideas, methods, instructions or products referred to in the content.

Share and Cite

MDPI and ACS Style

Xue, Z.; Zhou, L.; Liu, D. Accurate Numerical Modeling for 1D Open-Channel Flow with Varying Topography. Water 2023, 15, 2893. https://doi.org/10.3390/w15162893

AMA Style

Xue Z, Zhou L, Liu D. Accurate Numerical Modeling for 1D Open-Channel Flow with Varying Topography. Water. 2023; 15(16):2893. https://doi.org/10.3390/w15162893

Chicago/Turabian Style

Xue, Zijian, Ling Zhou, and Deyou Liu. 2023. "Accurate Numerical Modeling for 1D Open-Channel Flow with Varying Topography" Water 15, no. 16: 2893. https://doi.org/10.3390/w15162893

APA Style

Xue, Z., Zhou, L., & Liu, D. (2023). Accurate Numerical Modeling for 1D Open-Channel Flow with Varying Topography. Water, 15(16), 2893. https://doi.org/10.3390/w15162893

Note that from the first issue of 2016, this journal uses article numbers instead of page numbers. See further details here.

Article Metrics

Back to TopTop