Modeling the Effect of Hyporheic Flow on Solute Residence Time Distributions in Surface Water
Abstract
1. Introduction
2. Methods
2.1. Coupled Simulation Model of Surface Water and Groundwater
2.2. Solute Transport Simulation Model
3. Results and Discussion
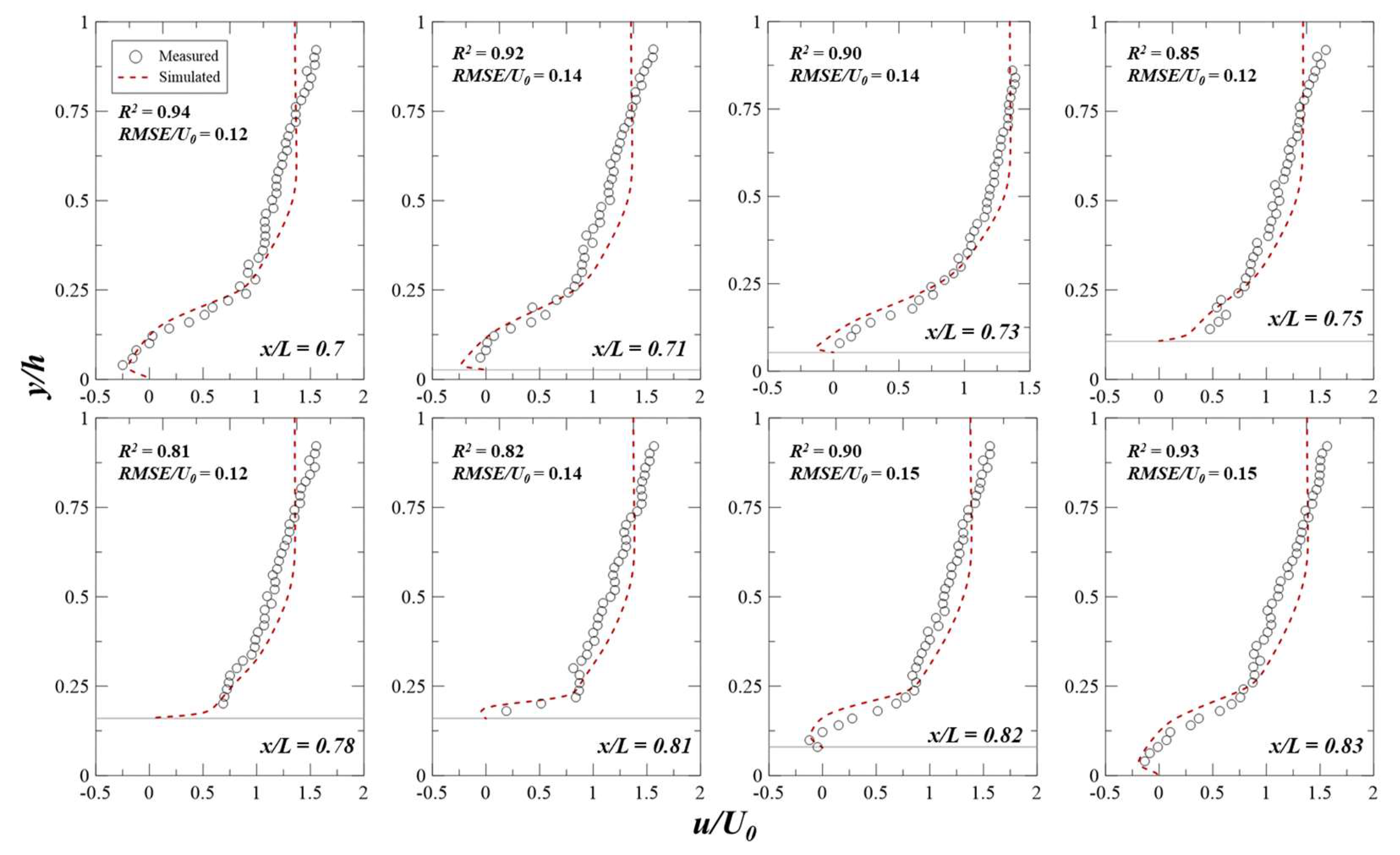
3.1. Results of Model Validation Cases
3.2. Results of Study Cases for Flow Simulation
3.3. Results of Study Cases for Transport Simulation
4. Conclusions
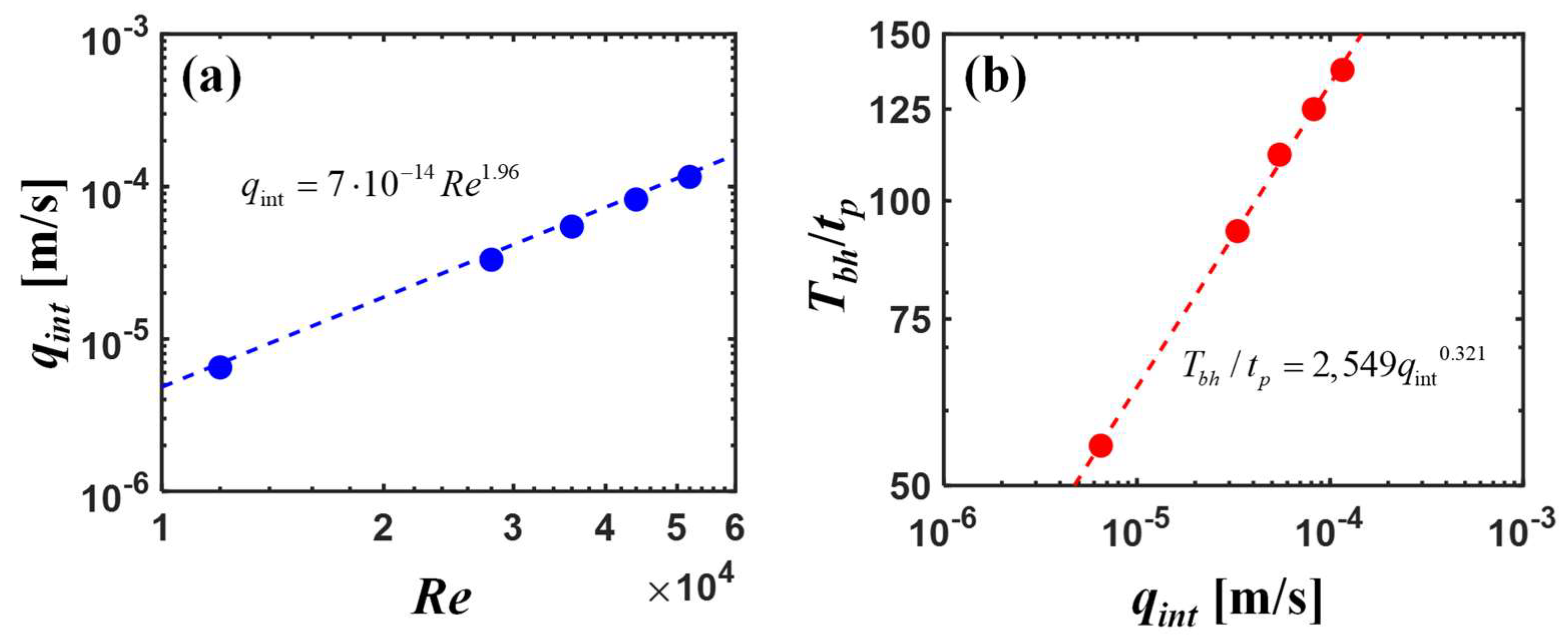
- The power-law relationship between qint and Re was valid in fast flow conditions with Re larger than 25,000. The faster surface-water velocity resulted in a stronger bottom pressure gradient, thereby producing a stronger hyporheic flux.
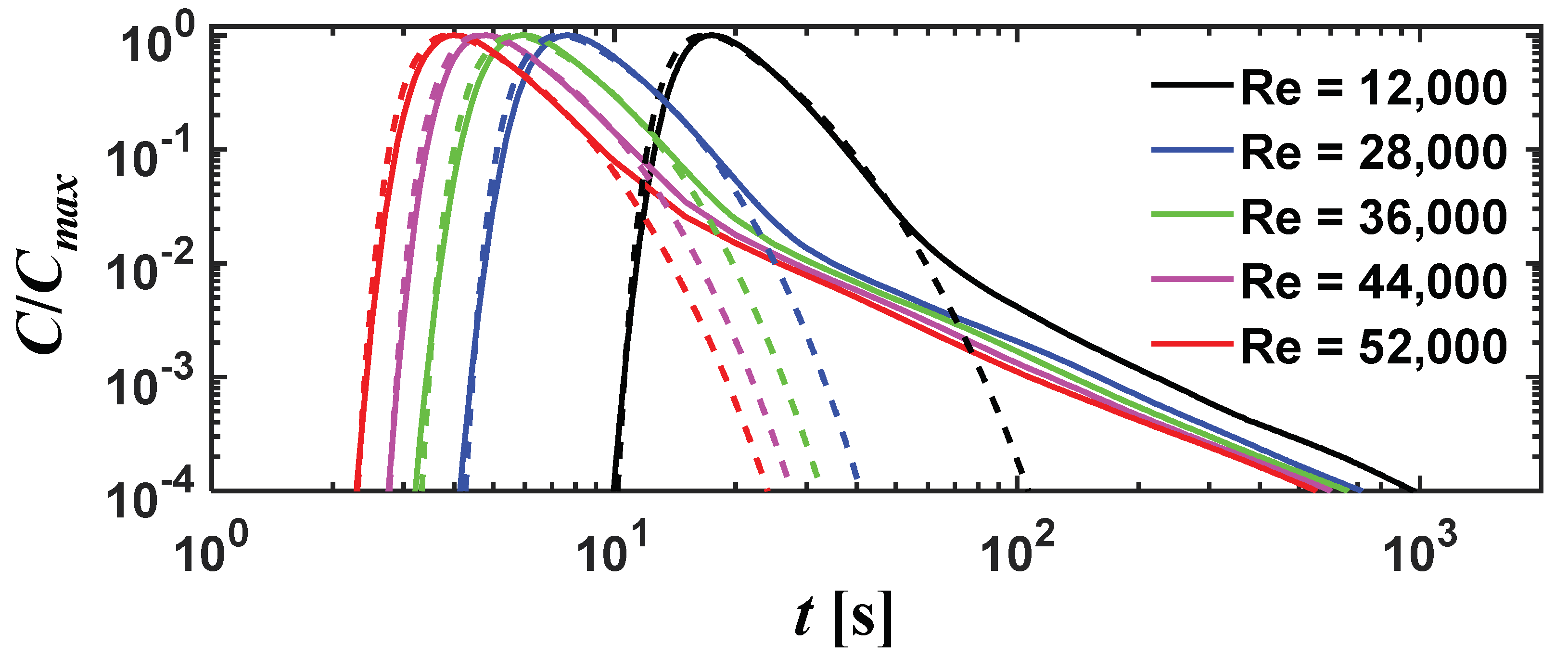
- Study cases with hyporheic flow exhibited strong late-time tailing in BTCs, which is driven by the storage effect of hyporheic zones. In contrast, when the hyporheic flow was not considered in transport simulation, the BTC tailing behavior was notably weakened. This indicates that hyporheic exchange has a substantial control on non-Fickian transport in surface water.
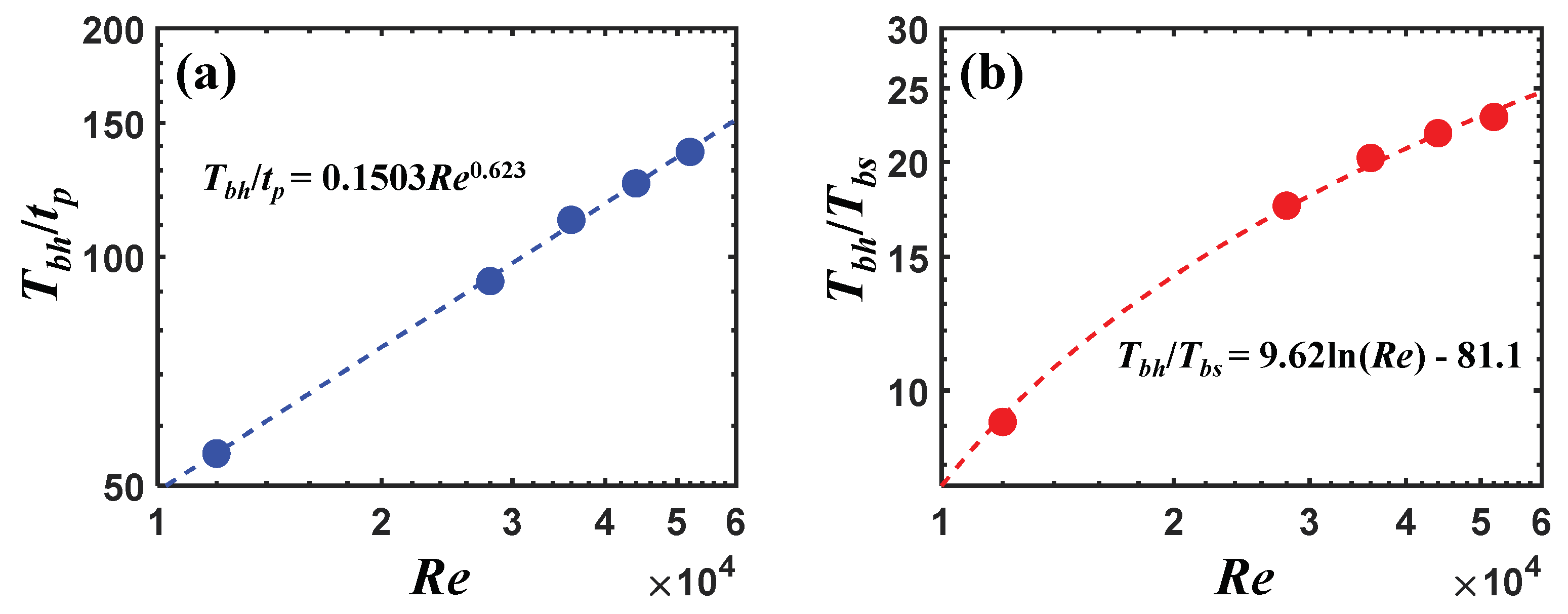
- The increase in Re yielded the extended BTC tailing as indicated by larger Tbh/tp, which had a power-law relationship with both Re and qint. This phenomenon occurred because the stronger hyporheic flow delivers and diffuses solute tracers into the deeper sediment bed, causing the tracers to travel a longer flow path within the hyporheic zone.
Author Contributions
Funding
Data Availability Statement
Acknowledgments
Conflicts of Interest
References
- Findlay, S. Importance of surface-subsurface exchange in stream ecosystems: The hyporheic zone. Limnol. Oceanogr. 1995, 40, 159–164. [Google Scholar] [CrossRef]
- Boulton, A.J.; Findlay, S.; Marmonier, P.; Stanley, E.H.; Valett, H.M. The functional significance of the hyporheic zone in streams and rivers. Annu. Rev. Ecol. Syst. 1998, 29, 59–81. [Google Scholar] [CrossRef]
- Marzadri, A.; Tonina, D.; Bellin, A. Morphodynamic controls on redox conditions and on nitrogen dynamics within the hyporheic zone: Application to gravel bed rivers with alternate-bar morphology. J. Geophys. Res. Biogeosci. 2012, 117. [Google Scholar] [CrossRef]
- Harvey, J.; Gooseff, M. River corridor science: Hydro-logic exchange and ecological consequences from bedforms to basins. Water Resour. Res. 2015, 51, 6893–6922. [Google Scholar] [CrossRef]
- Haggerty, R.; Wondzell, S.M.; Johnson, M.A. Power law residence time distribution in the hyporheic zone of a 2nd order mountain stream. Geophys. Res. Lett. 2002, 29, 18. [Google Scholar] [CrossRef]
- Runkel, R.L.; Chapra, S.C. An efficient numerical solution of the transient storage equations for solute transport in small streams. Water Resour. Res. 1993, 29, 211–215. [Google Scholar] [CrossRef]
- Kim, J.S.; Seo, I.W.; Baek, D.; Kang, P.K. Recirculating flow-induced anomalous transport in meandering open-channel flows. Adv. Water Resour. 2020, 141, 103603. [Google Scholar] [CrossRef]
- Norman, F.A.; Cardenas, M.B. Heat transport in hy- porheic zones due to bedforms: An experimental study. Water Resour. Res. 2014, 50, 3568–3582. [Google Scholar] [CrossRef]
- Packman, A.I.; Salehin, M.; Zaramella, M. Hyporheic exchange with gravel beds: Basic hydrodynamic interactions and bedform-induced advective flows. J. Hydraul. Eng. 2004, 130, 647–656. [Google Scholar] [CrossRef]
- Janssen, F.; Cardenas, M.B.; Sawyer, A.H.; Dammrich, T.; Krietsch, J.; de Beer, D. A comparative experimental and multiphysics computational fluid dynamics study of coupled surface—Subsurface flow in bed forms. Water Resour. Res. 2012, 48. [Google Scholar] [CrossRef]
- Ribberink, J.S.; Al-Salem, A.A. Sediment transport in oscillatory boundary layers in cases of rippled beds and sheet flow. J. Geophys. Res. Ocean. 1994, 99, 12707–12727. [Google Scholar] [CrossRef]
- Ahn, M.; Kim, Y.; Ji, U.; Gu, J.; Ko, J.; Bae, I.; Kang, H. Measurement and analysis of nitrous oxide emissions over time around a dune in the experimental flume. J. Korean Soc. Environ. Eng. 2019, 41, 228–234. [Google Scholar] [CrossRef]
- Cardenas, M.B.; Wilson, J.L. Dunes, turbulent eddies, and interfacial exchange with permeable sediments. Water Resour. Res. 2007, 43. [Google Scholar] [CrossRef]
- Ren, J.; Wang, X.; Zhou, Y.; Chen, B.; Men, L. An analysis of the factors affecting hyporheic exchange based on numerical modeling. Water 2019, 11, 665. [Google Scholar] [CrossRef]
- Liu, Y.; Wallace, C.D.; Zhou, Y.; Ershadnia, R.; Behzadi, F.; Dwivedi, D.; Xue, L.; Soltanian, M.R. Influence of streambed heterogeneity on hyporheic flow and sorptive solute transport. Water 2020, 12, 1547. [Google Scholar] [CrossRef]
- Lee, A.; Aubeneau, A.F.; Cardenas, M.B. The sensitivity of hyporheic exchange to fractal properties of riverbeds. Water Resour. Res. 2020, 56. [Google Scholar] [CrossRef]
- Ren, J.; Zhao, B. Model-based analysis of the effects of rippled bed morphologies on hyporheic exchange. J. Hydrol. Eng. 2020, 25. [Google Scholar] [CrossRef]
- Hester, E.T.; Young, K.I.; Widdowson, M.A. Mixing of surface and groundwater induced by riverbed dunes: Implications for hyporheic zone definitions and pollutant reactions. Water Resour. Res. 2013, 49, 5221–5237. [Google Scholar] [CrossRef]
- Wang, N.; Zhang, C.; Xiao, Y.; Jin, G.; Li, L. Transverse hyporheic flow in the cross-section of a compound river system. Adv. Water Resour. 2018, 122, 263–277. [Google Scholar] [CrossRef]
- Houzé, C.; Durand, V.; Mügler, C.; Pessel, M.; Monvoisin, G.; Courbet, C.; Noûs, C. Combining experimental and modelling approaches to monitor the transport of an artificial tracer through the hyporheic zone. Hydrol. Process. 2022, 36. [Google Scholar] [CrossRef]
- Lee, A.; Aubeneau, A.F.; Cardenas, M.B.; Liu, X. Hyporheic exchange due to cobbles on sandy beds. Water Resour. Res. 2022, 58. [Google Scholar] [CrossRef]
- Chen, X.; Cardenas, M.B.; Chen, L. Three dimensional versus two-dimensional bed form induced hyporheic exchange. Water Resour. Res. 2015, 51, 2923–2936. [Google Scholar] [CrossRef]
- Jin, G.; Zhang, Z.; Li, R.; Chen, C.; Tang, H.; Li, L.; Barry, D.A. Transport of zinc ions in the hyporheic zone: Experiments and simulations. Adv. Water Resour. 2020, 146. [Google Scholar] [CrossRef]
- Motamedi, A.; Afzalimehr, H.; Singh, V.P.; Dufresne, L. Experimental study on the influence of dune dimensions on flow separation. J. Hydrol. Eng. 2014, 19, 78–86. [Google Scholar] [CrossRef]
- Menter, F.R. Zonal two-equation k-ω turbulence model for aerodynamic flows. In Proceedings of the AIAA 24th Fluid Dynamic Conference, Orlando, FL, USA, 6–9 July 1993. [Google Scholar]
- Argyropoulos, C.D.; Markatos, N.C. Recent advances on the numerical modelling of turbulent flows. Appl. Math. Model. 2015, 39, 693–732. [Google Scholar] [CrossRef]
- Tominaga, Y.; Stathopoulos, T. Turbulent Schmidt numbers for CFD analysis with various types of flowfield. Atmos. Environ. 2007, 41, 8091–8099. [Google Scholar] [CrossRef]
- Alavian, V. Dispersion tensor in rotating flows. J. Hydraul. Eng. 1986, 112, 771–777. [Google Scholar] [CrossRef]
- Moltyaner, G.L.; Killey, R.W.D. Twin lake tracer tests: Transverse dispersion. Water Resour. Res. 1988, 24, 1628–1637. [Google Scholar] [CrossRef]
- Cardenas, M.B.; Wilson, J.L.; Haggerty, R. Residence time of bedform-driven hyporheic exchange. Adv. Water Resour. 2008, 31, 1382–1386. [Google Scholar] [CrossRef]
- Versteeg, H.K.; Malalasekera, W. An Introduction to Computational Fluid Dynamics: The Finite Volume Method; Pearson Education: London, UK, 2007. [Google Scholar]
- Cardenas, M.B.; Wilson, J.L. The influence of ambient groundwater discharge on exchange zones induced by current–bedform interactions. J. Hydrol. 2006, 331, 103–109. [Google Scholar] [CrossRef]
- Drummond, J.D.; Covino, T.P.; Aubeneau, A.F.; Leong, D.; Patil, S.; Schumer, R.; Packman, A.I. Effects of solute breakthrough curve tail truncation on residence time estimates: A synthesis of solute tracer injection studies. J. Geophys. Res. Biogeosci. 2012, 117. [Google Scholar] [CrossRef]
- Shen, G.; Yuan, J.; Phanikumar, M.S. Quantifying the effects of bed roughness on transit time distributions via direct numerical simulations of turbulent hyporheic exchange. Water Resour. Res. 2022, 58, e2021WR030503. [Google Scholar] [CrossRef]
- Kim, J.S.; Kang, P.K. Anomalous transport through free-flow-porous media interface: Pore-scale simulation and predictive modeling. Adv. Water Resour. 2020, 135, 103467. [Google Scholar] [CrossRef]










| Parameter | Value or Relation |
|---|---|
| S | |
| F1 | |
| F2 | |
| Pk | |
| CDkω | |
| α, α1 | 0.55 |
| α2 | 0.44 |
| β, β1 | 0.075 |
| β2 | 0.0828 |
| β* | 0.09 |
| σk1 | 0.85 |
| σk2 | 1.0 |
| σω1 | 0.5 |
| σω2 | 0.856 |
Disclaimer/Publisher’s Note: The statements, opinions and data contained in all publications are solely those of the individual author(s) and contributor(s) and not of MDPI and/or the editor(s). MDPI and/or the editor(s) disclaim responsibility for any injury to people or property resulting from any ideas, methods, instructions or products referred to in the content. |
© 2023 by the authors. Licensee MDPI, Basel, Switzerland. This article is an open access article distributed under the terms and conditions of the Creative Commons Attribution (CC BY) license (https://creativecommons.org/licenses/by/4.0/).
Share and Cite
Jung, S.H.; Kim, J.S. Modeling the Effect of Hyporheic Flow on Solute Residence Time Distributions in Surface Water. Water 2023, 15, 2038. https://doi.org/10.3390/w15112038
Jung SH, Kim JS. Modeling the Effect of Hyporheic Flow on Solute Residence Time Distributions in Surface Water. Water. 2023; 15(11):2038. https://doi.org/10.3390/w15112038
Chicago/Turabian StyleJung, Sung Hyun, and Jun Song Kim. 2023. "Modeling the Effect of Hyporheic Flow on Solute Residence Time Distributions in Surface Water" Water 15, no. 11: 2038. https://doi.org/10.3390/w15112038
APA StyleJung, S. H., & Kim, J. S. (2023). Modeling the Effect of Hyporheic Flow on Solute Residence Time Distributions in Surface Water. Water, 15(11), 2038. https://doi.org/10.3390/w15112038

