Principles and Technical Application of Mixing Zones for Wastewater Discharges to Freshwater and Marine Environments
Abstract
:1. Background
2. Effects of Wastewater Discharges
2.1. Effects on the Benthos and Water Column
- The characteristics of the effluent (flow, volume, and chemistry);
- The discharge regime (frequency and duration);
- The dispersion and dilution of the effluent after discharge;
- The physical, chemical, and biological characteristics of the receiving environment.
2.2. Effects on Human Health
3. Defining a Mixing Zone
3.1. Effluent Mixing
3.2. Information Requirements
- The quality and quantity of the effluent discharged;
- The health of the receiving environment before the effluent is mixed (for new discharges, these background characteristics are best determined prior to consenting);
- The proximity of the discharge to ‘sensitive’ receptors, including protected habitats and other natural resources and human uses of the environment;
- The hydrodynamics of the water body (including those within the mixing zone);
- The physical, chemical and biological interactions between the discharge and the receiving environment;
- The capacity of the receiving environment to assimilate the contaminants in the discharge.
4. International Regulations on Mixing Zones
4.1. Canada
- Best management practices for preventing or limiting harmful impacts to the environment should be applied;
- Best available technologies have been considered in the proposed discharge activity. A DMZ should not be used as an alternative to reasonable and practical treatment of effluent or effluent stream;
- Effluent discharge and water quality within the DMZ should not be acutely toxic to aquatic life;
- Contaminants of potential concern should not bioaccumulate to levels harmful to receptors as a result of conditions within a DMZ;
- Contaminants of potential concern should not accumulate to acutely toxic levels in the water or sediments of the DMZ;
- Conditions within a DMZ should not attract aquatic life or wildlife, causing increased exposure to contaminants of potential concern;
- Negative aesthetic qualities or other nuisance conditions in the receiving waters (e.g., odor, color, scum, oil, floating debris) should not occur as a result of the discharge and/or DMZ;
- Dominance of a nuisance species should not occur as a result of conditions within the DMZ that are due to the discharge;
- Use of a DMZ should not impair the integrity of the water body as a whole.
- A DMZ should be as small as possible to minimize the extent of the receiving environment potentially exposed to chronic toxicity levels;
- A DMZ should not adversely affect sensitive aquatic habitats (e.g., spawning, hatching, rearing areas for fish, overwintering habitats for fish or migratory waterfowl, areas used for aquaculture, etc.);
- A DMZ should maintain adequate zones of passage for migrating fish that do not deter the fish from passing through, do not affect their sense of orientation, and do not pose health risks to migrating species;
- A DMZ should not result in an adverse effect at the edge of the zone on designated water uses in the area (livestock watering and irrigation, drinking water and recreation, etc.);
- A DMZ should not be sited near drinking water intakes or food harvesting areas (e.g., shellfish beds or Indigenous Peoples’ traditional harvesting locations);
- A DMZ should consider setbacks from sensitive areas;
- A DMZ should avoid highly frequented recreational water use areas (e.g., public beach);
- At the edge of the DMZ, water quality should not result in short-term or long-term effects to aquatic life;
- DMZs for adjacent authorized effluent discharges should not overlap with each other;
- The effluent plume within the DMZ should not contact the shoreline of a water body in any manner that would prevent effective mixing and/or result in accumulation of contaminants of potential concern in the sediments;
- Diffusers used to discharge effluent into a DMZ should be designed to maximize mixing.
4.2. United States of America
- Mixing zones do not impair the designated use of the waterbody as a whole;
- Pollutant concentrations within the DMZ are not lethal to organisms passing through the zone (lethality is considered a function of the magnitude of a pollutant concentration and the duration an organism is exposed to that concentration);
- Pollutant concentrations within the mixing zone do not cause significant human health risks considering likely pathways of exposure;
- Mixing zones do not endanger critical areas such as breeding or spawning grounds, habitat for threatened or endangered species, areas with sensitive biota, shellfish beds, fisheries, drinking water intakes and sources, or recreational areas.
- Allocated Impact Zone: in effect, the same as a DMZ. The term has been more commonly used since the publication of guidance to determine environmentally acceptable size of mixing zones around point source discharges into freshwater and marine environments [36];
- Legal Mixing Zone: the mixing zone in a regulatory sense, i.e., the dimensions of the mixing zone as the State authority defines them as opposed to the mixing that naturally occurs in a stream [30];
- Toxic Dilution Zone: a sub-zone within the DMZ that attempts to limit the exposure of aquatic flora and fauna to toxic substances [30]. Two regulatory criteria for toxic substances are recommended by the USEPA: a criterion of maximum concentration for protecting against acute or lethal effects and a criterion of continuous concentration for protecting against chronic effects [64];
- Zone of Initial Dilution: regularly shaped area around the discharge structure that encompasses the regions of pollutant concentrations exceeding the relevant standard(s) under design conditions [65].
- Determine the need for zone;
- Establish the boundaries of the waterbody;
- Analyze current and future discharge data;
- Analyze ecosystem data;
- Develop environmental mapping;
- Assign relative values;
- Determine level of protection;
- Select mixing zone procedure;
- Allocate DMZ;
- Specify quality within DMZ.
4.3. Brazil
4.4. European Union and United Kingdom
4.5. Aotearoa New Zealand
- “The production of conspicuous oil or grease films, scums or foams, or floatable or suspended materials;
- Any conspicuous change in color or visual clarity;
- Any objectionable odor;
- The rendering of freshwater unsuitable for consumption of farm animals;
- Any significant adverse effects on aquatic life.”
5. Case Studies on the Application of Mixing Zones to Different Types of Discharges
5.1. Effects of Municipal UV-Disinfected Effluent on Intertidal and Subtidal Benthic Communities
5.2. Effects of Municipal Secondary-Treated Effluent on Recreational Water Quality
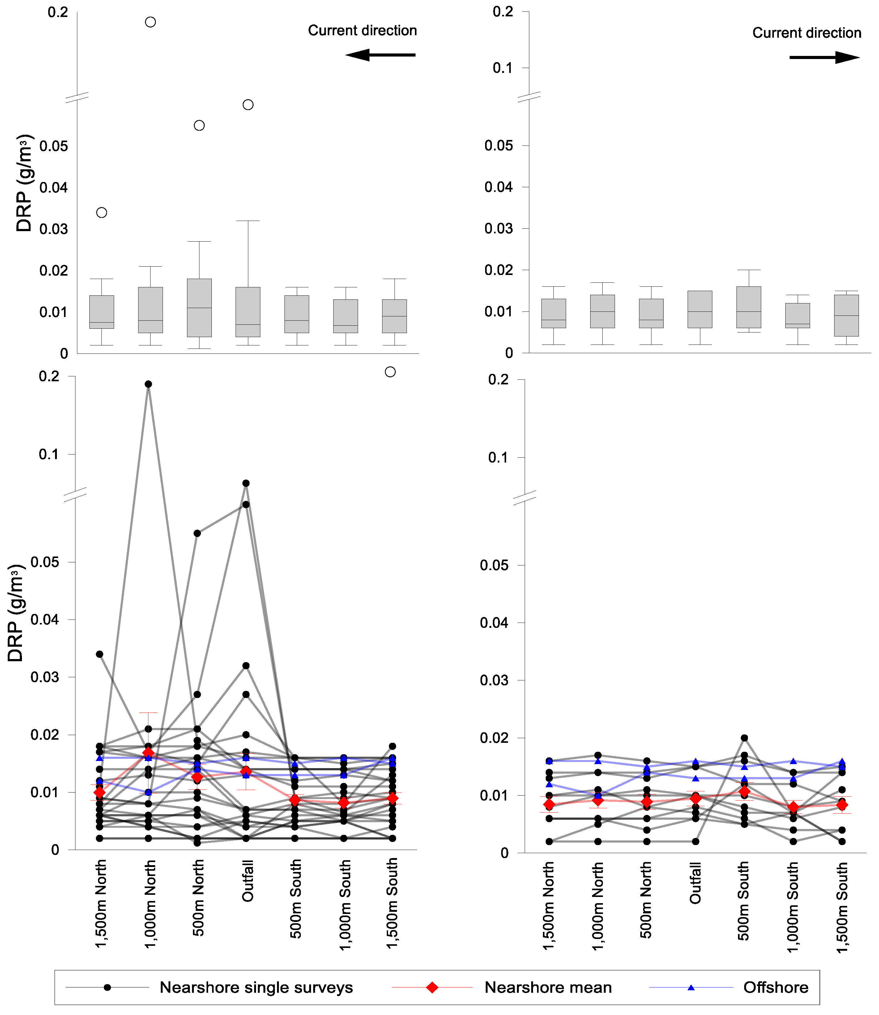
5.3. Effects of an Industrial Discharge on Physical and Chemical Water Quality
6. Conclusions and Recommendations
- The purpose(s) for which the effluent is managed;
- The characteristics of the discharge, including types, concentrations, and volumes of contaminants;
- The location of the outfall and timeline for improvements;
- The characteristics of the receiving environment, including the available dilution and dispersal and the proximity of the discharge to areas of ecological, recreational, cultural or economic value;
- The proposed method of wastewater treatment and timeline for improvements;
- The need to keep the mixing zone as small as possible and to confine any ‘significant’ effects within the mixing zone boundaries.
- Determine the factors that determine incomplete mixing;
- Characterize the bio-transformations of persistent organic pollutants and bio-accumulative chemicals in environments receiving discharges;
- Develop a framework for cumulative effect assessments to contextualize discharge effects with those associated with other contaminant inputs;
- Determine the costs and benefits of DMZ versus alternative advanced treatment options for a range of discharges.
Author Contributions
Funding
Institutional Review Board Statement
Informed Consent Statement
Conflicts of Interest
References
- WWAP. The United Nations World Water Development Report 2017. Wastewater: The Untapped Resource. United Nations World Water Assessment Programme Paris, UNESCO, 2017. Available online: https://www.unwater.org/publications/world-water-development-report-2017/ (accessed on 16 March 2021).
- UN-Habitat, WHO. Progress on Wastewater Treatment—Global Status and Acceleration Needs for SDG Indicator 6.3.1. United Nations Human Settlements Programme (UN-Habitat) and World Health Organization (WHO): Geneva. Available online: https://www.unwater.org/publications/progress-on-wastewater-treatment-631/ (accessed on 18 January 2022).
- Boretti, A.; Rosa, L. Reassessing the projections of the World Water Development Report. NPJ Clean Water 2019, 2, 15. [Google Scholar] [CrossRef]
- Corcoran, E.; Nellemann, C.; Baker, E.; Bos, R.; Osborn, D.; Savelli, H. Sick Water? The Central Role of Wastewater Management in Sustainable Development. A Rapid Response Assessment. United Nations Environment Programme, UN-HABITAT, GRID-Arendal, 2010. Available online: https://gridarendal-website-live.s3.amazonaws.com/production/documents/:s_document/208/original/SickWater_screen.pdf?1486721310 (accessed on 20 May 2021).
- UN-Water. Summary Progress Update 2021—SDG6—Water and Sanitation for All. Version: July 2021. Geneva, Switzerland. Available online: https://www.unwater.org/publications/summary-progress-update-2021-sdg-6-water-and-sanitation-for-all/ (accessed on 5 January 2022).
- UNEP; WHO; HABITAT; WSSCC. Guidelines on Municipal Wastewater Management. UNEP/GPA Coordination Office: The Hague, The Netherlands, 2004. Available online: https://wedocs.unep.org/bitstream/handle/20.500.11822/8848/Guidelines_on_municipal_wastewater_english.pdf?sequence=3&isAllowed=y (accessed on 10 November 2021).
- UNEP. Good Practices for Regulating Wastewater Treatment: Legislation, Policies and Standards. United Nations Environment Programme, 2015. Available online: https://www.unep.org/resources/report/good-practices-regulating-wastewater-treatment-legislations-policies-and-standards (accessed on 18 January 2022).
- National Research Council. Managing Wastewater in Coastal Urban Areas; The National Academies Press: Washington, DC, USA, 1993. [Google Scholar]
- Valente, R.M.; Rhoads, D.C.; Germano, J.D.; Cabelli, V.J. Mapping of benthic enrichment patterns in Narragansett Bay, Rhode Island. Estuaries 1992, 15, 1–17. [Google Scholar] [CrossRef]
- Mallin, M.A.; Cahoon, L.B.; Toothman, B.R.; Parsons, D.C.; McIver, M.R.; Ortwine, M.L.; Harrington, R.N. Impacts of a raw sewage spill on water and sediment quality in an urbanized estuary. Mar. Poll. Bull. 2007, 54, 81–88. [Google Scholar] [CrossRef]
- Méndez-Díaz, M.M.; Jirka, G.H. Buoyant plumes from multiport diffuser discharge in deep coflowing water. J. Hydr. Eng. 1996, 122, 428–435. [Google Scholar] [CrossRef]
- Puente, A.; Diaz, R.J. Response of benthos to ocean outfall discharges: Does a general pattern exist? Mar. Poll. Bull. 2015, 101, 174–181. [Google Scholar] [CrossRef]
- Diaz, R.J.; Rhoads, D.C.; Blake, J.A.; Kropp, R.K.; Keay, K.E. Long-term trends of benthic habitats related to reduction in wastewater discharge to Boston Harbor. Estuaries Coast. 2008, 31, 1184–1197. [Google Scholar] [CrossRef]
- Diener, D.R.; Fuller, S.C.; Lissner, A.; Haydock, C.I.; Maurer, D.; Robertson, G.; Gerlinger. Spatial and temporal patterns of the infaunal community near a major ocean outfall in Southern California. Mar. Poll. Bull. 1995, 30, 861–878. [Google Scholar] [CrossRef]
- Gücker, B.; Brauns, M.; Pusch, M.T. Effects of wastewater treatment plant discharge on ecosystem structure and function of lowland streams. J. N. Am. Benthol. Soc. 2006, 25, 313–329. [Google Scholar] [CrossRef]
- Ashton, P.H.; Richardson, B.J. Biological monitoring of the marine ocean outfall at Black Rock, Victoria, Australia. Mar. Poll. Bull. 1995, 31, 334–340. [Google Scholar] [CrossRef]
- Burd, B.; Bertold, S.; Macdonald, T. Responses of infaunal composition, biomass and production to discharges from a marine outfall over the past decade. Mar. Poll. Bull. 2012, 64, 1837–1852. [Google Scholar] [CrossRef]
- ANZECC & ARMCANZ. Australian Guidelines for Sewerage Systems. Effluent Management. Report of the Agriculture and Resource Management Council of Australia and New Zealand and Australian and New Zealand Environment and Conservation Council. 1997. Available online: https://www.waterquality.gov.au/sites/default/files/documents/effluent-management.pdf (accessed on 10 January 2022).
- NZWERF. New Zealand Municipal Wastewater Monitoring Guidelines. Report of the New Zealand Water Environment Research Foundation SMF No. 4173. 2002. Available online: https://www.waternz.org.nz/Article?Action=View&Article_id=33 (accessed on 20 April 2020).
- Pearson, T.H.; Rosenberg, R. Macrobenthic succession in relation to organic enrichment and pollution of the marine environment. Oceanogr. Mar. Biol. Ann. Rev. 1978, 16, 229–311. [Google Scholar]
- Schiff, K. Sediment chemistry on the mainland shelf pf the Southern California Bight. Mar. Poll. Bull. 2000, 40, 268–276. [Google Scholar] [CrossRef]
- Dubé, M.; Johnson, B.; Dunn, G.; Culp, J.; Cash, K.; Munkittrick, K.; Wong, I.; Hedley, K.; Booty, W.; Lam, D.; et al. Development of a new approach to cumulative effects assessment: A northern river ecosystem example. Environ. Monit. Assess. 2006, 113, 87–115. [Google Scholar] [CrossRef]
- ANZECC & ARMCANZ. Australian and New Zealand Guidelines for Fresh and Marine Water Quality, Volume 2, Aquatic Ecosystems—Rationale and Background Information. 2000. Available online: https://www.waterquality.gov.au/sites/default/files/documents/anzecc-armcanz-2000-guidelines-vol2.pdf (accessed on 1 December 2021).
- Fleisher, J.M.; Kay, D.; Wyer, M.D.; Godfree, A.F. Estimates of the severity of illnesses associated with bathing in marine recreational waters contaminated with domestic sewage. Int. J. Epidemiol. 1998, 27, 722–726. [Google Scholar] [CrossRef] [Green Version]
- Shuval, H. Estimating the global burden of thalassogenic diseases: Human infectious diseases caused by wastewater pollution of the marine environment. J. Water Health 2003, 1, 53–64. [Google Scholar] [CrossRef] [Green Version]
- Landrigan, P.J.; Stegeman, J.J.; Fleming, L.E.; Allemand, D.; Anderson, D.M.; Backer, L.C.; Brucker-Davis, F.; Chevalier, N.; Corra, L.; Czerucka, D.; et al. Human health and ocean pollution. Ann. Glob. Health 2020, 86, 151. [Google Scholar] [CrossRef]
- WHO. Guidelines for Safe Recreational Water Environments. Volume 1, Coastal and Fresh Waters. 2003. Available online: https://apps.who.int/iris/handle/10665/42591 (accessed on 15 September 2021).
- Loucks, D.P.; van Beek, E. Water quality modeling and prediction. In Water Resource Systems Planning and Management. An Introduction to Methods, Models, and Applications; Loucks, D.P., van Beek, E., Eds.; Deltares: Silver Spring, MD, USA; UNESCO-IHE: Paris, France, 2017. [Google Scholar]
- Johnsplass, J.; Winger, A.C.; Bjørgesaeter, A.; Kleven, M.; Jensen, J.D. Combined integral and particle tracking model for describing the dispersion, dilution, terminal layer formation and influence area from a point source discharge into a water body. Environ. Fluid Mech. 2021, 21, 1009–1034. [Google Scholar] [CrossRef]
- Jirka, G.H. Technical Guidance Manual for Performing Wasteload Allocations. Book III: Estuaries, Part 3: Use of Mixing Zone Models in Estuarine Waste Load Allocations. 1992. Available online: https://www.epa.gov/sites/default/files/2019-12/documents/technical-guidance-wasteload-allocations-book3part3.pdf (accessed on 5 October 2021).
- Bleninger, T.; Jirka, G.H.; Roberts, P.J.W. Mixing Zone Regulations for Marine Outfall Systems. In Proceedings of the International Symposium on Outfall Systems, Mar del Plata, Argentina, 15–18 May 2011. [Google Scholar]
- Jirka, G.H.; Doneker, R.L.; Hinton, S.W. User’s Manual for Cormix: A Hydrodynamic Mixing Zone Model and Decision Support System for Pollutant Discharges into Surface Waters. 1996. Available online: https://www.epa.gov/sites/default/files/2015-10/documents/cormix-users_0.pdf (accessed on 21 October 2021).
- USEPA, Dilution Models for Effluent Discharges. Report EPA/600/R-94/086 of the United States Environmental Protection Agency, Office of Research and Development. 1994. Available online: https://nepis.epa.gov/Exe/ZyPDF.cgi/3000354K.PDF?Dockey=3000354K.PDF (accessed on 15 January 2022).
- Frick, W.E. Visual Plumes mixing zone modeling software. Environ. Model. Softw. 2004, 19, 645–654. [Google Scholar] [CrossRef] [Green Version]
- Morelissen, R.; van der Kaaij, T.; Bleninger, T. Dynamic coupling of near field and far field models for simulating effluent discharges. Water Sci. Technol. 2013, 67, 2210–2220. [Google Scholar] [CrossRef]
- USEPA. Allocated Impact Zones for Areas of Non-Compliance. United States Environmental Protection Agency, Office of Water EPA 823-R-95-003. 1995. Available online: https://nepis.epa.gov/Exe/ZyPDF.cgi/20003Y2F.PDF?Dockey=20003Y2F.PDF (accessed on 22 October 2021).
- Cohen, G.E. Mixing zones: Diluting pollution under the Clean Water Act. Tulane Environ. Law J. 2000, 14, 1–94. [Google Scholar]
- Nielsen, T.K.; Rasmussen, J. On the definition of a mixing zone. Water Sci. Technol. 1983, 15, 161–164. [Google Scholar] [CrossRef]
- Lung, W.-S. Mixing-zone modeling for toxic waste-load allocations. J. Environ. Eng. 1995, 121, 839–842. [Google Scholar] [CrossRef]
- Kay, D.; Crowther, J.; Stapleton, C.M.; Wyer, M.D.; Fewtrell, L.; Edwards, A.; Francis, C.A.; McDonald, A.T.; Watkins, J.; Wilkinson, J. Faecal indicator organism concentrations in sewage and treated effluents. Water Res. 2008, 42, 442–454. [Google Scholar] [CrossRef] [PubMed]
- Jirka, G.H.; Akar, P.J. Hydrodynamic classification of submerged multiport-diffuser discharges. J. Hydraul. Eng. 1991, 117, 1113–1128. [Google Scholar] [CrossRef]
- Jirka, G.H.; Doneker, R.L.; Barnwell, T.O. CORMIX: An expert system for mixing zone analysis. Water Sci. Technol. 1991, 24, 267–274. [Google Scholar] [CrossRef]
- Huang, H.; Fergen, R.E.; Proni, J.R.; Tsai, J.J. Probabilistic analysis of ocean outfall mixing zones. J. Environ. Eng. 1996, 122, 359–367. [Google Scholar] [CrossRef]
- Doneker, R.L.; Jirka, G.H. Boundary schematization in regulatory mixing zone analysis. J. Water Res. Plan. Manag. 2002, 128, 46–56. [Google Scholar] [CrossRef]
- Hunt, C.D.; Mansfield, A.D.; Mickelson, M.J.; Albro, C.S.; Rockwell Geyer, W.; Roberts, P.J.W. Plume tracking and dilution of effluent from the Boston sewage outfall. Mar. Environ. Res. 2010, 70, 150–161. [Google Scholar] [CrossRef]
- Doneker, R.L.; Ramachandran, A.S.; Opila, F. Riverine multiport diffuser dye dilution study and mixing zone modeling. In Proceedings of the World Environmental and Water Resources Congress, West Palm Beach, FL, USA, 22–26 May 2016; pp. 155–165. [Google Scholar]
- Tate, P.M.; Holden, C.J.; Tate, D.J. Influence of plume advection and particle settling on wastewater dispersion and distribution. Mar. Poll. Bull. 2019, 145, 678–690. [Google Scholar] [CrossRef]
- Cleasby, T.E.; Dodge, K.A. Effluent Mixing Characteristics Below Four Wastewater-Treatment Facilities in Southwestern Montana, 1997. USGS Water-Resources Investigations Report 99-4026. 1999. Available online: https://pubs.usgs.gov/wri/1999/4026/report.pdf (accessed on 13 July 2021).
- Benítez, A.J.R.; Gómez, A.G.; Díaz, C.A. Definition of mixing zones in rivers. Environ. Fluid Mech. 2016, 16, 209–244. [Google Scholar] [CrossRef]
- Nezlin, N.P.; Booth, J.A.T.; Beegan, C.; Cash, C.L.; Gully, J.R.; Latker, A.; Mengel, M.J.; Robertson, G.L.; Steele, A.; Weisberg, S.B. Assessment of wastewater impact on dissolved oxygen around southern California’s submerged ocean outfalls. Reg. Stud. Mar. Sci. 2016, 7, 177–184. [Google Scholar] [CrossRef]
- Borja, Á.; Muxika, I.; Franco, J. Long-term recovery of soft-bottom benthos following urban and industrial sewage treatment in the Nervión estuary (southern Bay of Biscay). Mar. Ecol. Prog. Ser. 2006, 313, 43–55. [Google Scholar] [CrossRef] [Green Version]
- Holeton, C.; Chambers, P.A.; Grace, L. Wastewater release and its impacts on Canadian waters. Can. J. Fish. Aquat. Sci. 2011, 68, 1836–1859. [Google Scholar] [CrossRef]
- Besley, C.H.; Birch, G.F. Deepwater ocean outfalls: A sustainable solution for sewage discharge for mega-coastal cities (Sydney, Australia): Influence of deepwater ocean outfalls on shelf benthic infauna. Mar. Poll. Bull. 2019, 145, 724–738. [Google Scholar] [CrossRef]
- MECCS. Development and Use of Initial Dilution Zones in Effluent Discharge Authorizations. Technical Guidance 11: Environmental Management Act, Version 1.0. 2019. Available online: https://www2.gov.bc.ca/assets/gov/environment/waste-management/industrial-waste/industrial-waste/mining-smelt-energy/guidance-documents/tg11_development_and_use_of_idz.pdf (accessed on 7 April 2021).
- Fleisher, J.M.; Kay, D.; Salmon, R.; Jones, F.; Wyer, M.D.; Godfree, A.F. Marine waters contaminated with domestic sewage: Nonenteric illnesses associated with bather exposure in the United Kingdom. Am. J. Public Health 1996, 86, 1228–1234. [Google Scholar] [CrossRef] [Green Version]
- Bagnis, S.; Fitzsimons, M.F.; Snape, J.; Tappin, A.; Comber, S. Impact of the wastewater-mixing zone on attenuation of pharmaceuticals in natural waters: Implications for an impact zone inclusive environmental risk assessment. Sci. Total. Environ. 2019, 658, 42–50. [Google Scholar] [CrossRef]
- OECD. OECD Environmental Performance Reviews: Canada 2017. Chapter 5. Urban Wastewater Management. 2017. Available online: https://www.oecd-ilibrary.org/sites/9789264279612-12-en/index.html?itemId=/content/component/9789264279612-12-en (accessed on 10 December 2021).
- CCME. Canada-Wide Strategy for the Management of Municipal Wastewater Effluent. 2009. Available online: https://www.ccme.ca/en/res/mwwe_strategy_e.pdf (accessed on 28 January 2022).
- Tidball, J.; Atcheson, A.; Buttgieg, B.; Farber, T.; Gratton, L.; Hansen, S. Environmental Law and Practice in Canada: Overview. 2019. Available online: https://content.next.westlaw.com/2-503-2764?__lrTS=20210418003312332&transitionType=Default&contextData=(sc.Default)&firstPage=true (accessed on 15 December 2021).
- BC Laws. Environmental Management Act. 2003. Available online: https://www.bclaws.gov.bc.ca/civix/document/id/complete/statreg/03053_00_multi (accessed on 28 January 2022).
- Cornell Law School. 40 CFR Part 131—Water Quality Standards. 2021. Available online: https://www.law.cornell.edu/cfr/text/40/part-131 (accessed on 31 January 2022).
- USEPA. National Pollutant Discharge Elimination System (NPDES) Permit Writers’ Manual. USEPA EPA-833-K-10-001, Office of Water. 2010. Available online: https://www.epa.gov/sites/default/files/2015-09/documents/pwm_2010.pdf (accessed on 5 January 2022).
- USEPA. Water Quality Standards Handbook. Chapter 5: General Policies. EPA 820-B-14-004, Office of Water. 2014. Available online: https://www.epa.gov/sites/default/files/2014-09/documents/handbook-chapter5.pdf (accessed on 5 October 2020).
- USEPA. CORMIX2: And Expert System for Hydrodynamic Mixing Zone Analysis of Conventional and Toxic Multiport Diffuser Discharges. United States Environmental Protection Agency, Office of Research and Development, EPA/600/3-91/073. 1991. Available online: https://nepis.epa.gov/Exe/ZyPDF.cgi/30000P2W.PDF?Dockey=30000P2W.PDF (accessed on 17 January 2022).
- Muellenhoff, W.P.; Soldate, A.M.; Baumgartner, D.J.; Schuldt, M.D.; Davis, L.R.; Frick, W.E. Initial Mixing Characteristics of Municipal Ocean Discharges. Volume 1—Procedures and Applications. United States Environmental Protection Agency, Environmental Research Laboratory EPA 600 3-85 073a. 1985. Available online: https://nepis.epa.gov/Exe/ZyPDF.cgi/20012V0C.PDF?Dockey=20012V0C.PDF (accessed on 22 October 2021).
- Ministério do Meio Ambiente. Resolução nº 430, de 13 de Maio de 2011, Dispõe Sobre as Condições e Padrões de Lançamento de Efluentes, Complementa e Altera a Resolução No 357, de 17 de Março de 2005, do Conselho Nacional do Meio Ambiente. 2011. Available online: http://conama.mma.gov.br/?option=com_sisconama&task=arquivo.download&id=627 (accessed on 29 August 2021).
- Jirka, G.H.; Bleninger, T.; Burrows, R.; Larsen, T. Environmental Quality Standards in the EC-Water Framework Directive: Consequences for Water Pollution Control for Point Sources. European Water Management Online. 2004. Available online: https://www.ewa-online.eu/tl_files/_media/content/documents_pdf/Publications/E-WAter/documents/74_2004_01l.pdf (accessed on 23 December 2021).
- European Parliament and Council of the European Union. Directive 2000/60/EC of the European Parliament and of the Council of 23 October 2000 establishing a framework for Community action in the field of water policy. Off. J. Eur. Comm. 2000, L327, 1–72. [Google Scholar]
- European Commission. Technical Guidelines for the Identification of Mixing Zones Pursuant to Art. 4 of the Directive 2008/105/EC; European Commission: Brussels, Belgium, 2010; Available online: https://circabc.europa.eu (accessed on 30 January 2022).
- New Zealand Government. Resource Management Act 1991. Version as at 26 November 2021. Available online: https://www.legislation.govt.nz/act/public/1991/0069/latest/DLM230265.html (accessed on 28 January 2022).
- Department of Conservation. NZCPS 2010 Guidance Note. Policy 23: Discharge of Contaminants. 2018. Available online: https://www.doc.govt.nz/globalassets/documents/conservation/marine-and-coastal/coastal-management/guidance/policy-23.pdf (accessed on 5 October 2020).
- Ooke, J.; Milne, P.; Rutherford, K. A Review of Definitions of “Mixing Zones” and “Reasonable Mixing” in Receiving Waters. Technical Report No. 2010/045 prepared for Auckland Regional Council. Available online: https://knowledgeauckland.org.nz/media/1786/tr2010-045-review-of-definitions-of-mixing-zones-and-reasonable-mixing-in-receiving-waters.pdf (accessed on 25 September 2020).
- Campos, C.J.A.; Lees, D.N. Environmental transmission of human noroviruses in shellfish waters. Appl. Environ. Microbiol. 2014, 80, 3552–3561. [Google Scholar] [CrossRef] [Green Version]










| Type of Treatment | Short Outfall | Long Outfall |
|---|---|---|
| None | HIGH | MEDIUM |
| Preliminary | HIGH | LOW |
| Primary (including septic tanks) | HIGH | LOW |
| Secondary | HIGH | LOW |
| Secondary plus disinfection | LOW | VERY LOW |
| Tertiary | MEDIUM | VERY LOW |
| Tertiary plus disinfection | LOW | VERY LOW |
| Lagoons | HIGH | LOW |
| Type of Information | Description | Useful References |
|---|---|---|
| Mixing zone | Description of why the mixing zone is necessary | [36,37] |
| Characteristics of the effluent | Volume, flow rate, and discharge frequency Temperature/density conditions Concentrations of contaminants Contaminant concentrations in the effluent relative to those in the receiving environment Evidence that discharge volume and quality have been optimized to mitigate any effects on the receiving environment Discussion of any potential contaminant bioaccumulation and/or toxicological effects on marine organisms | [23,38,39,40] |
| Outfall/diffuser | Geographical location and design (single/multi-port diffuser, depth in relation to water surface and bed of water body) Anticipated performance (best-/worst-case scenarios) | [41] |
| Physical mixing of the effluent | Type of mixing zone model (water quality, particle tracking, hydrodynamic) and/or field dilution studies List of model input parameters Model calibration/validation/sensitivity testing List of data/metadata records Data suitability/limitations | [30,42,43,44,45,46,47] |
| Characteristics of the receiving environment | Type of waterbody Dilution characteristics Water temperature, salinity, dissolved oxygen conditions (ranges, seasonality) Background water quality Designated water uses and sensitive/protected habitats and resources Relevant water quality criteria/limits/standards/goals | [23,48,49,50] |
| Assessment of ecological effects of the discharge | Nature of the receiving environment, including presence of ecologically, culturally, or economically important species Species at risk Seasonal changes in water quality or presence of migratory species Exposure of aquatic species to contaminants in the discharge | [12,13,14,16,51,52,53,54] |
| Assessment of human health effects of the discharge | Microbiological/chemical hazards Relevant health-based guidelines/targets Recreational, fishery, aquaculture, or other uses (e.g., domestic, industrial, agricultural water supply) Risk of illness from exposure to contaminated waters | [24,52,54,55,56] |
| Ambient Data | |
|---|---|
| Waterbody depth | 11 m |
| Discharge depth | 11 m |
| Ambient current (from drogue studies) | 0.18 m/s |
| Effluent density | 1000 kg/m3 |
| Seafloor roughness | 0.025 Manning’s n |
| Discharge data (alternating staged diffuser) | |
| Total number of ports | 10 |
| Distance between ports (same side) | 4 m |
| Port diameter | 0.25 m |
| Distance to start of diffuser | 350 m |
| Distance to end of diffuser | 368 m |
| Port height off bottom | 0.5 m |
| Effluent flow rate | 9000 m3/day |
| Alignment angle | 97° |
| Receiving water density | 1025 kg/m3 |
Publisher’s Note: MDPI stays neutral with regard to jurisdictional claims in published maps and institutional affiliations. |
© 2022 by the authors. Licensee MDPI, Basel, Switzerland. This article is an open access article distributed under the terms and conditions of the Creative Commons Attribution (CC BY) license (https://creativecommons.org/licenses/by/4.0/).
Share and Cite
Campos, C.J.A.; Morrisey, D.J.; Barter, P. Principles and Technical Application of Mixing Zones for Wastewater Discharges to Freshwater and Marine Environments. Water 2022, 14, 1201. https://doi.org/10.3390/w14081201
Campos CJA, Morrisey DJ, Barter P. Principles and Technical Application of Mixing Zones for Wastewater Discharges to Freshwater and Marine Environments. Water. 2022; 14(8):1201. https://doi.org/10.3390/w14081201
Chicago/Turabian StyleCampos, Carlos J. A., Donald J. Morrisey, and Paul Barter. 2022. "Principles and Technical Application of Mixing Zones for Wastewater Discharges to Freshwater and Marine Environments" Water 14, no. 8: 1201. https://doi.org/10.3390/w14081201
APA StyleCampos, C. J. A., Morrisey, D. J., & Barter, P. (2022). Principles and Technical Application of Mixing Zones for Wastewater Discharges to Freshwater and Marine Environments. Water, 14(8), 1201. https://doi.org/10.3390/w14081201

