Disinfection of Therapeutic Spa Waters: Applicability of Sodium Hypochlorite and Hydrogen Peroxide-Based Disinfectants
Abstract
:1. Introduction
2. Materials and Methods
3. Results
3.1. Disinfection Efficacy
3.2. Disinfection Byproducts
3.2.1. Disinfection Byproducts Generated during Hypochlorite Treatment
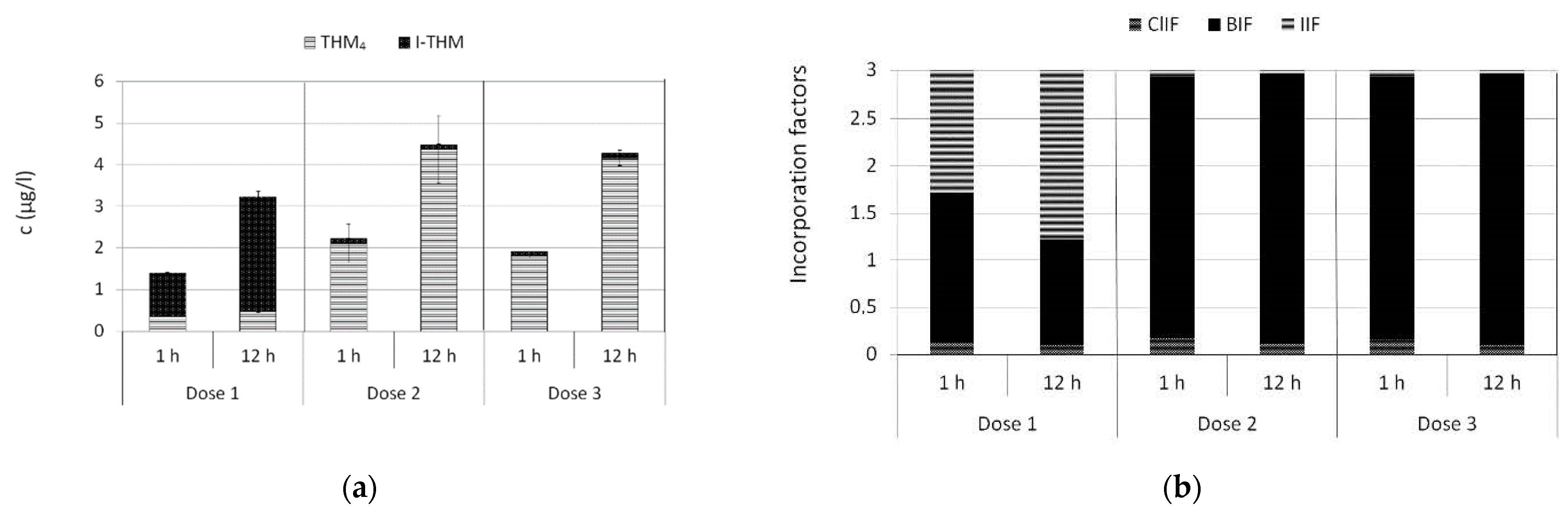
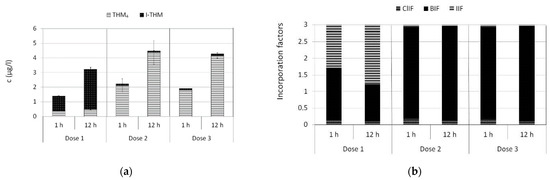
- Trihalomethanes (THM10)
- Chlorate ions
- Combined chlorine
3.2.2. Disinfection Byproducts Generated during Hydrogen Peroxide Treatment
3.3. Effect on Therapeutic Components
3.3.1. Sulfide Ions
3.3.2. Iodide Ions
3.3.3. Bromide Ions
3.3.4. Total Mineral Content
3.3.5. Metasilicic Acid
3.3.6. Lithium
4. Discussion
4.1. Disinfection Efficacy
4.2. Disinfection Byproducts
4.3. Effects on Therapeutic Components
4.4. Applicability of the Tested Disinfectants for the Treatment of Therapeutic Waters
4.5. Strengths and Limitations of this Study
5. Conclusions
Author Contributions
Funding
Institutional Review Board Statement
Informed Consent Statement
Data Availability Statement
Acknowledgments
Conflicts of Interest
References
- Bender, T.; Bálint, G.; Prohászka, Z.; Géher, P.; Tefner, I.K. Evidence-based hydro- and balneotherapy in Hungary-a systematic review and meta-analysis. Int. J. Biometeorol. 2014, 58, 311–323. [Google Scholar] [CrossRef] [PubMed] [Green Version]
- Falagas, M.E.; Zarkadoulia, E.; Rafailidis, P.I. The therapeutic effect of balneotherapy: Evaluation of the evidence from randomised controlled trials. Int. J. Clin. Pract. 2009, 63, 1068–1084. [Google Scholar] [CrossRef] [PubMed]
- Barna, Z.; Kádár, M. The risk of contracting infectious diseases in public swimming pools. A review. Ann. Ist. Super. Sanita 2012, 48, 374–386. [Google Scholar] [CrossRef] [PubMed]
- Costa, J.; da Costa, M.S.; Veríssimo, A. Colonization of a therapeutic spa with Legionella spp: A public health issue. Res. Microbiol. 2010, 161, 18–25. [Google Scholar] [CrossRef]
- Walczak, M.; Krawiec, A.; Lalke-Porczyk, E. Legionella pneumophilla bacteria in a thermal saline bath. Ann. Agric. Environ. Med. 2013, 20, 649–652. [Google Scholar]
- World Health Organization Guidelines for safe recreational water environments: Volume 2. Swimming pools and similar environments. World Health Organ. 2006, 2, 146.
- Cinzia Germinario An outbreak of pneumonia in a thermal water spa contaminated with Pseudomonas aeruginosa: An epidemiological and environmental concern. Afr. J. Microbiol. Res. 2012, 6, 1978–1984. [CrossRef]
- Heggie, T.W. Swimming with death: Naegleria fowleri infections in recreational waters. Travel Med. Infect. Dis. 2010, 8, 201–206. [Google Scholar] [CrossRef]
- Kapitány, R.; Galambos, A.; Danku, N.; Boncz, I.; Pusztafalvi, H. Microbiological, Chemical Analysis and Comparison of Public Bath Waters in Baranya County Between 2010-2016. Value Health 2017, 20, A494–A495. [Google Scholar] [CrossRef]
- Vargha, M.; Roka, E.; Barna, Z.; Kiss, C.; Kern, A. Microbiological water quality of Hungarian baths. In Proceedings of the Dissertations of the XXXIII. National Travelling Congress of the Hungarian Hydrological Society, Szombathely, Hungary, 1–3 July 2015; ISBN 978-963-8172-34-1. (In Hungarian). [Google Scholar]
- Hungarian Ministerial Decree of the Minister of Health on the Natural Medicinal Factors. 1999. Available online: https://www.ecolex.org/details/legislation/act-no-cliv-of-1997-on-health-lex-faoc030586/ (accessed on 17 February 2022).
- Sisti, M.; Pieretti, B.; De Santi, M.; Brandia, G. Inactivation of pathogenic dermatophytes by ultraviolet irradiation in swimming pool thermal water. Int. J. Environ. Health Res. 2014, 24, 412–417. [Google Scholar] [CrossRef]
- Leoni, E.; Sanna, T.; Zanetti, F.; Dallolio, L. Controlling Legionella and Pseudomonas aeruginosa re-growth in therapeutic spas: Implementation of physical disinfection treatments, including UV/ultrafiltration, in a respiratory hydrotherapy system. J. Water Health 2015, 13, 996–1005. [Google Scholar] [CrossRef] [PubMed] [Green Version]
- Margarucci, L.M.; Romano Spica, V.; Gianfranceschi, G.; Valeriani, F. Untouchability of natural spa waters: Perspectives for treatments within a personalized water safety plan. Environ. Int. 2019, 133, 105095. [Google Scholar] [CrossRef] [PubMed]
- Tartanson, M.A.; Soussan, L.; Rivallin, M.; Chis, C.; Penaranda, D.; Lapergue, R.; Calmels, P.; Faur, C. A new silver based composite material for SPA water disinfection. Water Res. 2014, 63, 135–146. [Google Scholar] [CrossRef] [PubMed]
- Andreozzi, R.; Caprio, V.; Insola, A.; Marotta, R. Advanced oxidation processes (AOP) for water purification and recovery. Catal. Today 1999, 53, 51–59. [Google Scholar] [CrossRef]
- Zarei, A.; Biglari, H.; Mobini, M.; Dargahi, A.; Ebrahimzadeh, G.; Narooie, M.R.; Mehrizi, E.A.; Yari, A.R.; Mohammadi, M.J.; Baneshi, M.M.; et al. Disinfecting poultry slaughterhouse wastewater using copper electrodes in the electrocoagulation process. Pol. J. Environ. Stud. 2018, 27, 1907–1912. [Google Scholar] [CrossRef]
- Afsharnia, M.; Kianmehr, M.; Biglari, H.; Dargahi, A.; Karimi, A. Disinfection of dairy wastewater effluent through solar photocatalysis processes. Water Sci. Eng. 2018, 11, 214–219. [Google Scholar] [CrossRef]
- Ilyas, H.; Masih, I.; van der Hoek, J.P. Disinfection methods for swimming pool water: Byproduct formation and control. Water 2018, 10, 797. [Google Scholar] [CrossRef] [Green Version]
- Lee, J.; Jun, M.J.; Lee, M.H.; Lee, M.H.; Eom, S.W.; Zoh, K.D. Production of various disinfection byproducts in indoor swimming pool waters treated with different disinfection methods. Int. J. Hyg. Environ. Health 2010, 213, 465–474. [Google Scholar] [CrossRef]
- Zwiener, C.; Richardson, S.D.; DeMarini, D.M.; Grummt, T.; Glauner, T.; Frimmel, F.H. Drowning in disinfection byproducts? Swimming pool water qualtiy. Water 2007, 34, 42–46. [Google Scholar] [CrossRef]
- Drogui, P.; Elmaleh, S.; Rumeau, M.; Bernard, C.; Rambaud, A. Hydrogen peroxide production by water electrolysis: Application to disinfection. J. Appl. Electrochem. 2001, 31, 877–882. [Google Scholar] [CrossRef]
- McDonnell, G. The Use of Hydrogen Peroxide for Disinfection and Sterilization Applications. In PATAI’S Chemistry of Functional Groups; Wiley Online Library: Hoboken, NJ, USA, 2014. [Google Scholar]
- Pedahzur, R.; Lev, O.; Fattal, B.; Shuval, H.I. The interaction of silver ions and hydrogen peroxide in the inactivation of E. coli: A preliminary evaluation of a new long acting residual drinking water disinfectant. Water Sci. Technol. 1995, 31, 123–129. [Google Scholar] [CrossRef]
- Valeriani, F.; Margarucci, L.M.; Spica, V.R. Recreational use of spa thermal waters: Criticisms and perspectives for innovative treatments. Int. J. Environ. Res. Public Health 2018, 15, 2675. [Google Scholar] [CrossRef] [Green Version]
- Cadena, F.; Peters, R.W. Evaluation of chemical oxidizers for hydrogen sulfide control. J. Water Pollut. Control Fed. 1988, 60, 1259–1263. [Google Scholar]
- Millero, F.J.; LeFerriere, A.; Fernandez, M.; Hubinger, S.; Hershey, J.P. Oxidation of hydrogen sulfide with hydrogen peroxide in natural waters. Environ. Sci. Technol. 1989, 23, 209–213. [Google Scholar] [CrossRef]
- Choppin, A.R.; Faulkenberry, L.C. The Oxidation of Aqueous Sulfide Solutions by Hypochlorites. J. Am. Chem. Soc. 1937, 59, 2203–2207. [Google Scholar] [CrossRef]
- Hoffmann, M.R. Kinetics and Mechanism of Oxidation of Hydrogen Sulfide by Hydrogen Peroxide in Acidic Solution. Environ. Sci. Technol. 1977, 11, 61–66. [Google Scholar] [CrossRef]
- Azizi, M.; Biard, P.F.; Couvert, A.; Ben Amor, M. Competitive kinetics study of sulfide oxidation by chlorine using sulfite as reference compound. Chem. Eng. Res. Des. 2015, 94, 141–152. [Google Scholar] [CrossRef] [Green Version]
- Kumar, K.; Margerum, D.W. Kinetics and Mechanism of General-Acid-Assisted Oxidation of Bromide by Hypochlorite and Hypochlorous Acid. Inorg. Chem. 1987, 26, 2706–2711. [Google Scholar] [CrossRef]
- Bray, W.C.; Livingston, R.S. The catalytic decomposition of hydrogen peroxide in a bromine-bromide solution, and a study of the steady state. J. Am. Chem. Soc. 1923, 45, 1251–1271. [Google Scholar] [CrossRef]
- Bray, W.C.; Livingston, R.S. The rate of oxidation of hydrogen peroxide by bromine and its relation to the catalytic decomposition of hydrogen peroxide in a bromine-bromide solution. J. Am. Chem. Soc. 1928, 50, 1654–1665. [Google Scholar] [CrossRef]
- Bichsel, Y.; Von Gunten, U. Oxidation of iodide and hypoiodous acid in the disinfection of natural waters. Environ. Sci. Technol. 1999, 33, 4040–4045. [Google Scholar] [CrossRef]
- Kumar, K.; Day, R.A.; Margerum, D.W. Atom-Transfer Redox Kinetics: General-Acid-Assisted Oxidation of Iodide by Chloramines and Hypochlorite. Inorg. Chem. 1986, 25, 4344–4350. [Google Scholar] [CrossRef]
- Liebhafsky, H.A. The catalytic decomposition of hydrogen peroxide by the iodine-iodide couple at 25°. J. Am. Chem. Soc. 1932, 54, 1792–1806. [Google Scholar] [CrossRef]
- Schmitz, G. The oxidation of iodine to iodate by hydrogen peroxide. Phys. Chem. Chem. Phys. 2001, 3, 4741–4746. [Google Scholar] [CrossRef]
- Gere, D.; Róka, E.; Erdélyi, N.; Bufa-Dörr, Z.; Záray, G.; Vargha, M. Disinfection of therapeutic water—balancing risks against benefits: Case study of Hungarian therapeutic baths on the effects of technological steps and disinfection on therapeutic waters. J. Water Health 2021, 20, 92–102. [Google Scholar] [CrossRef] [PubMed]
- United States Environmental Protection Agency. Alternative Disinfectants and Oxidants Guidance Manual; United States Environmental Protection Agency: Washington, DC, USA, 1999.
- Symons, J.M.; Krasner, S.W.; Simms, L.A.; Sclimenti, M. Measurement of THM and precursor concentrations revisited: The effect of bromide ion. J. / Am. Water Work. Assoc. 1993, 85, 51–62. [Google Scholar] [CrossRef]
- World Health Organization, Chlorite and Chlorate in Drinking Water: Background Document for Development of WHO Guidelines for Drinking-Water Quality. 2005, p. 31. Available online: https://www.who.int/water_sanitation_health/dwq/chemicals/chlorateandchlorite0505.pdf (accessed on 17 February 2022).
- Balls, P.W.; Liss, P.S. Exchange of H2S between water and air. Atmos. Environ. 1983, 17, 735–742. [Google Scholar] [CrossRef]
- Suleimenov, O.M.; Krupp, R.E. Solubility of hydrogen sulfide in pure water and in NaCl solutions, from 20 to 320 °C and at saturation pressures. Geochim. Cosmochim. Acta 1994, 58, 2433–2444. [Google Scholar] [CrossRef]
- Barbeau, B.; Desjardins, R.; Mysore, C.; Prévost, M. Impacts of water quality on chlorine and chlorine dioxide efficacy in natural waters. Water Res. 2005, 39, 2024–2033. [Google Scholar] [CrossRef]
- Fitzgerald, G.P.; DerVartanian, M.E. Factors Influencing the Effectiveness of Swimming Pool Bactericides. Appl. Microbiol. 1967, 15, 504–509. [Google Scholar] [CrossRef]
- Barbeau, B.; Huffman, D.; Mysore, C.; Desjardins, R.; Prévost, M. Examination of discrete and counfounding effects of water quality parameters during the inactivation of MS2 phages and Bacillus subtilis spores with free chlorine. J. Environ. Eng. Sci. 2004, 3, 255–268. [Google Scholar] [CrossRef]
- Swanson, S.; Fu, T.J. Effect of water hardness on efficacy of sodium hypochlorite inactivation of Escherichia coli O157:H7 in water. J. Food Prot. 2017, 80, 497–501. [Google Scholar] [CrossRef] [PubMed]
- SEGNA, K.G.; KOCH, L.H.; WILLIAMS, J.V. “Hot Tub” Folliculitis from a NonChlorinated Children’s Pool. Pediatr. Dermatol. 2011, 28, 590–591. [Google Scholar] [CrossRef]
- Rice, S.A.; Van Den Akker, B.; Pomati, F.; Roser, D. A risk assessment of Pseudomonas aeruginosa in swimming pools: A review. J. Water Health 2012, 10, 181–196. [Google Scholar] [CrossRef] [Green Version]
- Guida, M.; Di Onofrio, V.; Gallè, F.; Gesuele, R.; Valeriani, F.; Liguori, R.; Romano Spica, V.; Liguori, G. Pseudomonas aeruginosa in swimming pool water: Evidences and perspectives for a new control strategy. Int. J. Environ. Res. Public Health 2016, 13, 919. [Google Scholar] [CrossRef] [Green Version]
- Chowdhury, S.; Al-hooshani, K.; Karanfil, T. Disinfection byproducts in swimming pool: Occurrences, implications and future needs. Water Res. 2014, 53, 68–109. [Google Scholar] [CrossRef] [PubMed]
- Pándics, T.; Hofer, Á.; Dura, G.; Vargha, M.; Szigeti, T.; Tóth, E. Health risk of swimming pool disinfection by-products: A regulatory perspective. J. Water Health 2018, 16, 947–957. [Google Scholar] [CrossRef]
- Hua, G.; Reckhow, D.A.; Kim, J. Effect of Bromide and Iodide Ions on the Formation and Speciation of Disinfection Byproducts during Chlorination. Environ. Sci. Technol. 2006, 40, 3050–3056. [Google Scholar] [CrossRef]
- Liu, Z.; Lin, Y.L.; Xu, B.; Hu, C.Y.; Wang, A.Q.; Gao, Z.C.; Xia, S.J.; Gao, N.Y. Formation of iodinated trihalomethanes during breakpoint chlorination of iodide-containing water. J. Hazard. Mater. 2018, 353, 505–513. [Google Scholar] [CrossRef]
- Richardson, S.D.; Plewa, M.J.; Wagner, E.D.; Schoeny, R.; DeMarini, D.M. Occurrence, genotoxicity, and carcinogenicity of regulated and emerging disinfection by-products in drinking water: A review and roadmap for research. Mutat. Res. Rev. Mutat. Res. 2007, 636, 178–242. [Google Scholar] [CrossRef]
- Yang, Y.; Komaki, Y.; Kimura, S.Y.; Hu, H.Y.; Wagner, E.D.; Mariñas, B.J.; Plewa, M.J. Toxic impact of bromide and iodide on drinking water disinfected with chlorine or chloramines. Environ. Sci. Technol. 2014, 48, 12362–12369. [Google Scholar] [CrossRef] [PubMed]
- Xu, X.; Mariano, T.M.; Laskin, J.D.; Weisel, C.P. Percutaneous Absorption of Trihalomethanes, Haloacetic Acids, and Haloketones. Toxicol. Appl. Pharmacol. 2002, 184, 19–26. [Google Scholar] [CrossRef] [PubMed]
- De Laat, J.; Feng, W.; Freyfer, D.A.; Dossier-Berne, F. Concentration levels of urea in swimming pool water and reactivity of chlorine with urea. Water Res. 2011, 45, 1139–1146. [Google Scholar] [CrossRef] [PubMed]
- Long, L.; Bu, Y.; Chen, B.; Sadiq, R. Removal of urea from swimming pool water by UV/VUV: The roles of additives, mechanisms, influencing factors, and reaction products. Water Res. 2019, 161, 89–97. [Google Scholar] [CrossRef]
- Donnermair, M.M.; Blatchley, E.R. Disinfection efficacy of organic chloramines. Water Res. 2003, 37, 1557–1570. [Google Scholar] [CrossRef]
- Thickett, K.M.; McCoach, J.S.; Gerber, J.M.; Sadhra, S.; Burge, P.S. Occupational asthma caused by chloramines in indoor swimming-pool air. Eur. Respir. J. 2002, 19, 827–832. [Google Scholar] [CrossRef] [Green Version]
- Kaydos-Daniels, S.C.; Beach, M.J.; Shwe, T.; Magri, J.; Bixler, D. Health effects associated with indoor swimming pools: A suspected toxic chloramine exposure. Public Health 2008, 122, 195–200. [Google Scholar] [CrossRef]
- Garcia-Villanova, R.J.; Oliveira Dantas Leite, M.V.; Hernández Hierro, J.M.; de Castro Alfageme, S.; García Hernández, C. Occurrence of bromate, chlorite and chlorate in drinking waters disinfected with hypochlorite reagents. Tracing their origins. Sci. Total Environ. 2010, 408, 2616–2620. [Google Scholar] [CrossRef]
- Rutala, W.A.; Weber, D.J. Guideline for Disinfection and Sterilization in Healthcare Facilities; Centers for Disease Control and Prevention: Atlanta, GA, USA, 2008. [Google Scholar]
- U.S. Department of Health and Human Services. Report on Carcinogens, 15th ed.; U.S. Department of Health and Human Services: Washington, DC, USA, 2021.
- Deborde, M.; von Gunten, U. Reactions of chlorine with inorganic and organic compounds during water treatment-Kinetics and mechanisms: A critical review. Water Res. 2008, 42, 13–51. [Google Scholar] [CrossRef]
- Gulaboski, R.; Mirčeski, V.; Kappl, R.; Hoth, M.; Bozem, M. Review—Quantification of Hydrogen Peroxide by Electrochemical Methods and Electron Spin Resonance Spectroscopy. J. Electrochem. Soc. 2019, 166, 82–101. [Google Scholar] [CrossRef]
- Livingston, R.S.; Bray, W.C. The catalytic decomposition of hydrogen peroxide in a bromine-bromide solution. II. Rate measurements in dilute solutions and in the absence of sulfate, and their interpretation as a function of the activity product of hydrobromic acid. J. Am. Chem. Soc. 1923, 45, 2048–2058. [Google Scholar] [CrossRef]
- Al-Rehaili, A.M. Comparative chemical clarification for silica removal from RO groundwater feed. Desalination 2003, 159, 21–31. [Google Scholar] [CrossRef]
- Recepoğlu, Y.K.; Kabay, N.; Yoshizuka, K.; Nishihama, S.; Yılmaz-Ipek, İ.; Arda, M.; Yüksel, M. Effect of Operational Conditions on Separation of Lithium from Geothermal Water by λ-MnO2 Using Ion Exchange–Membrane Filtration Hybrid Process. Solvent Extr. Ion Exch. 2018, 36, 499–512. [Google Scholar] [CrossRef]
- Burguera, E.F.; Meijide-Failde, R.; Blanco, F.J. Hydrogen Sulfide and Inflammatory Joint Diseases. Curr. Drug Targets 2016, 18, 1641–1652. [Google Scholar] [CrossRef]
- Davinelli, S.; Bassetto, F.; Vitale, M.; Scapagnini, G. Thermal Waters and the Hormetic Effects of Hydrogen Sulfide on Inflammatory Arthritis and Wound Healing; Elsevier Inc.: Amsterdam, The Netherlands, 2018; ISBN 9780128142547. [Google Scholar]


| Compound | Analytical Method | Standard | Detection Limit | |
|---|---|---|---|---|
| Hydrogen peroxide | Titration in acidic media with KMnO4 | EPA guidance [39] | 0.1 mg/L | |
| Total, free and bound active chlorine | Titrimetric method | ISO 7393-1:2000 | 0.05 mg/L | |
| Escherichia coli | Membrane filtration method | ISO 9308-1:2000 | - | |
| Pseudomonas aeruginosa | Membrane filtration method | ISO 16266:2006 | - | |
| pH | Potentiometry | Hungarian standard 1484-22:2009 | - | |
| Electrical conductivity | Conductometry | ISO 7888:1985 | - | |
| Alkalinity (hydrogen carbonate, carbonate, hydroxyl ions) | Acid-base titration | ISO 9963-1:1994 ISO 9963-2:1998 | 0.1 mmol/L | |
| Hardness | Complexometry | Hungarian Standard 448-21:1986 | 1.0 mg/L CaO | |
| Evaporation residue at 180 °C | Weighing | Hungarian Standard 448-19:1986 | 23 mg/L | |
| Anions | Br− | Ion chromatography | ISO 10304-1:2009 | 0.05 mg/L |
| I− | ISO 10304-3:1999 | 0.03 mg/L | ||
| SO42− | ISO 10304-1:2009 | 5 mg/L | ||
| IO3− | ISO 10304-1:2009 | 2 mg/L | ||
| BrO3− | ISO 15061: 2002 | 0.03 mg/L | ||
| ClO3− | ISO 10304-4:2000 | 0.05 mg/L | ||
| Sulfide ion | Spectrophotometry | Hungarian Standard 448-14:1990 1 | 0.1 mg/L | |
| Metasilicic acid | Spectrophotometry | Hungarian standard 448-26:1991 2 | 2.0 mg/L | |
| As silicon by ICP-MS | ISO 17294-2:2017 | |||
| Lithium | ICP-MS | ISO 17294-2:2017 | ||
| Ammonium ion | Spectrophotometry | ISO 7150-1:1984 | 0.02 mg/L | |
| Total Organic Carbon (TOC) | Thermal oxidation, IR detection | EN 1484:1997 | 0.3 mg/L | |
| Trihalomethanes (THMs) | Purge&Trap-GC-MS | Hungarian standard 1484-5:1998 | 1.0 μg/L | |
| Concentration (μg/L) | ||||||||||
|---|---|---|---|---|---|---|---|---|---|---|
| CHCl₃ | CHBrCl₂ | CHBr₂Cl | CHBr₃ | CHCl₂I | CHBrClI | CHBr₂I | CHClI₂ | CHBrI₂ | CHI₃ | |
| Below breakpoint—1 h | 0.0 | 0.0 | 4.4 | 21.4 | 0.3 | 4.2 | 20.5 | 0.3 | 24.4 | 25.1 |
| 0.5 mg/L free chlorine—1 h | 0.0 | 1.1 | 9.4 | 84.2 | 0.2 | 2.1 | 3.2 | 0.2 | 0.3 | 0.3 |
| 1 mg/L free chlorine—1 h | 0.0 | 0.8 | 8.9 | 84.8 | 0.2 | 2.2 | 3.3 | 0.2 | 0.4 | 0.4 |
| Below breakpoint—12 h | 0.0 | 0.0 | 2.2 | 12.3 | 0.1 | 2.3 | 15.2 | 2.8 | 20.7 | 44.5 |
| 0.5 mg/L free chlorine—12 h | 0.0 | 0.9 | 6.0 | 90.3 | 0.1 | 1.0 | 1.8 | 0.1 | 0.2 | 0.2 |
| 1 mg/L free chlorine—12 h | 0.0 | 0.6 | 5.4 | 91.3 | 0.1 | 1.0 | 1.7 | 0.1 | 0.2 | 0.2 |
| Sample Type | Disinfectant Target Concentration | Sulfide Ion | Iodide Ion | Bromide Ion | Lithium | Silica | Total Mineral Content | ||
|---|---|---|---|---|---|---|---|---|---|
| Free Chlorine | Hydrogen Peroxide | ||||||||
| mg/L | |||||||||
| Hypochlorite treatments | Control | <0.05 | 0.7 | 1.27 | 7.03 | 0.45 | 15.6 | 1335 | |
| Below breakpoint—1 h | below breakpoint | <0.1 | 0.39 | 6.87 | 0.44 | 15.7 | 1335 | ||
| Below breakpoint—12 h | below breakpoint | <0.1 | 0.29 | 7.00 | 0.45 | 15.6 | 1346 | ||
| 0.5 mg/L free chlorine—1 h | 0.5 | <0.1 | <0.03 | 7.01 | 0.45 | 15.9 | 1365 | ||
| 0.5 mg/L free chlorine—12 h | 0.5 | <0.1 | <0.03 | 6.87 | 0.42 | 15.6 | 1363 | ||
| 1 mg/L free chlorine—1 h | 1 | <0.1 | <0.03 | 6.98 | 0.44 | 15.7 | 1318 | ||
| 1 mg/L free chlorine—12 h | 1 | <0.1 | <0.03 | 6.97 | 0.44 | 15.5 | 1319 | ||
| Hydrogen peroxide treatment | Control | <0.1 | 0.7 | 1.24 | 7.03 | 0.49 | 16.6 | 1335 | |
| 30 mg/L—1 h | 30 | <0.1 | 1.16 | 6.83 | 0.48 | 16.4 | 1385 | ||
| 30 mg/L—12 h | 30 | <0.1 | 1.12 | 6.78 | 0.47 | 16.5 | 1410 | ||
| 100 mg/L—1 h | 100 | <0.1 | 1.16 | 6.76 | 0.46 | 16.9 | 1418 | ||
| 100 mg/L—12 h | 100 | <0.1 | 1.17 | 6.73 | 0.46 | 16.6 | 1426 | ||
| 200 mg/L—1 h | 200 | <0.1 | 1.12 | 6.54 | 0.46 | 16.6 | 1405 | ||
| 200 mg/L—12 h | 200 | <0.1 | 1.20 | 6.54 | 0.46 | 16.3 | 1391 | ||
| Treatment | Advantages | Limitations and Difficulties in Therapeutic Water Treatment |
|---|---|---|
| Hydrogen peroxide-based product | Fewer toxic byproducts, therapeutic components unaffected (except for sulfide), more acceptable to bathers (“chlorine-free”) | Medium costs, close control of residual disinfectant concentration is needed (matrix effect), possible non-identified byproducts |
| Sodium hypochlorite | Low costs, convenient, easy handling, high efficacy | Toxic byproducts, dosing difficulties and excess demand in the presence of ammonia, loss of therapeutic components sulfide and iodide |
| UV treatment [12] | Low costs, high efficacy, no chemical dosing | No residual effect, fouling of lamps, toxic byproducts |
| Ultrafiltration [13] | Composition remains nearly unaffected, no byproduct formation | No residual effect, fouling of membrane, expertise is required for operation |
| Nanomaterials [14] | No chemical dosing, photocatalytic effect | Higher costs, may fundamentally change composition |
Publisher’s Note: MDPI stays neutral with regard to jurisdictional claims in published maps and institutional affiliations. |
© 2022 by the authors. Licensee MDPI, Basel, Switzerland. This article is an open access article distributed under the terms and conditions of the Creative Commons Attribution (CC BY) license (https://creativecommons.org/licenses/by/4.0/).
Share and Cite
Gere, D.; Róka, E.; Záray, G.; Vargha, M. Disinfection of Therapeutic Spa Waters: Applicability of Sodium Hypochlorite and Hydrogen Peroxide-Based Disinfectants. Water 2022, 14, 690. https://doi.org/10.3390/w14050690
Gere D, Róka E, Záray G, Vargha M. Disinfection of Therapeutic Spa Waters: Applicability of Sodium Hypochlorite and Hydrogen Peroxide-Based Disinfectants. Water. 2022; 14(5):690. https://doi.org/10.3390/w14050690
Chicago/Turabian StyleGere, Dóra, Eszter Róka, Gyula Záray, and Márta Vargha. 2022. "Disinfection of Therapeutic Spa Waters: Applicability of Sodium Hypochlorite and Hydrogen Peroxide-Based Disinfectants" Water 14, no. 5: 690. https://doi.org/10.3390/w14050690
APA StyleGere, D., Róka, E., Záray, G., & Vargha, M. (2022). Disinfection of Therapeutic Spa Waters: Applicability of Sodium Hypochlorite and Hydrogen Peroxide-Based Disinfectants. Water, 14(5), 690. https://doi.org/10.3390/w14050690

