Refining Assignment of Runoff Control Targets with a Landscape Statistical Model: A Case Study in the Beijing Urban Sub-Center, China
Abstract
:1. Introduction
2. Methodology and Data
2.1. Study Area
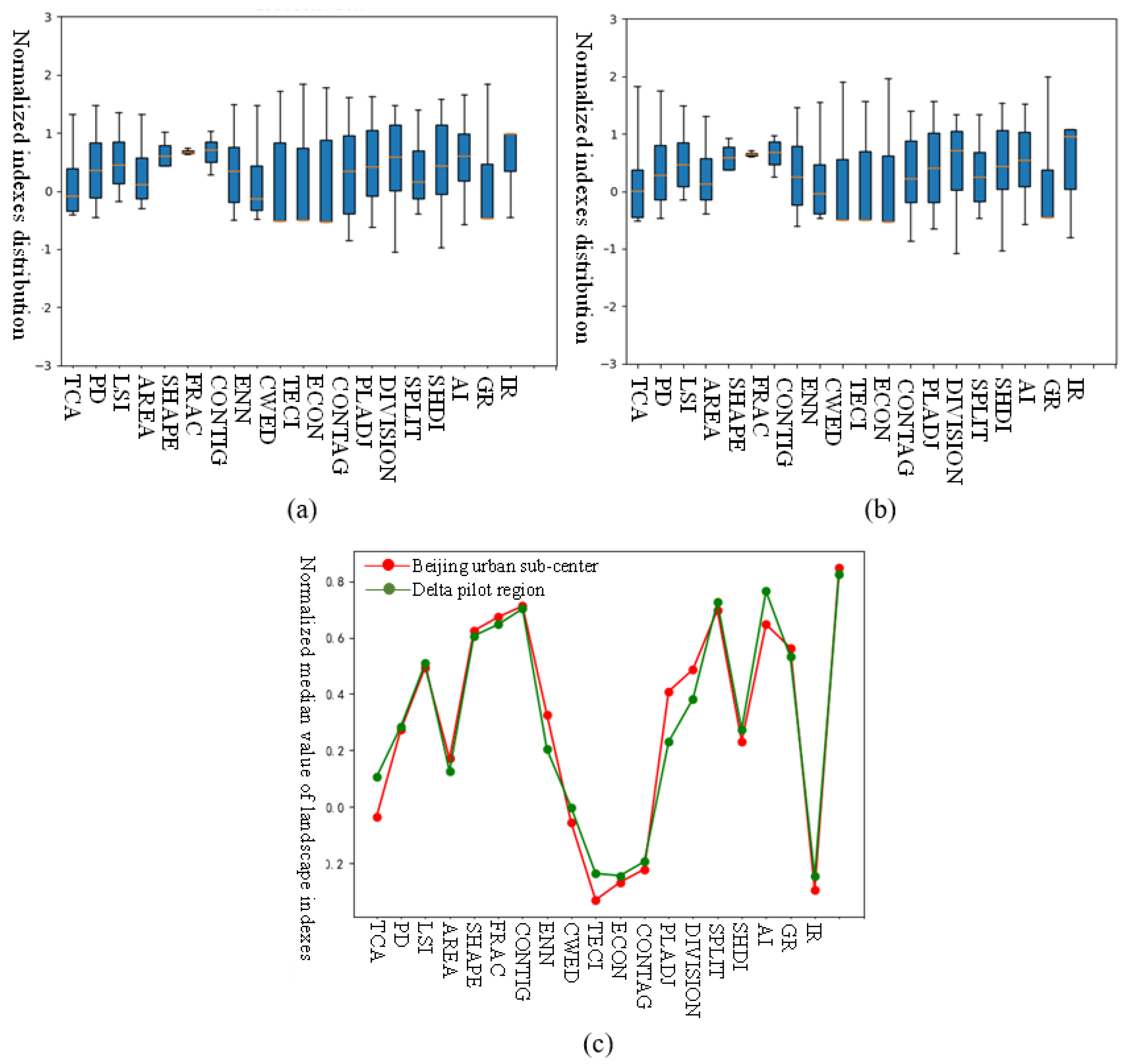
2.2. Quantification of Landscape Indices
2.3. Runoff Simulated by Hydrological Model
2.4. Assignment of the ARVCR Target
Statistical Model Development
3. Results and Discussion
3.1. Landscape Patterns of Different Land-Use Functions
3.2. Statistical Model for Quantifying Runoff Volume Control Capacity with Landscape Indices
3.3. Assignment of the ARVCR Target with a Statistical Model That Considers Landscape
4. Conclusions
Supplementary Materials
Author Contributions
Funding
Data Availability Statement
Conflicts of Interest
References
- Li, C.; Liu, M.; Hu, Y.; Shi, T.; Qu, X.; Walter, M.T. Effects of urbanization on direct runoff characteristics in urban functional zones. Sci. Total Environ. 2018, 643, 301–311. [Google Scholar] [CrossRef]
- Saadi, M.; Oudin, L.; Ribstein, P. Physically consistent conceptual rainfall–runoff model for urbanized catchments. J. Hydrol. 2021, 599, 126394. [Google Scholar] [CrossRef]
- Yao, L.; Wu, Z.; Wang, Y.; Sun, S.; Wei, W.; Xu, Y. Does the spatial location of green roofs affects runoff mitigation in small urbanized catchments? J. Environ. Manag. 2020, 268, 110707. [Google Scholar] [CrossRef] [PubMed]
- Yin, D.; Chen, Y.; Jia, H.; Wang, Q.; Chen, Z.; Xu, C.; Li, Q.; Wang, W.; Yang, Y.; Fu, G.; et al. Sponge city practice in China: A review of construction, assessment, operational and maintenance. J. Clean. Prod. 2021, 280, 124963. [Google Scholar] [CrossRef]
- Selbig, W.R.; Loheide, S.P.; Shuster, W.; Scharenbroch, B.C.; Coville, R.C.; Kruegler, J.; Avery, W.; Haefner, R.; Nowak, D. Quantifying the stormwater runoff volume reduction benefits of urban street tree canopy. Sci. Total Environ. 2022, 806, 151296. [Google Scholar] [CrossRef]
- Zhu, P.; Zhang, G.; Wang, H.; Yang, H.; Zhang, B.; Wang, L. Effectiveness of typical plant communities in controlling runoff and soil erosion on steep gully slopes on the Loess Plateau of China. J. Hydrol. 2021, 602, 126714. [Google Scholar] [CrossRef]
- Fan, G.; Lin, R.; Wei, Z.; Xiao, Y.; Shangguan, H.; Song, Y. Effects of low impact development on the stormwater runoff and pollution control. Sci. Total Environ. 2022, 805, 150404. [Google Scholar] [CrossRef]
- Chang, B.; Wherley, B.; Aitkenhead-Peterson, J.A.; McInnes, K.J. Effects of urban residential landscape composition on surface runoff generation. Sci. Total Environ. 2021, 783, 146977. [Google Scholar] [CrossRef]
- Spence, C.; Hosler, J. Representation of stores along drainage networks in heterogenous landscapes for runoff modelling. J. Hydrol. 2007, 347, 474–486. [Google Scholar] [CrossRef]
- Kc, S.; Shrestha, S.; Ninsawat, S.; Chonwattana, S. Predicting flood events in Kathmandu Metropolitan City under climate change and urbanisation. J. Environ. Manag. 2021, 281, 111894. [Google Scholar] [CrossRef]
- Shao, M.; Zhao, G.; Kao, S.-C.; Cuo, L.; Rankin, C.; Gao, H. Quantifying the effects of urbanization on floods in a changing environment to promote water security—A case study of two adjacent basins in Texas. J. Hydrol. 2020, 589, 125154. [Google Scholar] [CrossRef]
- Jahanishakib, F.; Salmanmahiny, A.; Mirkarimi, S.H.; Poodat, F. Hydrological connectivity assessment of landscape ecological network to mitigate development impacts. J. Environ. Manag. 2021, 296, 113169. [Google Scholar] [CrossRef]
- Pal, S.; Debanshi, S. Developing wetland landscape insecurity and hydrological security models and measuring their spatial linkages. Ecol. Inform. 2021, 66, 101461. [Google Scholar] [CrossRef]
- Bin, L.; Xu, K.; Xu, X.; Lian, J.; Ma, C. Development of a Landscape Indicator to Evaluate the Effect of Landscape Pattern on Surface Runoff in the Haihe River Basin. J. Hydrol. 2018, 566, 546–557. [Google Scholar] [CrossRef]
- Larson, K.L.; Andrade, R.; Nelson, K.C.; Wheeler, M.M.; Engebreston, J.M.; Hall, S.J.; Avolio, M.L.; Groffman, P.M.; Grove, M.; Heffernan, J.B.; et al. Municipal regulation of residential landscapes across US cities: Patterns and implications for landscape sustainability. J. Environ. Manag. 2020, 275, 111132. [Google Scholar] [CrossRef]
- Ng, C.K.-C. The Avifauna-Based Biophysical Index (ABI) approach for assessing and planning ecological landscaping in tropical cities. Urban For. Urban Green. 2020, 55, 126850. [Google Scholar] [CrossRef]
- Penghui, J.; Dengshuai, C.; Manchun, L. Farmland landscape fragmentation evolution and its driving mechanism from rural to urban: A case study of Changzhou City. J. Rural. Stud. 2021, 82, 1–18. [Google Scholar] [CrossRef]
- Raines, G.L. Description and comparison of geologic maps with FRAGSTATS—A spatial statistics program. Comput. Geosci. 2002, 28, 169–177. [Google Scholar] [CrossRef]
- Ha, J.; Kim, H.J.; With, K.A. Urban green space alone is not enough: A landscape analysis linking the spatial distribution of urban green space to mental health in the city of Chicago. Landsc. Urban Plan. 2022, 218, 104309. [Google Scholar] [CrossRef]
- Hernández-Moreno, Á.; Echeverría, C.; Sotomayor, B.; Soto, D.P. Relationship between anthropization and spatial patterns in two contrasting landscapes of Chile. Appl. Geogr. 2021, 137, 102599. [Google Scholar] [CrossRef]
- Liu, K.; Li, X.; Wang, S. Characterizing the spatiotemporal response of runoff to impervious surface dynamics across three highly urbanized cities in southern China from 2000 to 2017. Int. J. Appl. Earth Obs. Geoinf. 2021, 100, 102331. [Google Scholar] [CrossRef]
- Silva, C.d.M.; Silva, G.B.L.d. Cumulative effect of the disconnection of impervious areas within residential lots on runoff generation and temporal patterns in a small urban area. J. Environ. Manag. 2020, 253, 109719. [Google Scholar] [CrossRef]
- Pal, S.; Paul, S. Linking hydrological security and landscape insecurity in the moribund deltaic wetland of India using tree-based hybrid ensemble method in python. Ecol. Inform. 2021, 65, 101422. [Google Scholar] [CrossRef]







| Land-Use Type | Area (hm2) | Impervious (%) | Vegetation (%) | Water (%) |
|---|---|---|---|---|
| Public service | 28.8 | 67.4 | 31.4 | 1.2 |
| Commercial | 31.6 | 65.1 | 33.5 | 1.4 |
| Plaza and green space | 50.4 | 71.3 | 24.1 | 4.6 |
| Residential | 106.0 | 69.6 | 26.7 | 3.7 |
| Area Factors | Shape Factors | Distribution Factors | |||
|---|---|---|---|---|---|
| Impervious ratio | IR | Shape Index | Shape | Contiguity Index | Contig |
| Green ratio | GR | Fractal Dimension Index | FRAC | Euclidean Nearest Neighbor Index | ENN |
| Average patch area | AREA | Landscape Shape Index | LSI | Contagion Index | CONTAG |
| Patch density | PD | Total Edge Contrast Index | TECI | Proportion of Like Adjacency | PLADJ |
| Total core area | TCA | Contrast-weighted Edge Density | CWED | Landscape Division Index | DIVISION |
| Edge Contrast Index | ECON | Splitting Index | SPLIT | ||
| Shannon Diversity Index | SHDI | ||||
| Aggregation Index | AI | ||||
| Block Function | Statistical Model | R2 | Sig. F | Durbin–Watson |
|---|---|---|---|---|
| Plaza and green space | 0.812 | 0.009 | 1.557 | |
| Residential | 0.580 | 0.003 | 1.820 | |
| Commercial | 0.883 | 0.002 | 2.313 | |
| Public | 0.610 | 0.039 | 1.928 |
| Land Use | Parameters | Regression Coefficient | Standard Error | Sig. F |
|---|---|---|---|---|
| Plaza and green space | Constant | 0.879 | 0.024 | 0.000 |
| IR | −0.063 | 0.033 | 0.030 | |
| TECI | 0.014 | 0.093 | 0.042 | |
| Residential | Constant | 0.875 | 0.020 | 0.000 |
| IR | −0.133 | 0.070 | 0.009 | |
| CONTIG | 0.095 | 0.227 | 0.038 | |
| SHDI | 0.028 | 0.026 | 0.040 | |
| Commercial | Constant | 0.860 | 0.019 | 0.000 |
| CWED | 0.284 | 0.086 | 0.009 | |
| IR | −0.072 | 0.016 | 0.002 | |
| TECI | −0.178 | 0.070 | 0.032 | |
| Public | Constant | 0.744 | 0.034 | 0.000 |
| GR | 0.263 | 0.187 | 0.043 | |
| ENN | 0.231 | 0.137 | 0.046 |
Publisher’s Note: MDPI stays neutral with regard to jurisdictional claims in published maps and institutional affiliations. |
© 2022 by the authors. Licensee MDPI, Basel, Switzerland. This article is an open access article distributed under the terms and conditions of the Creative Commons Attribution (CC BY) license (https://creativecommons.org/licenses/by/4.0/).
Share and Cite
Liu, Z.; Li, K.; Jia, H.; Wang, Z. Refining Assignment of Runoff Control Targets with a Landscape Statistical Model: A Case Study in the Beijing Urban Sub-Center, China. Water 2022, 14, 1466. https://doi.org/10.3390/w14091466
Liu Z, Li K, Jia H, Wang Z. Refining Assignment of Runoff Control Targets with a Landscape Statistical Model: A Case Study in the Beijing Urban Sub-Center, China. Water. 2022; 14(9):1466. https://doi.org/10.3390/w14091466
Chicago/Turabian StyleLiu, Zijing, Ke Li, Haifeng Jia, and Zheng Wang. 2022. "Refining Assignment of Runoff Control Targets with a Landscape Statistical Model: A Case Study in the Beijing Urban Sub-Center, China" Water 14, no. 9: 1466. https://doi.org/10.3390/w14091466
APA StyleLiu, Z., Li, K., Jia, H., & Wang, Z. (2022). Refining Assignment of Runoff Control Targets with a Landscape Statistical Model: A Case Study in the Beijing Urban Sub-Center, China. Water, 14(9), 1466. https://doi.org/10.3390/w14091466

