Impact of Deficit Irrigation on Growth and Water Relations of HLB-Affected Citrus Trees under Greenhouse Conditions
Abstract
1. Introduction
2. Materials and Methods
2.1. Site Description
2.2. Irrigation Water Requirement
2.3. Experimental Design
2.4. Meteorological Measurements
2.5. Tree Growth Variables
2.6. Leaf Area Measurement
2.7. Soil Water Content
2.8. Stem Water Potential (SWP)
2.9. Water Use Relations
2.10. Root Growth
2.11. Data Analysis
3. Results
3.1. Meteorological Measurements
3.2. Tree Height, Trunk Diameter, and Leaf Area
3.3. Soil Water Content
3.4. Stem Water Potential
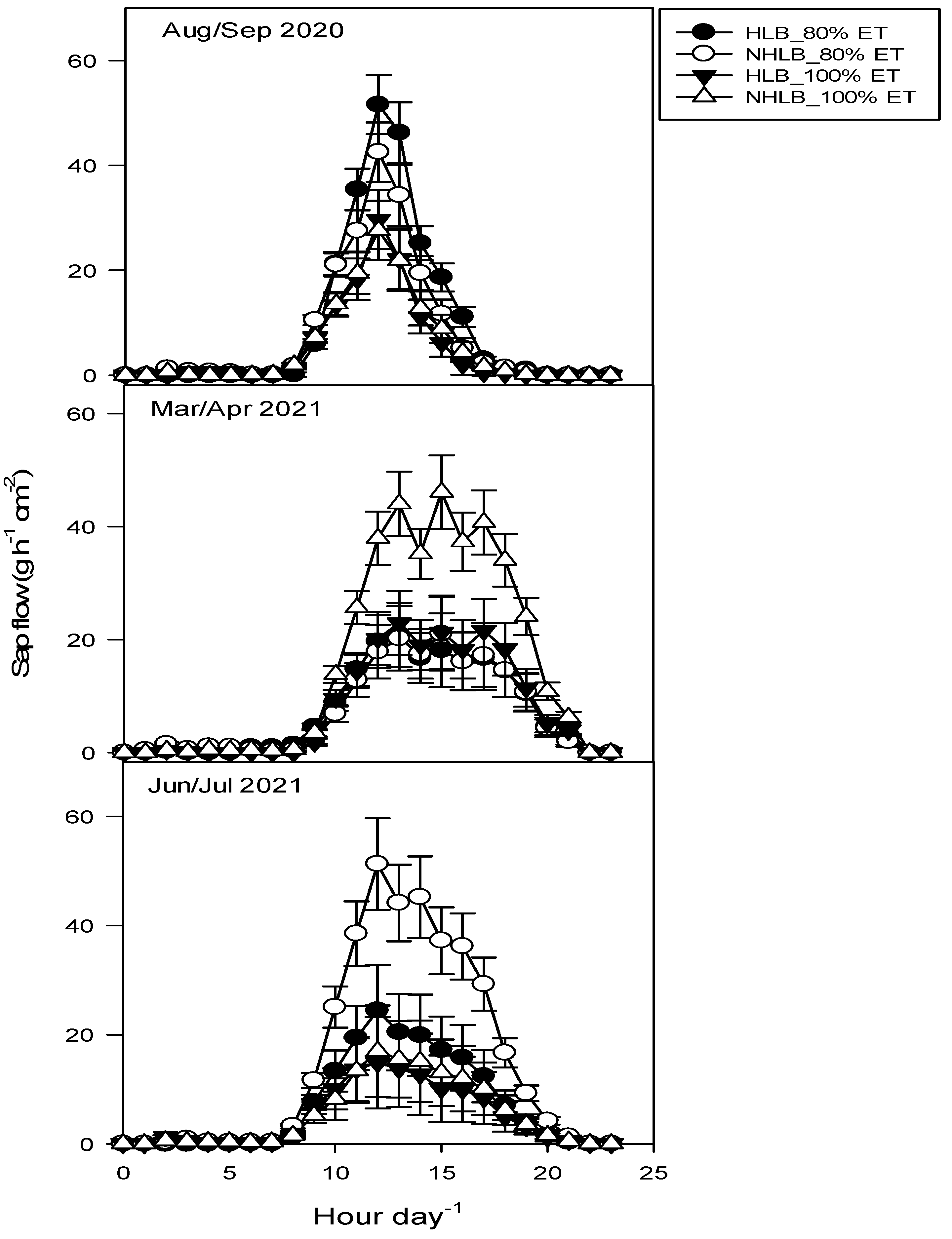
3.5. Sap Flow Dynamics
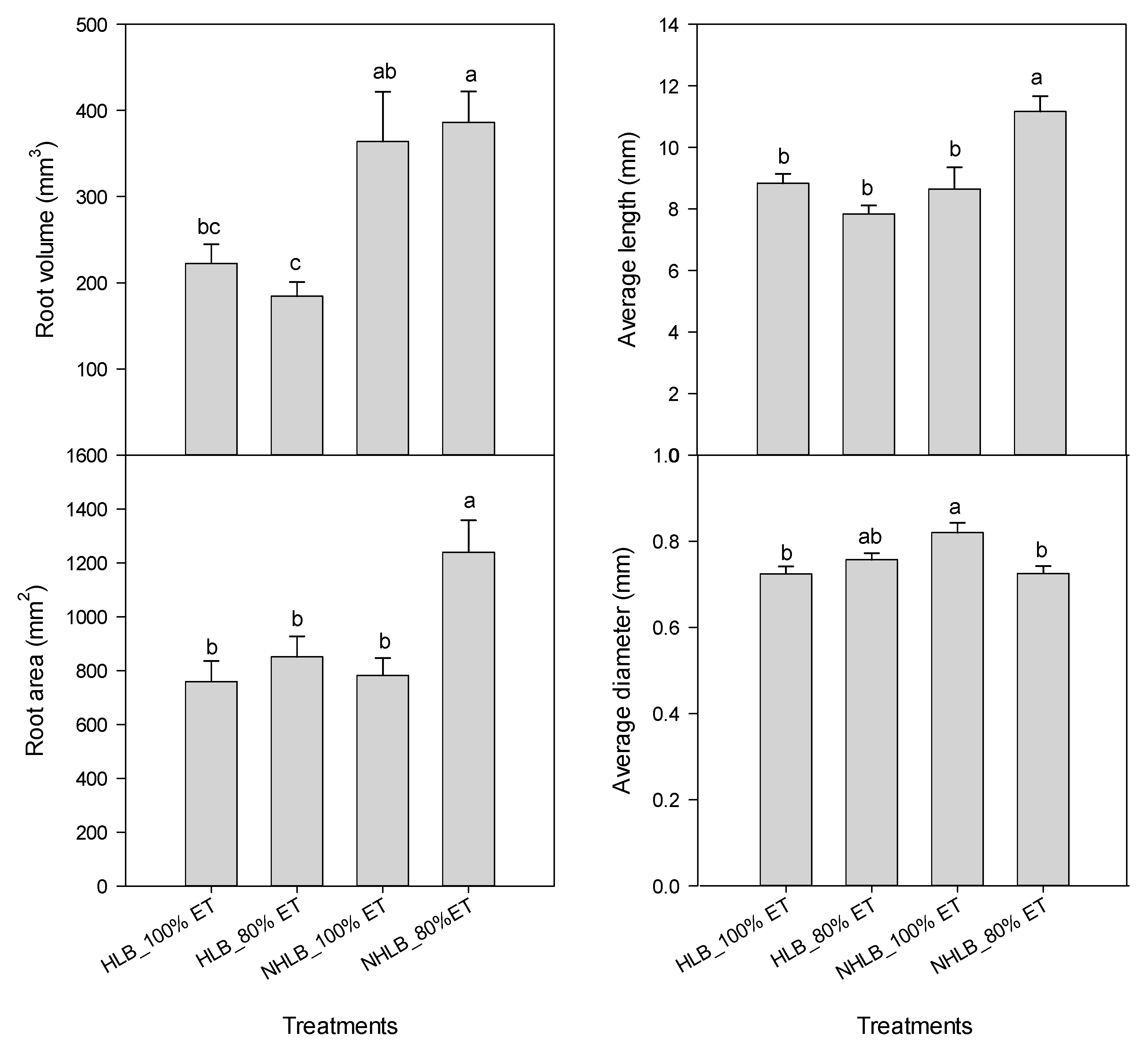
3.6. Root Growth
4. Discussion
5. Conclusions
Author Contributions
Funding
Data Availability Statement
Acknowledgments
Conflicts of Interest
References
- Fisher, D.K.; Pringle, H.C., III. Evaluation of alternative methods for estimating reference evapotranspiration. Agric. Sci. 2013, 4, 51–60. [Google Scholar] [CrossRef]
- Fulton, A.E.; Beede, R.H.; Phene, R.C. Implementing ClMlS at the farm level: A grower’s experience in walnuts. Calif. Agric. 1991, 45, 38–40. [Google Scholar]
- Kite, S.W.; Hanson, B.R. Irrigation scheduling under saline high water tables. Calif. Agric. 1984, 38, 12–14. [Google Scholar]
- Gilani, K.; Naz, S.; Aslam, F.; Gurley, W.A. Comparison of Zinc, Phosphorous and Potassium Levels in Leaves and Fruit Pulp of Healthy and Huanglongbing Affected Citrus Cultivars. J. Plant Physiol. Pathol. 2019, 7, 1–8. [Google Scholar] [CrossRef]
- Hijaz, F.; Nehela, Y.; Killiny, N. Possible role of plant volatiles in tolerance against huanglongbing in citrus. Plant Signal Behav. 2016, 11, 1–12. [Google Scholar] [CrossRef] [PubMed]
- Killiny, N.; Nehela, Y. Metabolomic response to huanglongbing: Role of carboxylic compounds in Citrus sinensis response to “candidatus liberibacter asiaticus” and its vector, diaphorina citri. Mol. Plant-Microbe Interact. 2017, 30, 666–678. [Google Scholar] [CrossRef]
- USDA-NAAR. Citrus Production by County 2019–2020 Production (1000 boxes). 2021. Available online: www.nass.usda.gov/fl (accessed on 6 March 2022).
- Johnson, E.G.; Wu, J.; Bright, D.B.; Graham, J.H. Association of “Candidatus Liberibacter asiaticus” root infection, but not phloem plugging with root loss on huanglongbing-affected trees prior to appearance of foliar symptoms. Plant Pathol. 2014, 63, 290–298. [Google Scholar] [CrossRef]
- Ebel, R.C.; Hamido, S.; Morgan, K.T. Interaction of huanglongbing and foliar applications of copper on growth and nutrient acquisition of Citrus sinensis cv. valencia. HortScience 2019, 54, 297–302. [Google Scholar] [CrossRef]
- Graham, J.H.; Johnson, E.G.; Gottwald, T.R.; Irey, M.S. Presymptomatic fibrous root decline in citrus trees caused by huanglongbing and potential interaction with Phytophthora spp. Plant Dis. 2013, 97, 1195–1199. [Google Scholar] [CrossRef]
- Kadyampakeni, D.M.; Morgan, K.T.; Schumann, A.W.; Nkedi-Kizza, P.; Obreza, T.A. Water Use in Drip-and Microsprinkler-Irrigated Citrus Trees Soil & Water Management & Conservation. Soil Sci. Soc. Am. J. 2014, 78, 1351–1361. [Google Scholar]
- Kadyampakeni, D.M.; Morgan, K.T.; Schumann, A.W.; Nkedi-Kizza, P. Effect of irrigation pattern and timing on root density of young citrus trees infected with huanglongbing disease. Horttechnology 2014, 24, 209–221. [Google Scholar] [CrossRef]
- Hamido, S.A.; Morgan, K.T.; Kadyampakeni, D.M. The effect of huanglongbing on young citrus tree water use. Horttechnology 2017, 27, 659–665. [Google Scholar] [CrossRef]
- Hamido, S.A.; Morgan, K.T.; Ebel, R.C.; Kadyampakeni, D.M. Improved irrigation management of sweet orange with huanglongbing. HortScience 2017, 52, 916–921. [Google Scholar] [CrossRef]
- Morgan, K.T.; Obreza, T.A.; Scholberg, J.M.S.; Parsons, L.R.; Wheaton, T.A. Citrus Water Uptake Dynamics on a Sandy Florida Entisol; Citrus Water Uptake Dynamics on a Sandy Florida Entisol. Soil Sci. Soc. Am. J. 2006, 70, 90–97. [Google Scholar] [CrossRef]
- Romero-Conde, A.; Kusakabe, A.; Melgar, J.C. Physiological responses of citrus to partial rootzone drying irrigation. Sci. Hortic. 2014, 169, 234–238. [Google Scholar] [CrossRef]
- Jamshidi, S.; Zand-Parsa, S.; Niyogi, D. Physiological responses of orange trees subject to regulated deficit irrigation and partial root drying. Irrig. Sci. 2021, 39, 441–455. [Google Scholar] [CrossRef]
- Saitta, D.; Consoli, S.; Ferlito, F.; Torrisi, B.; Allegra, M.; Longo-Minnolo, G.; Ramírez-Cuesta, J.M.; Vanella, D. Adaptation of citrus orchards to deficit irrigation strategies. Agric. Water Manag. 2021, 247, 106734. [Google Scholar] [CrossRef]
- Gonzalez-Dugo, V.; Ruz, C.; Testi, L.; Orgaz, F.; Fereres, E. The impact of deficit irrigation on transpiration and yield of mandarin and late oranges. Irrig. Sci. 2018, 36, 227–239. [Google Scholar] [CrossRef]
- Paramasivam, S.; Alva, A.K.; Fares, A.; Sajwan, K.S. Division S-8—Nutrient management & soil & plant analysis: Estimation of nitrate leaching in an entisol under optimum citrus production. Soil Sci. Soc. Am. J. 2001, 65, 914–921. [Google Scholar]
- Morgan, K.T.; Kadyampakeni, D.M. Nutrition of Florida Citrus Trees, 3rd ed.; SL253; UF/IFAS Extension: Gainesville, FL, USA, 2020; Available online: http://edis.ifas.ufl.edu/ss478 (accessed on 6 March 2022).
- Zotarelli, L.; Dukes, M.D.; Romero, C.C.; Migliaccio, K.W.; Morgan, K.T. Step by Step Calculation of the Penman-Monteith Evapotranspiration (FAO-56 Method); Extension Bulletin AE459; Institute of Food and Agricultural Sciences, University of Florida: Gainesville, FL, USA, 2010. [Google Scholar]
- Allen, R.G.; Pereira, L.S.; Raes, D.; Smith, M. Crop evapotranspiration-Guidelines for computing crop water requirements-FAO Irrigation and drainage paper 56. Fao Rome 1998, 300, D05109. [Google Scholar]
- Schneider, C.A.; Rasband, W.S.; Eliceiri, K.W. NIH Image to ImageJ: 25 years of image analysis. Nat. Methods 2012, 9, 671–675. [Google Scholar] [CrossRef] [PubMed]
- Fulton, A.; Grant, J.; Buchner, R.; Connell, J. Using the Pressure Chamber for Irrigation Management in Walnut, Almond and Prune; ANR Publication 8503; UC Agriculture & Natural Resources: Davis, CA, USA, 2014. [Google Scholar] [CrossRef]
- Han, S.H.; Yun, S.; Lee, J.; Kim, S.; Chang, H.; Son, Y. Estimating the production and mortality of fine roots using minirhizotrons in a Pinus densiflora forest in Gwangneung, Korea. J. For. Res. 2016, 27, 1029–1035. [Google Scholar] [CrossRef]
- SAS Institute Inc. SAS/STAT® 15.1 User’s Guide; SAS Inst. Inc.: Cary, NC, USA, 2018. [Google Scholar]
- Kozak, M.; Piepho, H.P. What’s normal anyway? Residual plots are more telling than significance tests when checking ANOVA assumptions ANOVA, diagnostic plots, linear models. J. Agro. Crop Sci. 2018, 204, 86–98. [Google Scholar] [CrossRef]
- Gasque, M.; Martí, P.; Granero, B.; González-Altozano, P. Effects of long-term summer deficit irrigation on ‘Navelina’ citrus trees. Agric. Water Manag. 2016, 169, 140–147. [Google Scholar] [CrossRef]
- Morgan, K.T.; Zotarelli, L.; Dukes, M.D. Use of Irrigation Technologies for Citrus Trees in Florida. Horttechnology. 2010, 20, 74–81. [Google Scholar] [CrossRef]
- Alva, A.K.; Mattos, D.; Paramasivam, S.; Patil, B.; Dou, H.; Sajwan, K.S. Potassium management for optimizing citrus production and quality. Int. J. Fruit Sci. 2006, 6, 3–43. [Google Scholar] [CrossRef]
- Levy, Y. Citrus irrigation. Mob. Post Negev. 1998, 85, 1–15. [Google Scholar]
- Grilo, F.; Scalisi, A.; Pernice, F.; Morandi, B.; Bianco, R.L. Lo Bianco. Recurrent deficit irrigation and fruit harvest affect tree water relations and fruitlet growth in ‘Valencia’ orange. Eur. J. Hortic. Sci. 2019, 84, 177–187. [Google Scholar] [CrossRef]
- McCutchan, H.; Shackel, K.A. Stem-water Potential as a Sensitive Indicator of Water Stress in Prune Trees (Prunus domestica L. cv. French). J. Am. Soc. Hortic. Sci. 1992, 117, 607–611. [Google Scholar] [CrossRef]
- Mobe, N.T.; Dzikiti, S.; Volschenk, T.; Zirebwa, S.F.; Ntshidi, Z.; Midgley, S.J.; Steyn, W.J.; Lötze, E.; Mpandeli, S.; Mazvimavi, D. Using sap flow data to assess variations in water use and water status of apple orchards of varying age groups in the Western Cape Province of South Africa. Water SA 2020, 46, 213–224. [Google Scholar]
- Ballester, C.; Castel, J.; Intrigliolo, D.S.; Testi, L.; Castel, J.R. Sap flow measurements to assess regulated deficit irrigation strategies on citrus trees. In Acta Horticulturae. International Society for Horticultural Science; 2012; pp. 71–78. Available online: https://www.actahort.org/books/951/951_7.htm (accessed on 6 March 2022).
- Ortuño, M.F.; Alarcón, J.J.; Nicolás, E.; Torrecillas, A. Sap flow and trunk diameter fluctuations of young lemon trees under water stress and rewatering. Environ. Exp. Bot. 2005, 54, 155–162. [Google Scholar] [CrossRef]
- Kadyampakeni, D.M.; Morgan, K.T. Irrigation scheduling and soil moisture dynamics influence water uptake by Huanglongbing affected trees. Sci. Hortic. 2017, 224, 272–279. [Google Scholar] [CrossRef]






| Month | 2009 | 2010 | 2011 | 2012 | 2013 | 2014 | 2015 | 2016 | 2017 | 2018 | 2019 | 1 Avg ETo | 2 Kc | 3 ETc | 4 IWR |
|---|---|---|---|---|---|---|---|---|---|---|---|---|---|---|---|
| -------------------------- ETo mm/month ------------------------ | - mm/month - | ||||||||||||||
| Jan | 47.2 | 39.4 | 47.2 | 47.2 | 55.1 | 39.4 | 47.2 | 47.2 | 47.2 | 47.2 | 47.2 | 46.5 | 0.9 | 43 | 39 ± 4.2 |
| Feb | 64 | 49.8 | 64 | 64 | 64 | 64 | 56.9 | 64 | 71.1 | 71.1 | 64 | 63.4 | 0.9 | 56 | 50 ± 5.9 |
| Mar | 86.6 | 78.7 | 94.5 | 102.4 | 78.7 | 86.6 | 94.5 | 94.5 | 94.5 | 94.5 | 86.6 | 90.2 | 0.8 | 74 | 67 ± 7.4 |
| Apr | 121.9 | 121.9 | 137.2 | 121.9 | 106.7 | 114.3 | 121.9 | 121.9 | 121.9 | 121.9 | 114.3 | 120.5 | 0.7 | 80 | 72 ± 7.5 |
| May | 133.9 | 149.6 | 157.5 | 141.7 | 133.9 | 141.7 | 149.6 | 149.6 | 149.6 | 110.2 | 141.7 | 141.7 | 0.8 | 106 | 95 ± 12.7 |
| Jun | 137.2 | 152.4 | 144.8 | 121.9 | 129.5 | 137.2 | 144.8 | 137.2 | 114.3 | 144.8 | 137.2 | 136.5 | 0.8 | 112 | 101 ± 11 |
| Jul | 133.9 | 149.6 | 141.7 | 141.7 | 126 | 141.7 | 133.9 | 157.5 | 133.9 | 133.9 | 141.7 | 139.6 | 0.9 | 131 | 118 ± 8.7 |
| Aug | 133.9 | 126 | 133.9 | 118.1 | 141.7 | 141.7 | 126 | 126 | 133.9 | 133.9 | 118.1 | 130.3 | 0.9 | 113 | 102 ± 8.2 |
| Sep | 106.7 | 114.3 | 114.3 | 106.7 | 106.7 | 106.7 | 106.7 | 114.3 | 106.7 | 114.3 | 114.3 | 110.1 | 1.1 | 120 | 108 ± 4 |
| Oct | 94.5 | 94.5 | 78.7 | 78.7 | 86.6 | 86.6 | 86.6 | 86.6 | 78.7 | 86.6 | - | 85.8 | 0.9 | 81 | 73 ± 5.8 |
| Nov | 53.3 | 53.3 | 53.3 | 53.3 | 53.3 | 53.3 | 61 | 53.3 | 53.3 | 61 | - | 54.9 | 0.9 | 47 | 42 ± 3.2 |
| Dec | 39.4 | 31.5 | 47.2 | 39.4 | 47.2 | 39.4 | 47.2 | 47.2 | 47.2 | 39.4 | - | 42.5 | 0.9 | 37 | 33 ± 5.5 |
| Treatment | Irrigation Requirement by Crop Evapotranspiration (1 ET, %) | Tree Status |
|---|---|---|
| 1 | 100 | HLB |
| 2 | 100 | NHLB |
| 3 | 80 | HLB |
| 4 | 80 | NHLB |
| Month, Year | Maximum Temperature | Minimum Temperature | Mean Temperature | Humidity | Radiation | 1 ETo | 2 ETc NHLB | 3 ETc HLB |
|---|---|---|---|---|---|---|---|---|
| ---------- °C ---------- | (%) | (MJ m−2 d−1) | ------ (mm d−1) ------- | |||||
| Oct 2019 | 27.3 ± 1.2 | 26.2 ± 1.2 | 26.7 ± 1.2 | 73.9 ± 4.3 | 5.0 ± 0.4 | 2.2 ± 0.2 | 2.1 ± 0.1 | 1.6 ± 0.0 |
| Nov 2019 | 22.9 ± 1.9 | 21.9 ± 1.8 | 22.4 ± 1.9 | 68.9 ± 0.9 | 4.5 ± 0.8 | 1.8 ± 0.5 | 1.5 ± 0.4 | 1.1 ± 0.3 |
| Dec 2019 | 22.0 ± 2.6 | 21.0 ± 2.4 | 21.5 ± 2.5 | 71.7 ± 2.8 | 3.4 ± 1.6 | 1.2 ± 0.9 | 1.0 ± 0.8 | 0.7 ± 0.6 |
| Jan 2020 | 21.7 ± 2.7 | 20.7 ± 2.7 | 21.2 ± 2.7 | 64.2 ± 2.5 | 4.1 ± 1.1 | 1.5 ± 0.7 | 1.4 ± 0.5 | 1.1 ± 0.4 |
| Feb 2020 | 22.9 ± 1.9 | 21.8 ± 1.9 | 22.3 ± 1.9 | 62.9 ± 3.4 | 5.1 ± 0.4 | 2.0 ± 0.4 | 1.8 ± 0.3 | 1.5 ± 0.1 |
| Mar 2020 | 22.7 ± 2.1 | 21.7 ± 2.0 | 22.2 ± 2.0 | 56.7 ± 7.8 | 6.4 ± 0.6 | 2.4 ± 0.0 | 2.0 ± 0.1 | 1.6 ± 0.0 |
| May 2020 | 27.9 ± 1.7 | 26.7 ± 1.6 | 27.3 ± 1.6 | 69.1 ± 1.0 | 6.9 ± 0.9 | 3.2 ± 0.5 | 2.4 ± 0.2 | 1.7 ± 0.1 |
| Jun 2020 | 28.8 ± 2.2 | 27.6 ± 2.2 | 28.2 ± 2.2 | 69.4 ± 1.2 | 7.1 ± 1.0 | 3.3 ± 0.6 | 2.7 ± 0.4 | 1.9 ± 0.2 |
| Jul 2020 | 29.4 ± 2.7 | 28.2 ± 2.7 | 28.8 ± 2.7 | 71.3 ± 2.5 | 6.7 ± 0.7 | 3.2 ± 0.5 | 3.0 ± 0.6 | 2.0 ± 0.3 |
| Aug 2020 | 29.7 ± 2.9 | 28.5 ± 2.9 | 29.1 ± 2.9 | 71.5 ± 2.7 | 6.9 ± 0.9 | 3.3 ± 0.6 | 2.9 ± 0.5 | 2.2 ± 0.4 |
| Sep 2020 | 30.2 ± 3.2 | 29 ± 3.20 | 29.6 ± 3.2 | 71.6 ± 2.7 | 8.1 ± 1.7 | 4.0 ± 1.1 | 4.4 ± 1.6 | 3.0 ± 1.0 |
| Jan 2021 | 19.6 ± 4.3 | 18.3 ± 4.3 | 18.9 ± 4.3 | 67.5 ± 0.1 | 3.7 ± 1.4 | 1.5 ± 0.7 | 1.4 ± 0.5 | 1.1 ± 0.4 |
| Feb 2021 | 22.5 ± 2.2 | 21.3 ± 2.2 | 21.9 ± 2.2 | 68.0 ± 0.2 | 3.9 ± 1.2 | 1.6 ± 0.6 | 1.4 ± 0.5 | 1.2 ± 0.3 |
| Mar 2021 | 23.6 ± 1.4 | 22.2 ± 1.6 | 22.9 ± 1.5 | 65.1 ± 1.8 | 4.9 ± 0.5 | 2.2 ± 0.2 | 1.8 ± 0.2 | 1.5 ± 0.1 |
| Apr 2021 | 25.0 ± 0.5 | 23.6 ± 0.6 | 24.3 ± 0.5 | 64.0 ± 2.6 | 6.1 ± 0.3 | 2.8 ± 0.2 | 1.8 ± 0.2 | 1.7 ± 0.1 |
| May 2021 | 27.7 ± 1.5 | 26.3 ± 1.3 | 27.0 ± 1.4 | 60.1 ± 5.4 | 6.4 ± 0.5 | 3.1 ± 0.4 | 2.3 ± 0.1 | 1.7 ± 0.1 |
| Jun 2021 | 28.8 ± 2.2 | 27.6 ± 2.3 | 28.2 ± 2.2 | 69.0 ± 0.9 | 6.0 ± 0.2 | 2.7 ± 0.2 | 2.2 ± 0.0 | 1.6 ± 0.0 |
| Jul 2021 | 28.4 ± 2.0 | 27.5 ± 2.1 | 28.0 ± 2.1 | 74.2 ± 4.6 | 6.4 ± 0.6 | 2.7 ± 0.2 | 2.5 ± 0.3 | 1.7 ± 0.1 |
| Treatment | 1 Yo | 2 A | 2 B | R2 | 3 RMSE (g h−1 cm−2) | p-Value 3 |
|---|---|---|---|---|---|---|
| August–September 2020 | ||||||
| HLB_100 | −5.3 | 2.7 | −0.11 | 0.37 | 6.0 | ** |
| HLB_80 | −11.6 | 5.2 | −0.22 | 0.37 | 12.9 | ** |
| NHLB_100 | −5.8 | 2.8 | −0.12 | 0.41 | 6.5 | ** |
| NHLB_80 | −8.3 | 4.1 | −0.18 | 0.39 | 10.0 | ** |
| Pooled | −7.7 | 3.7 | −0.16 | 0.35 | 9.3 | ** |
| March–April 2021 | ||||||
| HLB_100 | −8.6 | 3.3 | −0.12 | 0.53 | 6.5 | *** |
| HLB_80 | −7.7 | 3.1 | −0.12 | 0.58 | 5.3 | *** |
| NHLB_100 | −16.6 | 6.4 | −0.23 | 0.52 | 12.8 | *** |
| NHLB_80 | −6.9 | 2.9 | −0.11 | 0.51 | 5.7 | *** |
| Pooled | −10.0 | 3.9 | −0.14 | 0.42 | 8.9 | *** |
| June–July 2021 | ||||||
| HLB_100 | −4.8 | 2.3 | −0.02 | 0.59 | 2.4 | *** |
| HLB_80 | −8.1 | 3.5 | −0.14 | 0.56 | 5.9 | *** |
| NHLB_100 | −5.6 | 2.4 | −0.10 | 0.57 | 4.1 | *** |
| NHLB_80 | −17.1 | 7.3 | −0.29 | 0.55 | 12.7 | *** |
| Pooled | −8.9 | 3.9 | −0.15 | 0.38 | 9.1 | *** |
Disclaimer/Publisher’s Note: The statements, opinions and data contained in all publications are solely those of the individual author(s) and contributor(s) and not of MDPI and/or the editor(s). MDPI and/or the editor(s) disclaim responsibility for any injury to people or property resulting from any ideas, methods, instructions or products referred to in the content. |
© 2023 by the authors. Licensee MDPI, Basel, Switzerland. This article is an open access article distributed under the terms and conditions of the Creative Commons Attribution (CC BY) license (https://creativecommons.org/licenses/by/4.0/).
Share and Cite
Kwakye, S.; Kadyampakeni, D.M. Impact of Deficit Irrigation on Growth and Water Relations of HLB-Affected Citrus Trees under Greenhouse Conditions. Water 2023, 15, 2085. https://doi.org/10.3390/w15112085
Kwakye S, Kadyampakeni DM. Impact of Deficit Irrigation on Growth and Water Relations of HLB-Affected Citrus Trees under Greenhouse Conditions. Water. 2023; 15(11):2085. https://doi.org/10.3390/w15112085
Chicago/Turabian StyleKwakye, Samuel, and Davie M. Kadyampakeni. 2023. "Impact of Deficit Irrigation on Growth and Water Relations of HLB-Affected Citrus Trees under Greenhouse Conditions" Water 15, no. 11: 2085. https://doi.org/10.3390/w15112085
APA StyleKwakye, S., & Kadyampakeni, D. M. (2023). Impact of Deficit Irrigation on Growth and Water Relations of HLB-Affected Citrus Trees under Greenhouse Conditions. Water, 15(11), 2085. https://doi.org/10.3390/w15112085

