Composition, Concentration and Origin of Polycyclic Aromatic Hydrocarbons in Waters and Bottom Sediments of Lake Baikal and Its Tributaries
Abstract
1. Introduction
2. Materials and Methods
2.1. Study Objects
2.2. Sampling
2.3. Chemical Determinations
2.4. Contamination Identification
2.5. Source Identification Using Diagnostic Ratio Approach
2.6. Source Apportionment Using the Dimensionality Reduction Techniques
2.6.1. Surface Waters
2.6.2. Bottom Sediments
3. Results and Discussion
3.1. PAHs in Water
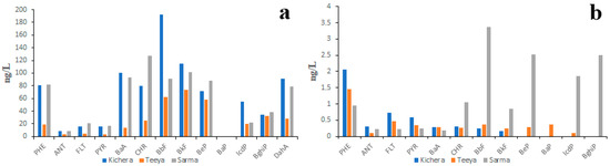
3.1.1. PAHs in Water of Lake Baikal Tributaries
3.1.2. PAHs in Lake Baikal Water
3.2. PAHs in Sediments
3.2.1. PAHs in Sediments of Lake Baikal Tributaries
3.2.2. Lake Baikal Sediments
3.3. Sediment-Water Partitioning of PAHs
3.4. Origin of PAHs in Water
- (1)
- The sources whose profiles are presented in Figure 12 are not the sources of PAHs measured in water;
- (2)
- Source profiles presented in Figure 12 were measured incorrectly and the concentrations of LMW PAHs were underestimated;
- (3)
- There is the PAH fractionation in the soil–water system that results in water enrichment with LMW PAHs.
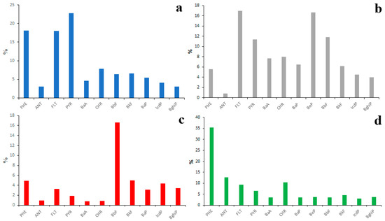
3.4.1. Source Identification Using Diagnostic Ratios
3.4.2. Source Apportionment Using PMF Model
3.5. Origin of PAHs in Sediments
3.5.1. Source Identification Using Diagnostic Ratios
3.5.2. Source Apportionment Using PCA
4. Conclusions
- Due to PAH fractionation in the soil–water system, the water-soluble LMW PAHs were most abundant in water, whereas the insoluble HMW PAHs were most abundant in sediments.
- The total concentration of 16 priority PAHs in water obtained during this study varied from 5 ng/L in Lake Baikal to 200 ng/L in tributaries.
- Data on the PAH composition of water obtained during this study are not consistent with some of the data obtained by other authors. The wide range of PAH concentrations in the water reported in the literature was probably due to the wide range of concentrations of suspended sediments. To make the results of different studies comparable and to avoid future difficulties in the interpretation of water PAH composition, PAH concentrations should be measured in unfiltered water, filtered water and suspended sediments.
- The total concentration of 16 priority PAHs in sediments varied from 50 to 700 ng/g. PAH concentrations in sediments were conditioned by particle size distribution: the lower the particle sizes the higher the PAH concentrations. The data on the composition and concentration of PAHs in sediments obtained in this study are generally in agreement with those obtained by other authors.
- It was found that the lower the correlation between log KOW and log KSW values, the higher the ecosystem contamination by PAHs. The points of PAHs in KOW/KSW scatterplots that lay far from the regression line indicate the ecosystem contamination by respective PAH. The points that lay above the line indicate the pollution of sediments, whereas the points that lay below the line indicate water pollution.
- According to the results obtained using PMF and PCA, the main source of PAHs in both water and sediments was the combustion of biomass and fossil fuels.
Supplementary Materials
Author Contributions
Funding
Data Availability Statement
Conflicts of Interest
References
- Ravindra, K.; Sokhi, R.; Van Grieken, R. Atmospheric polycyclic aromatic hydrocarbons: Source attribution, emission factors and regulation. Atmos. Environ. 2008, 42, 2895–2921. [Google Scholar] [CrossRef]
- Andersson, J.T.; Achten, C. Time to say goodbye to the 16 EPA PAHs? Toward an up-to-date use of PACs for environmental purposes. Polycycl. Aromat. Compd. 2015, 35, 330–354. [Google Scholar] [CrossRef] [PubMed]
- Keith, L.H. The source of US EPA’s sixteen PAH priority pollutants. Polycycl. Aromat. Compd. 2015, 35, 147–160. [Google Scholar] [CrossRef]
- GB 5749-2006; Standards for Drinking Water Quality. Ministry of Health of the People’s Republic of China, Standardization Administration of the People’s Republic of China. Standards Press of China: Beijing, China, 2007. Available online: https://www.chinesestandard.net/PDF.aspx/GB5749-2006 (accessed on 17 June 2023).
- European Communities, (EC). The Quality of Water Intended for Human Consumption, Official Journal of the European Communities. CouncilDirective98/83/EC. 1998. Available online: http://www.fsai.ie/uploadedFiles/Legislation/Food_Legisation_Links/Water/EU_Directive_98_83_EC.pdf (accessed on 17 June 2023).
- United States EPA. 2018 Edition of the Drinking Water Standards and Health Advisories Tables. Available online: https://www.epa.gov/sites/production/files/2018-03/documents/dwtable2018.pdf (accessed on 17 June 2023).
- CCME. Canadian Water Quality Guidelines for the Protection of Aquatic Life: CCME Water Quality Index 1.0, Technical Report. In Canadian Environmental Quality Guidelines 1999; Canadian Council of Ministers of the Environment: Winnipeg, MB, Canada, 2001; Available online: https://www.canada.ca/content/dam/hc-sc/migration/hc-sc/ewh-semt/alt_formats/pdf/pubs/water-eau/sum_guide-res_recom/summary-tables-sept-2022-eng.pdf (accessed on 17 June 2023).
- Russian Ministry of Health. SanPin 2.1.4.1074-01. Drinking Water. Hygienic Requirements for Water Quality of Centralized Drinking Water Supply Systems. Quality Control (Instead SanPin 2.1.4.559-96). Available online: https://www.russiangost.com/p-19277-sanpin-2141074-01.aspx (accessed on 17 June 2023).
- Burton, G., Jr. Sediment quality criteria in use around the world. Limnology 2002, 3, 65–76. [Google Scholar] [CrossRef]
- Amodu, O.S.; Ojumu, T.V.; Ntwampe, S.K.O. Bioavailability of high molecular weight polycyclic aromatic hydrocarbons using renewable resources. Environ. Biotechnol. New Approaches Prospect. Appl. 2013, 171, 54727. [Google Scholar] [CrossRef]
- Zhang, W.; Zhang, S.; Wan, C.; Yue, D.; Ye, Y.; Wang, X. Source diagnostics of polycyclic aromatic hydrocarbons in urban road runoff, dust, rain and canopy through fall. Environ. Pollut. 2008, 153, 594–601. [Google Scholar] [CrossRef]
- Huang, M.; Penning, T.M. Processing Contaminants: Polycyclic Aromatic Hydrocarbons (PAHs). Encycl. Food Saf. 2014, 2, 416–423. [Google Scholar] [CrossRef]
- Hites, R.A.; Biemann, W.G. Identification of specific organic compounds in a highly anoxic sedimentby GC/MS and HRMS. Adv. Chum Ser. 1975, 147, 188–201. [Google Scholar]
- Bouloubassi, I.; Saliot, A. Composition and sources of dissolved and paniculate PAH in surface waters from the Rhône delta (NW Mediterranean). Mar. Pollut. Bull. 1991, 22, 588–594. [Google Scholar] [CrossRef]
- Fernandez, P.; Vilanova, R.; Grimalt, J. Sediment fluxes of polycyclic aromatic hydrocarbons in European high altitude Mountain Lakes. Environ. Sci. Technol. 1999, 33, 3716–3722. [Google Scholar] [CrossRef]
- Jesus, F.; Pereira, J.L.; Campos, I.; Santos, M.; Ré, A.; Keizer, J.; Nogueira, A.; Gonçalves, F.J.M.; Abrantes, N.; Serpa, D. A review on polycyclic aromatic hydrocarbons distribution in freshwater ecosystems and their toxicity to benthic fauna. Sci. Total Environ. 2022, 820, 153282. [Google Scholar] [CrossRef]
- Montuori, P.; De Rosa, E.; Di Duca, F.; Provvisiero, D.P.; Sarnacchiaro, P.; Nardone, A.; Triassi, M. Estimation of Polycyclic Aromatic Hydrocarbons Pollution in Mediterranean Sea from Volturno River, Southern Italy: Distribution, Risk Assessment and Loads. Int. J. Environ. Res. Public Health 2021, 18, 1383. [Google Scholar] [CrossRef] [PubMed]
- Montuori, P.; De Rosa, E.; Di Duca, F.; De Simone, B.; Scippa, S.; Russo, I.; Triassi, M. Polycyclic Aromatic Hydrocarbons (PAHs) in the Dissolved Phase, Particulate Matter, and Sediment of the Sele River, Southern Italy: A Focus on Distribution, Risk Assessment, and Sources. Toxics 2022, 10, 401. [Google Scholar] [CrossRef]
- Snytko, V.A.; Afonina, T.E. Tehnogennie potoki uglevodorodnih soedinenii v geosistemah basseina ozera Baikal [Technogenic flows of hydrocarbon compounds in the geosystems of the Lake Baikal]. Geogr. Nat. Resour. 1993, 2, 68–72. (In Russian) [Google Scholar]
- Snytko, V.A.; Afonina, T.E. O balance uglevodorodnih soedinenii v ozere Baikal [On the balance of hydrocarbon compounds in Lake Baikal]. Proc. Russ. Geogr. Soc. 1994, 126, 65–69. (In Russian) [Google Scholar]
- Gorshkov, A.G.; Marinaite, I.I.; Obolkin, V.A.; Baram, G.I.; Khodzher, T.V. Poliziklicheskie aromaticheskie uglevodorodi v snezhnom pokrove Yuzhnogo poberezhyay ozera Baikal [Polycyclic aromatic hydrocarbons in the snow cover of the southern coast of Lake Baikal]. Atmos. Oceanic. Opt. 1998, 11, 913–918. (In Russian) [Google Scholar]
- Raputa, V.F.; Khodzher, T.V.; Gorshkov, A.G.; Kutsenogii, K.P. Nekotorii zakonomernosti zagryazneniya okresnostei Irkutska poliaromaticheskimi uglevodorodami [Some patterns of pollution of Irkutsk environs with polyaromatic hydrocarbons]. Atmos. Oceanic. Opt. 1998, 11, 650–653. (In Russian) [Google Scholar]
- Koroleva, G.P.; Gorshkov, A.G.; Vinogradova, T.P.; Butakov, E.V.; Marinaite, I.I.; Khodzher, T.V. Issledovaniye zagryazneniya snegovogo pokrova kak deponiruyushchei sredi (Yuzhnoye Pribaikal’e) [Stadying the snow cover as the accumulating media in Southern Baikal region]. Chem. Sustain. Dev. 1998, 6, 327–337. (In Russian) [Google Scholar]
- Gorshkov, A.G.; Marinaite, I.I. Monitoring ekotoksikantov v obʹektah okruzhayushchei sredi Pribaikalya. Chastʹ 1. Opredelenie politciklicheskih aromaticheskih uglevodorodov v aerozole promashlennih centrov (na primere Irkutska) [Monitoring of ecotoxicants in environmental objects of the Baikal region. Part I. Determination of polycyclic aromatic hydrocarbons in aerosol of industrial centers (on the example of Irkutsk)]. Atmos. Oceanic. Opt. 2000, 13, 967–970. [Google Scholar]
- Belykh, L.I.; Malykh, Y.; Penzina, E.E.; Smagunova, A.N. Istochniki zagryazneniya atmosphery politsiklicheskimi aromaticheskimi uglevodorodamy v promyshlennom pribaikalye [Sources of atmosphere pollution by polycyclic aromatic hydrocarbons in industrial Transbaikalia]. Atmos. Ocean. Opt. 2002, 10, 944–948. (In Russian) [Google Scholar]
- Kirso, U.; Irha, N.; Paalme, L.; Reznikov, S.; Matveyev, A. Levels and origin of PAHs in some big lakes. Polycycl. Aromat. Comp. 2002, 22, 715–728. [Google Scholar] [CrossRef]
- Batoev, V.B.; Vaisflog, L.; Ventsel, K.D.; Tsydenova, O.V.; Palitsyna, S.S. Pollution of the basin of the Lake Baikal: Polyaromatic hydrocarbons. Chem. Sustain. Dev. 2003, 11, 829–834. (In Russian) [Google Scholar]
- Kontorovich, A.E.; Kashirtsev, V.A.; Moskvin, V.I.; Burshtein, L.M.; Zemskaya, T.I.; Kostyreva, E.A.; Kalmychkov, G.V.; Khlystov, O.M. Petroleum potential of Baikal deposits. Russ. Geol. Geophys. 2007, 48, 1046–1053. [Google Scholar] [CrossRef]
- Nikanorov, A.M.; Reznikov, S.A.; Matveev, A.A.; Arakelyan, V.S. Monitoring of polycyclic aromatic hydrocarbons in the Lake Baikal basin in the areas of intensive anthropogenic impact. Russ. Meteorol. Hydrol. 2012, 37, 477–484. [Google Scholar] [CrossRef]
- Nikanorov, A.M.; Matveev, A.A.; Reznikov, S.A.; Arakelyan, V.S.; Luk’yanova, N.N. Results of multiyear studies on the dynamics of pollution of lake Baikal by polycyclicaromatic hydrocarbons in the area waste water discharge from the Baikal pulp and paper plant. Dokl. Earth. Sci. 2012, 443, 361–364. [Google Scholar] [CrossRef]
- Reznikov, S.A.; Adzhiev, R.A. Persistent organic pollutants in bottom sediments in the north of Lake Baikal in the area of the Baikal-Amur mainline impact. Russ. Meteorol. Hydrol. 2015, 40, 207–214. [Google Scholar] [CrossRef]
- Gorshkov, A.; Pavlova, O.; Khlystov, O.; Zemskaya, T. Fractioning of petroleum hydrocarbons from seeped oil as a factor of purity preservation of water in Lake Baikal (Russia). J. Great Lakes Res. 2020, 46, 115–122. [Google Scholar] [CrossRef]
- Semenov, M.Y.; Marinaite, I.I. Using the end-member mixing approach to apportion sources of polycyclic aromatic hydrocarbons in various environmental compartments. Environ. Earth Sci. 2016, 75, 207. [Google Scholar] [CrossRef]
- Semenov, M.Y.; Marinaite, I.I.; Golobokova, L.P.; Khuriganova, O.I.; Khodzher, T.V.; Semenov, Y.M. Source apportionment of polycyclic aromatic hydrocarbons in Lake Baikal water and adjacent air layer. Chem. Ecol. 2017, 33, 977–990. [Google Scholar] [CrossRef]
- Semenov, M.; Marinaite, I.; Zhuchenko, N.; Silaev, A.; Vershinin, K.; Semenov, Y. Revealing the factors affecting occurrence and distribution of polycyclic aromatic hydrocarbons in water and sediments of Lake Baikal and its tributaries. Chem. Ecol. 2018, 34, 925–940. [Google Scholar] [CrossRef]
- Semenov, M.Y.; Silaev, A.V.; Semenov, Y.M.; Begunova, L.A.; Semenov, Y.M. Identifying and Characterizing Critical Source Areas of Organic and Inorganic Pollutants in Urban Agglomeration in Lake Baikal Watershed. Sustainability 2022, 14, 14827. [Google Scholar] [CrossRef]
- Semenov, M.Y.; Marinaite, I.I.; Golobokova, L.P.; Semenov, Y.M.; Khodzher, T.V. Revealing the chemical profiles of airborne particulate matter sources in Lake Baikal area: A combination of three techniques. Sustainability 2022, 14, 6170. [Google Scholar] [CrossRef]
- Gorshkov, A.G.; Marinayte, I.I.; Obolkin, V.A.; Baram, G.I.; Khodger, T.V. Polynuclear Aromatic Hydrocarbons in the Surface Aerosol of the Southern Coast of Lake Baikal. In Nucleation and Atmospheric Aerosols; MarkkuKulmala, P.E.W., Ed.; Elsevier: Amsterdam, The Netherlands, 1996; pp. 597–600. [Google Scholar] [CrossRef]
- Marinayte, I.I. Polycyclic aromatic hydrocarbons in water of tributaries of Southern Baikal. Atmos. Ocean. Opt. 2006, 19, 499–503. [Google Scholar]
- Gorshkov, A.G.; Marinayte, I.I.; Zemskaya, T.I.; Khodger, T.V. Sovremennii uroven’ nefteproduktov v vode ozera Baikal I ego pritokov [The current level of oil products in the water of Lake Baikal and its tributaries]. Chem. Sustain. Dev. 2010, 18, 711–718. (In Russian) [Google Scholar]
- Shirapova, G.S.; Utyugnikova, N.S.; Rabina, O.A.; Vyalkov, A.I.; Morozov, S.V.; Batoev, V.B. Zagryaznenie poliaromaticheskimi uglevodorodami basseina ozera Baikal: Ozero Gusinoe [Contamination of the Lake Baikal Basin with Polyaromatic Hydrocarbons: The Gusinoye Lake]. Chem. Sustain. Dev. 2013, 21, 189–195. (In Russian) [Google Scholar]
- Morozov, S.V.; Shirapova, G.S.; Ermolaeva, O.A.; Chernyak, E.I.; Tkacheva, N.I.; Batoev, V.B.; Mognonov, D.M. Studies of the Behaviour of Persistent Organic Pollutants in the Baikal-Selenga Ecosystem as an Element of the Implementation of the Stockholm Convention. Chem. Sustain. Dev. 2022, 30, 600–611. [Google Scholar] [CrossRef]
- Golobokova, L.; Khodzher, T.; Khuriganova, O.; Marinayte, I.; Onishchuk, N.; Rusanova, P.; Potemkin, V. Variability of chemical properties of the atmospheric aerosol above Lake Baikal during large wildfires in Siberia. Atmosphere 2020, 11, 1230. [Google Scholar] [CrossRef]
- Marinaite, I.I.; Potyomkin, V.L.; Khodzher, T.V. Evaluation of atmospheric pollution with PAHS and PM10 above the water area of Lake Baikal during wildfires in Summer 2019. In Proceedings of the 26th International Symposium on Atmospheric and Ocean Optics, Atmospheric Physics, Moscow, Russia, 6–10 July 2020; Volume 115602. [Google Scholar] [CrossRef]
- Marinaite, I.I.; Potyomkin, V.L.; Molozhnikova, E.V.; Penner, I.E.; Shikhovtsev, M.Y.; Izosimova, O.N.; Khodzher, T.V. Polycyclic aromatic hydrocarbons and PM10 solid particles above the water area of Lake Baikal in the summer of 2020. In Proceedings of the 27th International Symposium on Atmospheric and Ocean Optics, Atmospheric Physics, Moscow, Russia, 5–9 July 2021; Volume 119161. [Google Scholar] [CrossRef]
- Gorshkov, A.G.; Izosimova, O.N.; Kustova, O.V.; Marinaite, I.I.; Galachyants, Y.P.; Sinyukovich, V.N.; Khodzher, T.V. Wildfires as a Source of PAHs in Surface Waters of Background Areas (Lake Baikal, Russia). Water 2021, 13, 2636. [Google Scholar] [CrossRef]
- Belis, C.A.; Favez, O.; Mircea, M.; Diapouli, E.; Manousakas, M.-I.; Vratolis, S.; Gilardoni, S.; Paglione, M.; Decesari, S.; Mocnik, G.; et al. European Guide on Air Pollution Source Apportionment with Receptor Models-Revised Version 2019, EUR 29816 EN; Publications Office of the European Union: Luxembourg, 2019; 166p.
- Javed, W.; Guo, B. Chemical characterization and source apportionment of fine and coarse atmospheric particulate matter in Doha, Qatar. Atmos. Pollut. Res. 2020, 12, 122–136. [Google Scholar] [CrossRef]
- Zhou, X.; Li, Z.; Zhang, T.; Wang, F.; Tao, Y.; Zhang, X.; Wang, F.; Huang, J.; Cheng, T.; Jiang, H.; et al. Chemical nature and predominant sources of PM10 and PM2.5 from multiple sites on the Silk Road, Northwest China. Atmos. Pollut. Res. 2020, 12, 425–436. [Google Scholar] [CrossRef]
- Reff, A.; Eberly, S.I.; Bhave, P.V. Receptor Modeling of Ambient Particulate Matter Data Using Positive Matrix Factorization: Review of Existing Methods. J. Air Waste Manag. Assoc. 2007, 57, 146–154. [Google Scholar] [CrossRef]
- Norris, G.; Duvall, R.; Brown, S.; Bai, S. EPA Positive Matrix Factorization (PMF) 5.0 Fundamentals and User Guide; U.S. Environmental Protection Agency: Washington, DC, USA, 2014; EPA/600/R-14/108 (NTIS PB2015-105147).
- Khalikov, I.S.; Lukyanova, N.N. Polycyclic aromatic hydrocarbons content in bottom sediments of baikal lake According to results of monitoring in 2017–2018. Int. J. Res. 2020, 96, 69–73. (In Russian) [Google Scholar] [CrossRef]
- Jiang, C.; Alexander, R.; Kagi, R.I.; Murray, A.P. Origin of perylene in ancient sediments and its geological significance. Org. Geochem. 2000, 31, 1545–1559. [Google Scholar] [CrossRef]
- Silliman, J.E.; Meyers, P.A.; Eadie, B.J.; Klump, J.V. A hypothesis for the origin of perylene based on its low abundance in sediments of Green Bay, Wisconsin. Chem. Geol. 2001, 177, 309–322. [Google Scholar] [CrossRef]
- Khalikov, I.S. The contents of PAHs in bottom sediments of the Baikal Lake in the region of the Selenga shallow waters. Nauchniy Alm. 2016, 1–2, 447–451. (In Russian) [Google Scholar] [CrossRef]
- Khalikov, I.S.; Makarenko, A.A.; Levshin, D.G.; Lukyanova, N.N.; Yakhryushin, V.N. New Data on the Content of Polycyclic Aromatic Hydrocarbons in Bottom Sediments of the Coastal Zone of Lake Baikal. Ecol. Khimiya 2021, 30, 117–128. (In Russian) [Google Scholar]
- Saneev, B.G.; Ivanova, I.; Maisyuk, E.P.; Tuguzova, T.F.; Ivanov, R.A. Energeticheskaya infrastructura tsentralnoy ecologicheskoy zony Baikalskoi prirodnoy territorii: Vozdeystviye na prirodnuyu sredu i puti ego snizheniya [The power generation infrastructure in the central ecological zone of the Baikal natural territory: The environmental impact and ways to mitigate it]. Geogr. Nat. Res. 2016, 5, 218–224. (In Russian) [Google Scholar]
- Obolkin, V.A.; Potemkin, V.L.; Makukhin, V.L.; Khodzher, T.V.; Chipanina, E.V. Long-range transport of plumes of atmospheric emissions from regional coal power plants to the South Baikal water basin. Atmos. Ocean. Opt. 2017, 30, 360–365. [Google Scholar] [CrossRef]
- Wang, R.; Liu, G.; Zhang, J. Variations of emission characterization of PAHs emitted from different utility boilers of coal-fired power plants and risk assessment related to atmospheric PAHs. Sci. Total. Environ. 2015, 538, 180–190. [Google Scholar] [CrossRef]
- Wang, R.; Liu, G.; Sun, R.; Yousaf, B.; Wang, J.; Liu, R.; Zhang, H. Emission characteristics for gaseous- and size-segregated particulate PAHs in coal combustion flue gas from circulating fluidized bed (CFB) boiler. Environ. Pollut. 2018, 238, 581–589. [Google Scholar] [CrossRef]
- Drotikova, T.; Ali, A.M.; Halse, A.K.; Reinardy, H.C.; Kallenborn, R. Polycyclic aromatic hydrocarbons (PAHs) and oxy- and nitro-PAHs in ambient air of the Arctic town Longyearbyen, Svalbard. Atmos. Chem. Phys. 2020, 20, 9997–10014. [Google Scholar] [CrossRef]
- Bignal, K.L.; Langridge, S.; Zhou, J.L. Release of polycyclic aromatic hydrocarbons, carbon monoxide and particulate matter from biomass combustion in a wood-fired boiler under varying boiler conditions. Atmos. Environ. 2008, 42, 8863–8871. [Google Scholar] [CrossRef]
- Ho, K.F.; Sai, S.; Ho, H.; Lee, S.C.; Cheng, Y.; Chow, J.C.; Watson, J.G.; Louie, P.K.K.; Tian, L. Emissions of gas- and particle-phase polycyclic aromatic hydrocarbons (PAHs) in the ShingMun Tunnel, Hong Kong. Atmos. Environ. 2009, 43, 6343–6351. [Google Scholar] [CrossRef]
- Liu, Y.; Gao, Y.; Yu, N.; Zhang, C.; Wang, S.; Ma, L.; Zhao, J.; Lohmann, R. Particulate matter, gaseous and particulate polycyclic aromatic hydrocarbons (PAHs) in an urban traffic tunnel of China: Emission from on-road vehicles and gas-particle partitioning. Chemosphere 2015, 134, 52–59. [Google Scholar] [CrossRef] [PubMed]
- Yunker, M.B.; Macdonald, R.W.; Vingarzan, R.; Mitchell, R.H.; Goyette, D.; Sylvestre, S. PAHs in the Fraser River basin: A critical appraisal of PAH ratios as indicators of PAH source and composition. Org. Geochem. 2002, 33, 489–515. [Google Scholar] [CrossRef]
- Tobiszewski, M.; Namiesnik, J. PAH diagnostic ratios for the identification of pollution emission sources. Environ. Pollut. 2012, 162, 110–119. [Google Scholar] [CrossRef]
- Li, M.; Shi, M.; Hu, T.; Liu, W.; Mao, Y.; Yu, Y.; Yu, H.; Xu, A.; Yang, W.; Xing, X.; et al. Geochemical characteristics and behaviors of polycyclic aromatic hydrocarbons (PAHs) in soil, water, and sediment near a typical nonferrous smelter. J. Soils Sediments 2023, 23, 2258–2272. [Google Scholar] [CrossRef]
- Li, X.; Wang, Z.; Guo, T. Emission of PM2.5-bound polycyclic aromatic hydrocarbons from biomass and coal combustion in China. Atmosphere 2021, 12, 1129. [Google Scholar] [CrossRef]
- Mi, H.H.; Lee, W.J.; Tsai, P.J.; Chen, C.B. A comparison on the emission of polycyclic aromatic hydrocarbons and their corresponding carcinogenic potencies from a vehicle engine using leaded and lead-free gasoline. Environ. Health Perspect. 2001, 109, 1285–1290. [Google Scholar] [CrossRef]
- Abrantes, R.; Assunção, J.V.; Pesquero, C.R. Emission of polycyclic aromatic hydrocarbons from light-duty diesel vehicles exhaust. Atmos. Environ. 2004, 38, 1631–1640. [Google Scholar] [CrossRef]
- Marr, L.C.; Kirchstetter, T.W.; Harley, R.A.; Miguel, A.H.; Hering, S.V.; Hammond, S.K. Characterization of Polycyclic Aromatic Hydrocarbons in Motor Vehicle Fuels and Exhaust Emissions. Environ. Sci. Technol. 1999, 33, 3091–3099. [Google Scholar] [CrossRef]
- Almeda, R.; Wambaugh, Z.; Chai, C.; Wang, Z.; Liu, Z.; Buskey, E.J. Effects of Crude Oil Exposure on Bioaccumulation of Polycyclic Aromatic Hydrocarbons and Survival of Adult and Larval Stages of Gelatinous Zooplankton. PLoS ONE 2013, 8, e74476. [Google Scholar] [CrossRef]
- Goto, Y.; Nakamuta, K.; Nakata, H. Parent and alkylated PAHs profiles in 11 petroleum fuels and lubricants: Application for oil spill accidents in the environment. Ecotoxicol. Environ. Saf. 2021, 224, 112644. [Google Scholar] [CrossRef]
- Dickhut, R.M.; Canuel, E.A.; Gustafson, K.E.; Liu, K.; Arzayus, K.M.; Walker, S.E.; Edgecombe, G.; Gaylor, M.O.; MacDonald, E.H. Automotive Sources of Carcinogenic Polycyclic Aromatic Hydrocarbons Associated with Particulate Matter in the Chesapeake Bay Region. Environ. Sci. Technol. 2000, 34, 4635–4640. [Google Scholar] [CrossRef]
- Callén, M.S.; de la Cruz, M.T.; López, J.M.; Mastral, A.M. PAH in airborne particulate matter.: Carcinogenic character of PM10 samples and assessment of the energy generation impact. Fuel Process. Technol. 2011, 92, 176–182. [Google Scholar] [CrossRef]
- Van Metre, P.C.; Majewski, M.S.; Mahler, B.J.; Foreman, W.T.; Braun, C.L.; Wilson, J.T.; Burbank, T.L. PAH volatilization following application of coal-tar-based pavement sealant. Atmos. Environ. 2012, 51, 108–115. [Google Scholar] [CrossRef]
- Gao, P.; Liu, S.; Feng, Y.; Lin, N.; Lu, B.; Zhang, Z.; Cui, F.; Xing, B.; Hammond, S.K. Concentrations of polycyclic aromatic hydrocarbons in resuspendable fraction of settled bus dust and its implications for human exposure. Environ. Pollut. 2015, 198, 1–7. [Google Scholar] [CrossRef]
- Boonyatumanond, R.; Murakami, M.; Wattayakorn, G.; Togo, A.; Takada, H. Sources of polycyclic aromatic hydrocarbons (PAHs) in street dust in a tropical Asian mega-city, Bangkok, Thailand. Sci. Total Environ. 2007, 384, 420–432. [Google Scholar] [CrossRef]

















| PAH | Number of Rings | Particle/Gas Phase Distribution | Abbreviation | Molecular Weight | Solubility in Water | log Kow |
|---|---|---|---|---|---|---|
| Naphthalene | 2 | Gas phase | NAP | 128 | 31 | 3.37 |
| Acenaphthylene | 3 | Gas phase | ACY | 152 | 16.1 | 4 |
| Acenaphthene | 3 | Gas phase | ACE | 154 | 3.8 | 3.92 |
| Fluorene | 3 | Gas phase | FLU | 166 | 1.9 | 4.18 |
| Phenanthrene | 3 | Particle gas phase | PHE | 178 | 1.1 | 4.57 |
| Anthracene | 3 | Particle gas phase | ANT | 178 | 0.045 | 4.54 |
| Fluoranthene | 4 | Particle gas phase | FLT | 202 | 0.26 | 5.22 |
| Pyrene | 4 | Particle gas phase | PYR | 202 | 0.132 | 5.18 |
| Benzo[a]anthracene | 4 | Particle phase | BaA | 228 | 0.011 | 5.91 |
| Chrysene | 4 | Particle phase | CHR | 228 | 0.0019 | 5.86 |
| Benzo[b]fluoranthene | 5 | Particle phase | BbF | 252 | 0.0015 | 5.8 |
| Benzo[k]fluoranthene | 5 | Particle phase | BkF | 252 | 0.0008 | 6 |
| Benzo[a]pyrene | 5 | Particle phase | BaP | 252 | 0.0038 | 6.04 |
| Benzo[g,h,i]perylene | 6 | Particle phase | BghiP | 276 | 0.00026 | 6.5 |
| Indeno[1,2,3-c,d]pyrene | 6 | Particle phase | IcdP | 276 | 0.00019 | 6.7 |
| Dibenzo[a,h]anthracene | 5 | Particle phase | DahA | 278 | 0.0006 | 6.75 |
| PHE | ANT | FLT | PYR | BaA | CHR | BbF | BkF | BeP | BaP | IcdP | BghiP | |
|---|---|---|---|---|---|---|---|---|---|---|---|---|
| Min | 0.65 | 0.06 | 0.20 | 0.14 | 0.04 | 0.03 | 0.08 | 0.04 | 0.11 | 0.04 | 0.02 | 0.03 |
| 25th * | 1.16 | 0.14 | 0.41 | 0.26 | 0.17 | 0.15 | 0.24 | 0.17 | 0.23 | 0.28 | 0.29 | 0.34 |
| Median | 2.11 | 0.29 | 0.74 | 0.58 | 0.25 | 0.30 | 0.49 | 0.30 | 0.23 | 0.28 | 0.29 | 0.34 |
| 75th | 27.0 | 3.60 | 9.88 | 6.24 | 1.13 | 2.54 | 4.90 | 2.60 | 3.77 | 1.54 | 1.67 | 1.70 |
| Max | 143 | 30.6 | 85.7 | 70.9 | 32.8 | 37.0 | 81.7 | 81.5 | 70.0 | 25.2 | 43.4 | 71.5 |
| Mean | 3.30 | 0.68 | 0.79 | 0.48 | 0.34 | 0.33 | 0.85 | 0.30 | 0.60 | 0.30 | 0.55 | 0.72 |
| STD ** | 11.8 | 3.03 | 1.82 | 0.94 | 1.01 | 0.59 | 2.16 | 0.54 | 1.41 | 0.21 | 1.22 | 1.79 |
| PHE | ANT | FLT | PYR | BaA | CHR | BbF | BkF | BaP | IcdP | |
|---|---|---|---|---|---|---|---|---|---|---|
| Min | 1.80 | 0.11 | 0.78 | 0.42 | 0.04 | 0.09 | 0.44 | 0.16 | 0.08 | 0.14 |
| 25th * | 3.46 | 0.29 | 1.58 | 0.93 | 0.14 | 0.36 | 4.64 | 1.39 | 0.55 | 1.09 |
| Median | 6.19 | 0.83 | 2.88 | 1.74 | 0.39 | 0.75 | 13.75 | 3.99 | 1.34 | 3.35 |
| 75th | 43.0 | 1.39 | 4.21 | 3.17 | 0.91 | 1.66 | 25.74 | 8.36 | 4.94 | 8.38 |
| Max | 80.0 | 3.22 | 20.6 | 14.4 | 8.10 | 12.6 | 143 | 39.9 | 20.1 | 15.2 |
| Mean | 22.2 | 0.92 | 4.29 | 2.91 | 0.88 | 1.59 | 24.21 | 6.96 | 3.98 | 5.05 |
| STD ** | 26.5 | 0.72 | 4.87 | 3.50 | 1.61 | 2.52 | 34.0 | 9.70 | 5.37 | 4.70 |
| Factor 1 | Factor 2 | Factor 3 | Factor 4 | |
|---|---|---|---|---|
| PHE | 0.41 | 0.24 | 0.77 | 0.32 |
| ANT | 0.41 | 0.35 | 0.50 | 0.67 |
| FLT | 0.61* | 0.77 | −0.04 | 0.11 |
| PYR | 0.65 | 0.74 | 0.08 | 0.09 |
| BaA | 0.65 | 0.62 | 0.27 | 0.22 |
| CHR | 0.67 | 0.62 | 0.16 | 0.12 |
| BbF | 0.82 | 0.53 | 0.16 | 0.01 |
| BkF | 0.83 | 0.51 | 0.10 | 0.03 |
| BaP | 0.84 | 0.47 | 0.14 | 0.07 |
| IcdP | 0.65 | 0.47 | 0.42 | 0.16 |
| BghiP | 0.70 | 0.65 | 0.15 | −0.05 |
| Eigenvalue | 5.00 | 3.48 | 1.21 | 0.97 |
| Explained variance, % | 45.42 | 31.65 | 11.01 | 6.12 |
| Cumulative explained variance, % | 45.42 | 77.07 | 88.08 | 94.20 |
Disclaimer/Publisher’s Note: The statements, opinions and data contained in all publications are solely those of the individual author(s) and contributor(s) and not of MDPI and/or the editor(s). MDPI and/or the editor(s) disclaim responsibility for any injury to people or property resulting from any ideas, methods, instructions or products referred to in the content. |
© 2023 by the authors. Licensee MDPI, Basel, Switzerland. This article is an open access article distributed under the terms and conditions of the Creative Commons Attribution (CC BY) license (https://creativecommons.org/licenses/by/4.0/).
Share and Cite
Semenov, M.Y.; Marinaite, I.I.; Silaev, A.V.; Begunova, L.A. Composition, Concentration and Origin of Polycyclic Aromatic Hydrocarbons in Waters and Bottom Sediments of Lake Baikal and Its Tributaries. Water 2023, 15, 2324. https://doi.org/10.3390/w15132324
Semenov MY, Marinaite II, Silaev AV, Begunova LA. Composition, Concentration and Origin of Polycyclic Aromatic Hydrocarbons in Waters and Bottom Sediments of Lake Baikal and Its Tributaries. Water. 2023; 15(13):2324. https://doi.org/10.3390/w15132324
Chicago/Turabian StyleSemenov, Mikhail Y., Irina I. Marinaite, Anton V. Silaev, and Larisa A. Begunova. 2023. "Composition, Concentration and Origin of Polycyclic Aromatic Hydrocarbons in Waters and Bottom Sediments of Lake Baikal and Its Tributaries" Water 15, no. 13: 2324. https://doi.org/10.3390/w15132324
APA StyleSemenov, M. Y., Marinaite, I. I., Silaev, A. V., & Begunova, L. A. (2023). Composition, Concentration and Origin of Polycyclic Aromatic Hydrocarbons in Waters and Bottom Sediments of Lake Baikal and Its Tributaries. Water, 15(13), 2324. https://doi.org/10.3390/w15132324

