Seasonal Enhancement of Nitrogen Removal on Domestic Wastewater Treatment Performance by Partially Saturated and Saturated Hybrid Constructed Wetland
Abstract
:1. Introduction
2. Materials and Methods
2.1. Hybrid Constructed Wetlands
2.2. Sampling Strategy
2.3. Analitycal Methods
3. Results and Discussion
3.1. Influent Physicochemical Characterization
3.2. Parameters in HBCWs
3.3. Concentrations and Removal Efficiencies of Organic Matter and Suspended Solids for the HBCWs System
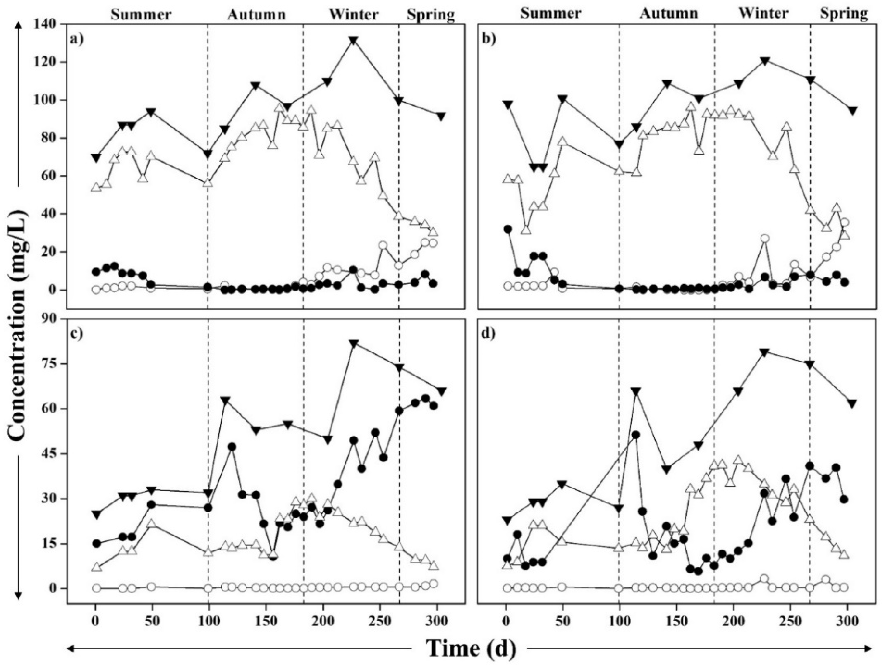
3.4. Concentrations and Removal Efficiencies of Nitrogen for the HBCWs System
3.5. In Situ Spatial Variations and Physical-Chemical Parameters
4. Conclusions
Author Contributions
Funding
Conflicts of Interest
References
- Ye, F.; Li, Y. Enhancement of nitrogen removal in towery hybrid constructed wetland to treat domestic wastewater for small rural communities. Ecol. Eng. 2009, 35, 1043–1050. [Google Scholar] [CrossRef]
- Vera, I.; García, J.; Sáez, K.; Moragas, L.; Vidal, G. Performance evaluation of eight years experience of constructed wetland systems in Catalonia as alternative treatment for small communities. Ecol. Eng. 2011, 37, 364–371. [Google Scholar] [CrossRef]
- Ayaz, Ç.; Aktaş, Ö.; Akça, L.; Fındık, N. Effluent quality and reuse potential of domestic wastewater treated in a pilot-scale hybrid constructed wetland system. J. Environ. Manag. 2015, 156, 115–120. [Google Scholar] [CrossRef] [PubMed]
- Barco, A.; Borin, M. Treatment performance and macrophytes growth in a restored hybrid constructed wetland for municipal wastewater treatment. Ecol. Eng. 2017, 107, 160–171. [Google Scholar] [CrossRef]
- Vymazal, J. The use of hybrid constructed wetlands for wastewater treatment with special attention to nitrogen removal: A review of a recent development. Water Res. 2013, 47, 4795–4811. [Google Scholar] [CrossRef]
- Butterworth, E.; Dotro, G.; Jones, M.; Richards, A.; Onunkwo, P.; Narroway, Y.; Jefferson, B. Effect of artificial aeration on tertiary nitrification in a full-scale subsurface horizontal flow constructed wetland. Ecol. Eng. 2013, 54, 236–244. [Google Scholar] [CrossRef]
- Gajewska, M.; Skrzypiec, K.; Jóźwiakowski, K.; Bugajski, P. Kinetics of pollutants removal in hybrid treatment wetlands-Case study comparison. Ecol. Eng. 2018, 120, 222–229. [Google Scholar] [CrossRef]
- Saeed, T.; Sun, G. A review on nitrogen and organics removal mechanisms in subsurface flow constructed wetlands: Dependency on environmental parameters, operating conditions and supporting media. J. Environ. Manag. 2012, 112, 429–448. [Google Scholar] [CrossRef]
- Vymazal, J.; Kröpfelová, L. Multistage hybrid constructed wetland for enhanced removal of nitrogen. Ecol. Eng. 2015, 84, 202–208. [Google Scholar] [CrossRef]
- Hickey, A.; Arnscheidt, J.; Joyce, E.; O’Toole, J.; Galvin, G.; O’Callaghan, M.; Walsh, K. An assessment of the performance of municipal constructed wetlands in Ireland. J. Environ. Manag. 2018, 210, 263–272. [Google Scholar] [CrossRef]
- Marzec, M.; Gizińska-Górna, M.; Jóźwiakowski, K.; Pytka-Woszczyło, A.; Kowalczyk-Juśko, A.; Gajewska, M. The efficiency and reliability of pollutant removal in a hybrid constructed wetland with giant miscanthus and Jerusalem artichoke in Poland. Ecol. Eng. 2019, 127, 23–35. [Google Scholar] [CrossRef]
- Melián, J.; Rodríguez, A.; Araña, J.; Díaz, O.; Henríquez, J. Hybrid constructed wetlands for wastewater treatment and reuse in the Canary Islands. Ecol. Eng. 2010, 36, 891–899. [Google Scholar] [CrossRef]
- Nguyen, X.; Chang, S.; Nguyen, T.; Ngo, H.; Kumar, G.; Banu, J.; Nguyen, D. A hybrid constructed wetland for organic-material and nutrient removal from sewage: Process performance and multi-kinetic models. J. Environ. Manag. 2018, 222, 378–384. [Google Scholar] [CrossRef]
- Pat-Espadas, A.M.; Rene Loredo Portales, R.; Amabilis-Sosa, L.E.; Gómez, G.; Vidal, G. Review on constructed wetlands for acid mine drainage treatment. Water 2018, 10, 1685. [Google Scholar] [CrossRef] [Green Version]
- García, J.; Aguirre, P.; Barragán, J.; Mujeriego, R.; Matamoros, V.; Bayona, J. Effect of key design parameters on the efficiency of horizontal subsurface flow constructed wetlands. Ecol. Eng. 2005, 25, 405–418. [Google Scholar] [CrossRef]
- Mander, Ü.; Dotro, G.; Ebie, Y.; Towprayoon, S.; Chiemchaisri, C.; Nogueira, S.; Mitsch, W. Greenhouse gas emission in constructed wetlands for wastewater treatment: A review. Ecol. Eng. 2014, 66, 19–35. [Google Scholar] [CrossRef] [Green Version]
- Sanchez-Ramos, D.; Agulló, N.; Samsó, R.; García, J. Effect of key design parameters on bacteria community and effluent pollutant concentrations in constructed wetlands using mathematical models. Sci. Total Environ. 2017, 584, 374–380. [Google Scholar] [CrossRef] [Green Version]
- Huang, M.; Wang, Z.; Qi, R. Enhancement of the complete autotrophic nitrogen removal over nitrite process in a modified single-stage subsurface vertical flow constructed wetland: Effect of saturated zone depth. Bioresour. Technol. 2017, 233, 191–199. [Google Scholar] [CrossRef]
- Saeed, T.; Sun, G. Pollutant removals employing unsaturated and partially saturated vertical flow wetlands: A comparative study. Chem. Eng. J. 2017, 325, 332–341. [Google Scholar] [CrossRef]
- Saeed, T.; Haque, I.; Khan, T. Organic matter and nutrients removal in hybrid constructed wetlands: Influence of saturation. Chem. Eng. J. 2019, 371, 154–165. [Google Scholar] [CrossRef]
- Burgos, V.; Araya, F.; Reyes-Contreras, C.; Vera, I.; Vidal, G. Performance of ornamental plants in mesocosm subsurface constructed wetlands under different organic sewage loading. Ecol. Eng. 2017, 99, 246–255. [Google Scholar] [CrossRef]
- Leiva, A.; Núñez, R.; Gómez, G.; López, D.; Vidal, G. Performance of ornamental plants in monoculture and polyculture horizontal subsurface flow constructed wetlands for treating wastewater. Ecol. Eng. 2018, 120, 116–125. [Google Scholar] [CrossRef]
- López, D.; Fuenzalida, D.; Vera, I.; Rojas, K.; Vidal, G. Relationship between the removal of organic matter and the production of methane in subsurface flow constructed wetlands designed for wastewater treatment. Ecol. Eng. 2015, 83, 296–304. [Google Scholar] [CrossRef]
- López, D.; Sepúlveda-Mardones, M.; Ruiz-Tagle, N.; Sossa, K.; Uggetti, E.; Vidal, G. Potential methane production and molecular characterization of bacterial and archaeal communities in a horizontal subsurface flow constructed wetland under cold and warm seasons. Sci. Total Environ. 2019, 648, 1042–1051. [Google Scholar] [CrossRef] [PubMed]
- Tuttolomondo, T.; Leto, C.; La Bella, S.; Leone, R.; Virga, G.; Licata, M. Water balance and pollutant removal efficiency when considering evapotranspiration in a pilot-scale horizontal subsurface flow constructed wetland in Western Sicily (Italy). Ecol. Eng. 2016, 87, 295–304. [Google Scholar] [CrossRef]
- American Public Health Association (APHA). Standard Methods for the Examination of Wastewater, 20th ed.; APHA: Washington, DC, USA, 1998. [Google Scholar]
- Di Rienzo, J.; Casanoves, F.; Balzarini, M.; Gonzalez, I.; Tableda, M.; Robledo, C. Infostat Statistical Software; FCA National University of Córdoba: Córdoba, Argentina, 2011; p. 336. Available online: https://www.researchgate.net/publication/233842986_InfoStat_Version_2011 (accessed on 19 March 2022).
- Al-Isawi, R.; Ray, S.; Scholz, M. Comparative study of domestic wastewater treatment by mature vertical-flow constructed wetlands and artificial ponds. Ecol. Eng. 2017, 100, 8–18. [Google Scholar] [CrossRef]
- García-Ávila, F.; Patiño-Chávez, J.; Zhinín-Chimbo, F.; Donoso-Moscoso, S.; Del Pino, L.F.; Avilés-Añazco, A. Performance of Phragmites Australis and Cyperus Papyrus in the treatment of municipal wastewater by vertical flow subsurface constructed wetlands. Int. Soil Water Conserv. Res. 2019, 7, 286–296. [Google Scholar] [CrossRef]
- Al-Ajalin, F.; Idris, M.; Abdullah, S.; Kurniawan, S.; Imron, M. Effect of wastewater depth to the performance of short-term batching-experiments horizontal flow constructed wetland system in treating domestic wastewater. Environ. Technol. Innov. 2020, 20, 101106. [Google Scholar] [CrossRef]
- Zurita, F.; De Anda, J.; Belmont, M. Treatment of domestic wastewater and production of commercial flowers in vertical and horizontal subsurface-flow constructed wetlands. Ecol. Eng. 2009, 35, 861–869. [Google Scholar] [CrossRef]
- Sepúlveda, R.; Leiva, A.M.; Vidal, G. Performance of Cyperus papyrus in constructed wetland mesocosms under different levels of salinity. Ecol. Eng. 2020, 151, 105820. [Google Scholar] [CrossRef]
- Li, W.; Zhai, L.; Lei, Q.; Wollheim, W.M.; Liu, J.; Liu, H.; Liu, S. Influences of agricultural land use composition and distribution on nitrogen export from a subtropical watershed in China. Sci. Total Environ. 2018, 642, 21–32. [Google Scholar] [CrossRef] [PubMed]
- Akratos, C.; Tsihrintzis, V. Effect of temperature, HRT, vegetation and porous media on removal efficiency of pilot-scale horizontal subsurface flow constructed wetlands. Ecol. Eng. 2007, 29, 173–191. [Google Scholar] [CrossRef]
- Steer, D.; Fraser, L.; Boddy, J.; Seibert, B. Efficiency of small constructed wetlands for subsurface treatment of single-family domestic effluent. Ecol. Eng. 2002, 18, 429–440. [Google Scholar] [CrossRef] [Green Version]
- Steinmann, C.R.; Weinhart, S.; Melzer, A. A combined system of lagoon and constructed wetland for an effective wastewater treatment. Water Res. 2003, 37, 2035–2042. [Google Scholar] [CrossRef]
- Kyambadde, J.; Kansiime, F.; Gumaelius, L.; Dalhammar, G. A comparative study of Cyperus papyrus and Miscanthidium violaceum-based constructed wetlands for wastewater treatment in a tropical climate. Water Res. 2004, 38, 475–485. [Google Scholar] [CrossRef] [PubMed]
- Kyambadde, J.; Kansiime, F.; Dalhammar, G. Nitrogen and phosphorus removal in substrate-free pilot constructed wetlands with horizontal surface flow in Uganda. Water Air Soil Pollut. 2005, 165, 37–59. [Google Scholar] [CrossRef]
- Sgroi, M.; Pelissari, C.; Roccaro, P.; Sezerino, P.; García, J.; Vagliasindi, F.; Ávila, C. Removal of organic carbon, nitrogen, emerging contaminants and fluorescing organic matter in different constructed wetland configurations. Chem. Eng. J. 2018, 332, 619–627. [Google Scholar] [CrossRef] [Green Version]
- Caselles-Osorio, A.; Vega, H.; Lancheros, J.; Casierra-Martínez, H.; Mosquera, J. Horizontal subsurface-flow constructed wetland removal efficiency using Cyperus articulatus L. Ecol. Eng. 2017, 99, 479–485. [Google Scholar] [CrossRef]
- Vymazal, J.; Kröpfelová, L. Is concentration of dissolved oxygen a good indicator of processes in filtration beds of horizontal flow constructed wetlands? In Wastewater Treatment, Plant Dynamics and Management, 1st ed.; Vymazal, J., Ed.; Springer: Dordrecht, The Netherlands, 2008; pp. 311–317. [Google Scholar]
- Ding, Y.; Wang, W.; Song, X.; Wang, Y. Spatial distribution characteristics of environmental parameters and nitrogenous compounds in horizontal subsurface flow constructed wetland treating high nitrogen-content wastewater. Ecol. Eng. 2014, 70, 446–449. [Google Scholar] [CrossRef]
- Carballeira, T.; Ruiz, I.; Soto, M. Effect of plants and surface loading rate on the treatment efficiency of shallow subsurface constructed wetlands. Ecol. Eng. 2016, 90, 203–214. [Google Scholar] [CrossRef]
- Chang, J.; Wu, S.; Dai, Y.; Liang, W.; Wu, Z. Treatment performance of integrated vertical-flow constructed wetland plots for domestic wastewater. Ecol. Eng. 2012, 44, 152–159. [Google Scholar] [CrossRef]
- Abou-Elela, S.; Golinielli, G.; Abou-Taleb, E.; Hellal, M. Municipal wastewater treatment in horizontal and vertical flows constructed wetlands. Ecol. Eng. 2013, 61, 460–468. [Google Scholar] [CrossRef]
- Martín, M.; Gargallo, S.; Hernández-Crespo, C.; Oliver, N. Phosphorus and nitrogen removal from tertiary treated urban wastewaters by a vertical flow constructed wetland. Ecol. Eng. 2013, 61, 34–42. [Google Scholar] [CrossRef]
- Sylla, A. Domestic wastewater treatment using vertical flow constructed wetlands planted with Arundo donax, and the intermittent sand filters impact. Ecohydrol. Hydrobiol. 2020, 20, 48–58. [Google Scholar] [CrossRef]
- Zhao, Y.; Liu, B.; Zhang, W.; Ouyang, Y.; An, S. Performance of pilot-scale vertical-flow constructed wetlands in responding to variation in influent C/N ratios of simulated urban sewage. Bioresour. Technol. 2010, 101, 1693–1700. [Google Scholar] [CrossRef]
- Zheng, X.; Zhuang, L.; Zhang, J.; Li, X.; Zhao, Q.; Song, X.; Liao, J. Advanced oxygenation efficiency and purification of wastewater using a constant partially unsaturated scheme in column experiments simulating vertical subsurface flow constructed wetlands. Sci. Total Environ. 2020, 703, 135480. [Google Scholar] [CrossRef]
- Saeed, T.; Paul, B.; Afrin, R.; Al-Muyeed, A.; Sun, G. Floating constructed wetland for the treatment of polluted river water: A pilot scale study on seasonal variation and shock load. Chem. Eng. J. 2016, 287, 62–73. [Google Scholar] [CrossRef]
- Bassani, L.; Pelissari, C.; da Silva, A.; Sezerino, P. Feeding mode influence on treatment performance of unsaturated and partially saturated vertical flow constructed wetland. Sci. Total Environ. 2020, 754, 142400. [Google Scholar] [CrossRef]
- Haddis, A.; Van der Bruggen, B.; Smets, I. Constructed wetlands as nature based solutions in removing organic pollutants from wastewater under irregular flow conditions in a tropical climate. Ecohydrol. Hydrobiol. 2020, 20, 38–47. [Google Scholar] [CrossRef]
- Kaseva, M. Performance of a sub-surface flow constructed wetland in polishing pre-treated wastewater-a tropical case study. Water Res. 2004, 38, 681–687. [Google Scholar] [CrossRef]
- Ma, Y.; Zhai, Y.; Zheng, X.; He, S.; Zhao, M. Rural domestic wastewater treatment in constructed ditch wetlands: Effects of influent flow ratio distribution. J. Clean. Prod. 2019, 225, 350–358. [Google Scholar] [CrossRef]
- Benvenuti, T.; Hamerski, F.; Giacobbo, A.; Bernardes, A.; Zoppas-Ferreira, J.; Rodrigues, M. Constructed floating wetland for the treatment of domestic sewage: A real-scale study. J. Environ. Chem. Eng. 2018, 6, 5706–5711. [Google Scholar] [CrossRef]
- Huang, Y.; Ortiz, L.; Aguirre, P.; García, J.; Mujeriego, R.; Bayona, J. Effect of design parameters in horizontal flow constructed wetland on the behaviour of volatile fatty acids and volatile alkylsulfides. Chemosphere 2005, 59, 769–777. [Google Scholar] [CrossRef] [PubMed]
- Kraiem, K.; Kallali, H.; Wahab, M.; Fra-vazquez, A.; Mosquera-Corral, A.; Jedidi, N. Comparative study on pilots between annamox favored conditions in a partially saturated vertical flow constructed wetland and a hybrid system for rural wastewater treatment. Sci. Total Environ. 2019, 670, 644–653. [Google Scholar] [CrossRef]
- Rozema, E.; Rozema, L.; Zheng, Y. A vertical flow constructed wetland for the treatment of winery process water and domestic sewage in Ontario, Canada: Six years of performance data. Ecol. Eng. 2016, 86, 262–268. [Google Scholar] [CrossRef]
- Abdelhakeem, S.; Aboulroos, S.; Kamel, M. Performance of a vertical subsurface flow constructed wetland under different operational conditions. J. Adv. Res. 2016, 7, 803–814. [Google Scholar] [CrossRef] [Green Version]
- Jácome, J.; Molina, J.; Suárez, J.; Mosqueira, G.; Torres, D. Performance of constructed wetland applied for domestic wastewater treatment: Case study at Boimorto (Galicia, Spain). Ecol. Eng. 2016, 95, 324–329. [Google Scholar] [CrossRef]
- Stecher, M.; Weaver, R. Effects of umbrella palms and wastewater depth on wastewater treatment in a subsurface flow constructed wetland. Environ. Technol. 2003, 24, 471–478. [Google Scholar] [CrossRef]
- Dan, T.; Chiem, N.; Brix, H. Treatment of high-strength wastewater in tropical constructed wetlands planted with Sesbania sesban: Horizontal subsurface flow versus vertical downflow. Ecol. Eng. 2011, 37, 711–720. [Google Scholar] [CrossRef] [Green Version]
- Dąbrowski, W.; Karolinczak, B.; Gajewska, M.; Wojciechowska, E. Application of subsurface vertical flow constructed wetlands to reject water treatment in dairy wastewater treatment plant. Environ. Technol. 2017, 38, 175–182. [Google Scholar] [CrossRef]
- Maina, C.; Mutua, B.; Oduor, S. Evaluating performance of vertical flow constructed wetland under various hydraulic loading rates in effluent polishing. J. Water Sanit. Hyg. Dev. 2011, 1, 144–151. [Google Scholar] [CrossRef]
- Nivala, J.; Wallace, S.; Headley, T.; Kassa, K.; Brix, H.; van Afferden, M.; Müller, R. Oxygen transfer and consumption in subsurface flow treatment wetlands. Ecol. Eng. 2013, 61, 544–554. [Google Scholar] [CrossRef]
- Fan, J.; Zhang, B.; Zhang, J.; Ngo, H.; Guo, W.; Liu, F.; Wu, H. Intermittent aeration strategy to enhance organics and nitrogen removal in subsurface flow constructed wetlands. Bioresour. Technol. 2013, 141, 117–122. [Google Scholar] [CrossRef]
- Liu, L.; Zhao, X.; Zhao, N.; Shen, Z.; Wang, M.; Guo, Y.; Xu, Y. Effect of aeration modes and influent COD/N ratios on the nitrogen removal performance of vertical flow constructed wetland. Ecol. Eng. 2013, 57, 10–16. [Google Scholar] [CrossRef]
- Hua, Y.; Peng, L.; Zhang, S.; Heal, K.V.; Zhao, J.; Zhu, D. Effects of plants and temperature on nitrogen removal and microbiology in pilot-scale horizontal subsurface flow constructed wetlands treating domestic wastewater. Ecol. Eng. 2017, 108, 70–77. [Google Scholar] [CrossRef]
- Katayon, S.; Fiona, Z.; Megat Mohd Noor, M.; Abdul Halim, G.; Ahmad, J. Treatment of mild domestic wastewater using subsurface constructed wetlands in Malaysia. Int. J. Environ. Stud. 2008, 65, 87–102. [Google Scholar] [CrossRef]
- Faulwetter, J.; Gagnon, V.; Sundberg, C.; Chazarenc, F.; Burr, M.; Brisson, J.; Stein, O. Microbial processes influencing performance of treatment wetlands: A review. Ecol. Eng. 2009, 35, 987–1004. [Google Scholar] [CrossRef]
- Hu, Y.; Zhao, Y.; Rymszewicz, A. Robust biological nitrogen removal by creating multiple tides in a single bed tidal flow constructed wetland. Sci. Total Environ. 2014, 470, 1197–1204. [Google Scholar] [CrossRef]
- Jiang, X.; Tian, Y.; Ji, X.; Lu, C.; Zhang, J. Influences of plant species and radial oxygen loss on nitrous oxide fluxes in constructed wetlands. Ecol. Eng. 2020, 142, 105644. [Google Scholar] [CrossRef]
- Zhuang, L.; Yang, T.; Zhang, J.; Li, X. The configuration, purification effect and mechanism of intensified constructed wetland for wastewater treatment from the aspect of nitrogen removal: A review. Bioresour. Technol. 2019, 293, 122086. [Google Scholar] [CrossRef]
- Ding, Y.; Song, X.; Wang, Y.; Yan, D. Effects of dissolved oxygen and influent COD/N ratios on nitrogen removal in horizontal subsurface flow constructed wetland. Ecol. Eng. 2012, 46, 107–111. [Google Scholar] [CrossRef]
- Adrados, B.; Sánchez, O.; Arias, C.; Becares, E.; Garrido, L.; Mas, J.; Morató, J. Microbial communities from different types of natural wastewater treatment systems: Vertical and horizontal flow constructed wetlands and biofilters. Water Res. 2014, 55, 304–312. [Google Scholar] [CrossRef] [Green Version]
- Pelissari, C.; Guivernau, M.; Viñas, M.; García, J.; Velasco-Galilea, M.; Souza, S.; Ávila, C. Effects of partially saturated conditions on the metabolically active microbiome and on nitrogen removal in vertical subsurface flow constructed wetlands. Water Res. 2018, 141, 185–195. [Google Scholar] [CrossRef]
- Sun, G.; Zhu, Y.; Saeed, T.; Zhang, G.; Lu, X. Nitrogen removal and microbial community profiles in six wetland columns receiving high ammonia load. Chem. Eng. J. 2012, 203, 326–332. [Google Scholar] [CrossRef]
- Zhu, H.; Yan, B.; Xu, Y.; Guan, J.; Liu, S. Removal of nitrogen and COD in horizontal subsurface flow constructed wetlands under different influent C/N ratios. Ecol. Eng. 2014, 63, 58–63. [Google Scholar] [CrossRef]
- Ávila, C.; Garfí, M.; García, J. Three-stage hybrid constructed wetland system for wastewater treatment and reuse in warm climate regions. Ecol. Eng. 2013, 61, 43–49. [Google Scholar] [CrossRef]
- Yi, X.H.; Jing, D.D.; Wan, J.; Ma, Y.; Wang, Y. Temporal and spatial variations of contaminant removal, enzyme activities, and microbial community structure in a pilot horizontal subsurface flow constructed wetland purifying industrial runoff. Environ. Sci. Pollut. Res. 2016, 23, 8565–8576. [Google Scholar] [CrossRef]





| Characteristics | Unit | VSSF | HSSF |
|---|---|---|---|
| Design parameters | |||
| Surface area | m2 | 0.025 | 0.17 |
| Average height | m | 0.85 | 0.30 |
| Water table height | m | 0.6–0.8 | 0.15–0.25 |
| Total volume | m3 | 0.02 | 0.05 |
| Support medium | |||
| Type | - | Sand/Gravel | Gravel |
| Size | mm | 1–4/19–25 | 19–25 |
| Porosity | - | 0.2/0.4 | 0.4 |
| Operation parameters | |||
| HRT | d | 1 | 7 |
| HLR | L/d | 3.6–4.2 | 1.1–1.7 |
| Concentration (mg/L) ± SD | ||||||||
|---|---|---|---|---|---|---|---|---|
| Summer | Autumn | Winter | Spring | |||||
| Average ± SD | Range | Average ± SD | Range | Average ± SD | Range | Average ± SD | Range | |
| COD | 200.67 ± 66.49 | 139.93–314.73 | 296.94 ± 66.75 | 193.93–401.17 | 183.53 ± 42.77 | 132.35–251.49 | 178.51 ± 69.48 | 127.37–257.61 |
| TOC | 45.72 ± 22.31 | 16.35–85.13 | 87.09 ± 21.41 | 52.45–116.00 | 49.64 ± 11.57 | 35.80–68.02 | 48.28 ± 18.73 | 34.45–69.68 |
| TSS | 98.96 ± 11.23 | 20.94–106.92 | 42.94 ± 12.67 | 25.20–61.00 | 38.25 ± 13.82 | 27.00–59.33 | 32.67 ± 2.52 | 30.00–35.00 |
| VSS | 24.25 ± 9.31 | 18.75–35.00 | 40.26 ± 11.97 | 23.20–58.00 | 33.25 ± 14.18 | 15.50–57.33 | 28.20 ± 1.08 | 27.00–29.10 |
| NO2−-N | 0.54 ± 0.04 | 0.51–0.57 | 0.42 ± 0.18 | 0.17–0.72 | 0.31 ± 0.05 | 0.25–0.49 | 0.36 ± 0.12 | 0.27–0.49 |
| NO3−-N | 1.69 ± 0.33 | 1.26–2.15 | 1.98 ± 0.53 | 1.34–2.86 | 1.22 ± 0.26 | 0.58–1.83 | 0.33 ± 0.07 | 0.28–0.38 |
| NH4+-N | 81.79 ± 12.44 | 66.34–96.38 | 103.66 ± 7.91 | 92.71–123.78 | 95.81 ± 9.90 | 81.73–106.03 | 97.23 ± 15.74 | 80.05–110.98 |
| TN | 105.00 ± 19.00 | 86.00–124.00 | 130.67 ± 5.69 | 126.00–137.00 | 137.67 ± 6.66 | 132.00–145.00 | 130.00 ± 2.83 | 128.00–132.00 |
| Concentration ± SD | |||||
|---|---|---|---|---|---|
| Parameter | Period | VSSF 1 | VSSF 2 | HSSF 1 | HSSF 2 |
| COD | Summer | 81.23 ± 25.31 | 70.25 ± 17.70 | 58.92 ± 18.23 | 57.38 ± 16.16 |
| Autumn | 81.74 ± 18.38 | 92.57 ± 24.69 | 35.97 ± 8.84 | 41.25 ± 12.12 | |
| Winter | 84.33 ± 17.39 | 76.45 ± 8.36 | 35.25 ± 9.31 | 33.40 ± 6.11 | |
| Spring | 85.63 ± 13.78 | 84.69 ± 21.10 | 35.98 ± 3.79 | 25.07 ± 3.06 | |
| TOC | Summer | 30.91 ± 4.54 | 27.29 ± 5.47 | 30.25 ± 13.44 | 13.40 ± 2.31 |
| Autumn | 18.22 ± 4.10 | 26.96 ± 7.19 | 5.20 ± 2.01 | 5.56 ± 1.83 | |
| Winter | 18.80 ± 3.88 | 22.26 ± 2.44 | 4.57 ± 1.21 | 4.72 ± 0.86 | |
| Spring | 19.09 ± 3.07 | 24.67 ± 6.14 | 4.67 ± 0.49 | 3.54 ± 0.43 | |
| TSS | Summer | 7.27 ± 2.07 | 5.41 ± 1.41 | 4.71 ± 0.42 | 3.76 ± 0.71 |
| Autumn | 7.92 ± 2.68 | 8.33 ± 3.23 | 3.48 ± 0.53 | 3.66 ± 0.61 | |
| Winter | 5.63 ± 1.00 | 5.79 ± 1.50 | 2.93 ± 0.79 | 3.25 ± 0.94 | |
| Spring | 5.60 ± 0.10 | 6.10 ± 0.10 | 3.50 ± 0.20 | 3.27 ± 0.25 | |
| VSS | Summer | 6.87 ± 1.55 | 8.19 ± 3.51 | 3.24 ± 0.85 | 3.04 ± 1.12 |
| Autumn | 7.37 ± 2.63 | 6.03 ± 1.47 | 3.35 ± 1.91 | 2.73 ± 0.53 | |
| Winter | 4.56 ± 1.09 | 5.59 ± 1.27 | 2.38 ± 0.71 | 2.15 ± 0.77 | |
| Spring | 4.53 ± 0.06 | 4.73 ± 0.25 | 2.67 ± 0.15 | 2.73 ± 0.21 | |
| Summer | 63.50 ± 8.26 | 54.55 ± 14.36 | 13.06 ± 5.25 | 16.07 ± 7.62 | |
| Autumn | 83.25 ± 7.92 | 83.91 ± 10.18 | 18.26 ± 6.84 | 24.10 ± 10.40 | |
| Winter | 68.87 ± 15.27 | 78.89 ± 12.33 | 22.30 ± 5.32 | 34.43 ± 6.33 | |
| Spring | 33.35 ± 3.06 | 34.62 ± 7.43 | 8.86 ± 1.35 | 13.87 ± 3.09 | |
| NH4+-N | Summer | 63.50 ± 8.26 | 54.55 ± 14.36 | 13.06 ± 5.25 | 16.07 ± 7.62 |
| Autumn | 83.25 ± 7.92 | 83.91 ± 10.18 | 18.26 ± 6.84 | 24.10 ± 10.40 | |
| Winter | 68.87 ± 15.27 | 78.89 ± 12.33 | 22.30 ± 5.32 | 34.43 ± 6.33 | |
| Spring | 33.35 ± 3.06 | 34.62 ± 7.43 | 8.86 ± 1.35 | 13.87 ± 3.09 | |
| NO2−-N | Summer | 0.89 ± 0.28 | 1.72 ± 0.53 | 0.06 ± 0.02 | 0.19 ± 0.09 |
| Autumn | 0.34 ± 0.09 | 0.31 ± 0.08 | 0.21 ± 0.07 | 0.24 ± 0.06 | |
| Winter | 9.24 ± 1.97 | 4.16 ± 1.98 | 0.49 ± 0.10 | 0.32 ± 0.05 | |
| Spring | 22.79 ± 3.55 | 25.21 ± 9.38 | 1.26 ± 0.48 | 0.34 ± 0.06 | |
| Summer | 7.44 ± 2.65 | 7.76 ± 2.17 | 16.48 ± 1.25 | 8.82 ± 0.99 | |
| Autumn | 0.64 ± 0.14 | 0.69 ± 0.25 | 25.94 ± 10.11 | 16.53 ± 5.97 | |
| Winter | 2.65 ± 0.91 | 2.08 ± 0.69 | 39.37 ± 12.93 | 24.36 ± 11.15 | |
| Spring | 5.18 ± 2.75 | 5.49 ± 2.12 | 62.14 ± 1.27 | 35.63 ± 5.35 | |
| TN | Summer | 82.00 ± 10.46 | 81.20 ± 17.44 | 30.40 ± 3.13 | 28.60 ± 4.34 |
| Autumn | 96.67 ± 11.50 | 98.67 ± 11.68 | 57.00 ± 5.29 | 51.33 ± 13.32 | |
| Winter | 114.00 ± 16.37 | 113.67 ± 6.43 | 74.33 ± 7.51 | 73.33 ± 6.66 | |
| Spring | 96.00 ± 5.66 | 103.00 ± 11.31 | 70.00 ± 5.66 | 68.50 ± 9.19 | |
| Year | CW | Location | Concentration (mg/L) | ||||||
|---|---|---|---|---|---|---|---|---|---|
| COD (mg/L) | NH4+-N (mg/L) | Temperature (°C) | pH | ORP (mV) | DO (mg/L) | EC (µS/cm) | |||
| 2018 | VSSF1 | Upper | - | - | 10.9 ± 1.3 | 7.2 ± 0.2 | −166.9 ± 44.6 | 0.5 ± 0.2 | 1247.3 ± 393.1 |
| Middle | - | - | 10.7 ± 1.4 | 7.1 ± 0.1 | −194.1 ± 47.5 | 0.3 ± 0.1 | 1232.2 ± 360.5 | ||
| Bottom | - | - | 10.6 ± 1.2 | 7.1 ± 0.1 | −162.4 ± 127.9 | 0.3 ± 0.0 | 1034.0 ± 79.2 | ||
| VSSF2 | Upper | - | - | 10.9 ± 0.5 | 7.4 ± 0.2 | −162.9 ± 99.3 | 0.4 ± 0.2 | 1170.3 ± 167.2 | |
| Middle | - | - | 10.5 ± 0.6 | 7.2 ± 0.3 | −164.3 ± 127.1 | 0.3 ± 0.1 | 1139.3 ± 111.1 | ||
| Bottom | - | - | 10.0 ± 0.5 | 7.2 ± 0.2 | −193.2 ± 83.2 | 0.2 ± 0.1 | 1031.3 ± 122.7 | ||
| 2019 | VSSF1 | Upper | 111.9 ± 14.5 | 65.8 ± 12.6 | 11.1 ± 1.1 | 7.4 ± 0.2 | −112.4 ± 24.8 | 0.3 ± 0.1 | 1339.0 ± 95.3 |
| Middle | 104.7 ± 19.4 | 68.9 ± 13.5 | 11.0 ± 1.2 | 7.4 ± 0.2 | −135.5 ± 36.6 | 0.3 ± 0.1 | 1341.0 ± 98.7 | ||
| Bottom | 87.6 ± 18.9 | 58.8 ± 13.2 | 10.9 ± 1.2 | 7.3 ± 0.1 | −141.2 ± 33.3 | 0.3 ± 0.1 | 1332.0 ± 111.2 | ||
| VSSF2 | Upper | 117.0 ± 17.0 | 73.7 ± 7.1 | 11.2 ± 1.1 | 7.4 ± 0.2 | −133.6 ± 14.9 | 0.3 ± 0.1 | 1361.7 ± 65.6 | |
| Middle | 92.2 ± 20.2 | 62.9 ± 17.7 | 11.1 ± 1.2 | 7.4 ± 0.2 | −154.7 ± 11.9 | 0.3 ± 0.1 | 1354.0 ± 54.6 | ||
| Bottom | 77.2 ± 20.2 | 55.9 ± 15.3 | 10.9 ± 1.2 | 7.1 ± 0.0 | −153.9 ± 11.9 | 0.3 ± 0.1 | 1182.3 ± 38.8 | ||
Publisher’s Note: MDPI stays neutral with regard to jurisdictional claims in published maps and institutional affiliations. |
© 2022 by the authors. Licensee MDPI, Basel, Switzerland. This article is an open access article distributed under the terms and conditions of the Creative Commons Attribution (CC BY) license (https://creativecommons.org/licenses/by/4.0/).
Share and Cite
Contreras, J.; López, D.; Gómez, G.; Vidal, G. Seasonal Enhancement of Nitrogen Removal on Domestic Wastewater Treatment Performance by Partially Saturated and Saturated Hybrid Constructed Wetland. Water 2022, 14, 1089. https://doi.org/10.3390/w14071089
Contreras J, López D, Gómez G, Vidal G. Seasonal Enhancement of Nitrogen Removal on Domestic Wastewater Treatment Performance by Partially Saturated and Saturated Hybrid Constructed Wetland. Water. 2022; 14(7):1089. https://doi.org/10.3390/w14071089
Chicago/Turabian StyleContreras, José, Daniela López, Gloria Gómez, and Gladys Vidal. 2022. "Seasonal Enhancement of Nitrogen Removal on Domestic Wastewater Treatment Performance by Partially Saturated and Saturated Hybrid Constructed Wetland" Water 14, no. 7: 1089. https://doi.org/10.3390/w14071089
APA StyleContreras, J., López, D., Gómez, G., & Vidal, G. (2022). Seasonal Enhancement of Nitrogen Removal on Domestic Wastewater Treatment Performance by Partially Saturated and Saturated Hybrid Constructed Wetland. Water, 14(7), 1089. https://doi.org/10.3390/w14071089

